Abstract
Remote sensing data are powerful tools that contribute to sustainability and efficiency in crop management. Rice (Oryza sativa L.) is widely recognized as one of the most important crops in terms of economic and social impact. The aim of this study was to evaluate the efficiency of the use of Unmanned Aerial Vehicles (UAVs) in providing valuable information regarding plant health and status with respect to two rice varieties (Ariete and Ceres) submitted to a biofortification workflow with two types of selenium (sodium selenate and sodium selenite). In this context, through the use of synchronized UAVs, the state of the culture was further assessed. As well, digital elevation models, water lines, slope classes/infiltration suitability, and the Normalized Difference Vegetation Index (NDVI) were considered. Additionally, leaf gas exchange measurements were conducted during the biofortification process and Se content in rice was quantified. The NDVI index ranged from 0.76 to 0.80, with no significant differences regarding control. The water drainage pattern following the artificial pattern created by grooves between plots was observed. Furthermore, selenite application up to 100 g Se.ha−1 did not exhibit toxicity effects on the biofortified plants and presented grain enrichment of 16.09 µg g−1 (Ariete) and 15.46 µg g−1 (Ceres). In conclusion, precision agriculture techniques and the utilization of data from leaf gas exchanges allow for efficient monitoring of experimental field conditions and are highly useful tools in decision-making.
1. Introduction
Several state-of-the-art technologies linked to remote sensing have been incorporated into agriculture [1], including the use of Unmanned Aerial Vehicle (UAV) images. Using this technology, it is possible to obtain orthophotomaps, digital elevation models, water surface drainage, and slopes useful for delimiting cultivation areas. In addition, assessing the condition of plants, detecting pests, and locating weeds is also possible using UAVs [2]. The normalized difference vegetation index (NDVI) is used to monitor different crops such as rice (Oryza sativa L.), maize, barley, and oats. In addition, strategies such as agronomic biofortification have been developed, which, with the application of sodium selenite and sodium selenate, increase the selenium (Se) content in staple foods such as rice [3,4].
Considering the importance of remote sensing data, this work aimed to use precision agriculture to evaluate the conditions of paddy rice fields and monitor the vigor status of the plants submitted for Se biofortification.
2. Materials and Methods
2.1. Experimental Fields and Selenium Biofortification
The trials were conducted in the middle of Ribatejo (Portugal) at the Rice Competence Center (COTArroz) located in Salvaterra de Magos. The Ariete and Ceres varieties were used as a system test. During the crop-growing season (30 May to 2 November 2018), agronomic biofortification using sodium selenate and sodium selenite was undertaken at 25, 50, 75, and 100 g Se.ha−1 through foliar pulverization. Selenium applications occurred at the end of booting, anthesis, and at the milky grain stages. The experimental design was performed in a factorial arrangement (5 concentrations × 2 forms of selenium × 2 varieties × 4 replicates in a total of 80 plots). The plot size for each replication was 8 m length × 1.2 m width = 9.6 m2.
For the Ariete variety, foliar fertilizations with Se occurred on 23 August, 31 August, and 14 September, whereas for the Ceres variety, the applications were made on 28 August, 6 September and 20 September.
2.2. Precision Agriculture—Experimental Fields and Monitoring the State of the Rice Culture
The experimental field was surveyed by Unmanned Aerial Vehicles (UAVs) synchronized by GPS, as described by [5]. For morphological characterization (the digital elevation model, water lines, and slope classes/infiltration suitability), the flight was performed before the implementation of the culture in the field on 18 May. To monitor the vigor of the different plants submitted for biofortification, UAVs were used to characterize the vegetation index (NDVI) on 12 November.
2.3. Leaf Gas Exchange Measurements
According to the methods described by [6], leaf gas exchange parameters were determined in the trial rice field, using 4–6 randomized leaves per treatment, on 12 September (after the second Se application).
Leaf rates of net photosynthesis (Pn), stomatal conductance to water vapor (gs), and transpiration (E) were obtained under photosynthetic steady-state conditions (after ca. 2 h of illumination). A portable open-system infrared gas analyzer (Li-Cor 6400, LiCor, Lincoln, NE, USA) was used under environmental conditions, with a photosynthetic photon flux density (PPFD) of ca. 1000 µmol m−2.s−1 and external CO2.
2.4. Analysis of Selenium Content
The quantification of Se content in the samples of paddy rice (including controls and after foliar spraying with Na2SeO4/Na2SeO3) was measured by Energy Dispersive X-Ray Fluorescence (µ-EDXRF system, M4 TornadoTM) following Cardoso et al. [7]. To improve the quantification of Se, a set of filters of three foils of Al/Ti/Cu was used between the X-ray tube and the sample.
2.5. Statistical Analysis
A one-way ANOVA (p ≤ 0.05) was performed with the IBM SPSS Statistics 20 program, and Tukey’s test for mean comparison was used considering a 95% confidence level.
3. Results
The elevation model (Figure 1) shows the average and minimum elevation zones associated with the location of the paddy rice field. The direction of water lines suggests that if surface drainage is present, it is likely to follow the trajectory of the estimated water lines. The experimental field has a slope of about 5%, which results in reduced surface drainage.
Figure 1.
Orthophotomaps of the digital elevation model (a), water lines (b), and slope classes/infiltration suitability (c) on 18 May.
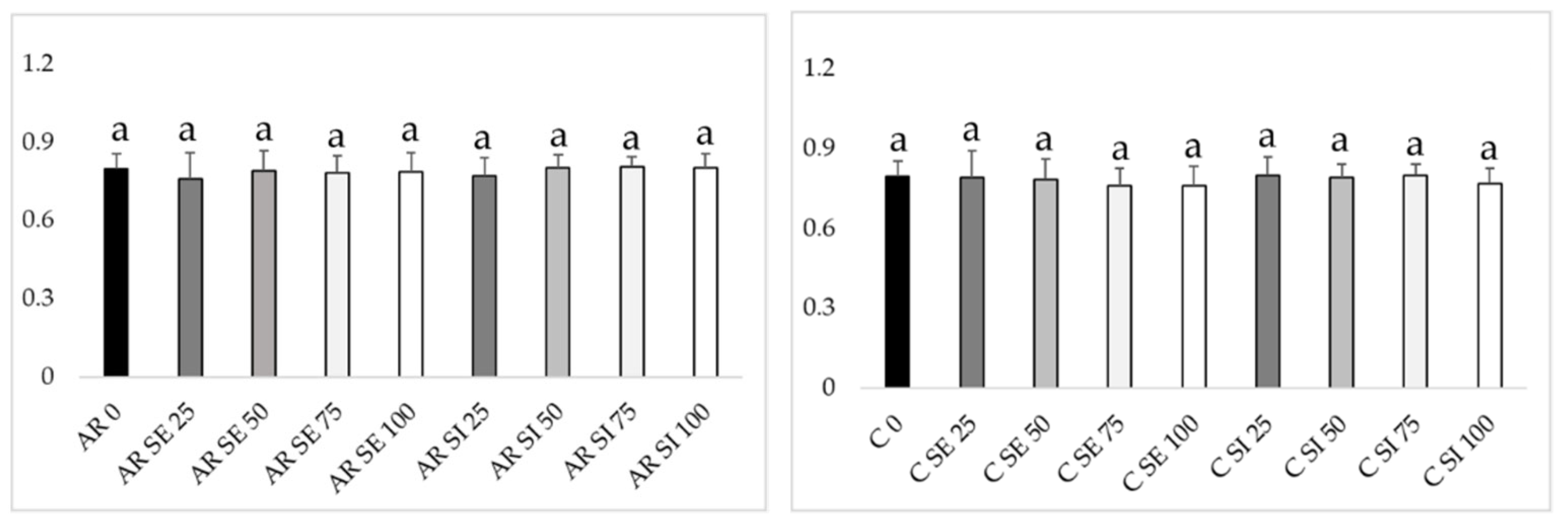
Regarding NDVI values, no significant changes were observed in the selenium (Se) treatments when compared to the control in the different varieties (Figure 2). The values ranged from 0.76 to 0.80. The maximum value was obtained in the control plants and with selenite application in both varieties.
Figure 2.
Mean values of the normalized vegetation index (NDVI) in each treatment for each variety ± standard deviation. Information was collected on 12 September and obtained from images provided by UAVs (n = 12) of Oryza sativa L. (Ariete (left) and Ceres (right) variety) submitted to foliar fertilization with sodium selenate and sodium selenite. The letter a reveals the absence of significant differences among treatments in each variety (single-factor ANOVA test—p ≤ 0.05).
Physiological data were acquired after the second foliar fertilization with Se in rice (Table 1). In the Ariete variety, the net photosynthesis (Pn) values did not show significant differences between treatments. However, in the Ceres variety, the values were higher than the control in all treatments, with the maximum values obtained in the treatment with 100 g Se.ha−1 of selenite (17.82 μmol CO2 m−2.s−1). This positive effect on Pn was found along with higher stomatal conductance to water vapor (gs) and lower instantaneous water use efficiency (iWUE). The maximum gs value in the Ariete variety was 368.6 mmol H2O m−2.s−1 in plants sprayed with 100 g Se.ha−1 of selenite, while transpiration (E) showed 6.66 mmol H2O m−2.s−1. In the Ceres variety, it was in the same treatment that the highest value of E was obtained (6.81 mmol H2O m−2.s−1). Regarding transpiration (E), an increase in both varieties with respect to the control was observed. A significant and gradual decrease in lower instantaneous water use efficiency (iWUE) was observed in all plants.
Table 1.
Leaf gas exchange parameters: net photosynthesis (Pn), stomatal conductance to water vapor (gs), transpiration (E) rates, and instantaneous water use efficiency (iWUE = Pn/E). Analyses were performed on leaves of the Ariete and Ceres varieties on 12 September, after the second Se application of sodium selenate (selenate) and sodium selenite (selenite) at 50 and 100 g Se.ha−1.
The application of increasing concentrations of Se, in both forms, allowed for the gradual increase in this element in the paddy rice grain (Figure 3). In both varieties, selenate application showed significant differences compared to the control; however, the increment of Se in the grain was lower when compared to the selenite form. In the Ariete variety, by applying selenite at 100 g Se.ha−1, 16.09 µg g−1 was obtained in the grain. The Ceres variety showed a higher value following selenite treatment (15.49 µg g−1), while the maximum value was 6.25 µg g−1 following selenate treatment.
Figure 3.
Mean values of Se content ± S.D. (n = 4) in paddy rice of the O. sativa control, Ariete (left) and Ceres (right) varieties. Letters a, b and c indicate significant differences between treatments for each variety (single-factor ANOVA test—p ≤ 0.05).
4. Discussion
Studies have shown that the morphology of the terrain, namely the slope and orientation of the terrain, directly influences the water runoff pattern [8]. In this study, the results indicate that the paddy rice field has an elevation ranging from minimal to medium (Figure 1). In addition, the runoff pattern created by the water lines is visible and follows the elevation of the field (Figure 1). The field is suitable for growing this cereal, considering its location, soft morphology, slope variation, and the estimated potential for surface water infiltration. Considering 5% of water infiltration capacity, the field presents reduced surface drainage. Thus, water accumulation is promoted, a fundamental aspect of the practices used in rice cultivation [9]. The use of NDVI data in agriculture provides useful information about crop monitoring and aids decision-making. Studies have linked NDVI values with yields of maize, wheat, and rice [10]. Other studies have used the NDVI to monitor vegetation density and relate declines in rice yield to increases in nocturnal temperature [11]. In our study, NDVI values ranged from 0.76–0.80, with no significant differences regarding control (Figure 2). The highest NDVI values were obtained in control plants and after application of the selenium (Se) biofortification, which indicates healthy rice plants. The plants did not show a negative impact with respect to net photosynthesis (Pn) after Se pulverization, regardless of the dose; however, the plants showed a marginal increase in both varieties. The Ceres plants showed a positive impact on Pn, and a slight increase with respect to the control (Table 1). In addition, the increase in stomatal conductance to water vapor (gs) and transpiration (E) values followed the increase in applied concentrations. Leaf instantaneous water use efficiency (iWUE) represents the units of assimilated CO2 per unit of water lost through transpiration and was calculated as the Pn/E ratio. The decrease in this parameter is associated with the increase in the applied concentration of these forms. Comparing NDVI data with gas exchange parameters, it is possible to infer that Se stimulates net photosynthesis. The literature reports that damage to the photosynthetic apparatus can be reduced by the addition of suitable levels of Se in cereals [12], namely rice [13]. Additionally, plant growth is also promoted to increase crop quality [14]. Both varieties showed a significant increase in Se compared to the applied form (Figure 3). The highest contents were obtained by applying 100 g Se.ha−1 of Na2SeO3 in the Ariete (16.09 µg g−1) and Ceres (15.49 µg g−1) varieties. These results are in agreement with other studies on rice that demonstrated the higher efficiency of Na2SeO3 over Na2SeO4 [15]. Thus, the vigor of the plant was not affected by the biofortification route, allowing the increase in Se in the grain without interfering negatively with the photosynthetic mechanism.
5. Conclusions
Using Unmanned Aerial Vehicle (UAVs), it was possible to map the site where the rice (Oryza sativa L.) biofortification itinerary was implemented. Normalized Difference Vegetation Index (NDVI) data, photosynthesis analysis, and selenium (Se) concentration in the grain were integrated. Furthermore, Se application up to 100 g Se.ha−1 did not exhibit toxicity effects on the biofortified plants. With the application of selenite, grain enrichment of 16.09 µg g−1 (Ariete) and 15.46 µg g−1 (Ceres) was obtained. In conclusion, precision agriculture techniques and utilization of data from leaf gas exchanges allow for efficient monitoring of experimental field conditions and are highly useful tools in decision-making.
Author Contributions
Conceptualization, A.C.M. and F.C.L.; methodology, M.G.B., J.C.K., J.C.R. and F.C.L.; investigation, A.C.M., C.C.P., D.D., I.C.L. and A.R.F.C.; formal analysis, A.C.M., C.C.P., D.D., I.C.L., A.R.F.C., M.S., J.C.R., J.M.N.S., M.G. and R.G.L.; software, J.C.K. and M.G.B.; resources, M.G.B., J.C.K., J.C.R., J.M.N.S., F.R., M.M.S., P.L., M.F.P., L.P., C.S., I.P.P. and F.C.L.; writing—original draft preparation, A.C.M.; writing—review and editing, A.C.M. and F.C.L.; supervision, M.S., P.S.-C. and A.S.A.; project administration, F.C.L.; funding acquisition, F.C.L. All authors have read and agreed to the published version of the manuscript.
Funding
The research was funded by PDR2020, grant number 101-030671, and Fundação para a Ciência e a Tecnologia, I.P. (FCT) 2022.10859.BD.
Institutional Review Board Statement
Not applicable.
Informed Consent Statement
Not applicable.
Data Availability Statement
Data are contained within the article.
Acknowledgments
The authors give thanks to Lourenço Palha, Cátia Silva (COTArroz), and Orivárzea (Orizicultores do Ribatejo, S.A.) for technical assistance. We also thank the research centers (GeoBioTec) UIDB/04035/2020, (CEF) UIDB/00239/2020, and Associate Laboratory TERRA (LA/P/0092/2020) for support facilities.
Conflicts of Interest
The authors declare no conflict of interest.
References
- Shafi, U.; Mumtaz Shafi, U.; Mumtaz, R.; García-Nieto, J.; Hassan, S.A.; Zaidi, S.A.R.; Iqbal, N. Precision agriculture techniques and practices: From considerations to applications. Sensors 2019, 19, 3796. [Google Scholar] [CrossRef] [PubMed]
- Chen, X.; Ma, J.; Qiao, H.; Cheng, D.; Xu, Y.; Zhao, Y. Detecting infestation of take-all disease in wheat using Landsat Thematic Mapper imagery. Int. J. Remote Sens. 2007, 28, 5183–5189. [Google Scholar] [CrossRef]
- Reis, A.; El-Ramady, H.; Santos, E.F.; Gratão, P.L.; Schomburg, L. Overview of selenium deficiency and toxicity worldwide: Affected areas, selenium-related health issues, and case studies. Plant Ecophysiol. 2017, 11, 209–230. [Google Scholar] [CrossRef]
- Lyons, G.H.; Genc, Y.; Stangoulis, J.C.; Palmer, L.T.; Graham, R.D. Selenium distribution in wheat grain, and the effect of postharvest processing on wheat selenium content. Biol. Trace Elem. Res. 2005, 103, 155–168. [Google Scholar] [CrossRef] [PubMed]
- Coelho, A.R.F.; Lidon, F.C.; Pessoa, C.C.; Marques, A.C.; Luís, I.C.; Caleiro, J.; Simões, M.; Kullberg, J.; Legoinha, P.; Brito, M.; et al. Can foliar pulverization with CaCl2 and Ca(NO3)2 trigger Ca enrichment in Solanum tuberosum L. tubers? Plants 2021, 10, 245. [Google Scholar] [CrossRef] [PubMed]
- Rodrigues, W.P.; Martins, M.Q.; Fortunato, A.S.; Rodrigues, A.P.; Semedo, J.N.; Simões-Costa, M.C.; Pais, I.P.; Leitão, A.E.; Colwell, F.; Goulao, L.; et al. Long-term elevated air [CO2] strengthens photosynthetic functioning and mitigates the impact of supra-optimal temperatures in tropical Coffea arabica and Coffea canephora species. Glob. Chang. Biol. 2016, 22, 415–431. [Google Scholar] [CrossRef] [PubMed]
- Cardoso, P.; Mateus, T.; Velu, G.; Singh, R.P.; Santos, J.P.; Carvalho, M.L.; Lourenço, V.M.; Lidon, F.; Reboredo, F.; Guerra, M. Localization and distribution of Zn and Fe in grains of biofortified bread wheat lines through micro and triaxial-X-ray spectrometry. Spectrochim. Acta Part B At. Spectrosc. 2018, 141, 70–79. [Google Scholar] [CrossRef]
- Wang, Y.; Liu, W.; Li, J.; Liu, D. Effects of topography and soil properties on runoff generation in a small watershed on the Chinese Loess Plateau. J. Hydrol. 2018, 565, 762–770. [Google Scholar]
- Sukojo, B.M.; Kurniawan, R.H. Rice growth stages mapping with Normalized Difference Vegetation Index (NDVI) algorithm using sentinel-2 time series satellite imagery. Int. J. Adv. Sci. Eng. Inf. Technol. 2021, 11, 1594. [Google Scholar] [CrossRef]
- Wall, L.; Larocque, D.; Leger, P.M. The early explanatory power of NDVI in crop yield modelling. Int. J. Remote Sens. 2008, 29, 2211–2225. [Google Scholar] [CrossRef]
- Peng, S.; Huang, J.; Sheehy, J.E.; Laza, R.C.; Visperas, R.M.; Zhong, X.; Centeno, G.S.; Khush, G.S.; Cassman, K.G. Rice yields decline with higher night temperature from global warming. Proc. Natl. Acad. Sci. USA 2004, 101, 9971–9975. [Google Scholar] [CrossRef] [PubMed]
- Jiang, C.; Zu, C.; Lu, D.; Zheng, Q.; Shen, J.; Wang, H.; Li, D. Effect of exogenous selenium supply on photosynthesis, Na+ accumulation and antioxidative capacity of maize (Zea mays L.) under salinity stress. Sci. Rep. 2017, 7, 42039. [Google Scholar] [CrossRef] [PubMed]
- Ramalho, J.C.; Roda, F.A.; Pessoa, M.F.G.; Reboredo, F.H.; Pais, I.P.; Ndayiragije, A.; Lidon, F.C.; Ribeiro-Barros, A.I. Selenium agronomic biofortification in rice: Improving crop quality against malnutrition. In The Future of Rice Demand: Quality beyond Productivity; De Oliveira, A.C., Pegoraro, C., Viana, V.E., Eds.; Springer: Cham, Switzerland, 2020; pp. 179–203. [Google Scholar] [CrossRef]
- Thavarajah, P.; Vial, E.; Gebhardt, M.; Lacher, C.; Kumar, S.; Combs, G.F. Will selenium increase lentil (Lens culinaris Medik) yield and seed quality? Front. Plant Sci. 2015, 6, 356. [Google Scholar] [CrossRef] [PubMed]
- Li, H.F.; McGrath, S.P.; Zhao, F.J. Selenium uptake, translocation and speciation in wheat supplied with selenate or selenite. New Phytol. 2008, 178, 92–102. [Google Scholar] [CrossRef] [PubMed]
Disclaimer/Publisher’s Note: The statements, opinions and data contained in all publications are solely those of the individual author(s) and contributor(s) and not of MDPI and/or the editor(s). MDPI and/or the editor(s) disclaim responsibility for any injury to people or property resulting from any ideas, methods, instructions or products referred to in the content. |
© 2023 by the authors. Licensee MDPI, Basel, Switzerland. This article is an open access article distributed under the terms and conditions of the Creative Commons Attribution (CC BY) license (https://creativecommons.org/licenses/by/4.0/).


