Abstract
In the course of evolution, Mycobacterium tuberculosis (Mtb), the etiological agent of tuberculosis, has developed sophisticated strategies to evade host immune response, including the synthesis of small non-coding RNAs (sRNAs), which regulate post-transcriptional pathways involved in the stress adaptation of mycobacteria. sRNA MTS1338 is upregulated in Mtb during its infection of cultured macrophages and in the model of chronic tuberculosis, suggesting involvement in host–pathogen interactions. Here, we analyzed the role of MTS1338 in the Mtb response to macrophage-like stresses in vitro. The Mtb strain overexpressing MTS1338 demonstrated enhanced survival ability under low pH, nitrosative, and oxidative stress conditions simulating the antimicrobial environment inside macrophages. Transcriptomic analysis revealed that in MTS1338-overexpressing Mtb, the stress factors led to the activation of a number of transcriptional regulators, toxin–antitoxin modules, and stress chaperones, about half of which coincided with the genes induced in Mtb phagocytosed by macrophages. We determined the MTS1338 “core regulon”, consisting of 11 genes that were activated in all conditions under MTS1338 overexpression. Our findings indicate that MTS1338 is a stress-induced sRNA that promotes Mtb survival in macrophages by triggering adaptive transcriptional mechanisms in response to host antimicrobial defense reactions.
1. Introduction
Mycobacterium tuberculosis (Mtb), the causative agent of tuberculosis, is a highly adapted pathogen that evolved to persist in the human population. During latent infection (a state of continuous immune response to mycobacterial antigens without clinical symptoms), Mtb employs multiple strategies to resist and survive in an aggressive environment within the host, including hypoxia, low pH, and reactive oxygen and nitrogen species (ROS and RNS, respectively), which require effective reprogramming of bacterial metabolic pathways [1,2].
Mycobacteria are known to express small non-coding RNAs (sRNAs), which regulate mRNA and protein expression by controlling mRNA stability, processing, and access to ribosome-binding sites and which have been shown to be closely involved in bacterial survival under stressful conditions, including host immune response [3,4,5,6,7,8]. Thus, previous studies indicate that sRNA MTS1338 (ncRv11733) is strongly expressed in the stationary growth phase, under hypoxia, and during potassium limitation-induced dormancy in vitro as well as during infection in vivo [3,9,10,11]. The MTS1338 gene is located in the intergenic region between Rv1734c and Rv1733c; after transcription, the sRNA is processed to its mature form of 109 nt with two stem loops [7]. MTS1338 is associated with the dormancy survival regulator DosR essential for Mtb persistence [7], and is activated by NO produced in macrophages [11]. The expression of MTS1338 is induced during infection both in Mtb-resistant B6 and Mtb-susceptible I/St mouse strains, showing the highest level at week 10 post-challenge, when MTS1338 transcription in lung-residing mycobacteria is upregulated 1000-fold compared to that observed at the stationary growth phase in vitro [11]. It is noteworthy that the peak of MTS1338 expression coincides with the stage of fully developed anti-Mtb host immune response. The data, together with the fact that MTS1338 is present only in the genomes of highly pathogenic mycobacteria, suggest that this sRNA plays a role in Mtb virulence. This concept is supported by the effects caused by heterologous expression of MTS1338, which confers pathogenic properties to otherwise non-pathogenic Mycobacterium smegmatis, including the ability to delay phagosome maturation in macrophages, which is beneficial for the intracellular survival of the recombinant bacteria [12]. Thus, MTS1338 can be considered as an Mtb virulence factor that promotes the adaptation of mycobacteria to stressful conditions and resistance against host immune response [12].
The aim of this study was to further characterize the role of MTS1338 in Mtb infection. For this, we assessed the effects of MTS1338 overexpression on Mtb survival during macrophage infection and under macrophage-like conditions modeled in vitro. Transcriptomics of the MTS1338-overexpressing strain revealed a reproducible transcriptional signature that corresponded to that of Mtb phagocytosed by macrophages [13], suggesting the involvement of MTS1338 in the Mtb stress response and its contribution to the adaptation and survival of mycobacteria in the hostile intracellular environment.
2. Results
2.1. MTS1338-Overexpressing Mtb Strain Has Increased Viability during Macrophage Infection
To analyze the biological effect of MTS1338 expression in Mtb, THP-1 cells differentiated into macrophages were infected with MTS1338-transformed (MTS1338-over) and empty vector-transformed (pMV-empty) mycobacteria in the logarithmic phase. The results revealed that the MTS1338-over strain, in which MTS1338 expression was significantly upregulated [11], had increased survival compared with the control strain at both time points (24 and 48 h after infection) and MOI values (0.5 and 2) (Figure 1), indicating enhanced resistance of MTS1338-overexpressing mycobacteria against stress conditions existing in the cytosol of infected macrophages.
Figure 1.
MTS1338 overexpression promotes Mtb survival in infected THP-1 cells. At 4 h post infection (p.i.), non-phagocytosed bacteria were removed, then the infected THP-1 cells were incubated for 20 h (24 h p.i.) and 44 h (48 h p.i.). CFU values were measured in triplicate and are presented as the mean ± SD; * p < 0.05, ** p < 0.01.
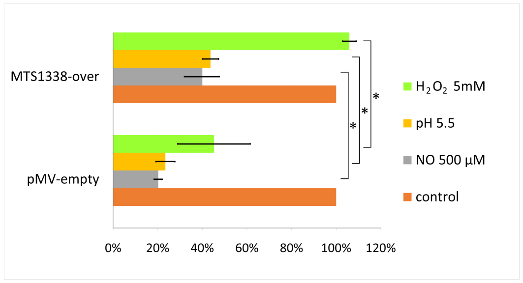
2.2. Stress Tolerance of the MTS1338-Overexpressing Mtb Strain
To examine whether the overexpression of MTS1338 indeed protected Mtb against the hostile environment encountered in the cytosol, we subjected log-phase cultures of the MTS1338-over and pMV-empty control strains to types of stresses similar to those that mycobacteria usually face after macrophage phagocytosis: low pH, ROS, and RNS.
We found that the MTS1338-over strain in the log-phase was more resistant to all the stressful conditions tested than the control strain, especially to ROS (5 mM H2O2) (Figure 2). However, for the MTS1338-over strain in the stationary phase, the maximum level of protection was observed against low pH conditions [11].
Figure 2.
MTS1338 overexpression in Mtb promotes stress tolerance. Stress effects were measured by using [3H]-uracil incorporation; the viability of mycobacteria not subjected to stresses was taken as 100%. The data are presented as the mean ± SD; * p < 0.05.
2.3. Transcriptome Changes Induced by MTS1338 Overexpression in the Logarithmic Growth Phase
As MTS1338 overexpression in Mtb was found to confer resistance to intra-macrophage killing and adaptation to phagocytosis-related stress factors, we speculated that transcriptome remodeling could be a reason for such survival advantages. To test this hypothesis, we performed comparative RNA-seq analysis of the MTS1338-overexpressing and control cultures in the logarithmic growth phase. The numbers of unambiguously mapped, non-chimeric fragments for each sample were between 10 and 19 million (while the number of fragments mapped to rRNA did not exceed 6% of all reads) (Table S1). DESeq2 analysis revealed 60 genes differentially expressed in the two strains, most of which (55) were upregulated, and only a few (5) were downregulated in the MTS1338-overexpressing strain. Functional analysis performed using Mycobrowser indicated that many differentially expressed genes (DEGs) encoded regulatory proteins and/or proteins strongly associated with bacterial adaptation to stress conditions, long-term persistence, and infection (Table S2). In particular, several members of the toxin–antitoxin modules, such as vapBC and mazEF, and genes encoding factors related to metal ion homeostasis, such as ArsR metalloregulatory repressors, metal sensor transcriptional regulator CmtR, and cadmium-inducible CadI, were found to be upregulated. In addition, the genes coding for the heat shock proteins Hsp and ClpB and the major secreted immunogenic protein Mpt70 were also significantly activated by MTS1338 overexpression.
2.4. Transcriptome Changes Induced by Macrophage-like Stresses
2.4.1. Stress-Specific Transcriptional Changes
Stressful conditions affected the transcription in both Mtb strains. We found differential expression of genes associated with stress-specific metabolic pathways (according to STRING database https://string-db.org/, accessed on 16 January 2023) in the MTS1338-overexpressing (Table S3) as well as in the control (Table S4) strain.
Principal component analysis (PCA) of the transcriptional profiles of the two strains revealed that the same stress factor caused similar effects in both, indicating that the influence of MTS1338 overexpression on gene transcription was less significant than that of stresses (Figure 3). Common differentially expressed genes for both the MTS1338-over and pMV empty strains after 24 h subjection to each stress factor in comparison to MTS1338-over and pMV empty logarithmic-phase liquid cultures without stress exposure are listed in Table S5.
Figure 3.
Two-component principal component analysis (PCA) of MTS1338-over (circles) and pMV-empty (triangles) samples under various conditions.
In particular, 33 common DEGs were identified in both strains after low pH exposure, including those related to central metabolic pathways (propionate metabolism, methylcitrate cycle, and fatty acid metabolism) and those associated with general stress response, such as the ethA/R locus (Table S5). The ROS stress (H2O2) affected the expression of 90 genes, including those involved in iron starvation response (siderophore biosynthesis and siderophore-dependent iron import) and metal ion homeostasis; furthermore, genes related to stress response, such as rsha, ogt, alka, and Rv2191, and those involved in the interaction with the host, such as mmpL4, mmpS4, mbtM, esxG, and esxH, were found to be activated (Table S5).
Overall, 94 genes were differentially expressed in both strains after the RNS stress (NO) (Supplementary Table S5). The most characteristic change was the activation of multiple stress response genes, including pncB2, Rv1462, and members of the DosR regulon. Similar to H2O2, NO affected the transcription of genes regulating the response to iron starvation (siderophore biosynthesis and siderophore-dependent iron import) and metal ion homeostasis.
2.4.2. MTS1338-Specific Transcriptional Response
Along with similar transcriptional responses to stress factors in the two Mtb strains, there were also differences due to MTS1338 expression (Table S6). We compared transcriptomes of MTS1338-over and pMV-empty mycobacteria in each stress condition. Overall, 42, 63, and 83 DEGs were identified in the MTS1338-over strain after H2O2, low pH, and NO exposure, respectively. The genes differentially expressed in the two strains under normal and stressful conditions are shown in Figure 4 and their functional annotation is indicated in Table 1.
Figure 4.
Transcriptional differences between MTS1338-overexpressing and pMV-empty strains in stressful and ‘no stress’ (control) conditions. Unfilled circles indicate genes with log2FC ≤ 1.5 and/or padj > 0.1, filled circles—genes with log2FC > 1.5 and padj < 0.1, red circles—condition-specific DEGs, and green circles—common genes in all the conditions tested.
Table 1.
Functional distribution of DEGs in the MTS1338-overexpressing strain exposed to macrophage-like stresses.
The distribution of genes differentially expressed in all conditions and intersecting DEGs identified in MTS1338-overexpressing mycobacteria are shown in Figure 5 and Table S6. Eleven DEGs were upregulated in the MTS1338-over strain irrespective of growth conditions (Figure 5 and Table 2), which allows us to conclude that these genes constitute a core transcriptomic signature of MTS1338 in Mtb. Thus, the overexpression of sRNA MTS1338 in mycobacteria provides a strong and stable transcriptomic response, which may be significant for Mtb survival in a hostile intracellular environment during infection.
Figure 5.
Relationships among DEGs in the MTS1338-overexpressing strain exposed to different conditions.
Table 2.
A core transcriptomic signature of sRNA MTS1338 in Mtb, comprising DEGs upregulated by MTS1338 overexpression under normal and stressful conditions (log2FC > 1.5 and padj < 0.1).
3. Discussion
Bacterial sRNAs are widely recognized as powerful transcriptional regulators, allowing bacterial cells to respond quickly to changing environmental conditions [14,15]. Furthermore, in pathogenic bacterial species, including Mtb, sRNAs may act as virulence factors, promoting survival in the infected host [16,17,18]. Thus, in Mtb, the synthesis of sRNAs and their targets is upregulated after mycobacteria are phagocytosed by alveolar macrophages, where they can reside for a long time in a dormant state, resisting harsh intracellular conditions such as high acidity and oxidative stress [19].
MTS1338, a highly conserved sRNA present exclusively in the genomes of pathogenic mycobacteria, is significantly accumulated in dormant Mtb cells and upregulated in mycobacteria phagocytosed by macrophages in vitro and in mouse models of infection [10,20,21], suggesting the involvement of MTS1338 in host–pathogen interactions. In our previous work [11], we used the mouse model of infection, and demonstrated that MTS1338 is upregulated at the start of infection and remains at a high level until mouse death. We analyzed the MTS1338-overexpressing Mtb strain in the stationary phase and observed growth retardation and transcriptional shifts consistent with decreased bacterial metabolism, translational activity, and cell division [11] characteristic for a general survival strategy in bacteria [22]. It should be noted that the transcriptome of the MTS1338-overexpressing strain in the logarithmic phase obtained in the present study (Table S2) significantly differs from that in the stationary phase [11], reflecting the primary changes caused by MTS1338 overexpression.
MTS1338-overexpressing Mtb in the stationary phase is more resistant to low pH than the control (empty vector) strain [11], but the stress-protective effects of MTS1338 overexpression in the logarithmic phase appear to be more pronounced. While in the stationary cultures, the effects of H2O2 and NO on the Mtb metabolic activity are negligible, in the logarithmic cultures, they are significant (Figure 2).
Considering that mycobacteria phagocytosed by macrophages could be mainly in the active growth state [19,23,24], in this study, we investigated how MTS1338-overexpressing mycobacteria in the logarithmic phase responded to stress factors similar to those encountered by Mtb in macrophages.
The results indicated that MTS1338-overexpressing Mtb could better resist macrophage-like stresses such as low pH, ROS, and RNS, as evidenced by survival analysis, suggesting a role of MTS1338 in Mtb adaptation to the intracellular environment. Comparative transcriptional profiling of the MTS1338-over and pMV-empty strains subjected to stress conditions for 24 h revealed that although MTS1338 influence on Mtb transcriptional activity was not as strong as that of stress factors (Figure 3), there were also significant differences in the stress response between the two strains due to MTS1338 overexpression (Table 1).
Since macrophages are the first line of defense against mycobacterial infection, we compared the Mtb transcriptomic profiles obtained here with those observed in peritoneal macrophages of I/St mice [13], and found that about 50% of the DEGs identified in the stressed MTS1338-overexpressing strain in vitro overlapped with those activated in Mtb residing in peritoneal macrophages: 32 of 60 DEGs in normal conditions, 32 of 63 at low pH, 16 of 42 with ROS, and 54 of 83 with RNS. These results suggest that the upregulation of MTS1338 during Mtb infection triggers the adaptive mechanisms that support mycobacterial survival in the aggressive intra-macrophage environment.
We also identified 11 common DEGs that were upregulated in all (normal and stress) conditions and, therefore, could be considered as a core transcriptomic signature of MTS1338-over. Among them are:
- mpt70, encoding a secreted immunodominant antigen, Mpt70, which is upregulated in response to IFN-γ and nutrient or oxygen deprivation of infected macrophages [25,26] and is known to promote T cell differentiation [27]. Mpt70 is mainly expressed at the later stages of in vivo infection and could be functionally linked to the genes involved in Mtb persistence, such as DosR [27].
- Rv2034, encoding the ArsR repressor, which senses heavy metal ions and causes derepression of stress-induced operons. In Mtb, Rv2034 upregulates phoP and dosR genes [28,29]. PhoP controls the expression of Mtb key virulence factors such as ESX-1, cell wall components, and Ag85 antigen via sRNA Mcr7 and messenger metabolite c-di-AMP, and is essential for Mtb virulence and persistence [8,30]; furthermore, it plays a major role in Mtb survival under hypoxia and acidic pH [31,32]. DosR, a key player in Mtb adaptation to non-replicating survival in the hypoxic environment [22,33], acts together with PhoP in sensing macrophage-like stresses [32]. However, although MTS1338 is regulated by DosR, it is not fully DosR-dependent [7], and neither dosR nor any other Dos-regulated genes were differentially expressed in the MTS1338-over strain. Similarly, the PhoP-encoding gene (Rv0757) also was not identified as a DEG in this study.
- Rv2035, together with Rv2034, is predicted to constitute a novel toxin–antitoxin system involved in Mtb latency during macrophage infection [34].
- cmtR (Rv1994c), a member of the ArsR family, functions as a redox sensor and can be significantly activated by H2O2 stress [35]. CmtR can physically interact with the negative regulator Zur and de-repress the expression of the esx-3 operon, leading to Zn2+ accumulation and the promotion of ROS detoxification in mycobacteria [35]. Consequently, CmtR contributes to bacterial survival in macrophages and in the lungs of infected mice [35].
- The Rv2641–Rv2642 operon. Rv2641 (cadI) encodes a cadmium-induced protein [36] that could be also sensitive to copper and zinc in Mycobacterium bovis BCG [37,38]. The function of CadI is similar to that of metallothioneins—low-molecular-weight cysteine-rich proteins that protect Mtb against metal toxicity [37]. Rv2642 belongs to the ArsR family, and regulates cadI and its own expression through binding to a conserved motif [39]. Rv2642 and Rv2643 are immunogenic and induce significant IFN-γ response in individuals with latent tuberculosis infection [40].
We speculate that the 11 DEGs activated in the MTS1338-overexpressing strain irrespective of growth conditions could be under the direct regulation of MTS1338, representing a mechanism evolved in Mtb to support its survival in the host during infection.
4. Materials and Methods
4.1. MTS1338-Overexpressing Strain
The MTS1338 gene-containing vector was constructed on the basis of pMV261 [41] as previously described [10], and used to transform the Mtb H37Rv strain through electroporation. MTS1338 overexpression was confirmed using qRT-PCR [10]. Mycobacteria transformed with an empty pMV261 vector were used as control.
4.2. Bacterial Growth Conditions
The MTS1338-overexpressing and control Mtb strains were recovered from frozen stocks through incubation in Sauton medium containing (per liter) 0.5 g KH2PO4, 1.4 g MgSO4 × 7 H2O, 4 g L-asparagine, 60 mL glycerol, 0.05 g ferric ammonium citrate, 2 g sodium citrate, and 0.1 mL 1% ZnSO4 (pH 7.0 adjusted with 1 M NaOH) and supplemented with 10% ADC growth supplement [42], 0.05% Tween 80 (Panreac, Barcelona, Spain), and 50 µg/mL kanamycin (Sigma-Aldrich, St. Louis, MO, USA) (full medium). After growth for 10 days at 37 °C with agitation (200 rpm), the starter cultures were inoculated into fresh medium, grown until the log phase, and used for stress survival and RNA-seq experiments.
4.3. Stress Effects on Mtb Survival
To induce low pH stress, recombinant bacteria in the log phase (OD600 = 1) were collected, washed with PBS, diluted to OD600 = 0.2 (107 CFU/mL) in full Sauton medium, pH 5.5, and incubated for 48 h. For nitrosative or oxidative stress, the bacteria (107 CFU/mL) were incubated for 48 h in full Sauton medium (pH 7.0) supplemented with 0.5 mM DETA NONOate (Sigma-Aldrich, St. Louis, MO, USA) or 10 mM H2O2 (Fluka Chemie AG, Buch, Germany), respectively. For the no-stress control, the strains were grown in Sauton medium. The inhibitory effects were estimated using the level of [3H]-uracil incorporation, known to directly correlate (ρ > 99) with CFU counts in mycobacterial cultures [43,44].
4.4. [3H]-Uracil Incorporation
Culture samples (1 mL) were incubated with 1 μL of 5.6-3H uracil (1 mCi) at 37 °C with agitation for 20 h. Then, 200 μL of each sample was mixed with 3 mL of 7% ice-cold CCl3COOH, incubated at 4 °C for 15 min, and filtered through glass microfiber filters (Whatman, Inc., Clifton, NJ, USA), which were subsequently washed with 3 mL of 7% CCl3COOH and 6 mL of 96% ethanol, and placed into 10 mL of scintillation mixture (Ultima Gold AB; PerkinElmer, Waltham, MA, USA). Radioactivity was determined using an LS analyzer ((Beckman Instruments Inc., Palo Alto, CA, USA) and expressed as counts per min (cpm).
4.5. RNA Isolation
Bacterial cultures exposed to stressful conditions for 24 h were rapidly cooled on ice, centrifuged, and subjected to disruption with 0.1 mm zirconia beads in a Bead Beater homogenizer (BioSpec Products, Bartlesville, OK, USA) as previously described [45]. Total RNA was isolated through phenol-chloroform extraction, treated with Turbo DNase (Life Technologies, Gaithersburg, MD, USA) to remove traces of genomic DNA, purified with the RNeasy Mini Kit (Qiagen, Venlo, The Netherlands), and analyzed for quality and quantity through spectrophotometry; RNA integrity was assessed in 1% agarose gels.
4.6. RNA-Seq and Data Analysis
RNA samples were depleted of 16S and 23S rRNA as previously described [46] using ribonuclease H (NEB, USA) and custom oligodeoxyribonucleotides 16S_F: /5′Phos/ 5′-AGAGTTTGATCCTGGCTCAG-3′, 16S_R: 5′-AAGGAGGTGATCCAGCCGCA-3′, 23S_F: /5′Phos/ 5′-YGGTGGATGCCTTGGC-3′, and 23S_R: 5′-YRCTTAGATGCTTTCAGCRBTTATC-3′ (DNA Synthesis, Moscow, Russia); (Y stands for pyrimidine (C or T), R for purine (A or G), and B for C, G, or T (not A). Sequencing libraries were generated using the resulting ribosomal transcript-depleted RNA and the NEBNext Ultra II Directional RNA Library Prep Kit (NEB) according to the manufacturer’s protocol. Sequencing was performed in an Illumina NovaSeq 6000 in paired-end mode as 150 nt long reads. After quality control evaluation and trimming of poor-quality reads, the remaining reads were mapped on the reference Mtb genome (AL123456.3, http://www.ncbi.nlm.nih.gov/, accessed on 2 May 2022) using Bowtie2 [47]. The alignment was performed with the “-local” option, which allows leaving 5′ and 3′ ends unaligned, and the mapped reads for all genes were calculated using functions of the featureCounts package [48] built into the author’s script. DEGs were identified using the software package DESeq2 [49] according to the following criteria: adjusted p-value < 0.1 and log2 fold change (log2FC) value ≥ 1.5. The distribution of DEGs according to functional categories was performed using the Mycobrowser database (https://mycobrowser.epfl.ch/, accessed on 16 May 2022). All RNA-seq data generated in this study have been deposited in the GEO repository under accession number GSE218354.
4.7. Mtb Infection of Macrophages
THP-1 human monocyte cells (ATCC #TIB-202) were seeded on 24-well plates (Costar, USA) and differentiated in the presence of 100 ng/mL phorbol-12-meristat-13-acetate (FMA, Sigma-Aldrich, St. Louis, MO, USA) in RPMI-1640 medium (Gibco BRL, Gaithersburg, MD, USA) supplemented with 10% fetal bovine serum (FCS; Gibco BRL, Gaithersburg, MD, USA) at 37 °C in a 5% CO2 incubator for 24 h until 70~80% confluence. For infection, the differentiated THP-1 cells were collected and seeded on 24-well plates (5 × 104 cells/well); then, mycobacteria, which had been grown to OD600 = 0.8–1.0, washed with PBS, and resuspended in RPMI-1640/10% FCS, were added to cells at a multiplicity of infection (MOI) of 0.5:1 and 2:1. For each strain, equal numbers of bacteria (according to OD) were used for infection. After incubation for 4 h, the infected cell monolayers were washed three times with PBS, cultured for 0, 24, and 48 h, washed again with PBS, lysed in ice-cold 0.01% sodium dodecyl sulphate, and 10-fold serially diluted in milliQ water with 0.05% Tween-80. Then, 10 µL of each dilution was spread on Sauton agar plates in triplicate, and the number of colonies was counted after 21 days to determine CFU/mL values.
4.8. Statistical Analysis
The results are expressed as the mean ± standard deviation of three independent experiments; p < 0.05 was considered to indicate statistically significant differences. Statistical analysis was performed using GraphPad Prism 6 (GraphPad Software, La Jolla, CA, USA).
5. Conclusions
Our results indicate that sRNA MTS1338 promoted Mtb survival in infected macrophages and increased its resistance to macrophage-like stresses in vitro. Transcriptomic profiling showed that in all conditions, MTS1338 activated 11 common genes associated with transcriptional regulation, metal and redox sensing, and the toxin–antitoxin system involved in Mtb latency during macrophage infection, suggesting that this set of MTS1338-dependent ‘core’ genes could constitute a system of Mtb adaptation to any adverse conditions. We suggest that MTS1338 regulates Mtb gene expression in a multi-target manner. At the same time, MTS1338 elicited distinct transcriptional responses to different types of stresses (low pH, ROS, RNS), thus providing Mtb with stress-specific resistance mechanisms. Our findings support the notion that MTS1338 could be an Mtb virulence factor supporting pathogen survival and long-term persistence in the infected host.
Supplementary Materials
The supporting information can be downloaded at: https://www.mdpi.com/article/10.3390/ijms24097928/s1.
Author Contributions
Conceptualization, E.G.S. and T.L.A.; methodology, E.G.S. and T.L.A.; investigation, B.A.M., A.S.G., Y.V.S. and O.S.B.; writing—original draft preparation, B.A.M.; writing—review and editing, B.A.M., A.S.G., E.G.S. and T.L.A. All authors have read and agreed to the published version of the manuscript.
Funding
This work was funded by the Russian Science Foundation—Grant 22-14-00235 (NGS and data analysis) and the Russian Ministry of Science and Higher Education (microbial viability and stress generation experiments).
Data Availability Statement
All RNA-seq data generated for this study have been deposited in the GEO repository under accession number GSE218354.
Acknowledgments
The authors are grateful to Arseny Karpelyants for the fruitful scientific discussion in the early stages of the work.
Conflicts of Interest
The authors declare no conflict of interest.
References
- Stiens, J.; Tan, Y.Y.; Joyce, R.; Arnvig, K.B.; Kendall, S.L.; Nobeli, I. Using a whole genome co-expression network to inform the functional characterisation of predicted genomic elements from Mycobacterium tuberculosis Transcriptomic Data. Mol. Microbiol. 2023, 119, 381–400. [Google Scholar] [CrossRef] [PubMed]
- Vilchèze, C.; Yan, B.; Casey, R.; Hingley-Wilson, S.; Ettwiller, L.; Jacobs, W.R.J. Commonalities of Mycobacterium tuberculosis Transcriptomes in Response to Defined Persisting Macrophage Stresses. Front. Immunol. 2022, 13, 3386. [Google Scholar] [CrossRef] [PubMed]
- Arnvig, K.B.; Comas, I.; Thomson, N.; Houghton, J.; Boshoff, H.I.; Croucher, N.; Rose, G.; Perkins, T.T.; Parkhill, J.; Dougan, G.; et al. Sequence-Based Analysis Uncovers an Abundance of Non-Coding RNA in the Total Transcriptome of Mycobacterium tuberculosis. PLoS Pathog. 2011, 7, e1002342. [Google Scholar] [CrossRef] [PubMed]
- Gerrick, E.R.; Barbier, T.; Chase, M.R.; Xu, R.; François, J.; Lin, V.H.; Szucs, M.J.; Rock, J.M.; Ahmad, R.; Tjaden, B.; et al. Small RNA profiling in Mycobacterium tuberculosis identifies MrsI as necessary for an anticipatory iron sparing response. Proc. Natl. Acad. Sci. USA 2018, 115, 6464–6469. [Google Scholar] [CrossRef]
- Girardin, R.C.; McDonough, K.A. Small RNA Mcr11 requires the transcription factor AbmR for stable expression and regulates genes involved in the central metabolism of Mycobacterium tuberculosis. Mol. Microbiol. 2019, 113, 504–520. [Google Scholar] [CrossRef]
- Mai, J.; Rao, C.; Watt, J.; Sun, X.; Lin, C.; Zhang, L.; Liu, J. Mycobacterium tuberculosis 6C sRNA binds multiple mRNA targets via C-rich loops independent of RNA chaperones. Nucleic Acids Res. 2019, 47, 4292–4307. [Google Scholar] [CrossRef]
- Moores, A.; Riesco, A.B.; Schwenk, S.; Arnvig, K.B. Expression, maturation and turnover of DrrS, an unusually stable, DosR regulated small RNA in Mycobacterium tuberculosis. PLoS ONE 2017, 12, e0174079. [Google Scholar] [CrossRef]
- Solans, L.; Gonzalo-Asensio, J.; Sala, C.; Benjak, A.; Uplekar, S.; Rougemont, J.; Guilhot, C.; Malaga, W.; Martin, C.; Cole, S.T. The PhoP-Dependent ncRNA Mcr7 Modulates the TAT Secretion System in Mycobacterium tuberculosis. PLoS Pathog. 2014, 10, e1004183. [Google Scholar] [CrossRef]
- Arnvig, K.B.; Young, D.B. Identification of small RNAs in Mycobacterium tuberculosis. Mol. Microbiol. 2009, 73, 397–408. [Google Scholar] [CrossRef]
- Ignatov, D.V.; Salina, E.G.; Fursov, M.V.; Skvortsov, T.A.; Azhikina, T.L.; Kaprelyants, A.S. Dormant non-culturable Mycobacterium tuberculosis retains stable low-abundant mRNA. BMC Genom. 2015, 16, 954. [Google Scholar] [CrossRef]
- Salina, E.G.; Grigorov, A.; Skvortsova, Y.; Majorov, K.; Bychenko, O.; Ostrik, A.; Logunova, N.; Ignatov, D.; Kaprelyants, A.; Apt, A.; et al. MTS1338, A Small Mycobacterium tuberculosis RNA, Regulates Transcriptional Shifts Consistent with Bacterial Adaptation for Entering into Dormancy and Survival Within Host Macrophages. Front. Cell. Infect. Microbiol. 2019, 9, 405. [Google Scholar] [CrossRef]
- Bychenko, O.; Skvortsova, Y.; Ziganshin, R.; Grigorov, A.; Aseev, L.; Ostrik, A.; Kaprelyants, A.; Salina, E.G.; Azhikina, T. Mycobacterium tuberculosis Small RNA MTS1338 Confers Pathogenic Properties to Non-Pathogenic Mycobacterium smegmatis. Microorganisms 2021, 9, 414. [Google Scholar] [CrossRef]
- Kondratieva, E.; Majorov, K.; Grigorov, A.; Skvortsova, Y.; Kondratieva, T.; Rubakova, E.; Linge, I.; Azhikina, T.; Apt, A. An In Vivo Model of Separate M. tuberculosis Phagocytosis by Neutrophils and Macrophages: Gene Expression Profiles in the Parasite and Disease Development in the Mouse Host. Int. J. Mol. Sci. 2022, 23, 2961. [Google Scholar] [CrossRef]
- Gottesman, S.; McCullen, C.; Guillier, M.; Vanderpool, C.; Majdalani, N.; Benhammou, J.; Thompson, K.; Fitzgerald, P.; Sowa, N.; Fitzgerald, D. Small RNA Regulators and the Bacterial Response to Stress. Cold Spring Harb. Symp. Quant. Biol. 2006, 71, 1–11. [Google Scholar] [CrossRef]
- Brosse, A.; Guillier, M. Bacterial Small RNAs in Mixed Regulatory Networks. Microbiol. Spectr. 2018, 6, 6.3.05. [Google Scholar] [CrossRef]
- Ahmed, W.; Zheng, K.; Liu, Z.-F. Small Non-Coding RNAs: New Insights in Modulation of Host Immune Response by Intracellular Bacterial Pathogens. Front. Immunol. 2016, 7, 431. [Google Scholar] [CrossRef]
- Schwenk, S.; Arnvig, K.B. Regulatory RNA in Mycobacterium tuberculosis, back to basics. Pathog. Dis. 2018, 76, 1–12. [Google Scholar] [CrossRef]
- Ostrik, A.A.; Azhikina, T.L.; Salina, E.G. Small Noncoding RNAs and Their Role in the Pathogenesis of Mycobacterium tuberculosis Infection. Biochemistry 2021, 86, S109–S119. [Google Scholar] [CrossRef]
- Pisu, D.; Huang, L.; Grenier, J.K.; Russell, D.G. Dual RNA-Seq of Mtb-Infected Macrophages In Vivo Reveals Ontologically Distinct Host-Pathogen Interactions. Cell Rep. 2020, 30, 335–350.e4. [Google Scholar] [CrossRef]
- Arnvig, K.B.; Young, D.B. Non-Coding RNA and Its Potential Role in Mtb Pathogenesis. RNA Biol. 2012, 9, 427–436. [Google Scholar] [CrossRef]
- Ignatov, D.V.; Timoshina, O.Y.; Logunova, N.N.; Skvortsov, T.A.; Azhikina, T.L. Expression of small RNAs of Mycobacterium tuberculosis in murine models of tuberculosis infection. Russ. J. Bioorg. Chem. 2014, 40, 233–235. [Google Scholar] [CrossRef] [PubMed]
- Rustad, T.R.; Sherrid, A.M.; Minch, K.J.; Sherman, D.R. Hypoxia: A window into Mycobacterium tuberculosis latency. Cell. Microbiol. 2009, 11, 1151–1159. [Google Scholar] [CrossRef] [PubMed]
- Huang, L.; Nazarova, E.V.; Tan, S.; Liu, Y.; Russell, D.G. Growth of Mycobacterium tuberculosis in vivo segregates with host macrophage metabolism and ontogeny. J. Exp. Med. 2018, 215, 1135–1152. [Google Scholar] [CrossRef] [PubMed]
- Weiss, G.; Schaible, U.E. Macrophage defense mechanisms against intracellular bacteria. Immunol. Rev. 2015, 264, 182–203. [Google Scholar] [CrossRef] [PubMed]
- Betts, J.C.; Lukey, P.T.; Robb, L.C.; McAdam, R.A.; Duncan, K. Evaluation of a nutrient starvation model of Mycobacterium tuberculosis persistence by gene and protein expression profiling. Mol. Microbiol. 2002, 43, 717–731. [Google Scholar] [CrossRef]
- Bertholet, S.; Ireton, G.C.; Kahn, M.; Guderian, J.; Mohamath, R.; Stride, N.; Laughlin, E.M.; Baldwin, S.L.; Vedvick, T.S.; Coler, R.N.; et al. Identification of Human T Cell Antigens for the Development of Vaccines against Mycobacterium tuberculosis. J. Immunol. 2008, 181, 7948–7957. [Google Scholar] [CrossRef]
- Clemmensen, H.S.; Dube, J.-Y.; McIntosh, F.; Rosenkrands, I.; Jungersen, G.; Aagaard, C.; Andersen, P.; Behr, M.A.; Mortensen, R. In Vivo Antigen Expression Regulates CD4 T Cell Differentiation and Vaccine Efficacy against Mycobacterium tuberculosis Infection. Mbio 2021, 12, e00226-21. [Google Scholar] [CrossRef]
- Gao, C.-H.; Yang, M.; He, Z.-G. An ArsR-like transcriptional factor recognizes a conserved sequence motif and positively regulates the expression of phoP in mycobacteria. Biochem. Biophys. Res. Commun. 2011, 411, 726–731. [Google Scholar] [CrossRef]
- Gao, C.-H.; Yang, M.; He, Z.-G. Characterization of a Novel ArsR-Like Regulator Encoded by Rv2034 in Mycobacterium tuberculosis. PLoS ONE 2012, 7, e36255. [Google Scholar] [CrossRef]
- Ryndak, M.; Wang, S.; Smith, I. PhoP, a key player in Mycobacterium tuberculosis virulence. Trends Microbiol. 2008, 16, 528–534. [Google Scholar] [CrossRef]
- Bansal, R.; Kumar, V.A.; Sevalkar, R.R.; Singh, P.R.; Sarkar, D. Mycobacterium tuberculosis virulence-regulator PhoP interacts with alternative sigma factor SigE during acid-stress response. Mol. Microbiol. 2017, 104, 400–411. [Google Scholar] [CrossRef]
- Singh, P.R.; Vijjamarri, A.K.; Sarkar, D. Metabolic Switching of Mycobacterium tuberculosis during Hypoxia Is Controlled by the Virulence Regulator PhoP. J. Bacteriol. 2020, 202, e00705-19. [Google Scholar] [CrossRef]
- Park, H.-D.; Guinn, K.M.; Harrell, M.I.; Liao, R.; Voskuil, M.I.; Tompa, M.; Schoolnik, G.K.; Sherman, D.R. Rv3133c/dosR is a transcription factor that mediates the hypoxic response of Mycobacterium tuberculosis. Mol. Microbiol. 2003, 48, 833–843. [Google Scholar] [CrossRef]
- Bajaj, R.A.; Arbing, M.A.; Shin, A.; Cascio, D.; Miallau, L. Crystal structure of the toxin Msmeg_6760, the structural homolog of Mycobacterium tuberculosis Rv2035, a novel type II toxin involved in the hypoxic response. Acta Crystallogr. Sect. F Struct. Biol. Commun. 2016, 72, 863–869. [Google Scholar] [CrossRef]
- Li, X.; Chen, L.; Liao, J.; Hui, J.; Li, W.; He, Z.-G. A novel stress-inducible CmtR-ESX3-Zn2+ regulatory pathway essential for survival of Mycobacterium bovis under oxidative stress. J. Biol. Chem. 2020, 295, 17083–17099. [Google Scholar] [CrossRef]
- Hotter, G.S.; Wilson, T.; Collins, D.M. Identification of a cadmium-induced gene in Mycobacterium bovis and Mycobacterium tuberculosis. FEMS Microbiol. Lett. 2001, 200, 151–155. [Google Scholar] [CrossRef]
- Ma, R.; Farrell, D.; Gonzalez, G.; Browne, J.A.; Nakajima, C.; Suzuki, Y.; Gordon, S.V. The TbD1 Locus Mediates a Hypoxia-Induced Copper Response in Mycobacterium bovis. Front. Microbiol. 2022, 13, 817952. [Google Scholar] [CrossRef]
- Salina, E.G.; Huszár, S.; Zemanová, J.; Keruchenko, J.; Riabova, O.; Kazakova, E.; Grigorov, A.; Azhikina, T.; Kaprelyants, A.; Mikušová, K.; et al. Copper-related toxicity in replicating and dormant Mycobacterium tuberculosis caused by 1-hydroxy-5-R-pyridine-2(1H)-thiones. Metallomics 2018, 10, 992–1002. [Google Scholar] [CrossRef]
- Li, Q.; Li, C.; Xie, L.; Zhang, C.; Feng, Y.; Xie, J. Characterization of a Putative ArsR Transcriptional Regulator Encoded by Rv2642 from Mycobacterium tuberculosis. J. Biomol. Struct. Dyn. 2017, 35, 2031–2039. [Google Scholar] [CrossRef]
- Serra-Vidal, M.M.; Latorre, I.; Franken, K.L.C.M.; Dãaz, J.; Galvão, M.L.D.S.; Casas, I.; Maldonado, J.; Milã, C.; Solsona, J.; Jimenez-Fuentes, M.Ã.; et al. Immunogenicity of 60 novel latency-related antigens of Mycobacterium tuberculosis. Front. Microbiol. 2014, 5, 517. [Google Scholar] [CrossRef]
- Stover, C.K.; De La Cruz, V.F.; Fuerst, T.R.; Burlein, J.E.; Benson, L.A.; Bennett, L.T.; Bansal, G.P.; Young, J.F.; Lee, M.H.; Hatfull, G.F.; et al. New use of BCG for recombinant vaccines. Nature 1991, 351, 456–460. [Google Scholar] [CrossRef] [PubMed]
- Connell, N.D. Chapter 6: Mycobacterium: Isolation, Maintenance, Transformation, and Mutant Selection. Methods Cell Biol. 1995, 45, 107–125. [Google Scholar] [CrossRef]
- Hu, Y.; Mangan, J.A.; Dhillon, J.; Sole, K.M.; Mitchison, D.A.; Butcher, P.D.; Coates, A.R.M. Detection of mRNA Transcripts and Active Transcription in Persistent Mycobacterium tuberculosis Induced by Exposure to Rifampin or Pyrazinamide. J. Bacteriol. 2000, 182, 6358–6365. [Google Scholar] [CrossRef] [PubMed]
- Majorov, K.B.; Lyadova, I.V.; Kondratieva, T.K.; Eruslanov, E.B.; Rubakova, E.I.; Orlova, M.O.; Mischenko, V.V.; Apt, A.S. Different Innate Ability of I/St and A/Sn Mice to Combat Virulent Mycobacterium tuberculosis: Phenotypes Expressed in Lung and Extrapulmonary Macrophages. Infect. Immun. 2003, 71, 697–707. [Google Scholar] [CrossRef]
- Rustad, T.R.; Roberts, D.M.; Liao, R.P.; Sherman, D.R. Isolation of Mycobacterial RNA. Methods Mol. Biol. 2009, 465, 13–22. [Google Scholar] [CrossRef]
- Huang, Y.; Sheth, R.U.; Kaufman, A.; Wang, H.H. Scalable and cost-effective ribonuclease-based rRNA depletion for transcriptomics. Nucleic Acids Res. 2020, 48, E20. [Google Scholar] [CrossRef]
- Langmead, B.; Salzberg, S.L. Fast gapped-read alignment with Bowtie 2. Nat. Methods 2012, 9, 357–359. [Google Scholar] [CrossRef]
- Liao, Y.; Smyth, G.K.; Shi, W. feature Counts: An efficient general purpose program for assigning sequence reads to genomic features. Bioinformatics 2014, 30, 923–930. [Google Scholar] [CrossRef]
- Love, M.I.; Huber, W.; Anders, S. Moderated estimation of fold change and dispersion for RNA-seq data with DESeq2. Genome Biol. 2014, 15, 550. [Google Scholar] [CrossRef]
Disclaimer/Publisher’s Note: The statements, opinions and data contained in all publications are solely those of the individual author(s) and contributor(s) and not of MDPI and/or the editor(s). MDPI and/or the editor(s) disclaim responsibility for any injury to people or property resulting from any ideas, methods, instructions or products referred to in the content. |
© 2023 by the authors. Licensee MDPI, Basel, Switzerland. This article is an open access article distributed under the terms and conditions of the Creative Commons Attribution (CC BY) license (https://creativecommons.org/licenses/by/4.0/).




