Abstract
Understanding the spatial distribution of herbaceous vegetation is critical for assessing how biodiversity may respond to climate change, particularly in high-elevation ecosystems. The Qinghai-Tibet Plateau in China is a hotspot of biodiversity research in the world, and the relationship between plant species distribution in alpine communities and topography and soils is understudied in the Anyemaqen Mountains in the northeast of the Qinghai-Tibet Plateau. This study investigates the patterns of α and β diversity of herbaceous plants and their key environmental drivers in the subalpine ecosystem of the Anyemaqen Mountains on the Qinghai-Tibet Plateau. Data on vegetation and environmental variables were collected across a gradient of 10 elevations ranging from 3600 to 4600 m during the 2021 growing season. Statistical analyses, including one-way ANOVA, redundancy analysis (RDA), and Monte Carlo significance tests, revealed significant differences between sunny and shady slopes in species composition and diversity. Species richness decreased with increasing elevation on sunny slopes, while the reverse trend was observed on shady slopes. Elevation and gradient were the most influential factors in both slope aspects, while soil thickness was significant on shady slopes. These findings contribute to understanding the environmental mechanisms that regulate biodiversity in alpine ecosystems and provide valuable insights for formulating conservation strategies in response to climate change.
1. Introduction
Biodiversity includes the diversity of ecosystems, interspecies, and individual species, and is the result of long-term interactions between species and their environment [1,2]. Grasslands cover about 40% of the world’s land surface and play a crucial role in the terrestrial carbon cycle and mitigating climate change [3]. Changes in these systems are more complex than those in single life-form systems and often provide many important services such as carbon sequestration, wildlife habitats, and food production [4]. Herbaceous plants are important components of forest floor plant communities in forest ecosystems and have important impacts on forest health and ecological functions. By studying the diversity of herbaceous plants, we can understand changes in forest biodiversity and the impact of herbaceous plants on forest ecosystem functions [5]. Additionally, the diversity of herbaceous plants affects ecological processes such as species composition, biomass, and nutrient cycling in forests and can serve as indicators for assessing forest biodiversity and function, helping to design appropriate forest management strategies [6]. At the same time, herbs also provide food resources and habitats for other organisms to survive and reproduce [7]. The study of the environmental factors (aspect of slope, elevation, gradient, coverage, soil pH, soil stone content, soil thickness) that affect biodiversity is helpful in the selection of appropriate measures to increase the vegetation biomass in high-elevation mountain areas, achieve water conservation, and protect soil and carbon sequestration.
Due to the limited physiological tolerance of alpine vegetation to environmental changes, improving ecosystems, especially mountain ecosystems in arid and semi-arid areas, has been identified as a hotspot topic in global change research by ecologists and geographers. Studies have shown that in high-elevation areas, gradient, slope direction, and elevation largely determine the changes in environmental factors and their combinations, thus affecting the growth and distribution of vegetation [8,9]. The biodiversity of herbaceous vegetation is mainly driven by environmental pressure and is the result of the interaction of multiple factors [10,11]. Among the influencing factors, the explanatory power of topographic variables on the distribution of herbaceous vegetation has been found to be higher than that of site conditions, and the elevation gradient significantly affects the distribution of vegetation [12,13]. Studies by Xu et al. have shown that latitude and elevation gradients have significant effects on the response of herbaceous plant communities [14]. The species richness of alpine herbaceous vegetation is generally determined by the spatial heterogeneity of precipitation and mean temperature. Compared with woody vegetation, alpine herbaceous vegetation is more sensitive to temperature changes along the elevation gradient [15,16,17]. However, there are differences among related studies, and more exploration is urgently needed on the distribution patterns of alpine herbaceous vegetation at different spatial scales and their responses to environmental changes.
The woodlands in the northeastern part of the Qinghai-Tibet Plateau are mostly temperate deciduous broad-leaved forests and coniferous forests, with rich understory herbaceous vegetation. The temperate grasslands in the central and eastern regions are gradually replaced by alpine meadows, and the soil is mostly permafrost [18,19,20]. Previous studies on the Anyemaqen Mountains have been mostly related to glacier changes and glacier meltwater resources [21], and there are few studies on the diversity of herbaceous communities in Anyemaqen Mountains, especially on the distribution pattern of herbaceous plants in different elevation gradients and slope aspects. Therefore, this study aims to address the following questions: (1) Are there differences in the distribution of herbaceous vegetation between sunny and shady slopes?; (2) How does α and β diversity of herbaceous vegetation change along elevation gradients under two different aspects?; and (3) Which environmental factors are key factors influencing the distribution of herbaceous vegetation diversity in the Anyemaqen Mountains? This study analyzes the relationship between the distribution of herbaceous plants and environmental factors in the Anyemaqen Mountains, and provides a valuable analysis for the change and maintenance mechanisms of herbaceous diversity in the Tibetan Plateau and alpine regions.
2. Materials and Methods
2.1. Study Area Overview
The Anyemaqen Mountain Nature Reserve is located in the source region of the Yellow River in the northeastern part of the Qinghai-Tibet Plateau [21]. It represents the easternmost segment of the northern, central, and southern branches of the eastern Kunlun Mountains extending into Qinghai Province. It is also one of the Sanjiangyuan Nature Reserves, with a planned area of 1000 km2 (Figure 1). The study area has a plateau cold and humid climate, with abundant light and water resources and relatively low heat. The annual average precipitation is 516 mm, with the majority falling from May to September, accounting for over 85% of the total annual precipitation. The annual average evaporation is 807.4 mm, and the annual average sunshine hours are 2576 h. The annual average temperature is −7.7 °C, with extreme maximum and minimum temperatures of 26.6 °C and −34.9 °C, respectively, and a mean diurnal temperature range of 15.7 °C [22,23,24]. In this reserve, the area of 150 km2 above the snow line of the Anyemaqen Mountains is classified as the core area, while the ecological area below the snow line, encompassing herbaceous and shrubby vegetation over 850 km2, is designated as the buffer zone. The study area belongs to the alpine mountainous climate zone and is rich in alpine forest vegetation and precious wildlife. The dominant tree species in the forest community include Juniperus przewalskii and Picea crassifolia, both of which are endemic to China. Shrubs include Salix cupularis, Dasiphora fruticosa, Caragana microphylla, and Hippophae rhamnoides. The forest area covers 6.29 km2, and the shrub area covers 469.15 km2. The elevation ranges from 3000 to 6300 m. The region features well-developed glacial land forms, forming the famous accumulative stone glaciers. It is the primary distribution area of glaciers in the Yellow River Basin.
Figure 1.
(a) Study area and study sites. (b) Quadrat photos of the study area. (c) Photos of alpine vegetation landscape in the study area.
2.2. Data Collection
2.2.1. Plot Survey
Field surveys were conducted during the growing season in July 2021 in the Anyemaqen Mountains, which are located in the northeast of the Tibetan Plateau. In the elevation range of 3600 to 4600 m, a gradient zone was established every 100 m, and a total of 10 gradient zones were therefore established to study the diversity of herbaceous vegetation under different ecological niches [25,26]. Three plots were established on the shady slope (0°~45°, 315°~360°) and the sunny slope (135°~225°) of each elevation gradient zone, and a total of 60 standard plots of 20 m × 30 m were numbered as (1-1, 1-2, 1-3, 2-1, 2-2, 2-3...). The vegetation community types of the sample plots were analyzed, and the details are shown in Table S1. Standard herbaceous survey quadrats of 1 m × 1 m in size were set in the four corners and center of the plot, with a total of 300 herbaceous quadrats, and herbaceous data for each quadrat were collected. Three sampling points were randomly selected in each plot to excavate a soil profile with a width of 1 × 1.5 m and a depth of 50 cm, and the thickness of the soil layer was recorded. Soil samples of about 1 kg were collected at depths of 10 cm, 20 cm, and 30 cm, respectively, mixed to obtain composite soil samples, and brought back to the laboratory to dry for follow-up measurement.
Topographic factors such as latitude, longitude, elevation, gradient, and aspect were recorded using a Real-Time Kinematic (RTKt60, Centre Testing International Group Co., Ltd., Beijing, China) survey instrument. RTK measurement is a high-precision positioning technology that is based on carrier phase measurements and enables real-time 3D kinematic location results for a test station in a specified coordinate system, achieving centimeter-level (1–10 cm) positioning accuracy [27].
2.2.2. Data Measurement
The scientific name, number, coverage (%), and height (m) of each herb species was measured in each plot of 1 m × 1 m. The average was taken to calculate the relative coverage and relative height of different herbaceous vegetation at each elevation. In addition, we also measured the soil pH, soil thickness (cm), soil stone content (%), and vegetation coverage (%) of each large sample (20 × 30 m). Soil pH was measured using a soil pH rapid tester (PHBJ-261L, Thunder magnet corporation, Beijing, China).
2.3. Data Analysis
2.3.1. Calculation of Diversity Indices
The Importance Value Index (IVI) can comprehensively evaluate the status and role of a species in a community. We calculated the IVI for each herb species, and the formulae was as follows:
IVI = (relative abundance + relative height + relative coverage)/3
We calculated the importance value of each herbaceous vegetation species for each elevation gradient.
The diversity indices are sensitive to the spatial pattern of the environment, and they were calculated in terms of the herb plot survey. We averaged the results of each herbaceous quadrat to obtain the herbaceous diversity data under each gradient. The α- diversity represents the richness of species in the community. The formulas are as follows:
where S is the number of species in the herb plot; N is the total number of individuals in the herb plot; Ni is the number of individuals of the ith species in the herb plot; and α represents Fisher’s alpha.
The β-diversity usually indicates the regularity of species replacement between different communities. In this study, we used the β-diversity to explore the succession characteristics of plant communities at different altitudinal gradients. The formulas are as follows:
where a and b represent the number of species in the two environmental gradients, respectively, c represents the number of species shared by the two environmental gradients, g (H) represents the number of species increasing along environmental gradient H, and l (H) represents the number of species decreasing along environmental gradient H.
2.3.2. Statistical Analysis Method
We used SPSS26 software to examine the effect of elevation change on herbaceous vegetation diversity by using one-way ANOVA [28]. The plot of herb diversity index was drawn in Origin 2022. Redundancy analysis (RDA) was used to evaluate the effects of environmental factors on the distribution of herbaceous vegetation in different slope direction in R 4.4.1 [29]. In order to verify the significance of environmental factors and plant species distribution, a Monte Carlo significance test was performed in CANOCO4.5 [30].
3. Results
3.1. Distribution of Herbaceous Along Elevations on Different Slope Directions
As shown in Figure 2 (Table S2), a total of 246 species of herbaceous vegetation were recorded in the study quadrata, of which 102 species (58 genera) were found only on the sunny slope, accounting for 41.46% of the total species; 70 species (48 genera) were found only on the shady slope, accounting for 28.46%; and the remaining 74 species (48 genera) were found on both slopes, accounting for 30.08%. According to the importance value of herbaceous vegetation (IVI) under different elevation gradients on the shady slope and sunny slope, the dominant species of herbaceous vegetation under each elevation gradient across the different slopes were determined.
Figure 2.
Pie chart of different herbaceous vegetation distribution in the study area.
According to the order of the amount of herbaceous vegetation across different slope directions, the difference in herbaceous vegetation on the sunny slope and shady slope was significant. The herbaceous vegetation on the sunny slope was mainly composed of Asteraceae, Poaceae, and Fabaceae, while the herbaceous vegetation on the shady slope was mainly composed of Asteraceae, Cyperaceae, and Gentianaceae (Table S3). There were 176 species of herbs on the sunny slope, belonging to 87 genera and 31 families. Among them, Asteraceae was the most represented, with a total of 25 species, accounting for the highest proportion. There were 144 species of herbaceous plants belonging to 33 families and 82 genera on the shady slope. The Asteraceae family again had the largest number of species, with 24 species.
There were significant differences in herbaceous IVI under different elevation gradients. At lower elevations (3600–4000 m), Elymus nutans and Potentilla saundersiana were the most dominant on the sunny slope, while Poa tibetica and Kobresia pygmaea were the most dominant on the shady slope. K. pygmaea, Polygonummacro phylum, and E. nutans were the most dominant on the sunny slope in high-elevation areas, while K. pygmaea, K. capillifolia, and Leontopodium pusillum were the most dominant on the shady slope. With an increase in elevation gradient, the average importance values of each herb on the sunny slope gradually became greater than those on the shady slope, as shown in Figure 3.
Figure 3.
Distribution map of importance values of herbaceous vegetation in different slope directions (The red dotted line is the “median” and the top and bottom two dotted lines are “third quartile” and “first quartile”).
3.2. Variation of Herbaceous Vegetation Diversity in Different Slope Directions with Elevation Gradient
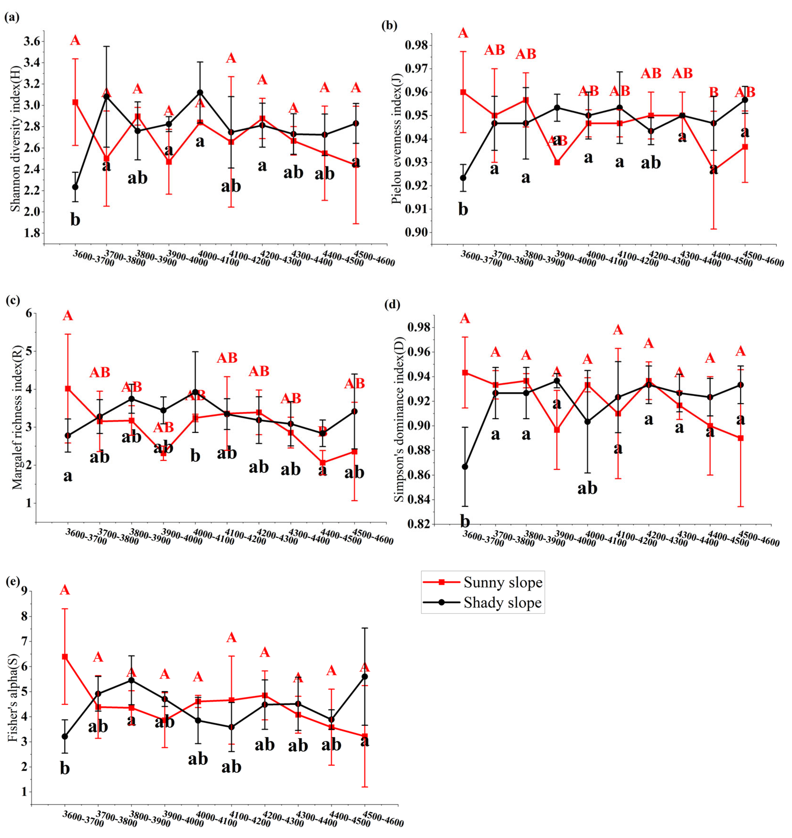
The variation in herbaceous vegetation along the elevation gradient of different slopes was significant (Figure 4). On the sunny slope, all indexes showed a downward trend, among which the Margalef index (R) and Fisher’s alpha (S) showed the most significant downward trend. The Pielou evenness index (J), Simpson’s dominance index (D), and S of different herbaceous vegetation on the shaded slope gradually increased with an increase in elevation gradient. The Shannon diversity index (H) and R reached their maximum values at middle elevation (3700–4000 m).
Figure 4.
Mean plots with standard error (vertical lines) representing changes along elevation for herbaceous diversity indices (a–e) in sunny and shady slopes, with a significance level of α = 0.05. The red line represents sunny slope, and black represents shady slope; capital letters represent the significant difference between different elevations of the sunny slope, and lowercase letters represent the significant difference between different elevations of the shady slope.
3.3. Variation of Herbaceous Vegetation Regeneration in Different Slope Direction with Elevation Gradient
Analysis of Figure 5 shows that the Sorensen similarity index (SI) and the Cody anisotropy index (βc) were 0.33–0.59 and 8.5–26.8, respectively, for the sunny slope. The SI of herbaceous vegetation on the sunny slope increased gradually with the elevation gradient, the same species increased in each gradient zone, and βc decreased gradually, indicating that the interspecific regeneration rate slowed down gradually. The SI and βc of the shady slope were 0.39–0.51 and 8–22, respectively. The SI increased gradually with the elevation gradient, the same species increased gradually, and βc increased first and then decreased, but the fluctuation was not obvious, indicating that the inter-specific regeneration rate did not change much. The results showed that the regeneration rate of herbaceous plants at high elevation (4400–4600 m) was slower, and the species repetition rate was higher. At low elevation (3600–3800 m), the herb regeneration rate was faster and the species repetition rate was lower. As the elevation gradient increased, the regeneration rate of herbaceous vegetation on the shady slope gradually became greater than that on the sunny slope.
Figure 5.
β diversity indices of herbaceous plants at different elevation gradients on sunny and shady slopes ((a,b) respectively).
3.4. Effects of Environmental Factors on the Distribution of Herbaceous Vegetation in Different Slope Directions
We used the redundancy analysis (RDA) method to analyze the relationship between the distribution of herbaceous vegetation and six environmental factors (Figure 6): elevation, gradient, coverage, soil pH (SP), soil stone content (SSC), and soil thickness (ST) in the shady slope and sunny slope (abbreviations are used in Table 1). The results showed that different environmental factors had different effects on the distribution of herbaceous plants on the sunny slope and shady slope. The elevation gradient factor had the greatest effect on the distribution of herbaceous vegetation, and the effect was more significant in the high elevation area (4100–4600 m) of the shady slope. Gradient was the second most major environmental factor affecting the distribution of herbaceous vegetation, and had a greater impact on the distribution of herbaceous vegetation in the middle and low elevation areas (3800–4000 m). Other impact factors such as coverage and SSC had little effect on the distribution of herbaceous vegetation.
Figure 6.
Redundancy analysis (RDA) of different environmental factors.
Table 1.
Monte Carlo significance test of the environmental factors and plant species distribution in different slope directions.
Through analyzing the Monte Carlo significance test results, we found that among the environmental factors, terrain factors have the most significant effect on vegetation distribution in different slope directions. On the sunny slope, elevation gradient and gradient reached the most significant and extremely significant levels, respectively, while other environmental factors had no significant effects (pr > 0.05). On the shady slope, elevation and gradient were the most significant influencing factors (pr = 0.001). ST was a significant influencing factor (0.001 < pr ≤ 0.01), but SP, coverage, and SSC were not significant (pr > 0.05). This indicates that these factors are not the dominant factors affecting the vegetation distribution in the study area. The results showed that the effects of topographic factors on the distribution of herbaceous vegetation in different slope directions were greater than that of other environmental factors, and the influence of environmental factors on the distribution of herbaceous vegetation on the shady slope was greater than that on the sunny slope.
4. Discussion
4.1. Differences in Herbaceous Plants Between Sunny and Shady Slopes
Herbaceous vegetation plays an important role in maintaining the structure and function of forest ecosystems and realizing regional sustainable development. Herbaceous vegetation diversity has an important effect on the distribution of shrublands and the structure of stands [31,32]. The species composition and structure of herbaceous vegetation are important indicators of the health of forest ecosystems and have significant implications for forest ecosystem restoration [33,34,35]. Relevant studies have shown that the dominant species in herbaceous vegetation in high elevation areas in western China are mostly Kobresia pygmaea, Rhodiola rosea, Polygonum viviparum, Poa tibetica, and the dominant species in eastern China are Stipa krylovii, Cleistogenes squarrosa, and Caragana microphylla [36,37,38]. The dominant species in herbaceous vegetation in this study area were Kobresia pygmaea, Elymus nutans, Kobresia capillifolia, and Anemone cathayensis consistent with the study results of high elevation mountain areas in western China. The herbaceous vegetation on the sunny slope was mostly composed of Asteraceae, Poaceae, and Fabaceae, while on the shady slope it mostly comprised Asteraceae, Cyperaceae, and Gentianaceae. Jiahua Han et al. showed that Asteraceae occupied the largest proportion in different slope directions in high elevation areas, which was consistent with the results of this study [39].
Among the environmental factors affecting regional habitat differences, slope aspect has always been considered the dominant factor. Different aspects can lead to significant variations in hydrothermal conditions in mountainous areas, which are the main factors causing regional biodiversity differences [40]. Slope aspect significantly affects the growth characteristics of understory herbaceous vegetation, soil nutrients, and soil erodibility [41]. According to surveys conducted in the study area of the Anyemaqen Mountains, the number of families and genera of herbaceous plants on the sunny slope is greater than that on the shady slope. This may be because the soil temperature on the sunny slope is higher, which is more suitable for the growth of herbaceous plants. This is consistent with the findings of Wang et al. [42]. Aspect plays a dominant role in the distribution of herbaceous plants and changes in soil temperature, indicating that the distribution of mountainous herbaceous plants is greatly influenced by changes in soil temperature. The soil temperature of the sunny slope is higher, which is more suitable for the growth of various herbs [43,44]. The Asteraceae family has the most species on both the sunny and shady slopes of the Anyemaqen Mountains, accounting for 14.12% and 16.67% of the herbaceous species, respectively. Generally, plants of the Asteraceae family prefer sunny environments and are not tolerant of shade. Changes in plant diversity are mainly influenced by environmental factors such as precipitation and temperature. The reason for the results of the present study may be that the research area has a high elevation, with sufficient light and precipitation, and even on the shady slope, Asteraceae plants can receive sufficient light and moisture, which are conducive to their growth [45,46].
4.2. Comparative Analysis of Herbaceous Vegetation on Sunny and Shady Slopes Under Different Elevation Gradients
Related analysis revealed that high-elevation ecosystems typically experience above-average changes in precipitation and temperature, which create uncertainties in many factors such as productivity and biodiversity [47]. The results of this study showed that the number of individuals and species on the sunny slope was relatively higher in the lower elevation area (3600–3900 m), while the number of individuals and species on the shady slope was relatively higher in the higher elevation area (4100–4600 m). Changes in elevation can lead to changes in climate factors such as temperature and precipitation [48]. At lower elevations, the temperature on the sunny slope is higher, which is conducive to the growth of herbaceous vegetation. When the elevation is higher, the temperature on the sunny slope is too high, resulting in relatively fewer herbaceous plants, while the temperature and moisture on the shady slope are more suitable for the growth of herbaceous vegetation [49].
The IVI has the ability to elucidate the dominant position of species in the community and is simple to calculate; it is widely used in various ecological fields [50,51]. We found that as the elevation gradient increased, the dominant species in different slope directions changed from Elymus nutans, Poa tibetica, and Potentilla saundersiana to Kobresia capillifolia, Kobresia pygmaea and Leontopodium pusillum. This adaptive change may be attributed to the ecological and physiological changes in vegetation that are necessary in order to adapt to the alpine environment; the microenvironmental climate change caused by elevation affects the microhabitats of vegetation [52].
4.3. Changes in Herbaceous Vegetation Diversity Index on Sunny and Shady Slopes Under Different Elevation Gradients
We found that with increasing elevation, the α-diversity index of herbaceous vegetation on the sunny slope showed a trend of decreasing fluctuation, while that of herbaceous vegetation on the shady slope showed a trend of increasing fluctuation. This may be because as elevation increases on the sunny slope, temperature decreases and moisture decreases, leading to a decrease in biodiversity, and the numerical proximity of different species gradually decreases. On the shady slope, as the mountain range rises, precipitation gradually increases. Due to the lower temperature and higher soil moisture content, the diversity and evenness indices of herbaceous vegetation gradually increase. Temperature is the main driving factor of vegetation growth, and the driving effect is elevation-dependent. Plateau vegetation at higher elevations is more sensitive to temperature [53].
In the β diversity index, we found that the SI index of both sunny and shady slopes showed an increasing trend with the increase in elevation, while the βC index showed a decreasing trend, and the fluctuation on the shady slope was not obvious. This is consistent with the findings of Gómez-Díaz et al. (2017) [54]. With increasing elevation, species sensitive to cold and cool environments will gradually be excluded, while herbaceous vegetation adapted to cold environments will be retained. However, there are relatively fewer species adapted to cold environments, resulting in a gradual decrease in turnover rate with increasing elevation. Additionally, lower-elevation soils are more suitable for agriculture and other human activities, which may lead to local differences [55]. In addition, we also found that with the increase in elevation on the shady slope, the species regeneration rate gradually became higher than that on the sunny slope. The reason for this may be that the soil evaporation on the shady slope in the high-elevation area is less, and the forest is gradually replaced by herbaceous vegetation. Moreover, the light intensity gradually increases with elevation on the shady slope, which is more suitable for the growth and replacement of herbaceous vegetation [56,57]. The Anyemaqen Mountains in Qinghai Province are located in the northeast of the Qinghai-Tibet Plateau, with relatively dense original vegetation and steep terrain. The impacts of excessive grazing and other human disturbances on the research area are not significant, and there is little change in the area related to herbaceous vegetation utilization.
4.4. Influence of Environmental Factors on the Distribution Pattern of Herbaceous Vegetation
In alpine environments, gradient, aspect, and elevation play an important role in the distribution and growth of vegetation, and topography and local habitats regulate the distribution of alpine plants, mainly by influencing soil conditions [58]. In this study, topographic factors and environmental factors have been shown to have significant effects on the distribution of herbaceous vegetation in different slope directions, and their effects on the shady slope were seen to be more obvious than those on the sunny slope. The reason for this may be that these terrain factors are the main topographic parameters that lead to environmental heterogeneity related to microclimate and vegetation pattern, while the shady slope environment changes more significantly and herbaceous vegetation is more sensitive, which is consistent with the results of Gallardo-Cruz et al. (2022), Chen et al. (2009), and Wang et al. (2023) [59,60,61]. Additionally, ST also has a significant impact on the distribution of herbaceous vegetation on the shady slope, and different soil thickness affects the content of trace elements and microorganisms in the soil, while the soil on the shady slope is moist and has lower temperature, and is more sensitive to related factors [62,63,64,65]. In addition, we also found that SP, SSC, and coverage had little influence on the distribution of herbaceous vegetation. In future studies, relevant studies on soil trace elements and microorganisms (such as N, P, K, microbial communities, and insects) should be incorporated to comprehensively analyze the influence of multiple factors on the biodiversity of alpine herbaceous vegetation. These studies can be combined with analyses of terrain factors to obtain more comprehensive research results, considering both above and below ground influencing factors. These research results will greatly enhance our comprehensive understanding of the distribution pattern of alpine herbaceous vegetation biodiversity and driving factors. Additionally, due to the relatively high elevation of the research area, it was not possible to obtain a sufficient number of samples for analysis, which may have affected the reliability of the conclusions to some extent. In future research, we will conduct a larger number of sample collections in high-elevation mountainous areas and design more rigorous and systematic sampling to provide a more rigorous and accurate research result on the species diversity and distribution of alpine herbaceous vegetation.
5. Conclusions
This study revealed the spatial patterns of grassland community diversity in the Anyemaqen Mountains and the environmental driving mechanisms. The research findings showed that the α and β diversity of sunny and shady slopes exhibit different elevation patterns. As the elevation increased, the α diversity of the sunny slope decreased, and the α diversity of the shady slope fluctuated and increased. The β-diversity index SI fluctuated and increased, while βc decreased with an increase in elevation. This indicates that the distribution of grassland community diversity is significantly influenced by high-elevation environmental filtering, and this pattern of variation is closely associated with the hydrothermal condition differences caused by changes in elevation gradients. Elevation and gradient are the key environmental driving factors explaining the spatial variation of herbaceous vegetation in the Anyemaqen Mountains. This study provides clear insights into further elucidating the mechanisms maintaining herbaceous vegetation diversity in high-elevation areas, which is crucial for understanding how they will cope with future climate change.
Supplementary Materials
The following supporting information can be downloaded at: https://www.mdpi.com/article/10.3390/d16120755/s1, Table S1: Basic situation and vegetation composition of sample plots in Anyemaqen Mountains; Table S2: Species and proportion of herbaceous vegetation in different slope direction in Anyemaqen Mountains; Table S3: The proportion of different herbaceous vegetation on shady slope and sunny slope in Anyemaqen Mountains.
Author Contributions
Conceptualization, Z.D. and H.L. (Hua Liu); methodology, Z.D. and H.L. (Haodong Liu); software, Q.C. and Y.C.; validation, Z.D. and J.X.; formal analysis, H.L. (Haodong Liu); resources, H.L. (Haodong Liu) and H.L. (Hua Liu); data curation, H.L. (Haodong Liu) and X.F.; writing—original draft preparation, Z.D. and H.L. (Haodong Liu); writing—review and editing, Q.C.; visualization, Z.Z. and Y.M.; supervision, Z.D. and H.L. (Haodong Liu); project administration, Z.D. and Q.C.; funding acquisition, Y.C. and Q.C.; All authors have read and agreed to the published version of the manuscript.
Funding
This study was funded by the Special Investigation Project for Scientific and Technological Basic Resources of China (2019FY101601-4).
Data Availability Statement
Data are contained within the article and Supplementary Materials.
Acknowledgments
Thanks go to the Sanjiangyuan Nature Reserve, the government of Goloka State and the Natural Resources Bureau of Maqin County in Qinghai Province, China. The authors thank the foundations for their support. The authors thank the editors and anonymous reviewers whose comments contributed to the quality of this study.
Conflicts of Interest
The authors declare no conflicts of interest.
References
- Chao, A.; Chiu, C.-H.; Jost, L. Unifying Species Diversity, Phylogenetic Diversity, Functional Diversity, and Related Similarity and Differentiation Measures Through Hill Numbers. Annu. Rev. Ecol. Evol. Syst. 2014, 45, 297–324. [Google Scholar] [CrossRef]
- Sterner, R.W.; Ribic, C.A.; Schatz, G.E. Testing for life historical changes in spatial patterns of four tropical tree species. J. Ecol. 1986, 74, 621–633. [Google Scholar] [CrossRef]
- Joos, O.; Hagedorn, F.; Heim, A.; Gilgen, A.K.; Schmidt, M.W.I.; Siegwolf, R.T.W.; Buchmann, N. Summer drought reduces total and litter-derived soil CO2 effluxes in temperate grassland—Clues from a 13C litter addition experiment. Biogeosciences 2010, 7, 1031–1041. [Google Scholar] [CrossRef]
- Wilcox, K.R.; Chen, A.; Avolio, M.L.; Butler, E.E.; Collins, S.; Fisher, R.; Keenan, T.; Kiang, N.Y.; Knapp, A.K.; Koerner, S.E.; et al. Accounting for herbaceous communities in process-based models will advance our understanding of “grassy” ecosystems. Glob. Change Biol. 2023, 29, 6453–6477. [Google Scholar] [CrossRef] [PubMed]
- Wallace, K.J.; Laughlin, D.C.; Clarkson, B.D.; Schipper, L.A. Forest canopy restoration has indirect effects on litter decomposition and no effect on denitrification. Ecosphere 2018, 9, e02534. [Google Scholar] [CrossRef]
- Liang, W.; Wei, X. Relationships between ecosystems above and below ground including forest structure, herb diversity and soil properties in the mountainous area of Northern China. Glob. Ecol. Conserv. 2020, 24, e01228. [Google Scholar] [CrossRef]
- Tian, K.; Chai, P.; Wang, Y.; Chen, L.; Qian, H.; Chen, S.; Mi, X.; Ren, H.; Ma, K.; Chen, J. Species diversity pattern and its drivers of the understory herbaceous plants in a Chinese subtropical forest. Front. Ecol. Evol. 2023, 10, 1113742. [Google Scholar] [CrossRef]
- Ma, W.; Shi, P.; Li, W.; He, Y.; Zhang, X.; Shen, Z.; Chai, S. Changes in individual plant traits and biomass allocation in alpine meadow with elevation variation on the Qinghai-Tibetan Plateau. Sci. China-Life Sci. 2010, 53, 1142–1151. [Google Scholar] [CrossRef]
- Li, Q.; Li, F.; Guo, J.; Guo, L.; Wang, S.; Zhang, Y.; Li, M.; Zhang, C. The Synergistic Effect of Topographic Factors and Vegetation Indices on the Underground Coal Mine Utilizing Unmanned Aerial Vehicle Remote Sensing. Int. J. Environ. Res. Public Health 2023, 20, 3759. [Google Scholar] [CrossRef]
- Huo, H.; Feng, Q.; Su, Y.-h. The Influences of Canopy Species and Topographic Variables on Understory Species Diversity and Composition in Coniferous Forests. Sci. World J. 2014, 2014, 252489. [Google Scholar] [CrossRef]
- Sipos, J.; Chudomelova, M.; Vild, O.; Macek, M.; Kopecky, M.; Szabo, P.; Hedl, R. Plant diversity in deciduous temperate forests reflects interplay among ancient and recent environmental stress. J. Veg. Sci. 2020, 31, 53–62. [Google Scholar] [CrossRef]
- Jiang, Y.; Kang, M.; Zhu, Y.; Xu, G. Plant biodiversity patterns on helan mountain, China. Acta Oecologica-Int. J. Ecol. 2007, 32, 125–133. [Google Scholar] [CrossRef]
- Wang, W.; He, Z.; Du, J.; Ma, D.; Zhao, P. Altitudinal patterns of species richness and flowering phenology in herbaceous community in Qilian Mountains of China. Int. J. Biometeorol. 2022, 66, 741–751. [Google Scholar] [CrossRef] [PubMed]
- Xu, M.; Li, X.; Liu, M.; Shi, Y.; Zhou, H.; Zhang, B.; Yan, J. Spatial variation patterns of plant herbaceous community response to warming along latitudinal and altitudinal gradients in mountainous forests of the Loess Plateau, China. Environ. Exp. Bot. 2020, 172, 103983. [Google Scholar] [CrossRef]
- Carbognani, M.; Tomaselli, M.; Petraglia, A. Different temperature perception in high-elevation plants: New insight into phenological development and implications for climate change in the alpine tundra. Oikos 2018, 127, 1014–1023. [Google Scholar] [CrossRef]
- Cornelius, C.; Leingaertner, A.; Hoiss, B.; Krauss, J.; Steffan-Dewenter, I.; Menzel, A. Phenological response of grassland species to manipulative snowmelt and drought along an altitudinal gradient. J. Exp. Bot. 2013, 64, 241–251. [Google Scholar] [CrossRef]
- Sandanov, D.V.; Liu, Y.; Wang, Z.; Korolyuk, A.Y. Woody and Herbaceous Plants of Inner Asia: Species Richness and Ecogeorgraphic Patterns. Contemp. Probl. Ecol. 2020, 13, 360–369. [Google Scholar] [CrossRef]
- Herzschuh, U.; Birks, H.J.B.; Ni, J.; Zhao, Y.; Liu, H.; Liu, X.; Grosse, G. Holocene land-cover changes on the Tibetan Plateau. Holocene 2010, 20, 91–104. [Google Scholar] [CrossRef]
- Duan, H.; Xue, X.; Wang, T.; Kang, W.; Liao, J.; Liu, S. Spatial and Temporal Differences in Alpine Meadow, Alpine Steppe and All Vegetation of the Qinghai-Tibetan Plateau and Their Responses to Climate Change. Remote Sens. 2021, 13, 669. [Google Scholar] [CrossRef]
- Wang, T.; Huang, X.; Zhang, J.; Luo, D.; Zheng, M.; Xiang, L.; Sun, M.; Ren, X.; Sun, Y.; Zhang, S. Vegetation cover dynamics on the northeastern Qinghai-Tibet Plateau since late Marine Isotope Stage 3. Quat. Sci. Rev. 2023, 318, 108292. [Google Scholar] [CrossRef]
- Li, K.-j.; Cao, B.; Guan, W.-j.; Pan, B.-t.; Shangguan, D.-h. Reconstructed annual glacier surface mass balance in the anyemaqen Mountains, Yellow River source, based on snow line altitude. J. Mt. Sci. 2022, 19, 1070–1081. [Google Scholar] [CrossRef]
- Fang, K.; Gou, X.; Chen, F.; Peng, J.; D’Arrigo, R.; Wright, W.; Li, M.-H. Response of regional tree-line forests to climate change: Evidence from the northeastern Tibetan Plateau. Trees-Struct. Funct. 2009, 23, 1321–1329. [Google Scholar] [CrossRef]
- Peng, J.; Gou, X.; Chen, F.; Li, J.; Liu, P.; Zhang, Y.; Fang, K. Difference in tree growth responses to climate at the upper treeline: Qilian Juniper in the Anyemaqen Mountains. J. Integr. Plant Biol. 2008, 50, 982–990. [Google Scholar] [CrossRef] [PubMed]
- Peng, J.-f.; Gou, X.-h.; Chen, F.-h.; Fang, K.-y. Climate-growth relationships of Qilian juniper Sabina przewalskii in the Anyemaqen Mountains, Tibet. Clim. Res. 2010, 41, 31–40. [Google Scholar] [CrossRef]
- Elsobeiey, M.; Al-Harbi, S. Performance of real-time Precise Point Positioning using IGS real-time service. GPS Solut. 2016, 20, 565–571. [Google Scholar] [CrossRef]
- Cinque, D.; Saccone, M.; Capua, R.; Spina, D.; Falcolini, C.; Gabriele, S. Experimental Validation of a High Precision GNSS System for Monitoring of Civil Infrastructures. Sustainability 2022, 14, 10984. [Google Scholar] [CrossRef]
- Renschler, C.S.; Flanagan, D.C.; Engel, B.A.; Kramer, L.A.; Sudduth, K.A. Site-specific decision-making based on RTK GPS survey and six alternative elevation data sources: Watershed topography and delineation. Trans. ASAE 2002, 45, 1883–1895. [Google Scholar] [CrossRef][Green Version]
- Zhang, G.Y. A Parametric Bootstrap Approach for One-Way ANOVA Under Unequal Variances with Unbalanced Data. Commun. Stat.-Simul. Comput. 2015, 44, 827–832. [Google Scholar] [CrossRef]
- ter Braak, C.J.F. Redundancy analysis includes analysis of variance-simultaneous component analysis (ASCA) and outperforms its extensions. Chemom. Intell. Lab. Syst. 2023, 240, 104898. [Google Scholar] [CrossRef]
- Ushakov, N.G.; Ushakov, V.G. On sensitivity of exponentiality tests to data rounding: A Monte Carlo simulation study. Commun. Stat.-Simul. Comput. 2023, 52, 6225–6234. [Google Scholar] [CrossRef]
- Wu, H.F.; Gao, T.; Zhang, W.; Li, G.; Hao, W.F. Understory Vegetation Composition and Stand Are Mainly Limited by Soil Moisture in Black Locust Plantations of Loess Plateau. Forests 2021, 12, 195. [Google Scholar] [CrossRef]
- Adám, R.; Odor, P.; Bölöni, J. The effects of stand characteristics on the understory vegetation in Quercus petraea and Q. cerris dominated forests. Community Ecol. 2013, 14, 101–109. [Google Scholar] [CrossRef]
- Huh, M.-H. Arrow Diagrams for Kernel Principal Component Analysis. Commun. Stat. Appl. Methods 2013, 20, 175–184. [Google Scholar] [CrossRef]
- Wang, J.-T.; Zheng, Y.-M.; Hu, H.-W.; Li, J.; Zhang, L.-M.; Chen, B.-D.; Chen, W.-P.; He, J.-Z. Coupling of soil prokaryotic diversity and plant diversity across latitudinal forest ecosystems. Sci. Rep. 2016, 6, 19561. [Google Scholar] [CrossRef]
- Gilliam, F.S. The ecological significance of the herbaceous layer in temperate forest ecosystems. Bioscience 2007, 57, 845–858. [Google Scholar] [CrossRef]
- Yang, H.; Yu, X.J.; Song, J.C.; Wu, J.S. Artemisia smithii patches form fertile islands and lead to heterogeneity of soil bacteria and fungi within and around the patches in alpine meadows of the Qinghai-Tibetan Plateau. Front. Plant Sci. 2024, 15, 1411839. [Google Scholar] [CrossRef]
- Ni, X.N.; Guo, W.; Liu, T.; Li, S.H.; Zhang, J.Z. Long-Term Effects of Altered Precipitation Patterns on Alpine Vegetation Species Composition on the Qinghai-Tibet Plateau. Forests 2023, 14, 47. [Google Scholar] [CrossRef]
- Nan, J.; Chao, L.M.; Ma, X.D.; Xu, D.L.; Mo, L.; Zhang, X.D.; Zhao, X.P.; Bao, Y.Y. Microbial diversity in the rhizosphere soils of three Stipa species from the eastern Inner Mongolian grasslands. Glob. Ecol. Conserv. 2020, 22, e00992. [Google Scholar] [CrossRef]
- Han, J.H.; Yin, H.Y.; Xue, J.; Zhang, Z.W.; Xing, Z.; Wang, S.K.; Chang, J.J.; Chen, X.Q.; Yu, B. Vertical distribution differences of the understory herbs and their driving factors on shady and sunny slopes in high altitude mountainous areas. Front. For. Glob. Change 2023, 6, 1138317. [Google Scholar] [CrossRef]
- Peng, J.F.; Cui, J.Y.; Li, J.B.; Peng, M.; Ma, Y.T.; Wei, X.X.; Li, J.K.; Li, X.; Liu, Y.M.; Li, J.X. Microenvironmental effects on growth response of Pinus massoniana to climate at its northern boundary in the Tongbai Mountains, Central China. J. For. Res. 2024, 35, 26. [Google Scholar] [CrossRef]
- Cui, B.S.; Zhai, H.J.; Dong, S.K.; Chen, B.; Liu, S.L. Multivariate analysis of the effects of edaphic and topographical factors on plant distribution in the Yilong Lake Basin of Yun-Gui Plateau, China. Can. J. Plant Sci. 2009, 89, 209–219. [Google Scholar] [CrossRef]
- Wu, Y.; Jia, G.; Yu, X.; Rao, H.; Peng, X.; Wang, Y.; Wang, Y.; Wang, X. Response of soil nutrients and erodibility to slope aspect in the northern agro-pastoral ecotone, China. Soil 2024, 10, 61–75. [Google Scholar] [CrossRef]
- Xue, R.; Yang, Q.; Miao, F.; Wang, X.; Shen, Y. Slope aspect influences plant biomass, soil properties and microbial composition in alpine meadow on the Qinghai-Tibetan Plateau. J. Soil Sci. Plant Nutr. 2018, 18, 1–12. [Google Scholar] [CrossRef]
- Qin, X.; Sun, J.; Wang, X. Plant coverage is more sensitive than species diversity in indicating the dynamics of the above-ground biomass along a precipitation gradient on the Tibetan Plateau. Ecol. Indic. 2018, 84, 507–514. [Google Scholar] [CrossRef]
- Ihaddaden, A.; Velazquez, E.; Maria Rey-Benayas, J.; Kadi-Hanifi, H. Climate and vegetation structure determine plant diversity in Quercus ilex woodlands along an aridity and human-use gradient in Northern Algeria. Flora 2013, 208, 268–284. [Google Scholar] [CrossRef]
- Bugno-Pogoda, A.; Durak, T. Climate and Management Factors Underlying Changes in Beech Forest Herbaceous Layer Plant Communities in the Polish Eastern Carpathians. Forests 2021, 12, 1446. [Google Scholar] [CrossRef]
- Berauer, B.J.; Wilfahrt, P.A.; Arfin-Khan, M.A.S.; Eibes, P.; Von Hessberg, A.; Ingrisch, J.; Schloter, M.; Schuchardt, M.A.; Jentsch, A. Low resistance of montane and alpine grasslands to abrupt changes in temperature and precipitation regimes. Arct. Antarct. Alp. Res. 2019, 51, 215–231. [Google Scholar] [CrossRef]
- Thakur, D.; Altman, J.; Jandova, V.; Fibich, P.; Muenzbergov, Z.; Dolezal, J. Global warming alters Himalayan alpine shrub growth dynamics and climate sensitivity. Sci. Total Environ. 2024, 916, 170252. [Google Scholar] [CrossRef]
- Huang, X.; An, R.; Wang, H.; Xing, F.; Wang, B.; Fan, M.; Fang, Y.; Lu, H. Differential effects of climatic and non-climatic factors on the distribution of vegetation phenology trends on the Tibetan plateau. Heliyon 2023, 9, e21069. [Google Scholar] [CrossRef]
- Muthulingam, U.; Thangavel, S. Density, diversity and richness of woody plants in urban green spaces: A case study in Chennai metropolitan city. Urban For. Urban Green. 2012, 11, 450–459. [Google Scholar] [CrossRef]
- Zhang, M.T.; Kang, X.G.; Meng, J.H.; Zhang, L.X. Distribution patterns and associations of dominant tree species in a mixed coniferous-broadleaf forest in the Changbai Mountains. J. Mt. Sci. 2015, 12, 659–670. [Google Scholar] [CrossRef]
- Wang, M.; Yang, J.; Gao, H.; Xu, W.; Dong, M.; Shen, G.; Xu, J.; Xu, X.; Xue, J.; Xu, C.-Y.; et al. Interspecific plant competition increases soil labile organic carbon and nitrogen contents. For. Ecol. Manag. 2020, 462, 117991. [Google Scholar] [CrossRef]
- Tao, J.; Xu, T.; Dong, J.; Yu, X.; Jiang, Y.; Zhang, Y.; Huang, K.; Zhu, J.; Dong, J.; Xu, Y.; et al. Elevation-dependent effects of climate change on vegetation greenness in the high mountains of southwest China during 1982–2013. Int. J. Climatol. 2018, 38, 2029–2038. [Google Scholar] [CrossRef]
- Gomez-Diaz, J.A.; Kroemer, T.; Kreft, H.; Gerold, G.; Isidro Carvajal-Hernandez, C.; Heitkamp, F. Diversity and composition of herbaceous angiosperms along gradients of elevation and forest-use intensity. PLoS ONE 2017, 12, e0182893. [Google Scholar] [CrossRef]
- Liu, J.; Jiang, B.; Yuan, W.; Jin, C.; Jiao, J.; Wang, Z.; Zhu, J.; Zhan, X.; Liu, J.; Wu, C. Socioeconomic and environmental factors jointly shape beta diversity of woody species in eastern China. Appl. Veg. Sci. 2022, 25, e12641. [Google Scholar] [CrossRef]
- Stein, A.; Gerstner, K.; Kreft, H. Environmental heterogeneity as a universal driver of species richness across taxa, biomes and spatial scales. Ecol. Lett. 2014, 17, 866–880. [Google Scholar] [CrossRef]
- Meng, Q.; Wang, S.; Fu, Z.; Deng, Y.; Chen, H. Soil types determine vegetation communities along a toposequence in a dolomite peak-cluster depression catchment. Plant Soil 2022, 475, 5–22. [Google Scholar] [CrossRef]
- Takahashi, K.; Murayama, Y. Effects of topographic and edaphic conditions on alpine plant species distribution along a slope gradient on Mount Norikura, central Japan. Ecol. Res. 2014, 29, 823–833. [Google Scholar] [CrossRef]
- Chen, L.-F.; Kong, J.-Q.; He, Z.-B.; Zhao, W.-Z.; Song, M.-D.; Li, Y.-M.; Gao, Y.; Yang, S.-P. A Fundamental Role of Slope Aspect and Elevation in Controlling Diversity Patterns of Soil Bacterial Communities: Insights from an Arid-Montane Ecosystem in China. J. Soil Sci. Plant Nutr. 2022, 22, 3996–4007. [Google Scholar] [CrossRef]
- Alberto Gallardo-Cruz, J.; Perez-Garcia, E.A.; Meave, J.A. β-Diversity and vegetation structure as influenced by slope aspect and altitude in a seasonally dry tropical landscape. Landsc. Ecol. 2009, 24, 473–482. [Google Scholar] [CrossRef]
- Wang, P.; Yu, H.; Xiao, H.; Wan, J.; Ma, Q.; Tao, G.; Wang, Q.; Jiang, W.; Ma, L. Effects of habitat factors on the plant diversity on naturally-restored wind farm slopes. Peerj 2023, 11, e14912. [Google Scholar] [CrossRef] [PubMed]
- Zhang, J.-T.; Zhang, F. Ecological relations between forest communities and environmental variables in the Lishan Mountain Nature Reserve, China. Afr. J. Agric. Res. 2011, 6, 248–259. [Google Scholar]
- Zhao, J.; Yang, W.; Tian, L.; Qu, G.; Wu, G.-L. Warming differentially affects above- and belowground ecosystem functioning of the semi-arid alpine grasslands. Sci. Total Environ. 2024, 914, 170061. [Google Scholar] [CrossRef]
- Yu, S.; Liu, X.; Chen, X.; Sun, M.; Cao, Y.; Hu, J.; Yang, L.; Hu, J. Effects of shrub encroachment on grassland community and soil nutrients among three typical shrubby grasslands in the alpine subhumid region of the Qinghai-Tibet Plateau, China. Front. Ecol. Evol. 2022, 10, 1068200. [Google Scholar] [CrossRef]
- Li, K.; Zhang, M.; Li, Y.; Xing, X.; Fan, S.; Cao, Y.; Dong, L.; Chen, D. Karren Habitat as the Key in Influencing Plant Distribution and Species Diversity in Shilin Geopark, Southwest China. Sustainability 2020, 12, 5808. [Google Scholar] [CrossRef]
Disclaimer/Publisher’s Note: The statements, opinions and data contained in all publications are solely those of the individual author(s) and contributor(s) and not of MDPI and/or the editor(s). MDPI and/or the editor(s) disclaim responsibility for any injury to people or property resulting from any ideas, methods, instructions or products referred to in the content. |
© 2024 by the authors. Licensee MDPI, Basel, Switzerland. This article is an open access article distributed under the terms and conditions of the Creative Commons Attribution (CC BY) license (https://creativecommons.org/licenses/by/4.0/).





