Abstract
Nonclassical effects are investigated in a system formed by two quantum wells, each of which is inside an open cavity. The cavities are spatially separated, linked by a fiber, and filled with a linear optical medium. Based on Husimi distributions (HDs) and Wehrl entropy, we explore the effects of the physical parameters on the generation and the robustness of the mixedness and HD information in the phase space. The generated quantum coherence and the HD information depend crucially on the cavity-exciton and fiber cavity couplings as well as on the optical medium density. The HD information and purity are lost due to the dissipation. This loss may be inhibited by increasing the optical susceptibility as well as the couplings of the exciton-cavity and the fiber-cavity. These parameters control the regularity, amplitudes, and frequencies of the generated mixedness.
1. Introduction
Since the early eighties, cavity quantum electrodynamics (QED) experiments have been central to several prominent studies, such as atomic lifetime enhancement, controlling quantum systems, realization of Schrödinger’s cat experiment, quantum non-demolition measurement, manipulation of quantum coherence, and realization of quantum feedback schemes, to cite a few [1,2,3,4,5]. In parallel to these studies, semiconductor cavity QED systems have shown similar QED phenomena [6]. Nowadays, the atomic and semiconductor cavity QED systems [7,8,9] present several applications in quantum computing to conceive quantum gates and networks [10]. In particular, spatially separated qubits are proposed as potential physical realization for quantum networks [11,12,13,14,15,16,17].
Quantum effects, such as quantum coherence and mixedness, have been introduced as main resources for quantum computation [18], and they are equivalent only in closed systems. Mixedness, which can be quantified by different measures, such as von Neumann entropy, linear entropy and Wehrl entropy, has been explored in several systems [19,20,21,22]. Entanglement is a specific kind of quantum correlations, and has been extensively studied for many systems [20,22,23,24,25,26]. It is linked to several applications in quantum information, such as quantum processing [27], key distribution [28], teleportation [29], cryptography [30], and quantum memory [31,32].
Towards understanding the dynamics of the nonclassical effects, the Husimi quasiprobability distributions are utilized as the preferred tool to investigate the phase space information and the mixedness. Phase-space Husimi distributions (HDs) [33] are usually used to investigate quantum effects. They are always positive distributions [34], and they are crucial tools for exploring the phase-space coherence. Based on the HDs, Wehrl density and Wehrl entropy [35] are introduced to quantify the phase space information and the mixedness [36]. These HDs quantifiers were studied only to explore the phase quantum state spaces for one-qubit or one-qutrit inside a cavity [34,36,37]. HDs for multi-qubit systems still need to be investigated.
Our main motivation here is first to study the contribution of the collective qubit systems linked by an optical waveguide in order to investigate the nonclassical effects, as important resources for the quantum information processing. This is of importance to the conception of quantum networks based on distributed quantum nodes (qubits) for the storage and manipulation of quantum data [32,38,39]. Recent applications for qubit-cavity systems are based on realizing a multi-target-qubit unconventional geometric phase gate [40], entanglement stabilization protocols [41], and the network architecture [42]. We are also interested to analyze the generation and robustness of the phase space information and the mixedness in the cavity-fiber systems depending on the Husimi distribution and Wehrl entropy quantifiers. The quantum effects of these quantifiers may be an indicator to important quantum information [18]. They give sharp signatures of the irreversibility of an open system dynamics [43], the quantum phase transition and quantum coherence [44,45,46].
Therefore, the dynamics of the HD and Wehrl entropy are explored here for two nonlinear spatially separated open cavities linked by an optical waveguide. Each cavity contains one exciton quantum well and is filled by an optical linear medium.
2. Physical Model
Our considered system is formed by two open cavities (A and B). These cavities are linked by a waveguide and filled by a linear optical medium. Each cavity also contains a quantum well placed in a position corresponding to the maximum of the electromagnetic field [47,48,49]. We focus on the case where: (1) the driving lasers are in incident pumping; and (2) the laser, the cavities, the quantum wells, and the fiber modes have the same frequency (resonance). Additionally, we concentrate on the case of the short fiber interaction, which can be realized in usual experimental situations [39,50]. The condition of the short fiber limit is defined by , where l designates the fiber length, c is the light speed in the fiber, and is the cavity dissipation. The interaction Hamiltonian is given by:
The last two terms describe the interaction between the two exciton-photon (EP) systems and the fiber mode. is the annihilation operator for the optical fiber mode, and designates the coupling constants between the optical fiber and the microcavity modes. is the interaction Hamiltonian of the i-EP system,
where () designate the annihilation (creation) operators of the cavities. present the linear optical susceptibility of the k-optical medium inside the cavities. is the annihilation excitonic operator. The second term of the Hamiltonian represents the k-EP interaction with the coupling constants . designates the amplitudes of the k-pumps laser.
The master equation of the system is (we take ) [51]:
The and represent the normalized excitonic spontaneous emission and the cavity dissipation rates, respectively.
For weak pumping and weak dissipations, the off-diagonal terms and can be neglected in Equation (3) [52,53]. Therefore, the density matrix can then be factorized, and Equation (3) becomes:
where the non-Hermitian operator has the following expression:
From Equation (4), the dynamics of the system density matrix, , are governed by the wave function as:
The wave function satisfies:
The model of Equation (1) describes two exciton-photon systems interacting with a fiber field; therefore, the total number of the excitations is identified by . The Hilbert space of the wave function of the system is assumed under the the following conditions: (1) the number of excitations is restricted to 3; (2) only single photon processes are considered. Therefore, the two-exciton basis space is: , , , and the wave function can be represented as:
where designate the cavities-fiber states, and are given by:
Using Equation (7), the dynamics of the time-dependent coefficients are governed by the following differential equations:
where . are the coupling rates between excitons and photons, while are the laser pump amplitudes. In the numerical calculations, we take . The phase space information and the mixture will be studied via the Husimi distributions. In the two-exciton basis states , the reduced density matrix of the two-exciton system is represented as:
Then the reduced density matrices of the k-exciton () are defined by .
After tracing the states of the cavity and fiber fields and the B-exciton, we quantify the Husimi distribution and Wehrl entropy of the A-exciton to explore the phase space information and the mixedness of the A-exciton. In the numerical calculations, the time t represents a unitless time normalized to , where is the round trip time for a photon inside the cavity. We also normalize the parameters of the system to as: , . The the Husimi distribution and Wehrl entropy are investigated under the effects of the mentioned physical parameters after applying the time normalization for of the round-trip time of photons in the cavity. For our investigation, the values of these parameters were chosen so that they are close to that of a typical experiment [54,55,56]. The choice of between 1 and 0.004 gives us a margin for the Rabi frequency between 20 THz and 80 GHz. The choice of the dissipations gives a lifetime of excitons of and a lifetime of photons of (equivalent to a reflection rate of the sample of 95%).
3. Husimi Distribution (HD)
3.1. Phase Space Information of the Husimi Distribution
The HD is a tool to investigate the phase space information for a spin system. Here, we take two -spins (two-exciton system). The phase space information is determined by the angles and [37]. The loss of information means that the HD is invariant in the phase space, and thus it is an inductor of the mixture.
Using the basis: , the two-exciton Bloch coherent states can be written as [57]:
where . Consequently, the HD of the two-exciton system is:
and its partial HD of the k-exciton (say ) is given by:
where represent the the expectation values of the Pauli matrices for the A-exciton associated with its reduced density matrix,
where are the elements of the two-exciton state .
Figure 1 and Figure 2 show the dependence of the HD of the A-exciton on the evolution parameter, the external environment, the cavity-exciton, and the fiber-cavity coupling rates as well as on the optical susceptibility.
Figure 1.
Husimi distribution for and for the cases in (a), in (b), in (c) and in (d).
Figure 2.
Husimi distribution at for in (a) and in (b) for the cases: (solid curves), (dashed curves), (dash-dot curves) and (doted curves).
Figure 1 illustrates the 3D-Husimi distribution of the A-exciton when the total system is initially in the state () where and . The values of the evolution parameter t were chosen based on the results of the Wehrl entropy mixedness. The A-exciton is in a pure state at , and it is in a mixed state at several times, one of them being (see Figure 3a). To show the effect of the cavity-exciton interaction on the initial Husimi distribution , the Husimi distribution is displayed in Figure 1a. The Husimi distribution of the initial A-exciton state has a regular oscillatory behavior. We note that the 3D-Husimi distribution depends only on the angle , and that it has a regular -oscillatory surface. The maxima of the HD are at whereas its minima are at , . In this case, the A-exciton HD oscillate between its extreme values . For we have , and for we get . The counter-plot of the HD appears as color lines in the plane, while parallel lines of the -axis illustrate the dependence of the maxima and minima of the HD on the phase space angular variables.
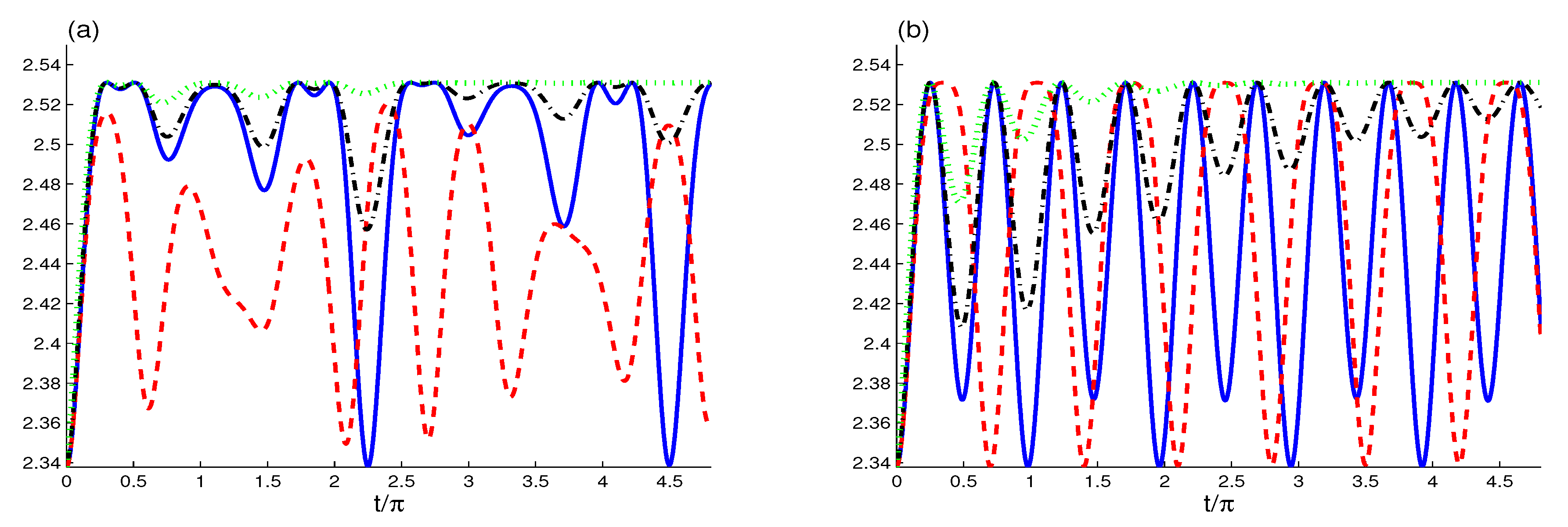
Figure 3.
The Wehrl entropy (WE) for for the different cases: (solid curves), (dash curves), (dashed-doted curves) and (doted curves) for in (a) and in (b).
Figure 1b, at , shows the effect of the [cavity-exciton]-fiber-[cavity-exciton] interactions, with the strong couplings , on the A-exciton HD that leads to a decreasing of the amplitudes of the HD, where the maxima and minima of the HD tend to the stationary HD surface (that appears clear with a large value of damping). The dependence of the HD on the -angle can be controlled by the evolution parameter t.
Figure 1c, shows the Husimi distribution for an optical susceptibility with the same taken strong interaction couplings in Figure 1a. In this case, we observe that the oscillation frequency of HD, due to the unitary interactions, is at the same values as the case . While the oscillation amplitudes of HD increase. The linear optical susceptibility leads to an increase of the dependence of the HD on the -angle, and the maxima and minima of the HD return to their initial values approximately. We deduce that when the cavities are filled by a linear optical medium, the phase space information is more robust against the interactions.
Figure 1d shows the effect of the dissipation cavities on the maxima and minima of HD for the case where the same strong interaction couplings taken in Figure 1a. The amplitudes of the HD oscillations are affected, where the maxima and minima of HD remain at the same stationary value. The HD oscillations vanish after incasing the dissipations. The increase of the dissipation leads to a stationary HD surface of a 0.8 value (see Figure 1d); therefore, it leads to an erasing of the phase space information.
Based on the property that HD depends only on the angle , we can use the partial 2D-Husimi distribution for the fixed value to analyze the phase space information under the effects of the external environment, the cavity-exciton, and the fiber-cavity coupling rates as well as the optical susceptibility; see Figure 2.
In Figure 2a, we display the dependence of the 2D-Husimi distribution on the angle when the coupling strength of the fiber-cavity interaction is reduced to . We observe that the 2D-Husimi distribution has regular oscillations with a -period around the stationary value . For the case and and the maxima of the HD are at , whereas its minima are at ; this is an opposite behavior to the case where the strong fiber-cavity interaction coupling .
The dashed curve shows the effect of the optical susceptibility for the case . We note the same observations of the case . Dash-dot and doted curves show the effect of the cavity dissipation. The observations of the effects of the external environment and the optical susceptibility, for , are confirmed for .
Figure 2b shows the sensitivity of the HD oscillations to the exciton-cavity coupling constants. If they are reduced to , the amplitudes of the HD oscillations present notable changes. By comparing the cases and , we find that the amplitudes of the HD oscillations increase due to enhancement of the optical susceptibility. We find that the weak exciton-cavity couplings lead to an increasing of the dependence of the HD on the -angle, and the phase space information is more robust against the interactions.
Finally, we can deduce that the HD oscillations may be controlled by the exciton-cavity and fiber-cavity coupling constants as well as by the susceptibility of the optical medium.
3.2. Wehrl Entropy
One of the most important applications of the Husimi distribution in quantum information is the Wehrl entropy (WE) [35]. It is used to quantify the mixture (purity loss/mixedness) for open systems in the phase space determined by the angels and [58]. The partial Wehrl density of the k-exciton , is defined by:
from this expression we can deduce the partial WEs of the A-exciton as:
If the two excitons start in the lower state , then the initial value of the partial WE is calculated as [57]:
The WE function [57] verifies,
The initial value of is for a pure state. The maximal value indicates that the state is totally mixed. The Wehrl entropy is a good quantifier that provides important information about the transition processes (mixedness) between a pure state and a steady mixed state. In the real quantum devices, the decoherence is unavoidable, which destroys the pure state. In other words, the Wehrl entropy mixedness is the measure of the environment effect on the system.
For the case of one-qubit systems, there is a relation between the Wehrl entropy and the other entropies as von Neumann entropy and linear entropy [59]. It was proven that they exhibit similar behaviors.
In Figure 3, the WE function is plotted for different values of , and . The solid curve of Figure 3 shows the effect of the strong [cavity-exciton]-fiber-[cavity-exciton] interaction couplings in the absence of the optical medium and the dissipation. The Wehrl entropy shows that the interactions lead to a generation of the mixedness of the A-exciton with a quasi-regular oscillatory behavior. In each period, the Wehrl entropy reaches its maximum value , and remains there for a short interval. In these stability intervals, the A-exciton is in a maximally mixed state. The generated maximally mixed state as an initial state can be useful to realize quantum information processes. The Wehrl entropy returns instantaneously to its initial value at the end of each period (this means that the A-exciton returns to its initial pure state ).
The dashed curve of Figure 3a shows how the optical susceptibility affects the dynamical behavior of the generated A-exciton mixedness. The amplitudes and the period of the oscillations of the Wehrl entropy are decreased by an increasing of the optical susceptibility, i.e., the generated mixedness is reduced due to the increase of the optical susceptibility.
The dash-dot and doted curves show the effect of the external environment on the generated A-exciton mixedness. The increase of the cavity dissipations leads to the increase of the minima of the Wehrl entropy. The WE function reaches stationary behavior quickly, i.e., it leads to an acceleration of the A-exciton, causing it to be in a steady mixed state for a long time. The generated maximally mixed state can be used as an initial state to realize quantum computing processes [60,61] and qubit-channel metrology [62].
The effect of the strength of the fiber-cavity interaction on the generated mixedness is shown in Figure 3b. The Wehrl entropy is displayed when the coupling strength of the fiber-cavity interaction is reduced to . We observe that the WE function has a regular oscillatory behavior with a period. The period, the amplitude, and the stability intervals of the generated mixedness are less than the case where . The dashed curve of Figure 3b shows that the Wehrl entropy is improved by increasing the optical susceptibility, unlike the one in the case of the strong fiber-cavity interaction coupling. In the absence of the dissipation (see the dash-dot and doted curves of Figure 3b), we note that the decrease of the fiber-cavity coupling leads to delaying the WE from reaching the stationary value and the steady mixed state.
Our physical interpretations of the HD-information and the Wehrl entropy-mixedness in qubit-cavity systems linked by a waveguide mode contribute to updating more potential applications for distributed quantum information processing that are based on realizing a multi-target-qubit unconventional geometric phase gate in a multi-cavity system [40], as well as entanglement stabilization protocols between two superconducting qubits that are coupled to distant cavities [41] and the architecture of the cavity-based quantum network [42]. It is found that certain coupling parameters of the exciton-cavity and the fiber-cavity interactions control the effects of the optical linear medium and the environment, which are major obstacles to the applications of the quantum information technology.
4. Conclusions
In this investigation, we have studied the Husimi distributions and Wehrl entropy in a system formed by two open cavities linked by a waveguide. Each cavity contains one exciton and is filled by an optical linear medium. Based on Husimi distributions and Wehrl entropy, we have explored the effects of the optical susceptibility, the cavity dissipation, the coupling of the exciton-cavity and the fiber-cavity interactions. These parameters lead to notable changes in the dynamical behavior of the HD information and the generated mixedness. The generated HD information and the qubit purity are lost completely due to the excitonic spontaneous emission and the cavity dissipations. The mixedness and the HD information may be inhibited by increasing the optical susceptibility and the couplings of the exciton-cavity and the fiber-cavity. Therefore, we can deduce that the HD-information and mixedness depend crucially on the cavity-exciton and fiber cavity interactions as well as on the optical medium density. These physical parameters control the regularity, amplitudes, and frequencies of the generated mixedness. Since the studied system is very compact and can be realized experimentally, we expect that it would be very useful in the design of quantum components involved in quantum information processes.
Author Contributions
The all authors contributed equally to the manuscript. All authors have read and agreed to the published version of the manuscript.
Funding
This project was supported by the Deanship of Scientific Research at Prince Sattam Bin Abdulaziz University under the research project No.2020/01/11801.
Acknowledgments
The authors are very grateful to the referees and the editor for their constructive remarks, which have helped to improve the manuscript.
Conflicts of Interest
The authors declare no conflict of interest.
References
- Walther, H.; Varcoe, B.T.H.; Englert, B.-G.; Becker, T. Cavity quantum electrodynamics. Rep. Prog. Phys. 2006, 69, 1325. [Google Scholar] [CrossRef]
- Miller, R.; Northup, T.E.; Birnbaum, K.M.; Boca, A.; Boozer, A.D.; Kimble, H.J. Trapped atoms in cavity QED: Coupling quantized light and matter. J. Phys. B At. Mol. Opt. Phys. 2005, 38, S551. [Google Scholar] [CrossRef]
- Raimond, J.M.; Brune, M.; Haroche, S. Manipulating quantum entanglement with atoms and photons in a cavity. Rev. Mod. Phys. 2001, 73, 565. [Google Scholar] [CrossRef]
- Nogues, G.; Rauschenbeutel, A.; Osnaghi, S.; Brune, M.; Raimond, J.M.; Haroche, S. Seeing a single photon without destroying it. Nature 1999, 400, 239. [Google Scholar] [CrossRef]
- Sayrin, C.; Dotsenko, I.; Zhou, X.; Peaudecerf, P.; Rybarczyk, T.; Gleyzes, S.; Rouchon, P.; Mirrahimi, M.; Amini, H.; Brune, M.; et al. Real-time quantum feedback prepares and stabilizes photon number states. Nature 2011, 477, 73. [Google Scholar] [CrossRef] [PubMed]
- Burkard, G.; Gullans, M.J.; Mi, X.; Petta, J.R. Superconductor–semiconductor hybrid-circuit quantum electrodynamics. Nat. Rev. Phys. 2020, 2, 129. [Google Scholar] [CrossRef]
- Najer, D.; Söllner, I.; Sekatski, P.; Dolique, V.; Löbl, M.C.; Riedel, D.; Schott, R.; Starosielec, S.; Valentin, S.R.; Wieck, A.D.; et al. A gated quantum dot strongly coupled to an optical microcavity. Nature 2019, 575, 622. [Google Scholar] [CrossRef]
- Kaer, P.; MØrk, J. Decoherence in semiconductor cavity QED systems due to phonon couplings. Phys. Rev. B 2014, 90, 035312. [Google Scholar] [CrossRef]
- Mohamed, A.-B.A.; Eleuch, H. Quantum correlation control for two semiconductor microcavities connected by an optical fiber. Phys. Scr. 2017, 92, 065101. [Google Scholar] [CrossRef]
- Cirac, J.I.; Ekert, A.K.; Huelga, S.F.; Macchiavello, C. Distributed quantum computation over noisy channels. Phys. Rev. A 1999, 59, 4249. [Google Scholar] [CrossRef]
- Paternostro, M.; Kim, M.S.; Palma, G.M. Non-local quantum gates: A cavity-quantum-electrodynamics implementation. J. Mod. Opt. 2003, 50, 2075. [Google Scholar] [CrossRef]
- Pellizzari, T. Quantum Networking with Optical Fibres. Phys. Rev. Lett. 1997, 79, 5242. [Google Scholar] [CrossRef]
- Mancini, S.; Bose, S. Ponderomotive entangling of atomic motions. Phys. Rev. A 2001, 64, 032308. [Google Scholar] [CrossRef]
- Cho, J.; Lee, H.-W. Generation of Atomic Cluster States through the Cavity Input-Output Process. Phys. Rev. Lett. 2005, 95, 160501. [Google Scholar] [CrossRef] [PubMed]
- Su, S.L.; Shao, X.Q.; Guo, Q.; Cheng, L.Y.; Wang, H.F.; Zhang, S. Preparation of entanglement between atoms in spatially separated cavities via fiber loss. Eur. Phys. J. D 2015, 69, 123. [Google Scholar] [CrossRef]
- Mohamed, A.-B.A.; Masmali, I. Control of the Geometric Phase in Two Open Qubit–Cavity Systems Linked by aWaveguide. Entropy 2020, 22, 85. [Google Scholar] [CrossRef]
- Mohamed, A.-B.A.; Eleuch, H. Generation and robustness of bipartite non-classical correlations in two nonlinear microcavities coupled by an optical fiber. J. Opt. Soc. Am. B 2018, 35, 47. [Google Scholar] [CrossRef]
- Nielsen, M.A.; Chuang, I.L. Quantum Computation and Quantum Information; Cambridge University Press: Cambridge, UK, 2000. [Google Scholar]
- Anaya-Contreras, J.A.; Moya-Cessa, H.M.; Zú niga-Segundo, A. The von Neumann Entropy for Mixed States. Entropy 2019, 21, 49. [Google Scholar] [CrossRef]
- Dixit, K.; Naikoo, J.; Banerjee, S.; Alok, A.K. Study of coherence and mixedness in meson and neutrino systems. Eur. Phys. J. C 2019, 79, 96. [Google Scholar] [CrossRef]
- Obada, A.-S.F.; Hessian, H.A.; Mohamed, A.-B.A. The effects of thermal photons on entanglement dynamics for a dispersive Jaynes–Cummings model. Phys. Lett. A 2008, 372, 3699. [Google Scholar] [CrossRef]
- Wang, X.; Sanders, B.C.; Pan, S.-H. Entangled coherent states for systems with SU(2) and SU(1,1) symmetries. J. Phys. A Math. Gen. 2000, 33, 7451. [Google Scholar] [CrossRef]
- Sanders, B.C. Review of entangled coherent states. J. Phys. A Math. Theor. 2012, 45, 244002. [Google Scholar] [CrossRef]
- Adesso, G.; Bromley, T.R.; Cianciaruso, M. Measures and applications of quantum correlations. J. Phys. A Math. Theor. 2016, 49, 473001. [Google Scholar] [CrossRef]
- Mohamed, A.-B.A. Non-local correlations via Wigner Yanase skew information in two SC-qubit having mutual interaction under phase decoherence. Eur. Phys. J. D 2017, 71, 261. [Google Scholar] [CrossRef]
- Mohamed, A.-B.A. Bipartite non-classical correlations for a lossy two connected qubit–cavity systems: Trace distance discord and Bell’s non-locality. Quantum Inf. Process. 2018, 17, 96. [Google Scholar] [CrossRef]
- Ekert, A.; Richard, J. Quantum computation and Shor’s factoring algorithm. Rev. Mod. Phys. 1996, 68, 733. [Google Scholar] [CrossRef]
- Jennewein, T.; Simon, C.; Weihs, G.; Weinfurter, H.; Zeilinger, A. Quantum Cryptography with Entangled Photons. Phys. Rev. Lett. 2000, 84, 4729. [Google Scholar] [CrossRef]
- Sehati, N.; Tavassoly, M.K. Approximate conditional teleportation of a Λ-type three-level atomic state based on cavity QED method beyond Bell-state measurement. Quantum Inf. Process. 2017, 16, 193. [Google Scholar] [CrossRef]
- Bennett, C.H.; Brassard, G. Quantum cryptography: Public key distribution and coin tossin. Theor. Comput. Sci. 2014, 560, 7. [Google Scholar] [CrossRef]
- Puigibert, M.l.G.; Askarani, M.F.; Davidson, J.H.; Verma, V.B.; Shaw, M.D.; Nam, S.W.; Lutz, T.; Amaral, G.C.; Oblak, D.; Tittel, W. Entanglement and nonlocality between disparate solid-state quantum memories mediated by photons. Phys. Rev. Res. A 2020, 2, 013039. [Google Scholar] [CrossRef]
- Sete, E.A.; Eleuch, H. High-efficiency quantum state transfer and quantum memory using a mechanical oscillator. Phys. Rev. A 2015, 91, 032309. [Google Scholar] [CrossRef]
- Husimi, K. Some Formal Properties of the Density Matrix. Proc. Phys. Math. Soc. Jpn. 1940, 22, 264. [Google Scholar]
- Bolda, E.L.; Tan, S.M.; Walls, D. Measuring the quantum state of a Bose-Einstein condensate. Phys. Rev. A 1998, 57, 4686. [Google Scholar] [CrossRef]
- Wehrl, A. General properties of entropy. Rev. Mod. Phys. 1978, 50, 221. [Google Scholar] [CrossRef]
- Yazdanpanah, N.; Tavassoly, M.K.; Juárez-Amaro, R.; Moya-Cessa, H.M. Reconstruction of quasiprobability distribution functions of the cavity field considering field and atomic decays. Opt. Commun. 2017, 400, 69. [Google Scholar] [CrossRef]
- Mohamed, A.-B.A.; Eleuch, H. Coherence and information dynamics of a Λ-type three-level atom interacting with a damped cavity field. Eur. Phys. J. Plus 2017, 132, 75. [Google Scholar] [CrossRef]
- Kimble, H.J. The quantum internet. Nature 2008, 453, 1023. [Google Scholar] [CrossRef]
- Serafini, A.; Mancini, S.; Bose, S. Distributed Quantum Computation via Optical Fibers. Phys. Rev. Lett. 2006, 96, 010503. [Google Scholar] [CrossRef]
- Liu, T.; Cao, X.-Z.; Su, Q.-P.; Xiong, S.-J.; Yang, C.-P. Multi-target-qubit unconventional geometric phase gate in a multi-cavity system. Sci. Rep. 2016, 6, 21562. [Google Scholar] [CrossRef]
- Didier, N.; Guillaud, J.; Shankar, S.; Mirrahimi, M. Remote entanglement stabilization and concentration by quantum reservoir engineering. Phys. Rev. A 2018, 98, 012329. [Google Scholar] [CrossRef]
- Liu, T.; Su, Q.-P.; Zhang, Y.; Fang, Y.-L.; Yang, C.-P. Generation of quantum entangled states of multiple groups of qubits distributed in multiple cavities. Phys. Rev. A 2020, 101, 012337. [Google Scholar] [CrossRef]
- Santos, J.P.; Céleri, L.C.; Brito, F.; Landi, G.T.; Paternostro, M. Spin-phase-space-entropy production. Phys. Rev. A 2018, 97, 052123. [Google Scholar] [CrossRef]
- Yang, L.-P.; Jacob, Z. Engineering first-order quantum phase transitions for weak signal detection. J. Appl. Phys. 2019, 126, 174502. [Google Scholar] [CrossRef]
- Romera, E.; del Real, R.; Calixto, M. Husimi distribution and phase-space analysis of a Dicke-model quantum phase transition. Phys. Rev. A 2012, 85, 053831. [Google Scholar] [CrossRef]
- Mintert, F.; Życzkowski, K. Wehrl entropy, Lieb conjecture, and entanglement monotones. Phys. Rev. A 2004, 69, 022317. [Google Scholar] [CrossRef]
- Houdre, R.; Weisbuch, C.; Stanley, R.P.; Oesterle, U.; Ilegems, M. Nonlinear Emission of Semiconductor Microcavities in the Strong Coupling Regime. Phys. Rev. Lett. 2000, 85, 2793. [Google Scholar] [CrossRef] [PubMed]
- Giacobino, E.; Karr, J.-P.; Messin, G.; Eleuch, H.; Baas, A. Quantum optical effects in semiconductor microcavities Optique quantique dans les microcavites semi-conductrices. C. R. Phys. 2002, 3, 41. [Google Scholar] [CrossRef]
- Eleuch, H.; Courty, J.M.; Messin, G.; Fabre, C.; Giacobino, E. Cavity QED effects in semiconductor microcavities. J. Opt. B 1999, 1, 1. [Google Scholar] [CrossRef]
- van Enk, S.J.; Kimble, H.J.; Cirac, J.I.; Zoller, P. Quantum communication with dark photons. Phys. Rev. A 1999, 59, 2659. [Google Scholar] [CrossRef]
- Louisell, W.H. Quantum Statistical Properties of Radiation; Wiley: New York, NY, USA, 1973. [Google Scholar]
- Eleuch, H. Photon statistics of light in semiconductor microcavities. J. Phys. B At. Mol. Opt. Phys. 2008, 41, 055502. [Google Scholar] [CrossRef]
- Mohamed, A.-B.; Eleuch, H. Non-classical effects in cavity QED containing a nonlinear optical medium and a quantum well: Entanglement and non-Gaussanity. Eur. Phys. J. D 2015, 69, 191. [Google Scholar] [CrossRef]
- Baas, A.; Karr, J.P.; Eleuch, H.; Giacobino, E. Optical bistability in semiconductor microcavities. Phys. Rev. A 2004, 69, 023809. [Google Scholar] [CrossRef]
- Messin, G.; Karr, J.P.; Baas, A.; Khitrova, G.; Houdré, R.; Stanley, R.P.; Oesterle, U.; Giacobino, E. Parametric Polariton Amplification in Semiconductor Microcavities. Phys. Rev. Lett. 2001, 87, 127403. [Google Scholar] [CrossRef] [PubMed]
- Jabri, H.; Eleuch, H. Interaction of a dipolariton system with squeezed light from a parametric down-conversion process. Phys. Rev. A 2020, 101, 053819. [Google Scholar] [CrossRef]
- Mohamed, A.-B.A.; Eleuch, H.; Obada, A.-S.F. Influence of the Coupling between Two Qubits in an Open Coherent Cavity: Nonclassical Information via Quasi-Probability Distributions. Entropy 2019, 21, 1137. [Google Scholar] [CrossRef]
- van Enk, S.J.; Kimble, H.J. On the classical character of control fields in quantum information processing. Quant. Inform. Comput. 2002, 2, 1. [Google Scholar]
- El-Orany, F.A.A. Atomic Wehrl entropy for the Jaynes–Cummings model: Explicit form and Bloch sphere radius. J. Mod. Opt. 2009, 56, 99. [Google Scholar] [CrossRef]
- Siomau, M.; Fritzsche, S. Quantum computing with mixed states. Eur. Phys. J. D 2011, 62, 449. [Google Scholar] [CrossRef]
- Hou, S.-Y.; Sheng, Y.-B.; Feng, G.-R.; Long, G.-L. Experimental Optimal Single Qubit Purification in an NMR Quantum Information Processor. Sci. Rep. 2015, 4, 6857. [Google Scholar] [CrossRef]
- Collins, D. Qubit-channel metrology with very noisy initial states. Phys. Rev. A 2019, 99, 012123. [Google Scholar] [CrossRef]
© 2020 by the authors. Licensee MDPI, Basel, Switzerland. This article is an open access article distributed under the terms and conditions of the Creative Commons Attribution (CC BY) license (http://creativecommons.org/licenses/by/4.0/).


