Climate Change, Drought and Rural Suicide in New South Wales, Australia: Future Impact Scenario Projections to 2099
Abstract
:1. Introduction
2. Materials and Methods
2.1. Study Region
2.2. Hutchinson Drought Severity Index
2.3. Rainfall and Temperature Data Inputs
2.4. Population Data
2.5. Suicide Data
2.6. Climate Change Scenario Projections
2.7. Statistical Modelling
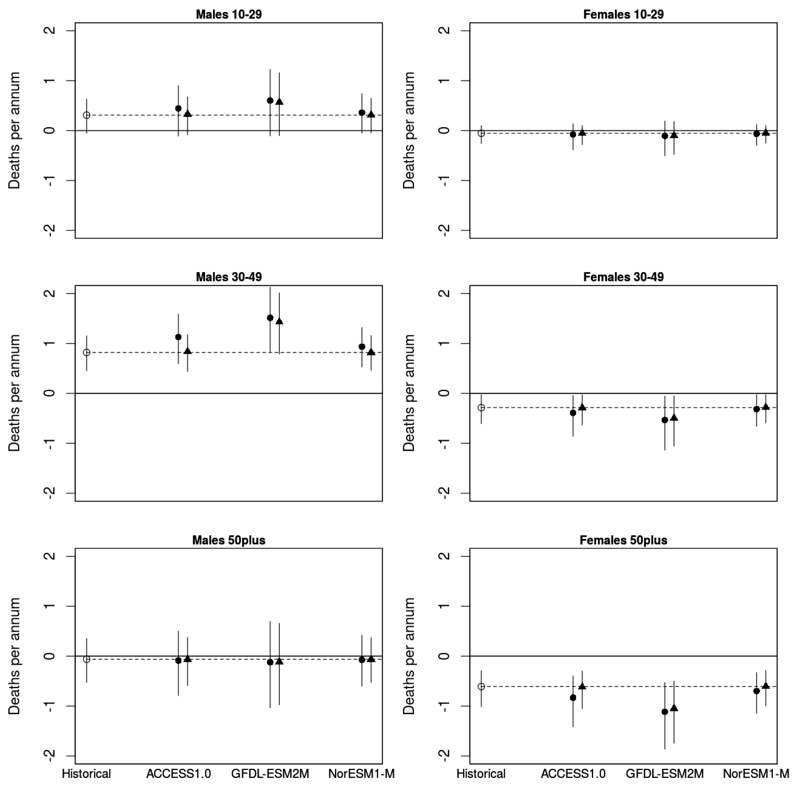
3. Results
4. Discussion
5. Conclusions
Supplementary Materials
Author Contributions
Funding
Institutional Review Board Statement
Informed Consent Statement
Data Availability Statement
Conflicts of Interest
References
- McMichael, A.J.; Woodward, A.; Muir, C. Climate Change and the Health of Nations: Famines, Fevers, and the Fate of Populations; Oxford University Press: New York, NY, USA, 2017. [Google Scholar]
- Marvel, K.; Cook, B.I.; Bonfils, C.J.W.; Durack, P.J.; Smerdon, J.E.; Williams, A.P. Twentieth-century hydroclimate changes consistent with human influence. Nature 2019, 569, 59–65. [Google Scholar] [CrossRef] [PubMed]
- IPCC—Intergovernmental Panel on Climate Change. Special Report on Climate Change, Desertification, Land Degradation, Sustainable Land Management, Food Security, and Greenhouse Gas Fluxes in Terrestrial Ecosystems (SRCCL). IPCC (Report). 2019. Available online: https://www.ipcc.ch/srccl/ (accessed on 14 June 2022).
- Dai, A. Increasing drought under global warming in observations and models. Nat. Clim. Chang. 2012, 3, 52–58. [Google Scholar] [CrossRef]
- Trenberth, K.E.; Dai, A.; Schrier G van der Jones, P.D.; Barichivich, J.; Briffa, K.R.; Sheffield, J. Global warming and changes in drought. Nat. Clim. Chang. 2014, 4, 17–22. [Google Scholar] [CrossRef]
- Kirono, D.G.C.; Kent, D.M.; Hennessy, K.J.; Mpelasoka, F. Characteristics of Australian droughts under enhanced greenhouse conditions: Results from 14 global climate models. J. Arid Environ. 2011, 75, 566–575. [Google Scholar] [CrossRef]
- Van Dijk, A.I.; Beck, H.E.; Crosbie, R.S.; de Jeu, R.A.; Liu, Y.Y.; Podger, G.M.; Timbal, B.; Viney, N.R. The Millennium Drought in southeast Australia (2001–2009): Natural and human causes and implications for water resources, ecosystems, economy, and society. Water Resour. Res. 2013, 49, 1040–1057. [Google Scholar] [CrossRef]
- O’Brien, L.V.; Berry, H.L.; Coleman, C.; Hanigan, I.C. Drought as a mental health exposure. Environ. Res. 2014, 131, 181–187. [Google Scholar] [CrossRef] [Green Version]
- Powers, J.; Dobson, A.; Berry, H.; Graves, A.; Hanigan, I.; Loxton, D. Lack of association between drought and mental health in a cohort of 45–61 year old rural Australian women. Aust. N. Z. J. Public Health 2015, 39, 518–523. [Google Scholar] [CrossRef]
- Austin, E.K.; Handley, T.; Kiem, A.S.; Rich, J.L.; Lewin, T.J.; Askland, H.H.; Askarimarnani, S.S.; Perkins, D.A.; Kelly, B.J. Drought-related stress among farmers: Findings from the Australian Rural Mental Health Study. Med. J. Aust. 2018, 209, 159–165. [Google Scholar] [CrossRef]
- Hanigan, I.; Schirmer, J.; Niyonsenga, T. Drought and Distress in Southeastern Australia. EcoHealth 2018, 15, 642–655. [Google Scholar] [CrossRef]
- Nicholls, N.; Butler, C.D.; Hanigan, I. Inter-annual rainfall variations and suicide in New South Wales, Australia, 1964–2001. Int. J. Biometeorol. 2006, 50, 139–143. [Google Scholar] [CrossRef]
- Hanigan, I.C.; Butler, C.D.; Kokic, P.N.; Hutchinson, M.F. Suicide and drought in New South Wales, Australia, 1970–2007. Proc. Natl. Acad. Sci. USA 2012, 109, 13950–13955. [Google Scholar] [CrossRef] [PubMed] [Green Version]
- Stanke, C.; Kerac, M.; Prudhomme, C.; Medlock, J.; Murray, V. Health effects of drought: A systematic review of the evidence. PLoS Curr. Disasters 2013, 1, 1–38. [Google Scholar] [CrossRef] [PubMed] [Green Version]
- Vins, H.; Bell, J.; Saha, S.; Hess, J. The mental health outcomes of drought: A systematic review and causal process diagram. Int. J. Environ. Res. Public Health 2015, 12, 13251–13275. [Google Scholar] [CrossRef] [PubMed] [Green Version]
- Berry, H.L.; Waite, T.D.; Dear, K.B.; Capon, A.G.; Murray, V. The case for systems thinking about climate change and mental health. Nat. Clim. Chang. 2018, 8, 282–290. [Google Scholar] [CrossRef]
- Dixon, P.; Kalkstein, A. Climate-suicide relationships: A research problem in need of geographic methods and cross-disciplinary perspectives. Geogr. Compass 2009, 3, 1961–1974. [Google Scholar] [CrossRef]
- Vicedo-Cabrera, A.M.; Sera, F.; Gasparrini, A. A hands-on tutorial on a modeling framework for projections of climate change impacts on health. Epidemiology 2019, 30, 1. [Google Scholar] [CrossRef] [Green Version]
- Smith, D.I.; Hutchinson, M.F.; McArthur, R.J. Climatic and Agricultural Drought: Payments and Policy; Australian National University: Canberra, Australia, 1992. [Google Scholar]
- Jones, D.A.; Wang, W.; Fawcett, R. High-quality spatial climate data-sets for Australia. Aust. Meteorol. Oceanogr. J. 2009, 58, 233–248. [Google Scholar] [CrossRef]
- ABS—Australian Bureau of Statistics. Suicides, Australia, 2010 (Cat. No. 3309.0). Canberra. 2010. Available online: https://www.abs.gov.au/AUSSTATS/abs@.nsf/allprimarymainfeatures/7A5013A2773B6167CA2570A6008230C8?opendocument (accessed on 14 June 2022).
- CSIRO. Bureau of Meteorology. Chapter 9 Using Climate Change Data in Impact Assessment and Adaptation Planning in Climate Change in Australia Information for Australia’s Natural Resource Management Regions: Technical Report. Canberra, Australia. 2015. Available online: https://www.climatechangeinaustralia.gov.au/media/ccia/2.1.6/cms_page_media/168/CCIA_2015_NRM_TR_Chapter%209.pdf (accessed on 13 April 2019).
- Harris, R.M.B.; Grose, M.R.; Lee, G.; Bindoff, N.L.; Porfirio, L.L.; Fox-Hughes, P. Climate projections for ecologists. Wiley Interdiscip. Rev. Clim. Chang. 2014, 5, 621–637. [Google Scholar] [CrossRef]
- Obradovich, N.; Migliorini, R.; Paulus, M.P.; Rahwan, I. Empirical evidence of mental health risks posed by climate change. Proc. Natl. Acad. Sci. USA 2018, 115, 10953–10958. [Google Scholar] [CrossRef] [Green Version]
- Deisenhammer, E.A.; Kemmler, G.; Parson, P. Association of meteorological factors with suicide. Acta Psychiatr. Scand. 2003, 108, 455–459. [Google Scholar] [CrossRef]
- Guo, Y.; Gasparrini, A.; Li, S.; Sera, F.; Vicedo- Cabrera, A.M.; de Sousa Zanotti Stagliorio Coelho, M.; Saldiva, P.H.N.; Lavigne, E.; Tawatsupa, B.; Punnasiri, K.; et al. Quantifying excess deaths related to heatwaves under climate change scenarios: A multicountry time series modelling study. PLoS Med. 2018, 15, e1002629. [Google Scholar] [CrossRef] [PubMed]
- Physick, W.; Cope, M.; Lee, S. The impact of climate change on ozone-related mortality in Sydney. Int. J. Environ. Res. Public Health 2014, 11, 1034–1048. [Google Scholar] [CrossRef] [PubMed] [Green Version]
- Lou, J.; Wu, Y.; Liu, P.; Harsha Kota, S.; Huang, L. Health Effects of Climate Change Through Temperature and Air Pollution. Curr. Pollut. Rep. 2019, 5, 144–158. [Google Scholar] [CrossRef]
- Bryant, L.G.; Garnham, B. The fallen hero: Masculinity, shame and farmer suicide in Australia. Gend. Place Cult. 2015, 22, 67–82. [Google Scholar] [CrossRef]
- Hogan, A.; Scarr, E.; Lockie, S.; Chantt, B.; Alston, S. Ruptured Identity of Male Farmers: Subjective Crisis and the Risk of Suicide. J. Rural. Soc. Sci. 2012, 27, 118–140. [Google Scholar]
- Kennedy, A.J.; Maple, M.J.; McKay, K.; Brumby, S.A. Suicide and accidental death in Australia’s rural farming communities: A review of the literature. Rural Remote Health 2014, 14, 2517. [Google Scholar] [CrossRef]
- Kennedy, A.; Adams, J.; Dwyer, J.; Rahman, M.A.; Brumby, S. Suicide in Rural Australia: Are Farming-Related Suicides Different? Int. J. Environ. Res. Public Health 2020, 17, 2010. [Google Scholar] [CrossRef] [Green Version]
- Stark, C.; Gibbs, D.; Hopkins, P.; Belbin, A.; Hay, A.; Selvaraj, S. Suicide in farmers in Scotland. Rural Remote Health 2006, 6, 509. [Google Scholar] [CrossRef]



| SD Group | Rain Annual Average (mm) | Monthly Maximum Temperature Annual Average (C) | Number of Full Droughts | Average Drought Duration (Months) | Maximum Drought Duration (Months) |
|---|---|---|---|---|---|
| Central West | 605 | 22 | 7 | 11 | 25 |
| Mid-North Coast | 1309 | 22 | 8 | 10 | 14 |
| Murray | 410 | 23 | 6 | 10 | 16 |
| Murrumbidgee | 516 | 23 | 8 | 9 | 16 |
| North and Far Western | 371 | 26 | 6 | 9 | 12 |
| Northern | 760 | 23 | 4 | 11 | 19 |
| Richmond-Tweed | 1405 | 24 | 6 | 12 | 18 |
| South Eastern | 790 | 18 | 8 | 11 | 24 |
| SD Group | Sex | Total Suicides | Mean Annual Suicides | Mean Annual Population | Mean Annual Suicide Rate (per 100,000) |
|---|---|---|---|---|---|
| Central West | Male | 434 | 15 | 67,747 | 22 |
| Female | 105 | 4 | 67,248 | 6 | |
| Hunter | Male | 1212 | 42 | 203,210 | 21 |
| Female | 299 | 10 | 205,637 | 5 | |
| Illawarra | Male | 809 | 28 | 132,224 | 21 |
| Female | 228 | 8 | 131,181 | 6 | |
| Mid-North Coast | Male | 530 | 18 | 83,073 | 22 |
| Female | 114 | 4 | 85,065 | 5 | |
| Murray | Male | 284 | 10 | 42,276 | 24 |
| Female | 64 | 2 | 41,213 | 5 | |
| Murrumbidgee | Male | 394 | 14 | 58,718 | 24 |
| Female | 81 | 3 | 57,488 | 5 | |
| North and Far | Male | 492 | 17 | 57,572 | 30 |
| Western * | Female | 74 | 3 | 55,804 | 5 |
| Northern | Male | 506 | 17 | 72,557 | 23 |
| Female | 106 | 4 | 72,349 | 6 | |
| Richmond- | Male | 434 | 15 | 62,366 | 24 |
| Tweed | Female | 109 | 4 | 64,221 | 6 |
| South Eastern | Male | 465 | 16 | 64,079 | 25 |
| Female | 92 | 3 | 62,123 | 5 | |
| Sydney | Male | 8758 | 302 | 1,424,283 | 21 |
| Female | 3352 | 116 | 1,473,113 | 8 |
Publisher’s Note: MDPI stays neutral with regard to jurisdictional claims in published maps and institutional affiliations. |
© 2022 by the authors. Licensee MDPI, Basel, Switzerland. This article is an open access article distributed under the terms and conditions of the Creative Commons Attribution (CC BY) license (https://creativecommons.org/licenses/by/4.0/).
Share and Cite
Hanigan, I.C.; Chaston, T.B. Climate Change, Drought and Rural Suicide in New South Wales, Australia: Future Impact Scenario Projections to 2099. Int. J. Environ. Res. Public Health 2022, 19, 7855. https://doi.org/10.3390/ijerph19137855
Hanigan IC, Chaston TB. Climate Change, Drought and Rural Suicide in New South Wales, Australia: Future Impact Scenario Projections to 2099. International Journal of Environmental Research and Public Health. 2022; 19(13):7855. https://doi.org/10.3390/ijerph19137855
Chicago/Turabian StyleHanigan, Ivan C., and Timothy B. Chaston. 2022. "Climate Change, Drought and Rural Suicide in New South Wales, Australia: Future Impact Scenario Projections to 2099" International Journal of Environmental Research and Public Health 19, no. 13: 7855. https://doi.org/10.3390/ijerph19137855
APA StyleHanigan, I. C., & Chaston, T. B. (2022). Climate Change, Drought and Rural Suicide in New South Wales, Australia: Future Impact Scenario Projections to 2099. International Journal of Environmental Research and Public Health, 19(13), 7855. https://doi.org/10.3390/ijerph19137855

