Abstract
Wind power has features of uncertainty. When wind power producers (WPPs) bid in the day-ahead electricity market, how to deal with the deviation between forecasting output and actual output is one of the important topics in the design of electricity market with WPPs. This paper makes use of a non-probabilistic approach—Information gap decision theory (IGDT)—to model the uncertainty of wind power, and builds a robust optimization scheduling model for wind–storage–electric vehicles(EVs) hybrid system with EV participations, which can make the scheduling plan meet the requirements within the range of wind power fluctuations. The proposed IGDT robust optimization model first transforms the deterministic hybrid system optimization scheduling model into a robust optimization model that can achieve the minimum recovery requirement within the range of wind power output fluctuation, and comprehensively considers each constraint. The results show that the wind–storage–EVs hybrid system has greater operational profits and less impact on the safe and stable operation of power grids when considering the uncertainty of wind power. In addition, the proposed method can provide corresponding robust wind power fluctuation under different expected profits of the decision-maker to the wind–storage–EVs hybrid system.
1. Introduction
The increasing shortage of traditional energy and the increasing environmental pollution have prompted people to pay more and more attention to renewable energy. Wind power participation in power system scheduling has become an effective means to cope with the above problems [1]. In traditional power system scheduling, the optimization model is directly solved usually by using the wind power as a definite parameter. However, in the context of establishing a competitive electrical market after implementing electrical reform, decision makers cannot obtain complete wind power data for the sake of competition secrecy. Moreover, with the large-scale wind power connected to the grid, the intermittent and randomness of wind power makes wind power output increasingly uncertain [2]. The wind power system scheduling becomes a challenge. If the uncertainty is not properly handled, it may lead to serious scheduling problems, such as insufficient climbing ability, insufficient rotation reserve, transmission congestion [3] and demand interruption, which seriously threatens the stable operation of the power system [4,5].
In recent years, there are two main methods for dealing with the uncertainty of wind power in power system operation and scheduling. The first method is utilizing energy storage system, which is used to cooperate with the wind farm to compensate the fluctuation of wind power output. From the perspective of investors, the optimal configuration model of the wind–storage hybrid system with the maximum benefit of wind farm operation and the energy storage system is established, respectively. The research shows that the combined operation of wind and storage relieves the uncertainty of wind energy and improves the economic benefits of investors [6,7]. Considering the contradiction between the operating cost, risk and wind power consumption of the wind–storage hybrid system, a multi-objective optimization model with the aim at lowest operating cost, minimum operating risk and maximum consumption of the wind–storage hybrid system is established. Studies have shown that wind storage integration improves the capacity of wind power consumption and the economy of system operation [8,9], but the energy storage devices are expensive and economically inferior. Nowadays, Electric vehicles (EVs) are connected to the grid through Vehicle-to-Grid (V2G) technology, and they are coordinated as distributed energy storage systems and wind farms, which have received much attention [10]. In [11], the North China Power Grid and the Northwest Power Grid are taken as examples to verify that the coordinated operation of electric vehicles and wind farms can reduce the amount of abandoned wind at night. Aiming at the reliability of the power grid, the wind energy and the volatility of EVs loads are comprehensively considered to propose a charging and discharging control strategy for EVs [12].
The second method is to use the math method to improve the accuracy of forecasting wind power. Under the premise that the wind energy obeys the normal distribution [13], the Monte Carlo method [14] and Stochastic dynamic programming model [15] are used to obtain the wind power forecasting value. On this basis, the joint scheduling model of the wind–storage hybrid system is established, and the optimal scheduling plan in spot market is developed. In [16], on the premise of that the wind speed obeys the Rayleigh distribution, a cooperative dispatching model for the hybrid system of EVs, wind power, photovoltaics, and energy storage is constructed. Utilizing a fuzzy optimization method [17,18], the wind power is processed and the wind power model is solved by mixed integer programming. However, it is quite difficult to obtain the accurate distribution and parameters of wind energy. As an optimization method without requiring a probability distribution of uncertainty variables, IGDT theory can model the deviation between the forecasting and actual value, and determine the range of variable fluctuation according to decision maker’s acceptance of the threat caused by uncertainty [19,20],which has been widely used in power system. Based on the IGDT method, the impact of the uncertainty of load recovery on the safe and stable recovery of power grid [21,22], the uncertainty of forced stop of generator set on thermal Gencos [23], the uncertainty of load demand and distributed power output on active distribution network operation [24], the uncertainty of wind power on power flow calculation of HVDC transmission and voltage management [25,26,27], and the uncertainty of the spot market price for EV aggregators to develop scheduling strategy and Gencos to develop a bidding strategy and allocate trading power rationally [28,29,30,31] have been studied. Therefore, using IGDT robust optimization method to mitigate the uncertainty of wind power is feasible for the joint scheduling of wind–storage–EVs hybrid system.
In this paper, the IGDT optimization method is used to process the uncertain wind power forecasting data. With the goal of maximizing the profit of the wind–storage–EVs hybrid system, the wind–storage–EVs hybrid system day-ahead optimization scheduling model considering the wind power uncertainty is established. Finally, the mixed integer programming model is solved by CPLEX software, and the results of case studies verify the effectiveness of the proposed method.
The major contributions of this paper mainly include the following two points: (1) This paper proposes a novel method based on IGDT which enables the wind–storage–EVs hybrid system to generate its own optimal scheduling strategies. The proposed method does not solve the scheduling strategy with the goal of maximizing profit; however, it deals with the strategy based on robustness coefficient. In this way, the wind–storage–EVs hybrid system can obtain a robust optimal scheduling strategy against the risk caused by wind power uncertainty. (2) IGDT theory is an optimization method that determines the range of variable fluctuations based on the degree of threat acceptance of uncertainty by decision makers. It does not require the probability distribution of uncertain variables, but models the deviation between predicted and actual values. It has been widely used to deal with the uncertainty of load recovery and the uncertainty of electricity price.
2. Wind–Storage–EVs Hybrid System Joint Scheduling Model
Under economic and environmental constraints, wind farms are widely used because of their environmental protection and low cost. Demand response resources (storage energy and EVs) can also be regarded as a rotating standby to participate in wind power system scheduling. In this section, an optimal scheduling model is established after the wind power and the demand response being simultaneously used as scheduling participants, and the abandoned wind rate is reduced by coordinating participants. The model does not consider the uncertainty of wind power output for the time being.
2.1. Objective Function
First, divide a day into time periods. Then, with the goal of maximizing profit of the wind–storage–EVs hybrid system, a day-ahead joint optimization scheduling model of the wind–storage–EVs hybrid system with the participation of EVs is built. In this model, systems with renewable energy resources directly exchanging the electrical energy with private connections [32]. Energy storage systems and EVs absorb surplus wind power during low valleys and gain revenue by peaking during peak periods. The total profit of hybrid system is formulated as follows,
where denotes the on-grid price of the wind–storage–EVs hybrid system at time t; is the wind power at time t; and denote the discharging and charging ability of energy storage system at time t, respectively; represents the time interval, which usually is 1 h; and represents the demand response costs at the time when EVs participate in the joint scheduling of the wind–storage hybrid system, shown as follows,
where indicates the price of EVs participating in auxiliary service in the day-ahead market; indicates the charging and discharging power of gth vehicle at time t; and G is the total number of EVs, which participate in the dispatch.
2.2. Constraints
Usually, the decision variables in the joint scheduling model of the wind–storage–EVs hybrid system in the day-ahead market include the planned output of the wind power station and the charging and discharging plan of the energy storage system the EVs. Therefore, this paper considers the following constraints:
(1) The upper and lower constraint of the wind power:
where is the maximum output of the wind power station at time t, which is the wind forecast power.
(2) Operating constraints of the energy storage system, which include the safety constraints of the energy storage devices (Equation (4)), the charging and discharging equation constraints (Equation (5)), the energy balance constraints under energy storage period (Equation (6)), and the charging and discharging state transition constraints (Equations (7)–(11)):
where denotes the dynamic status at time t of the energy storage; and indicate the maximum and minimum power limit of the energy storage; and mean the charging and discharging efficiency; is the energy content at the initial time; is the energy content at the stop time; and denote the maximum discharge and charge power, respectively; and indicates the charging status at time t (0 indicates charge and 1 indicates discharge); indicates the discharging status at time t (0 indicates discharge and 1 indicates charge); and represents the limit of charging and discharging conversion frequency. Considering the impact of the charging and discharging behavior on energy storage life, it is necessary to limit the frequency of charging and discharging state transitions. As a distributed energy storage system, electric vehicles meet the operational constraints of energy storage systems.
3. IGDT-Based Robust Scheduling Decision Model
3.1. Overview of IGDT-Based Robust Model
Due to the poor regularity of wind power, it is difficult to simulate the accurate value of wind power by traditional stochastic optimization methods such as probability prediction or fuzzy planning method. If the specific probability distribution or parameter of the uncertain variable cannot be obtained, IGDT is an effective tool which can simulate the deviation between the predicted and actual value of the uncertain variable. Then, the decision solution under the uncertainty can be obtained.
Considering different decision makers have different acceptance of threats to uncertainty, IGDT optimization can establish a robust model by maximizing the fluctuation of uncertain variables under guaranteeing the expected goal of the decision maker. Moreover, the solution from simulation can guarantee that the decision makers’ expected goal is always satisfied within the allowable fluctuation.
For an optimization model:
where X is the input variable; d is the decision variable; represents the optimization goal; and and denote the equality and inequality constraints that satisfy the goal, respectively.
Considering the uncertainty of the input variable X, this paper assumes that the forecasting value is and X fluctuates up and down around . Then, based on the IGDT robust optimization method, the uncertain variable can be formulated as follows,
where represents fluctuation range of the uncertainty variable, which is the robust coefficient and means the set of X.
Assuming when the input variable X equals the forecasting value , the optimal solution obtained by the optimization model is . When the input variable X is not equal to the forecasting value , it is difficult for the optimization model to obtain the optimal solution. To achieve the optimized goal, the decision maker can set an acceptable minimum expected target value based on his attitude towards the threat posed by the uncertainty,
where is the degree of deviation between the expected target and the optimal solution , which can be called as a deviation factor ranging from 0 to 1. The larger is the value of , the greater is the risk aversion of the decision maker to the uncertainty.
At this point, the optimized goal of the original optimization model is changed into the determination of the maximum fluctuation amplitude of the input parameter when the result is not lower than the minimum expected target and is formulated as,
The maximum fluctuation range of the uncertain parameter can be obtained from Equation (15) when the minimum decision solution is not less than the expected target . That is to say, when the uncertain parameter X fluctuates within the range , the developed decision-making strategy can resist the threat caused by uncertainty, and the obtained decision solution must be not less than the expected target .
3.2. Derivation of Robust Scheduling Decision Model
The actual wind power fluctuates around the forecasting value. Based on the IGDT theory, the actual wind power can be expressed as,
where indicates the actual output of wind power and indicates the forecasting output of wind power.
Assuming equals , the profit obtained by optimization scheduling model of the wind–storage–EVs hybrid system is . Then, the expected profit belonging to the decision maker can be formulated as,
where indicates deviation factor, which is the deviation between actual income and expected profit. Starting from the subjective factors of the decision maker, shows the tolerance degree to the risks brought by the uncertainty of wind power. Therefore, based on IGDT theory, the objective function of the day-ahead scheduling model of the wind–storage–EVs hybrid system is as follows,
4. Model Solving
The traditional optimization method is difficult to deal with IGDT robust optimization. Hence, Lagrangian relaxation algorithm is utilized to calculate the minimum benefit of the wind–storage–EVs hybrid system.
Since the above is a convex optimization problem, Lagrangian relaxation algorithm can be expressed as:
where means the Lagrangian multiplier. The calculation results can be obtained as follows,
Considering that the uncertainty parameter is always positive, the wind–storage–EVs hybrid system would have the lowest benefit when the wind power takes the minimum value [33]. Thus, can be formulated as,
Substituting it into Equation (18), the objective function can be converted as follows,
In the IGDT robust scheduling model, under an evasive attitude towards the threat caused by uncertainty, the expected profit that the decision maker can accept is the minimum benefit of the wind–storage–EVs hybrid system ,
To obtain Equation (24), the robust coefficient can be expressed as:
Thus, Equation (18) can be transformed into,
In summary, the IGDT-based objective function in Equation (18) of the wind–storage–EVs hybrid system can be simplified as,
The constraints defined in Equations (3)–(11) should be satisfied as well.
5. Numerical Results
The optimal scheduling simulation was performed in 24 periods per day at an interval of 1 h. The rated capacity of the energy storage device is 50 MW, the maximum charging and discharging power is 10 MW, the charging and discharge efficiency are both 90%, and the state of energy storage device charging is 20–100% [34]. The system on-grid price is divided according to the peak-to-valley time-of-use (TOU) price list in Table 1.
Table 1.
The table of TOU price.
Considering that the charging and discharging behavior of large-scale EVs is extremely random, this paper uses the TOU price shown in Table 1 to guide the EVs charging and discharging behavior. The first travel start time and the last travel end time in one day are approximately expressed as a normal distribution function, and the daily travel mileage approximates a Lognormal Distribution Function [35]. Through the function fitting, the probability density function of the first travel start time, the last travel end time, and the daily travel mileage can be obtained, respectively, and the specific result is shown in Equations (28)–(30).
where .
where .
where .
Assuming that there are 20,000 EVs participating in the joint scheduling in the area, according to Equations (28)–(30), the orderly charging and discharging power curve of the EVs obtained by Using Monte Carlo simulation method to simulate the driving behavior of the vehicles [36] is shown in Figure 1.
Figure 1.
Ordered charging and discharging curve of EVs.
Assume there are 100 wind turbines in a certain wind farm participating in system scheduling. The rated output of each generator is 3 MW, and all wind turbines maintain the same wind effect. The wind power can be simulated for the whole day by scenario analysis. First, the wind speed is predicted by the autoregressive moving average model [37], in which the autoregressive parameter is 0.78 and the moving average parameter is −0.34. Secondly, the Latin hypercube layered sampling method is used to sample the predicted wind speed. Then, the scene reduction technique is used to reduce to five scenes. Finally, through the relationship between the wind power and the wind speed, the wind power forecasting output data and its probability are obtained throughout the day in five scenarios [38]. The forecasting wind power curve is shown in Figure 2.
Figure 2.
Wind power forecast output curve.
5.1. Simulation Results
Considering that the established traditional wind–storage–EVs hybrid system joint optimization scheduling model is a mixed integer programming problem, CPLEX and YALMIP toolbox belonging to MATLAB could be used to solve it. The obtained profit of the hybrid system without considering the forecasting wind power uncertainty is 1.143 million.
When considering the uncertainties of wind power forecasting output, different expected targets can be determined by changing the deviation factor firstly. Furthermore, solving the IGDT-based robust optimal scheduling model, the corresponding maximum fluctuation amplitude of wind actual power and scheduling scheme can be obtained. The relationship between the robust coefficient and the deviation factor is shown in Figure 3.
Figure 3.
The relationship between the robust coefficient and the deviation factor curve.
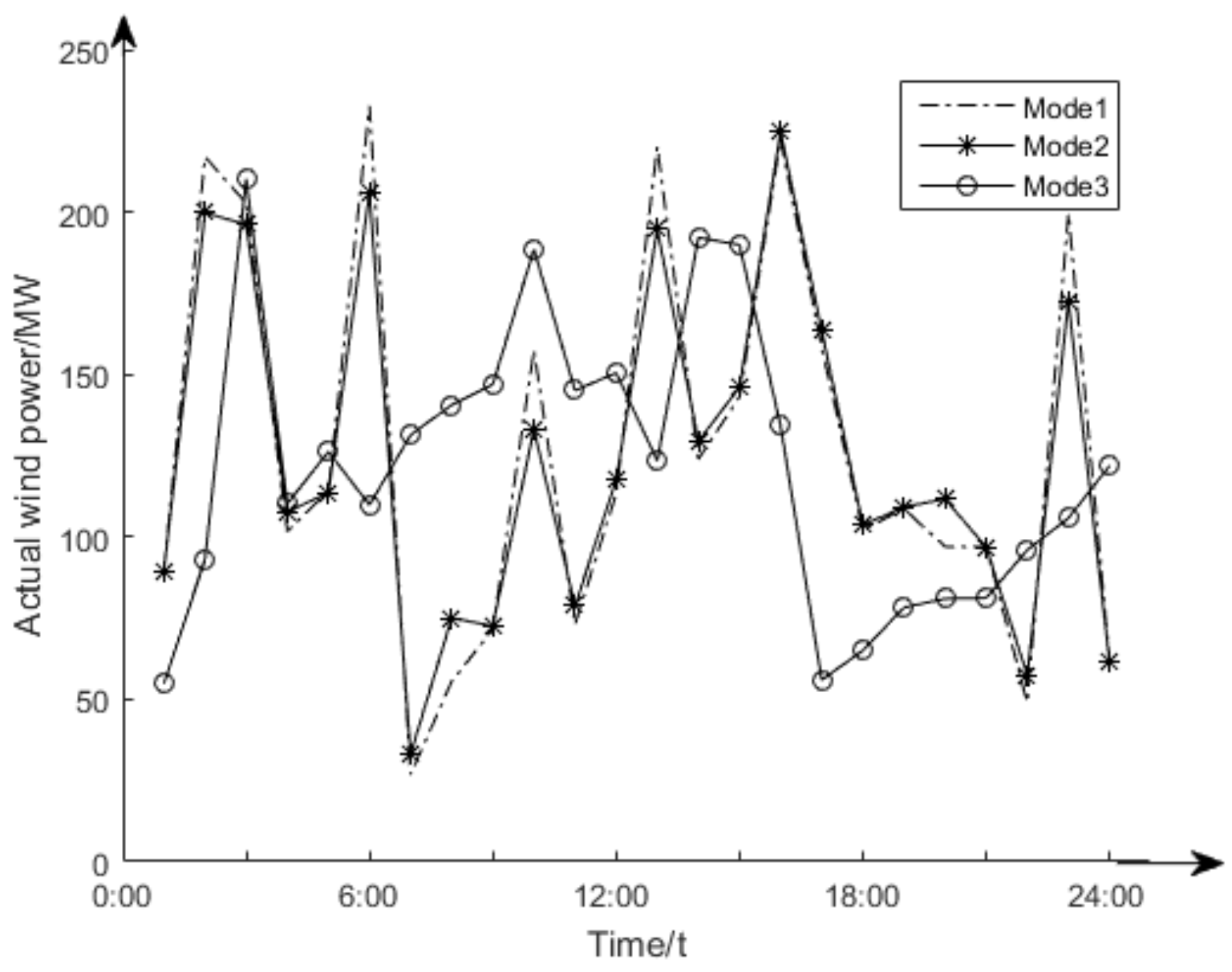
To verify the necessity of considering the uncertainty of wind power forecasting data and the effectiveness of the proposed method, the following three modes are set to solve the wind–storage–EVs hybrid scheduling optimization model:
Mode 1 is the determined wind power forecasting data. For the sake of simplicity, the wind power forecasting data scene 1 in Mode 2 was used as the determined wind power forecasting value.
Mode 2 is the wind power output forecasting data simulated by the scene analysis method.
Mode 3 is to optimize the wind power output forecasting data simulated by Mode 2 using IGDT method. The minimum wind power when the deviation factor is 0.3 and the robustness factor is 0.211 is shown in Figure 4.
Figure 4.
Actual output of wind power in three modes.
As an important load in the demand response range, EVs can be used as distributed energy storage devices to dissipate excess wind power through V2G technology. To verify the optimization effect, setting Mode 4 is to optimize the wind power output forecasting data simulated by the Mode 2 using the IGDT, but the EVs do not participate in the wind–storage–EVs hybrid system joint scheduling. When the deviation factor is 0.3 and the robustness coefficient is 0.211, the minimum wind power of Modes 3 and 4 is as shown in Figure 5.
Figure 5.
The actual output of the wind–storage–EVs hybrid system in two modes.
5.2. Analysis of Simulation Results
It can be seen in Figure 3 that the deviation factor has a positive correlation with the robust coefficient, which is the robust coefficient increases as the decision maker’s expected profit decreases. This is because the lower is the expected return of the hybrid system, the lower is the risk of the uncertainty that the decision maker can accept. At this moment, the decision maker pursues a steady benefit, thus the range of uncertainty allowed is greater. In other words, the better the is robustness of the system, the greater is the range of uncertainty that can be resisted. In addition, for different expected benefits, the wind power forecasting deviation that the hybrid system can tolerate can be calculated by the proposed method. For example, when the deviation factor is 0.3, the expected profit is 80.038 million, and the robust coefficient at this time can be obtained as 0.211, which means that, when the actual output of wind power is within the range of (0.789, 1.211) times the forecasting output of wind power, the expected profit of the IGDT-based wind–storage–EVs hybrid system can be guaranteed to be no less than 80.038 million.
As shown in Figure 4, Modes 2 and 3 have a smaller standard deviation of wind power output and higher stability of grid-connected power than Mode 1. In other words, considering the uncertainty of forecasting wind power is beneficial to the safe and stable operation of the power system. Substituting the scheduling schemes of the three modes into the traditional wind–storage–EVs hybrid system optimization scheduling model, the joint operation profit of the hybrid system can be obtained. The results of the operation are shown in Table 2.
Table 2.
Comparison of optimization effects in three modes.
Comparing the results in Table 2, it is known that considering the inevitability of the wind power forecasting deviation and the use of uncertain wind power forecasting data, both the scene analysis method and the proposed method have certain economic effects, and the scene analysis method is slightly better. However, decision makers’ subjective factors are taken into consideration by the IGDT-based robust scheduling decision model proposed in this paper, and the model can be scheduled according to threat acceptance level caused by wind power forecasting deviation. That is to say, when the wind power fluctuates arbitrarily within the corresponding robust interval, the profit of the wind–storage–EVs hybrid system can be guaranteed to be not less than the expected target value.
As shown in Figure 5, when the EVs participate in the joint scheduling of the wind–storage–EVs hybrid system, the standard deviation of the overall output of the hybrid system is reduced, and the stability of the wind power into the network is increased. The simulation results of the joint optimization scheduling of the wind–storage–EVs hybrid system in two modes are shown in Table 3.
Table 3.
Comparison of optimization effects in two modes.
Comparing the results in Table 3, it can be seen that the joint operation of EVs participating in the joint scheduling of the wind–storage–EVs hybrid system is higher. This is because, when participating in the joint scheduling of the hybrid system, EVs can be charged by V2G technology when the wind power is surplus, and discharged when the wind power output is insufficient, which serves to cut the peak and fill the valley and improve the economical operation of the system.
6. Conclusions
Aiming at the uncertainty of wind power, a method based on IGDT robust model is proposed. The Monte Carlo simulation method was used to simulate the actual output of EVs, and the scene reduction technology was used to simulate the wind power forecasting output. The simulation results have demonstrated the feasibility and effectiveness of the proposed bidding strategies. Compared with the mode of deterministic forecasting wind power, forecasting the wind power model considering uncertainty can achieve better economic benefits, and the stability of grid-connected power is higher. Thus, the proposed bidding strategies are effective in helping market participants to handle the risks in day-ahead electricity energy markets.
The IGDT method is used to deal with the uncertainty of forecasting wind power, which can guarantee that the actual profit of the wind–storage–EVs hybrid system is not less than the expected profit that the decision maker can tolerate when the wind power is arbitrarily fluctuating within the corresponding robust interval. The quantitative relationship between the expected cost of the decision maker and the maximum allowable uncertainty of wind power is given. On the other hand, the simulation results also show that, when EVs participate in the joint scheduling of the wind–storage hybrid system, the overall output deviation of the hybrid system is smaller, which effectively improves the stability of the network power. At the same time, EVs have improved the online profits of the wind–storage–EVs hybrid system by “peak and off”.
Author Contributions
B.S. conceived the project and proposed the methodological framework and implementation roadmap; S.L. designed the implementation algorithm and performed the simulations; J.X. organized the research team and proposed the methodology; and X.S. provided the resources. All authors discussed the simulation results and approved the assessment methodology.
Funding
This work was supported in part by the National Natural Science Foundation under Grant 51507099.
Conflicts of Interest
The author declare no conflict of interest.
Nomenclature
| t | Time index (h) |
| G | The total number of EVs |
| Energy content at the initial time (MW) | |
| Energy content at the stop time (MW) | |
| Limit of charging and discharging conversion frequency | |
| Maximum power limit (MW) | |
| Minimum power limit (MW) | |
| Maximum and minimum discharge power (MW) | |
| Maximum and minimum charge power (MW) | |
| Charging efficiency of EVs | |
| Discharging efficiency of EVs | |
| Forecasting wind power output at time t (MW) | |
| Maximum wind power output at time t (MW) | |
| Uncertainty variable | |
| On-grid price ($/MWh) | |
| Wind power scheduling at time t (MW) | |
| Discharge power of EVs at time t (MW) | |
| Charge power of EVs at time t (MW) | |
| Charging and discharging power of vehicle at time (MW) | |
| Demand response costs at time t ($) | |
| Binary variable, which is equal to 1,if the EV is selected to charge at time t; otherwise, it is 0 | |
| Binary variable, which is equal to 1,if the EV is selected to discharge at time t; otherwise, it is 0 | |
| “Robustness” function |
References
- Lv, Q. Dynamic Economic Dispatching and Energy Saving Dispatching of Power Systems with Wind/water/thermal Power. Master’s Thesis, Chongqing University, Chongqing, China, 2012. [Google Scholar]
- Ignatieva, K.; Trvck, S. Modeling spot price dependence in Australian electricity markets with applications to risk management. Comput. Oper. Res. 2016, 66, 415–433. [Google Scholar] [CrossRef]
- Maghouli, P.; Hosseini, S.H.; Buygi, M.O.; Shahidehpour, M. A Scenario-Based Multi-Objective Model for Multi-Stage Transmission Expansion Planning. IEEE Trans. Power Syst. 2011, 26, 470–478. [Google Scholar] [CrossRef]
- Cui, M.; Sun, Y.; Ke, D. Prediction of wind power hill climbing events based on atomic sparse decomposition and BP neural network. Autom. Electr. Power Syst. 2014, 38, 6–11. [Google Scholar]
- National Energy Administration. 2017 wind power grid operation. Chin. Energy 2018. [Google Scholar]
- Wu, X.; Wang, X.; Li, J.; Guo, J.; Zhang, K.; Chen, J. Joint scheduling model and solution for wind power storage hybrid system. Proc. Chin. Soc. Electr. Eng. 2013, 33, 10–17. [Google Scholar]
- Gill, S.; Ault, G.W.; Kockar, I. The optimal operation of energy storage in a wind power curtailment scheme. In Proceedings of the 2012 IEEE Power and Energy Society General Meeting, San Diego, CA, USA, 22–26 July 2012; pp. 1–8. [Google Scholar]
- Sun, H.; Liu, X.; Qi, C.; Yu, J.; Hu, W.; Zhou, W. Multi-objective risk scheduling model for power system with integrated wind power storage station. Autom. Electr. Power Syst. 2018, 42, 94–101. [Google Scholar]
- Zhang, N.; Kang, C.; Kirschen, D.S.; Xia, Q.; Xi, W.; Huang, J.; Zhang, Q. Planning pumped storage capacity for wind power integration. IEEE Trans. Sustain. Energy 2013, 4, 393–401. [Google Scholar] [CrossRef]
- Dukpa, A.; Duggal, I.; Venkatesh, B.; Chang, L. Optimal participation and risk mitigation of wind generators in an electricity market. IET Renew. Power Gener. 2010, 4, 165–175. [Google Scholar] [CrossRef]
- Yu, D.; Song, S.; Zhang, B.; Han, X. Analysis of Electric Vehicle Charging and Wind Power Coordination Scheduling in Regional Power Grid. Autom. Electr. Power Syst. 2011, 35, 24–29. [Google Scholar]
- Fu, Y.; Jia, C.; Xue, C.; Zhang, B. Application of Electric Vehicles in Improving the Reliability of Wind Power Grids. Electr. Power Syst. Autom. 2018, 30, 29–34. [Google Scholar]
- Abreu, L.V.; Khodayar, M.E.; Shahidehpour, M.; Wu, L. Risk-constrained coordination of cascaded hydro units with variable wind power generation. IEEE Trans. Sustain. Energy 2012, 3, 359–368. [Google Scholar] [CrossRef]
- Wang, J.; Shahidehpour, M.; Li, Z. Security constrained unit commitment with volatile wind power generation. IEEE Trans. Power Syst. 2008, 23, 1319–1327. [Google Scholar] [CrossRef]
- Hargreaves, J.J.; Hobbs, B.F. Commitment and dispatch with uncertain wind generation by dynamic programming. IEEE Trans. Sustain. Energy 2012, 3, 724–734. [Google Scholar] [CrossRef]
- Wang, G.; Zhao, J.; Wen, F.; Xue, Y.; Xin, J. Synchronous Cooperative Scheduling of Electric Vehicles and Renewable Energy in Distribution Systems. Autom. Electr. Power Syst. 2012, 36, 22–29. [Google Scholar]
- Venkatesh, B.; Yu, P.; Gooi, H.B.; Choling, D. Fuzzy MILP Unit Commitment Incorporating Wind Generators. IEEE Trans. Power Syst. 2008, 23, 1738–1746. [Google Scholar] [CrossRef]
- Andreoni, A.M.; Agreda, A.G.; Strada, T.J.; Saraiva, J.T. Strategies for power systems expansion planning in a competitive electrical market. Electr. Eng. 2007, 89, 433–441. [Google Scholar] [CrossRef]
- Vome, A.F. Info-gap Decision Theory. Ecol. Model. 2006, 211, 249. [Google Scholar]
- Wright, L.F. Information Gap Decision Theory: Decisions under Severe Uncertainty by Y. Ben-Haim. J. R. Stat. Soc. 2010, 167, 185–186. [Google Scholar] [CrossRef]
- Fortuna, L.; Nunnari, G.; Nunnari, S. Nonlinear Modeling of Solar Radiation and Wind Speed Time Series; Springerbriefs in Energy; Springer: Cham, Switzerland, 2016; Volume 10. [Google Scholar] [CrossRef]
- Chen, K.; Wu, W.; Zhang, B.; Sun, H. Robust restoration decision-making model for distribution networks based on information gap decision theory. IEEE Trans. Smart Grid 2015, 6, 587–597. [Google Scholar] [CrossRef]
- Mohammadi-Ivatloo, B.; Zareipour, H.; Amjady, N.; Ehsan, M. Application of information-gap decision theory to risk-constrained self-scheduling of GenCos. IEEE Trans. Power Syst. 2013, 28, 1093–1102. [Google Scholar] [CrossRef]
- Chen, Y.; Wu, W.; Zhang, B. Robust Restoration Decision Method for Active Distribution Network Based on IGDT. Proc. CSEE 2014, 34, 3057–3062. [Google Scholar]
- Ma, H.; Liu, Y. Coordinated Scheduling Decision of Wind Power Climbing Event Based on IGDT Robust Model. Proc. CSEE 2016, 36, 4580–4588. [Google Scholar]
- Rabiee, A.; Soroudi, A.; Keane, A. Information gap decision theory based OPF with HVDC connected wind farms. IEEE Trans. Power Syst. 2015, 30, 3396–3406. [Google Scholar] [CrossRef]
- Murphy, C.; Soroudi, A.; Keane, A. Information Gap Decision Theory-based congestion and voltage management in the presence of uncertain wind power. IEEE Trans. Sustain. Energy 2016, 7, 841–849. [Google Scholar] [CrossRef]
- Zhao, J.; Wan, C.; Xu, Z.; Wang, J. Risk-Based Day-Ahead Scheduling of Electric Vehicle Aggregator Using Information Gap Decision Theory. IEEE Trans. Smart Grid 2017, 8, 1609–1618. [Google Scholar] [CrossRef]
- Nojavan, S.; Zare, K.; Feyzi, M.R. Optimal bidding strategy of generation station in power market using information gap decision theory (IGDT). Electr. Power Syst. Res. 2013, 96, 56–63. [Google Scholar] [CrossRef]
- Mathuria, P.; Bhakar, R. GenCo’s integrated trading decision making to manage multimarket uncertainties. IEEE Trans. Power Syst. 2015, 30, 1465–1474. [Google Scholar] [CrossRef]
- Zhao, W.; Zhang, S. Power Generation Strategy of Power Generation Based on Information Clearance Decision Theory. Control Decis. 2017, 32, 751–754. [Google Scholar]
- Volpe, R.; Frasca, M.; Fichera, A. The role of autonomous energy production systems in urban energy networks. J. Complex Netw. 2017, 3, 461–472. [Google Scholar] [CrossRef]
- Nojavan, S.; Ghesmati, H.; Zare, K. Robust optimal offering strategy of large consumer using IGDT considering demand response programs. Electr. Power Syst. Res. 2016, 130, 46–58. [Google Scholar] [CrossRef]
- Dai, Y.; Chen, L.; Yong, Y. Optimized scheduling of combined operation of wind farms and cogeneration with heat storage. Proc. Chin. Soc. Electr. Eng. 2017, 37, 3470–3489. [Google Scholar]
- Yao, W.; Zhao, J.; Wen, F.; Xue, Y.; Xin, J. Charge and Discharge Scheduling Strategy of Electric Vehicle Based on Double Layer Optimization. Autom. Electr. Power Syst. 2012, 36, 30–37. [Google Scholar]
- Tian, L.; Shi, S.; Jia, Z. Statistical Modeling Method for Charging Power Demand of Electric Vehicles. Power Grid Technol. 2010, 34, 126–130. [Google Scholar]
- Ghofrani, M.; Arabali, A.; Etezadi-Amoli, M.; Fadali, M.S. Smart Scheduling and Cost-Benefit Analysis of Grid-Enabled Electric Vehicles for Wind Power Integration. IEEE Trans. Smart Grid 2014, 5, 2306–2313. [Google Scholar] [CrossRef]
- Matevosyan, J.; Svder, L. Minimization of imbalance cost trading wind power on the short-term power market. IEEE Trans. Power Syst. 2006, 21, 1396–1404. [Google Scholar] [CrossRef]
© 2019 by the authors. Licensee MDPI, Basel, Switzerland. This article is an open access article distributed under the terms and conditions of the Creative Commons Attribution (CC BY) license (http://creativecommons.org/licenses/by/4.0/).




