Assessment of Infrastructure Reliability in Expansive Clays Using Bayesian Belief Network
Abstract
1. Introduction
2. Modeling of Bayesian Belief Network
2.1. Parameter Selection
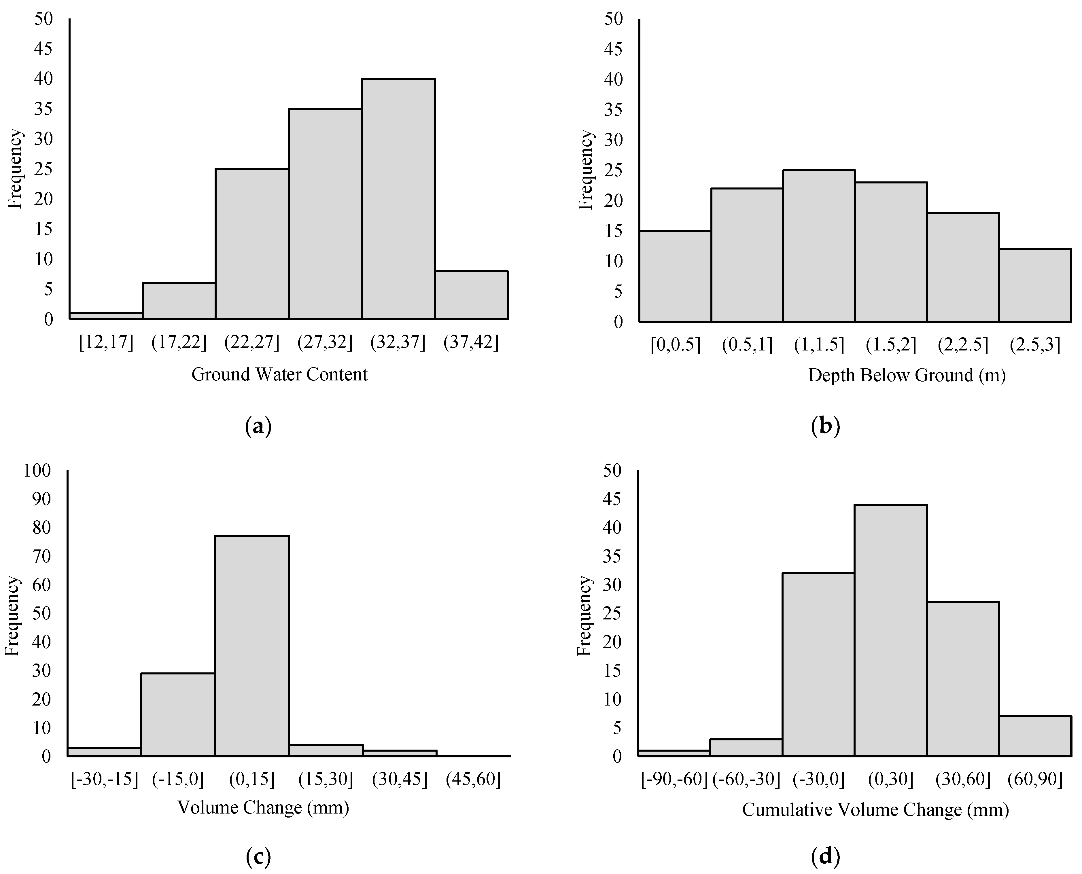
2.2. Data Collection and Analysis
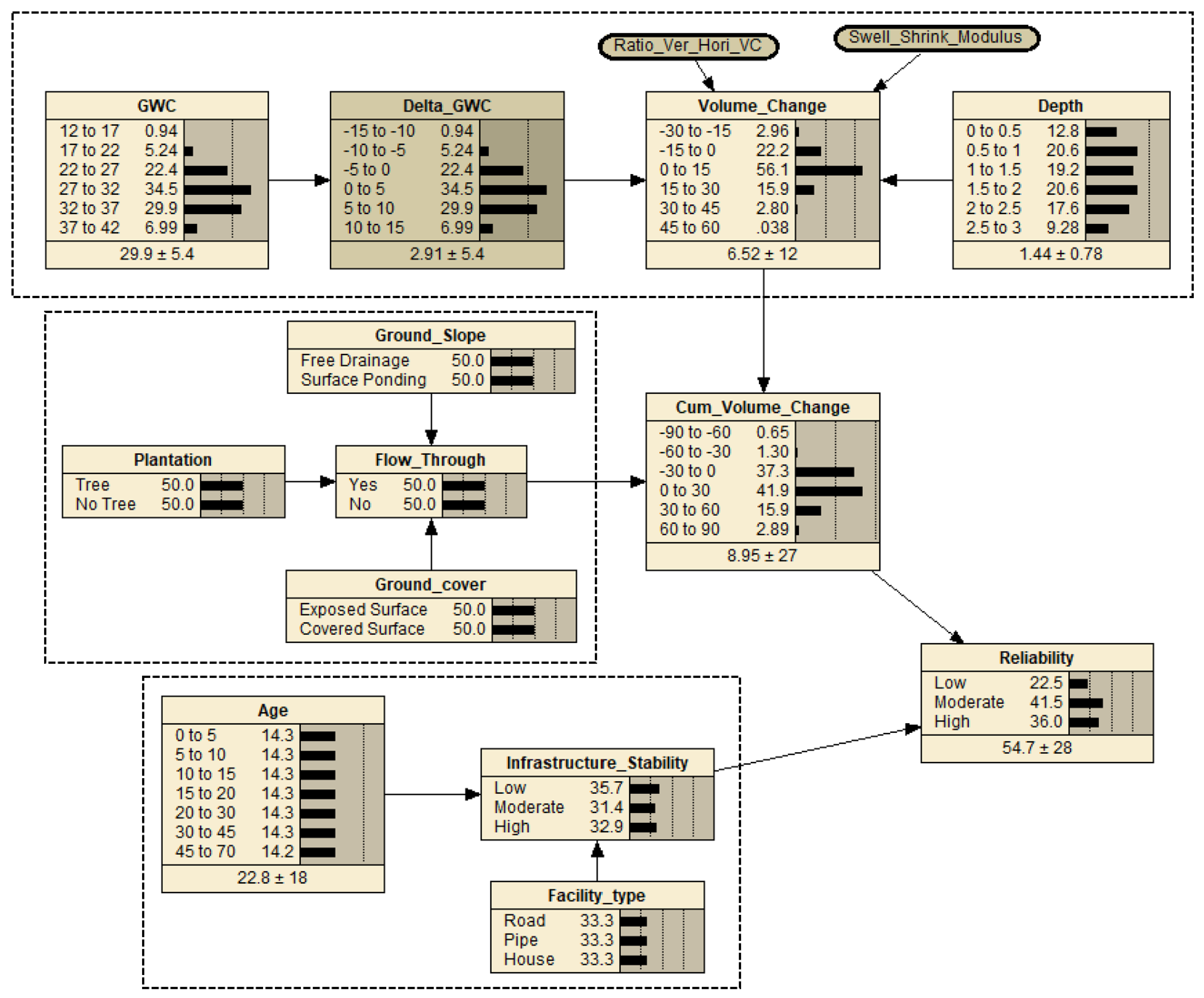
2.3. Model Architecture
3. Results and Discussion
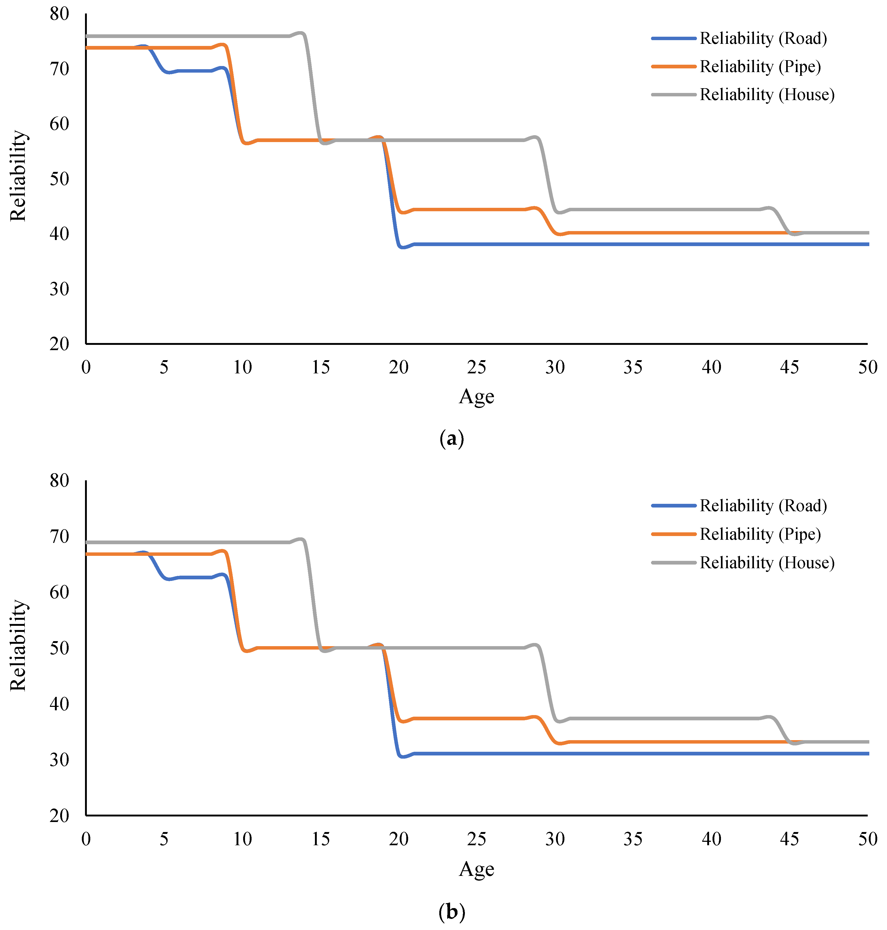
3.1. Results
3.2. Discussion
4. Conclusions
Author Contributions
Funding
Data Availability Statement
Acknowledgments
Conflicts of Interest
References
- Chen, F.H. Foundations on Expansive Soils; Elsevier: New York, NY, USA, 1998. [Google Scholar]
- Petry, T.M.; Little, D.N. Review of stabilization of clays and expansive soils in pavements and lightly loaded structures—History, practice, and future. J. Mater. Civil. Eng. 2002, 14, 447–460. [Google Scholar] [CrossRef]
- Hu, Y.; Hubble, D.W. Failure conditions of asbestos cement water mains in Regina. In Proceedings of the 1st CSCE Specialty Conference on Infrastructure Technologies, Management and Policy, Toronto, ON, Canada, 2-4 June 2005. [Google Scholar]
- Pugh, R.S. Some observations on the influence of recent climate change on the subsidence of shallow foundations. Proc. Inst. Civil. Eng. Geotech. Eng. 2002, 155, 23–25. [Google Scholar]
- Ito, M.; Azam, S. Engineering characteristics of a glacio-lacustrine clay deposit in a semi-arid climate. Bull. Eng. Geol. Environ. 2009, 68, 551–557. [Google Scholar] [CrossRef]
- Akhter, A.; Azam, S. Flood-drought hazard assessment for a flat clayey deposit in the Canadian Prairies. J. Environ. Inform. Lett. 2019, 1, 8–19. [Google Scholar] [CrossRef]
- Kabir, G.; Balek, N.B.C.; Tesfamariam, S. Consequence-based framework for buried infrastructure systems: A Bayesian belief network model. Reliab. Eng. Syst. Saf. 2018, 180, 290–301. [Google Scholar] [CrossRef]
- Sen, M.K.; Dutta, S.; Kabir, G. Modelling and quantification of time-varying flood resilience for housing infrastructure using dynamic Bayesian Network. J. Clean. Prod. 2022, 361, 132266. [Google Scholar] [CrossRef]
- Pearl, J. Probabilistic Reasoning in Intelligent Systems: Networks of Plausible Inference; Morgan Kaufmann Publishers, Inc.: San Francisco, CA, USA, 1988. [Google Scholar]
- Nielsen, T.D.; Jensen, F.V. Bayesian Networks and Decision Graphs; Springer Science and Business Media: New York, NY, USA, 2009. [Google Scholar]
- Philip, B.; Jassmi, H.A. A Bayesian Approach towards Modelling the Interrelationships of Pavement Deterioration Factors. Buildings 2002, 12, 1039. [Google Scholar] [CrossRef]
- Rahman, M.M.; Islam, M.K.; Al-Shayeb, A.; Arifuzzaman, M. Towards sustainable road safety in Saudi Arabia: Exploring traffic accident causes associated with driving behavior using a Bayesian belief network. Sustainability 2022, 14, 6315. [Google Scholar] [CrossRef]
- Ito, M.; Azam, S. Engineering properties of a vertisolic expansive soil deposit. Eng. Geol. 2013, 152, 10–16. [Google Scholar] [CrossRef]
- Huang, Q.; Azam, S. Evaluation of empirically predicted volumetric changes in cracked expansive clays. Innov. Infrastruct. Solut. 2020, 5, 104. [Google Scholar] [CrossRef]
- Hamilton, J.J. Volume changes in undisturbed clay profiles in western Canada. Can. Geotech. J. 1963, 1, 27–42. [Google Scholar] [CrossRef]
- Hu, Y.; Vu, H.Q. Analysis of soil conditions and pipe behaviour at a field site. Can. Geotech. J. 2011, 48, 847–866. [Google Scholar] [CrossRef]
- Azam, S.; Ito, M. Coupled soil-atmosphere modeling for expansive Regina clay. J. Environ. Inform. 2012, 19, 20–29. [Google Scholar] [CrossRef]
- Hamilton, J.J. Effect of environment on the performance of shallow foundation. Can. Geotech. J. 1969, 6, 65–80. [Google Scholar] [CrossRef]
- Asker, A.; Jin, Y.C. Macropores drainage of unsaturated swelling clays. Water Resour. Res. 2000, 36, 1189–1197. [Google Scholar] [CrossRef]
- Ito, M.; Azam, S.; Hu, Y. A two stage model for moisture-induced deformations in expansive soils. Environ. Syst. Res. 2014, 3, 1–11. [Google Scholar] [CrossRef][Green Version]
- Yoshida, R.; Fredlund, D.; Hamilton, J. The prediction of total heave on a slab-on-grade floor on Regina clay. Can. Geotech. J. 1983, 20, 69–81. [Google Scholar] [CrossRef]
- Azam, S.; Shah, I.; Raghunandan, M.; Ito, M. Study on swelling properties of an expansive soil deposit in Saskatchewan, Canada. Bull. Eng. Geol. Environ. 2013, 72, 1–11. [Google Scholar] [CrossRef]
- Fredlund, D.G. Engineering properties of expansive clays. In Proceedings of the Seminar on Shallow Foundations on Expansive Clays, Regina, SK, Canada, 27–28 October 1975. [Google Scholar]
- Hu, Y.; Vu, H.Q.; Lotfian, K. Instrumentation of asbestos cement pipe in expansive soil. In Proceedings of the American Society of Civil Engineering International Pipeline Conference, Atlanta, GA, USA, 22 July 2008; Volume 1, pp. 1–10. [Google Scholar]
- Ito, M.; Azam, S. Stochastic modeling of volume changes in expansive soils. Innov. Infrastruct. Solut. 2018, 3, 45. [Google Scholar] [CrossRef]
- Cooper, G.F.; Herskovits, E. A Bayesian method for the induction of probabilistic networks from data. Mach. Learn. 1992, 9, 309–347. [Google Scholar] [CrossRef]
- Cockburn, G.; Tesfamariam, S. Earthquake disaster risk index for Canadian cities using Bayesian belief networks. Georisk: Assess. Manag. Risk Eng. Syst. Geohazards 2012, 6, 128–140. [Google Scholar] [CrossRef]
- Li, L.; Wang, J.; Leung, H.; Zhao, S. A Bayesian method to mine spatial data sets to evaluate the vulnerability of human beings to catastrophic risk. Risk Anal. 2012, 32, 1072–1092. [Google Scholar] [CrossRef] [PubMed]
- Norsys Software Corp. Netica Version 4.16. Norsys Software Corp, Canada. 2014. Available online: www.norsys.com/ (accessed on 1 September 2022).
- Kabir, G.; Tesfamariam, S.; Francisque, A.; Sadiq, R. Evaluating risk of water mains failure using a Bayesian belief network model. Eur. J. Oper. Res. 2015, 240, 220–234. [Google Scholar] [CrossRef]
- Tang, Z.; McCabe, B. Developing complete conditional probability tables from fractional data for Bayesian belief networks. J. Comput. Civil. Eng. 2007, 21, 265–276. [Google Scholar] [CrossRef]
- Cárdenas, I.C.; Al-Jibouri, S.S.; Halman, J.I.; Tol, F.A. Modeling Risk-Related Knowledge in Tunneling Projects. Risk Anal. 2014, 34, 323–339. [Google Scholar] [CrossRef]
- Cai, B.; Liu, Y.; Liu, Z.; Tian, X.; Zhang, Y.; Ji, R. Application of Bayesian networks in quantitative risk assessment of subsea blowout preventer operations. Risk Anal. 2013, 33, 1293–1311. [Google Scholar] [CrossRef]
- Kabir, G.; Suda, H.; Cruz, A.M.; Giraldo, F.M.; Tesfamariam, S. Earthquake-related Natech risk assessment using a Bayesian belief network model. Struct. Infrastruct. Eng. 2019, 15, 725–739. [Google Scholar] [CrossRef]





| Parent Node | State | Unit | Child Node | State | Unit |
|---|---|---|---|---|---|
| Water Content (GWC) | 12 to 17 17 to 22 22 to 27 27 to 32 32 to 37 37 to 42 | % | Change in Water Content (Delta_GWC) | −15 to −10 −10 to −5 −5 to 0 0 to 5 5 to 10 10 to 15 | % |
| Depth | 0 to 0.5, 0.5 to 1.0 1.0 to 1.5 1.5 to 2.0 2.0 to 2.5 2.5 to 3.0 | m | Volume Change | −30 to −15 −15 to 0 0 to 15 15 to 30 30 to 45 45 to 60 | mm |
| Age | 0 to 5 5 to 10 10 to 15 15 to 20 20 to 30 30 to 45 45 to 70 | Year | Cumulative Volume Change (Cum_Volume_Change) | −90 to −60 −60 to −30 −30 to 0 0 to 30 30 to 60 60 to 90 | mm |
| Plantation | Tree No Tree | Flow Through | Yes No | ||
| Ground Cover | Exposed Surface Covered Surface | Infrastructure Stability | Low Moderate High | ||
| Ground Slope | Free Drainage Surface Ponding | Reliability | Low Moderate High | ||
| Facility Type | Road Pipe House | ||||
| Swell–Shrink Modulus | Constant | ||||
| Ratio of Vertical to Horizontal Movement | Constant |
| Ground Cover | Ground Slope | Plantation | Flow Through | |
|---|---|---|---|---|
| Yes | No | |||
| Exposed Surface | Free Drainage | Tree | 33 | 67 |
| Exposed Surface | Free Drainage | No Tree | 67 | 33 |
| Exposed Surface | Surface Ponding | Tree | 67 | 33 |
| Exposed Surface | Surface Ponding | No Tree | 100 | 0 |
| Covered Surface | Free Drainage | Tree | 0 | 100 |
| Covered Surface | Free Drainage | No Tree | 33 | 67 |
| Covered Surface | Surface Ponding | Tree | 33 | 67 |
| Covered Surface | Surface Ponding | No Tree | 67 | 33 |
| Node | Variance Reduction (%) |
|---|---|
| Age | 23 |
| Facility Type | 1.37 |
| Water Content | 0.0474 |
| Ground Slope | 0.0355 |
| Plantation | 0.0355 |
| Ground Cover | 0.0355 |
| Depth | 0.00177 |
| Swell–Shrink Modulus | 0 |
| Ratio of Vertical to Horizontal Movement | 0 |
| Sum | 24.52% |
| Condition | Water Content | Depth | Ground Slope | Ground Cover | Plantation | Facility Type | Age | Reliability |
|---|---|---|---|---|---|---|---|---|
| Worst | 12 to 17 | 0 to 0.5 | Surface Ponding | Exposed Surface | No Tree | Road | 45 to 70 | ![]() |
| Worst | 12 to 17 | 0 to 0.5 | Surface Ponding | Exposed Surface | No Tree | Pipe | 45 to 70 | ![]() |
| Worst | 12 to 17 | 0 to 0.5 | Surface Ponding | Exposed Surface | No Tree | House | 45 to 70 | ![]() |
| Favorable | 22 to 27 | 2.5 to 30 | Free Drainage | Covered Surface | Tree | Road | 0 to 5 | ![]() |
| Favorable | 22 to 27 | 2.5 to 30 | Free Drainage | Covered Surface | Tree | Pipe | 0 to 5 | ![]() |
| Favorable | 22 to 27 | 2.5 to 30 | Free Drainage | Covered Surface | Tree | House | 0 to 5 | ![]() |
| Favorable | 27 to 32 | 2.5 to 30 | Free Drainage | Covered Surface | Tree | Road | 0 to 5 | ![]() |
| Favorable | 27 to 32 | 2.5 to 30 | Free Drainage | Covered Surface | Tree | Pipe | 0 to 5 | ![]() |
| Favorable | 27 to 32 | 2.5 to 30 | Free Drainage | Covered Surface | Tree | House | 0 to 5 | ![]() |
| Worst | 37 to 42 | 0 to 0.5 | Surface Ponding | Exposed Surface | No Tree | Road | 45 to 70 | ![]() |
| Worst | 37 to 42 | 0 to 0.5 | Surface Ponding | Exposed Surface | No Tree | Pipe | 45 to 70 | ![]() |
| Worst | 37 to 42 | 0 to 0.5 | Surface Ponding | Exposed Surface | No Tree | House | 45 to 70 | ![]() |
Publisher’s Note: MDPI stays neutral with regard to jurisdictional claims in published maps and institutional affiliations. |
© 2022 by the authors. Licensee MDPI, Basel, Switzerland. This article is an open access article distributed under the terms and conditions of the Creative Commons Attribution (CC BY) license (https://creativecommons.org/licenses/by/4.0/).
Share and Cite
Kabir, G.; Azam, S. Assessment of Infrastructure Reliability in Expansive Clays Using Bayesian Belief Network. CivilEng 2022, 3, 1126-1136. https://doi.org/10.3390/civileng3040064
Kabir G, Azam S. Assessment of Infrastructure Reliability in Expansive Clays Using Bayesian Belief Network. CivilEng. 2022; 3(4):1126-1136. https://doi.org/10.3390/civileng3040064
Chicago/Turabian StyleKabir, Golam, and Shahid Azam. 2022. "Assessment of Infrastructure Reliability in Expansive Clays Using Bayesian Belief Network" CivilEng 3, no. 4: 1126-1136. https://doi.org/10.3390/civileng3040064
APA StyleKabir, G., & Azam, S. (2022). Assessment of Infrastructure Reliability in Expansive Clays Using Bayesian Belief Network. CivilEng, 3(4), 1126-1136. https://doi.org/10.3390/civileng3040064












