Abstract
Hydrogen-based engines are progressively becoming more important with the increasing utilization of hydrogen and layouts (e.g., onboard reforming systems) in internal combustion engines. To investigate the possibility of HICE (hydrogen fueled internal combustion engine), such as an engine with an onboard reforming system, which is introduced as recent technologies, various operating areas and parameters should be considered to obtain feasible hydrogen contents itself. In this study, a virtual hydrogen-added compressed natural gas (HCNG) model is built from a modified 11-L CNG (Compressed Natural Gas) engine, and a response surface model is derived through a parametric study via the Latin hypercube sampling method. Based on the results, performance and emission trends relative to hydrogen in the HCNG engine system are suggested. The operating conditions are 1000, 1300, and 1500 rpm under full load. For the Latin hypercube sampling method, the dominant variables include spark timing, excess air ratio (i.e., λCH4+H2), and H2 addition. Under target operating conditions of 1000, 1300, and 1500 rpm, the addition of 6–10% hydrogen enables the virtual HCNG engine to reach similar levels of torque and BSFC (brake specific fuel consumption) compared to same lambda condition of λCH4. For the relatively low 1000 rpm speed under conditions similar to those of the base engine, NOx formation is greater than base engine condition, while a similar NOx level can be maintained under the middle speed range (1300 and 1500 rpm) despite hydrogen addition. Upon addition of 6–10% hydrogen under the middle speed operation range, the target engine achieves performance and emission similar to those of the base engine.
1. Introduction
Sustainable and renewable energy sources are currently employed for powering mechanical systems. In particular, biogases are used as alternative fuels, either alone or blended with conventional fossil fuels or H2 additives [1,2]. Hydrogen, as a combustion enhancer, can improve flame speed and range upon being added to fuels because of its favorable properties [3]. In this regard, many experimental and numerical studies yielding common results have been reported. It is widely known that as the hydrogen content of fuels increases, the in-cylinder pressure and temperatures also increase during combustion and thereby enhance engine torque [4,5]. However, as a result of such elevated temperatures, the formation of NOx also increases, which is among the disadvantages of using hydrogen. Furthermore, many trials have been introduced with respect to the hydrogen content. Lather and Das studied comparison between CNG and HCNG engine performance and emission under sequential gas injection system. [3] By adding 10% and 18% of hydrogen in volume percent, the engine thermal efficiency and torque could be improved while NOx emission was increased. However, CO and CO2 could be decreased remarkably. In recent review papers, higher percentages of hydrogen in CNG, more than 18% are not recommended, as lower methane number (MN) of the blend will result in a substantial drop in power. They implied that the possibility of engine knock cannot be ruled out for very high percentages of hydrogen in CNG, i.e., over 30% [6,7]. Research with 100% of hydrogen fueled engines was also introduced [4]. This study investigated the effect of varying the spark advance timing and excess air ratio (air excessive ratio: l) on the combustion and emission of nitrogen oxide (NOx) in a hydrogen-fueled spark ignition engine under part load conditions. Based on the results, it was concluded that the leanest mixture condition (λ = 2.2) with MBT spark timing exhibited the highest brake thermal efficiency of 34.17% and the NOx emissions were as low as 14 ppm.
There have also been many trials for HCNG fueled heavy-duty engines [8,9]. The idle performance of an 11-L, 6-cylinder engine equipped with a turbocharger and an intercooler was investigated under an idle speed of 600 rpm (Lee et al.) [8] The engine test results demonstrate that the use of HCNG enhanced idle combustion stability and extended the lean operational limit from excess air ratio 1.5 (CNG) to 1.6. A decrease of more than 25% in the fuel consumption rate was achieved in HCNG idle operations compared to CNG. Some NOx issues were carried out for the HCNG engines. To solve the NOx issues in HCNG, especially for heavy-duty engines, exhaust gas recirculation (EGR) has been implemented to lower the combustion temperatures. Park et al. introduced dilution strategies with EGR under stoichiometric and under lean burn conditions for 11 L heavy-duty engines, with 30% of H2 content for 1250 rpm and 50% load. They found that the thermal efficiencies under stoichiometric combustion with EGR were lower than those under lean combustion, owing to a higher pumping loss and a lower combustion speed [8,9]. They implied that the hydrogen has an important role in lean burn limit extension under optimized excess air ratio and spark timing.
Given problems as well as the limitations pertaining to hydrogen production and storage, the concept of an onboard reforming system has become increasingly important, and the application of onboard reforming systems to engines is being actively investigated. Bogarra et al. studied catalytic onboard fuel reforming in gasoline direct-injection engines and derived benefits in terms of fuel economy and reductions in gaseous carbonaceous emissions and particulate matter [10]. Casanovas et al. conducted the catalytic reformation of pure ethanol and commercial bioethanol; they found that the hydrogen yield showed improvement similar to that achieved via onboard reforming [11]. Zhang et al. performed exhaust reformation in a natural gas (NG) engine under numerical and experimental conditions [12,13,14,15]. To examine the potential of natural gas engines in combination with a reformed exhaust gas recirculation (REGR) system, a zero-dimensional-based numerical study was performed to investigate the combustion characteristics of the reformer and NG homogenous charge compression ignition (HCCI) engine with exhaust-gas fuel reformation. It was observed that as the quantity of H2 into the cylinder increased, the quantity of H atoms inside the cylinder also increased, which promoted H2O2 generation, as well as advanced and more intense engine combustion [12,13]. Moreover, it has been suggested that the REGR technique may be employed to achieve efficient and stable lean-burn combustion in marine engines fueled with natural gas [12,13]. The results indicate that the addition of hydrogen-rich reformate gases can extend the lean-burn limit. Furthermore, the combination of REGR and the lean-burn combustion strategy can improve the tradeoff relationship between NOx emissions and brake specific fuel consumption of NG-fueled marine engines [14,15]. With the objective of controlling emissions and mitigating performance loss in downsized spark-ignition engines, Catapan el al. suggested that exhaust gas recirculation (EGR) may be conducted to produce hydrogen gas via onboard catalytic steam reformation. Their results indicate the potential of producing an intake mixture with a 1% H2 molar concentration at an engine speed of 5000 rpm. Reduction in the engine speed, however, causes a reduction in H2 because of the lower engine exhaust temperature. Although hot EGR presents a higher heat recovery potential, the heating value of the fuel is substantially decreased owing to the recirculation of inert gases [16].
Recent research investigations have also shown that mounting an onboard reforming system to an internal combustion engine has many effects. However, existing engine systems are becoming more complex in terms of subsystem application, considering hydrogen supply and application. Various tendencies can therefore be observed under each operating condition of the engine system. Through system-level analysis, several means for including a wide range of engine parameters are found to be available.
In addition, the connecting research between existing HCNG-based research and HCNG characteristics by onboard reforming is important. From this point of view, it is necessary to analyze from the system to component by proposing a proper range of hydrogen content by onboard reforming. This study is the first step for this approach. The purpose of this study is to suggest the proper range of hydrogen that has been applied to HCNG in various ways to the range of hydrogen content when applying onboard reforming. In addition, the method to maintain the performance and emission level of the base CNG engine was observed under retrofitter HCNG from the system point of view. To achieve the research goal, engine system analysis including crank train was numerically performed. A virtual hydrogen-added compressed natural gas (HCNG) model was built from a modified 11-L CNG engine, and a response surface model was derived through a parametric study based on the Latin hypercube sampling method. Accordingly, identification of the performance and emission trends in the HCNG engine system relative to hydrogen is suggested without an onboard fuel reforming system. In the future work, hydrogen contents suggested by the present study will be achieved, including detailed combustion analysis that considers fuel reforming reaction.
2. Model Description
2.1. Target Engine and Detailed One-Dimensional Engine Modeling
The target engine of this study is a large 11-L natural gas engine. The specifications of this base engine are summarized in Table 1.
Table 1.
Engine specifications and operating conditions.
These specifications as well as the experimental results of each component of the target engine are provided by an engine development company according to engine dynamometer test. Based on the engine specifications and test results obtained from OEM (Original Equipment Manufacturer), the base engine model was constructed. Detailed test conditions are shown in Table 2.
Table 2.
Engine test conditions offered by OEM (Original Equipment Manufacturer).
A numerical analysis is conducted using GT-POWER, which is software designed for engine cycle simulations based on thermodynamics; a more detailed explanation can be found in our previous study [17].
To build a fast running model, the turbocharger only simulates the rear and front ends of the compressor and turbine, respectively. The inputted boundary conditions are based on a look-up table of boost pressure, temperature, and turbine shear pressure and temperature.
The combustion process is analyzed using a two-zone model employed in our previous numerical analysis of a gas engine generator fueled with CH4−H2 blends [17]. For every time step in each zone, energy, mass, and momentum conservation equations are solved separately [17,18]. The primary equations used for describing the combustion behavior to indicate mass entrainment in the flame front, burn rate, and flame speed are as follows:
where Me /dt and Mb /dt are the entrainment rate for the unburned and burned mass, Ae is the flame front area, ST and SL are the turbulent and laminar flame speeds.
For CH4 with hydrogen content, SL in Equation (1) has to be specified by considering hydrogen content. In the present study, therefore, the laminar flame speeds considered for CH4 and hydrogen mixed with air are based on our previous research [19,20], and NOX formation calculations are based on the extended Zeldovich mechanism, which is well known as thermal NOX formation processes depending on temperature [21].
To describe combustion conditions with respect to the air–fuel relationships, two types of excess air ratio are used for this study, λCH4 and λCH4+H2. λCH4, the methane basis excess air ratio, and λCH4+H2., the hydrogen added methane basis excess air ratio, are expressed as follows:
Since the lambda control used in the actual target engine is a hydrocarbon fuel control method using an oxygen sensor, there may be a limitation in reflecting the lambda according to the hydrogen content. Therefore, in this study, total lambda containing hydrogen was used as an index that contains hydrogen content.
Please note that lambda for the base engine fueled with CNG uses Equation (3), while a virtual HCNG engine introduced in this study uses Equation (4).
Hydrogen content can be written as follow:
2.2. Latin Hypercube Sampling for the Response Surface Model
The Latin hypercube sampling (LHS) method, which is a type of fractional experiment design, is employed to comprehend engine performance and emission trends according to the independent variables of the virtual engine model. The LHS method is a technique first described by McKay et al. [22]. In the statistical sampling area, a square grid (including sample positions) is called Latin square with a hyperplane if, and only if, there is one sample in each row and each column [23]. The Latin hypercube has a desired sampling number whereby each sample is the only sample in every axis-aligned hyperplane in which it is included [22]. Compared to the full factorial design of experiment (DoE), the advantages of the LHS method are to provide relatively faster optimization processes by considering many independent variables with fewer sampling points.
In this study, 150 sampling points at each engine speed-rpm full-load condition are used at different spark timings, total excess air ratios (i.e., λCH4+H2), and H2 fractions. When H2 is added to the CNG engine system, basic excess air ratio λCH4 must be recalculated and the optimum spark timing range is changed, owing to hydrogen’s fast flame speed and wide flammable ranges. Therefore, hydrogen content, spark timing and excess air ratio including hydrogen content have to be considered together.
The selected variable ranges for the LHS are summarized in Table 3.
Table 3.
Sampling ranges for each variables and the number of sampling points.
Here, the LHS is very effective in developing the first- and second-order responses for regression model development with minimal numerical or experimental data sampling points. Based on the LHS method, regression analysis employing the radial basis function is performed to generate the response surface. Figure 1 shows the overall process for the present research. More detailed explanations for DoE and LHS for engine analysis are thoroughly described in our previous work [17,19,23,24].
Figure 1.
Overall research flow.
3. Results and Discussions
3.1. Validation Results and Response Surface from Latin Hypercube Sampling
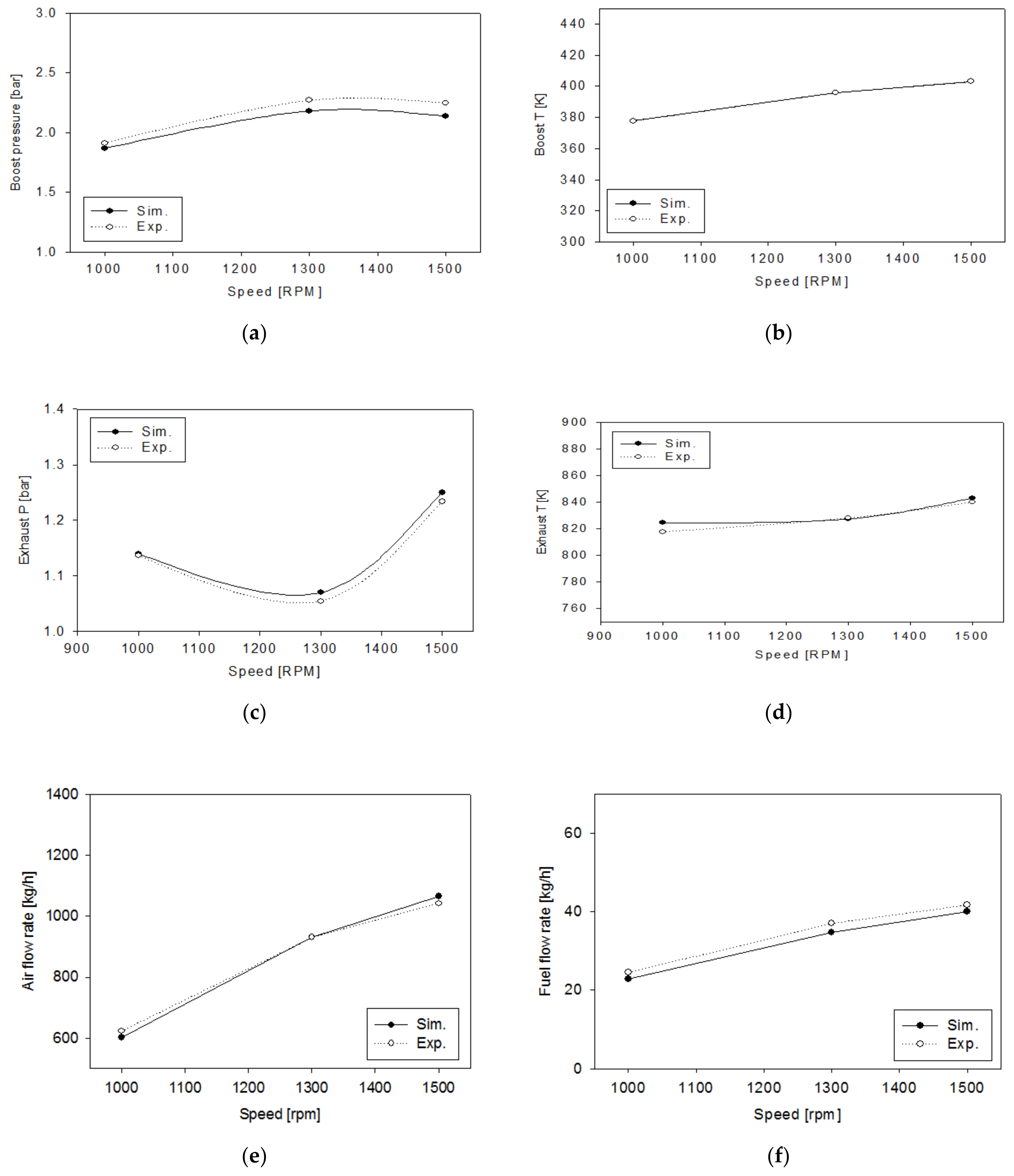
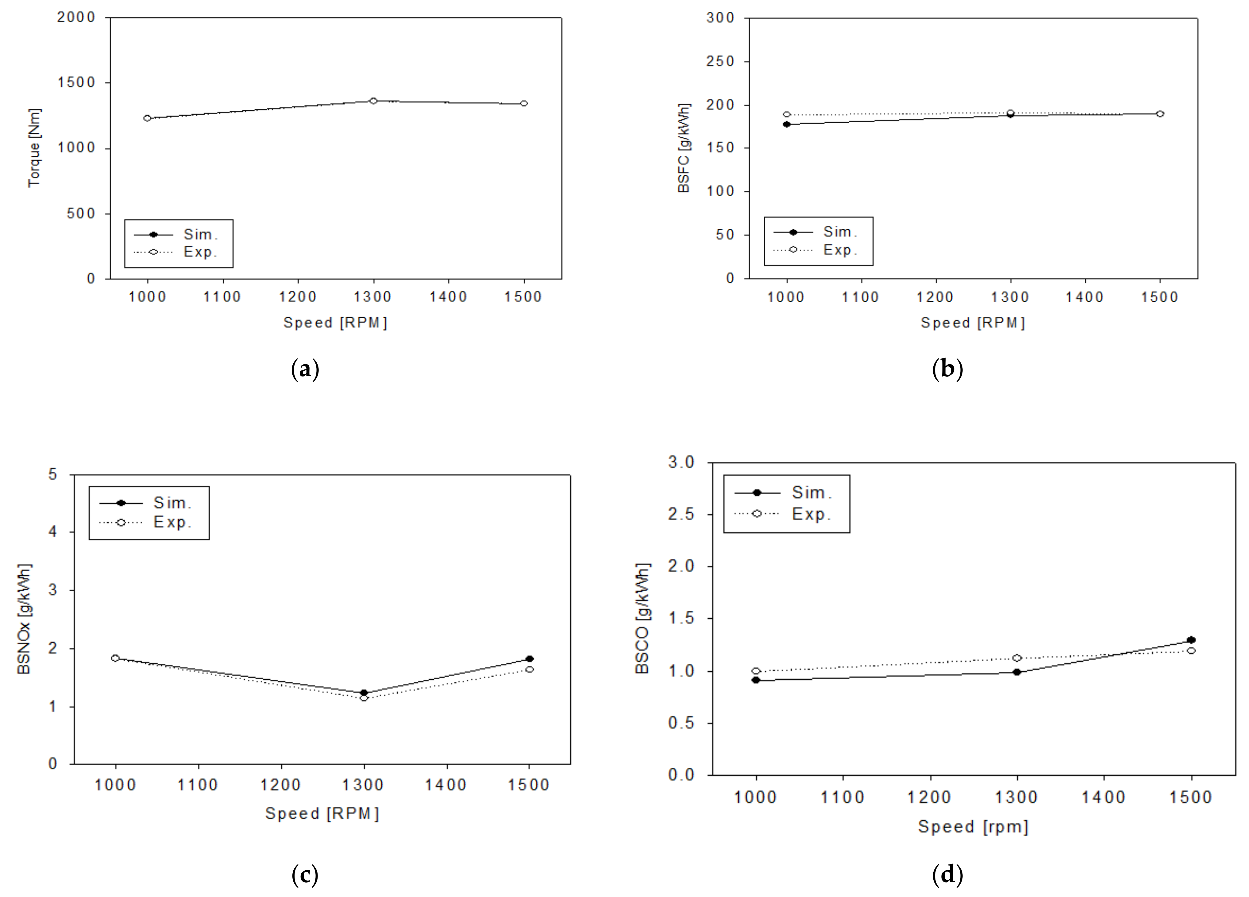
Figure 2 compares the test and analysis results of the base engine; Figure 3 shows the model validation results. The validation indicates that the numerical model of the base CNG engine conforms well to thermodynamic properties, performances, and emissions, within 5% on an average. In an engine model, detailed turbocharging motion was not included because the turbocharger only simulates the rear and front ends of the compressor and turbine to build a fast running model. This simplified modeling method can cause some errors between simulation and test results. Nevertheless, model accuracy usually seems acceptable.
Figure 2.
Validation results for thermodynamic and fluidic properties at engine components: (a) boost pressure@upstream of intercooler; (b) boost temperature@upstream of intercooler; (c) exhaust pressure@upstream of turbine; (d) exhaust temperature@upstream of turbine; (e) air flow rate; (f) fuel flow rate.
Figure 3.
Validation results for engine performance and emission: (a) brake torque; (b); BSFC; (c) BSNOx; (d) BSCO.
Detailed errors and standard errors for validation results are shown in Table 4 and Table 5 at each rpm. Based on the validation results, it is shown that the model could well predict thermodynamic and fluid dynamic properties. However, the 1D engine model has weaknesses in prediction of combustion products even if the predictive combustion model was used. These kinds of issues can be solved by coupling with 3D combustion analysis and will be performed in future work. This study focuses on the performance and emission tendencies from a systematic point of view.
Table 4.
Detailed errors and standard errors for validation results for data shown in Figure 2.
Table 5.
Detailed errors and standard errors for validation results for data shown in Figure 3.
Figure 4 shows the tendency of the total lambda when considering the methane-based lambda and hydrogen content. This is based on the sampling point and hydrogen fraction of independent variables employed for implementing the LHS-based DoE. Herein, the methane-based lambda is the lambda value when the hydrogen content is neglected despite the addition of this gas, whereas the total lambda is the lambda value converted when considering the hydrogen content. A linear shape can be observed when the total lambda is converted according to the methane-based lambda. Since the lambda control used in the actual target engine is a hydrocarbon fuel control method using an oxygen sensor, there may be a limitation in reflecting the lambda according to the hydrogen content. Therefore, in this study, total lambda containing hydrogen was used as an index that contains hydrogen content.
Figure 4.
Relationship between total excess air ratio and excess air ratio of CH4 when considering hydrogen content.
3.2. Response Surface Model under a 1000 rpm Full-Load Condition
Figure 5, Figure 6 and Figure 7 show the response surface model (RSM) derived at a 1000 rpm full load in terms of brake torque, brake specific fuel consumption (BSFC), and brake specific NOx (BSNOx), respectively. The brake torque results obtained under a 1000 rpm full-load condition derived from the LHS-based DOE are shown in Figure 5.
Figure 5.
Response surface model: brake torque as functions of spark timing and hydrogen added methane based EAR @1000 rpm.
Figure 6.
Response surface model: brake specific fuel consumption as functions of spark timing and hydrogen added methane based EAR @1000 rpm.
Figure 7.
Response surface model: brake specific NOx as functions of spark timing and hydrogen added methane based EAR @1000 rpm.
As a result of hydrogen addition, a −50 aTDC or higher spark timing shows that the torque reaches the maximum brake torque (MBT) and thereafter decreases. Moreover, to achieve the same torque (1230.7 N∙m) as that of the base engine, hydrogen is added, resulting in a considerably higher MBT; the same torque is implemented in regions other than the MBT point (blue line in the figure). The possibility of increasing torque via hydrogen addition is thereby demonstrated. From Figure 4, it can be observed that when the total lambda remains equal to the base engine lambda of 1.54 as shown in Table 2, that is, the MBT advances between 1.8 and 1.85 of the total lambda, the same level of torque as that of the base engine is achieved. This therefore suggests that the same torque may be realized in the region where the lean flammability limit is extended upon hydrogen addition.
Figure 6 shows the results of BSFC under the 1000 rpm full-load condition derived from the LHS-based DOE. When compared with the brake torque, the BSFC rate exhibits a reverse contour shape and is found to be considerably related to torque. In the two-dimensional contour graph expression, it is observed that fuel efficiency tends to increase as the hydrogen content increases. The foregoing is a mass substitution effect that occurs when hydrogen occupies the methane fraction of the main fuel. Nevertheless, it is further observed that brake specific fuel consumption can be improved even with the addition of a small amount of hydrogen because this gas possesses a large volumetric lower heating value. Moreover, advanced spark timing under hydrogen addition can cause higher power output. Moreover, for the same torque level (blue line in figure) as that of the base engine, this degree of fuel efficiency can be realized as the MBT advances with hydrogenation and by controlling the spark timing, indicating the possibility of achieving a better fuel consumption rate. Based on Figure 4, if the total lambda remains equal to the base engine lambda of 1.54, that is, the MBT is between 1.8 and 1.85 of the total lambda, then this will be sufficient to achieve the same level of BSFC as that of the base engine.
Figure 7 shows the BSNOx results obtained under a 1000 rpm full load derived from the LHS-based DOE. Compared with the BSNOx of brake torque and BSFC, the nitrogen oxide emissions at the same base engine torque level (blue line) further increases with hydrogen addition. This is because as the combustion temperature increases with the addition of hydrogen, the thermal NOx formation increases, as has been widely confirmed by existing experimental results.
The analysis indicates that when the HCNG heavy-duty engine runs at 1000 rpm, a distinct tradeoff between torque or fuel economy and NOx emission exists; nevertheless, on considering the torque loss when lean combustion is achieved by increasing the hydrogen fraction, the foregoing suggests that BSNOx formation can be reduced.
3.3. Response Surface Model under a 1300 rpm Full-Load Condition
Figure 8, Figure 9 and Figure 10 show the RSM derived at 1300 rpm full load in terms of brake torque, BSFC, and BSNOx, respectively. Figure 8 shows the results of brake torque under a 1300 rpm full-load condition derived from the LHS-based DOE. The figure indicates that with the addition of hydrogen, the MBT is attained, and the torque decreases thereafter over the entire area of the variable spark sweep timing. Moreover, to achieve the same torque (1350 N∙m) as that of the base engine, a more advanced MBT appears upon hydrogen addition; it is also possible to implement the same torque (blue line in figure) as that of the base engine in an advanced state in areas other than the MBT point. According to Figure 4, when the total lambda remains equal to the base engine lambda of 1.56 as shown in Table 2, that is, if the MBT advances between 1.85 and 1.9 of the methane-based lambda, the same torque as that of the base engine can be achieved.
Figure 8.
Response surface model: brake torque as functions of spark timing and hydrogen added methane based EAR @1300 rpm.
Figure 9.
Response surface model: brake specific fuel consumption as functions of spark timing and hydrogen added methane based EAR @1300 rpm.
Figure 10.
Response surface model: brake specific NOx as functions of spark timing and hydrogen added methane based EAR @1300 rpm.
Figure 9 shows the results of BSFC under a 1300 rpm full-load condition derived from the LHS-based DOE. When compared with the brake torque, the BSFC rate exhibits a reverse contour shape and is observed to be considerably related to the torque. When expressed in the form of a two-dimensional contour graph, the fuel efficiency tends to increase as hydrogen addition increases, which is a mass substitution effect that occurs when hydrogen occupies the methane fraction of the main fuel. It is further observed that brake specific fuel consumption can be improved even with the addition of a small amount of hydrogen because this gas possesses a large volumetric lower heating value. Moreover, advanced spark timing under hydrogen addition can cause higher power output. To achieve the same torque level (blue line in figure) as that of the base engine, a similar fuel efficiency can be realized regarding the more advanced MBT via hydrogenation and by controlling the spark timing in the vicinity of the MBT as hydrogen is added; this indicates the possibility of achieving a better fuel consumption rate. Based on Figure 4, when the total lambda remains equal to 1.56 of the base engine lambda, that is, if the MBT condition is between 1.85 and 1.9 of the total lambda, then the same level of BSFC as that of the base engine can be achieved.
Figure 10 shows the BSNOx results obtained under the 1300 rpm full-load condition derived from the LHS-based DOE. In this case, nitrogen oxide formation at the same torque level (blue line in the figure) as that of the base engine can be maintained through hydrogen addition.
Upon introduction of hydrogen to the heavy-duty HCNG engine, it is possible to achieve fuel economy and maintain a similar level of BSNOx emission at 1300 rpm without the loss of torque.
3.4. Response Surface Model under a 1500 rpm Full-Load Condition
Figure 11, Figure 12 and Figure 13 show the RSM derived at a 1500 rpm full load in terms of brake torque, BSFC, and BSNOx, respectively. Figure 11 shows the results of brake torque obtained under a 1500 rpm full-load condition derived from the LHS-based DOE. It shows that as hydrogen is added, the torque increases and attains the MBT value; thereafter, it decreases over the entire area of variable spark sweep timing. Furthermore, to achieve the same torque (1342 N∙m), a more advanced MBT is observed when hydrogen is added. The same torque as that of the base engine is realized in the advanced and perceived states, even in areas other than the MBT point (blue line in the figure). Based on Figure 4, when the total lambda remains equal to the base engine lambda of 1.56 as shown in Table 2, that is, if the advanced and perceived MBT condition is between 1.85 and 1.9 of the total lambda, then the same level of torque as that of the base engine can be achieved.
Figure 11.
Response surface model: brake torque as functions of spark timing and hydrogen added methane based EAR @1500 rpm.
Figure 12.
Response surface model: brake specific fuel consumption as functions of spark timing and hydrogen added methane based EAR @1500 rpm.
Figure 13.
Response surface model: brake specific NOx as functions of spark timing and hydrogen added methane based EAR @1500 rpm.
Figure 12 shows the results of BSFC under a 1500 rpm full-load condition derived from the LHS-based DOE. When compared with the brake torque, the BSFC rate exhibits a reverse contour shape and is found to be considerably related to the torque. In the two-dimensional contour graph expression, it is observed that fuel efficiency tends to increase as the amount of hydrogen added increases. This is a mass substitution effect that occurs when hydrogen occupies the methane fraction of the main fuel. It is further observed that brake specific fuel consumption can be improved even with the addition of a small amount of hydrogen because this gas possesses a large volumetric lower heating value. Moreover, advanced spark timing under hydrogen addition can cause higher power output. With the same torque level (blue line in the figure) as that of the base engine, a similar fuel efficiency can be realized through hydrogenation to advance the MBT, spark timing, and perceptual control near the MBT, indicating the potential for achieving a better fuel consumption rate. Based on Figure 4, if the total lambda remains equal to the base engine lambda of 1.56, that is, if the MBT condition is between 1.85 and 1.9 of the total lambda, then the same level of BSFC as that of the base engine can be achieved.
Figure 13 shows the BSNOx results obtained under a 1500 rpm full load derived from the LHS-based DOE. In this case, nitrogen oxide formation at the same torque level (blue line in the figure) as that of the base engine can be maintained through hydrogen addition.
With the addition of hydrogen to the heavy-duty HCNG engine, it is possible to achieve fuel economy and a similar or lower level of BSNOx emission at 1500 rpm without loss of torque; this result is similar to that achieved at an engine speed of 1300 rpm.
4. Conclusions
The fundamental characteristics of a large 11-L heavy duty HCNG engine are investigated using a one dimensional cycle simulation and the LHS method. The numerical results of this study can be summarized as follows:
- Based on experimental data, a 1D gas engine generator is modeled and validated. The LHS method is employed to obtain the RSM as a fractional factorial DOE considering random sampling, spark timing, excess air ratio, and H2 content, as independent variables within the desired ranges.
- Using fuel containing 6–10% hydrogen under all target operating conditions, the virtual HCNG engine is observed to be capable of reaching similar levels of torque and BSFC for the same lambda (i.e., λCH4+H2). Moreover, NOx formation loss is observed in the region where engine speed is relatively low (i.e., 1000 rpm) under conditions similar to those of the base engine. On the contrary, NOx loss can be avoided despite hydrogen addition in the relatively middle speed region (1300 and 1500 rpm). With fuel containing 6–10% hydrogen, it is possible to achieve performance and emission similar to those of the base engine in the middle speed operation range of the large engine. This demonstrates the application potential of hydrogen addition by considering achievable hydrogen yield from onboard reforming system.
- The results suggest that the yields of onboard reforming as reported by many studies are suitable for the middle speed ranges of heavy-duty HCNG engine operation in terms of performance and emissions. In future work, the characteristics of the HCNG engine under high speed ranges will also be taken into consideration relative to CO emissions, and the hydrogen content map for all operating speeds will be suggested for COx-free engine systems. Based on the performance and emission tendencies conducted from the present work, system to component analysis will be taken under feasible hydrogen contents. By connecting to 3D combustion analysis, detailed engine concepts will be conducted and reformer concepts will be introduced to achieve hydrogen yield suggested in this study.
Author Contributions
Conceptualization, investigation, methodology, B.Y.P. and J.P.; formal analysis, B.Y.P.; writing—original draft preparation, B.Y.P.; writing—review and editing, K.-H.L. and J.P.; supervision, K.-H.L. and J.P.; project administration, B.Y.P. and J.P. All authors have read and agreed to the published version of the manuscript.
Funding
This work was funded by the Ministry of Trade, Industry, and Energy (MoTIE, Korea).
Acknowledgments
This work was supported by the Technology Innovation Program (No. 20005881; Development of technology for power generation system with advanced combustion engine for range-extended electric vehicle (REEV) with power output greater than 15 kW and fuel efficiency smaller than 270 g/kWh) funded by the Ministry of Trade, Industry, and Energy (MoTIE, Korea).
Conflicts of Interest
The authors declare no conflict of interest.
Abbreviations
| aTDC | After top dead center |
| BSNOx | Brake specific nitrogen oxides |
| BSCO | Brake specific carbon monoxide |
| CA | Crank angle |
| CO | Carbon monoxide |
| CR | Compression ratio |
| DoE | Design of experiment |
| EAR | Excess air ratio |
| HCNG | Hydrogen-added compressed natural gas |
| LHS | Latin hypercube sampling |
| NOx | Nitric oxides |
| RSM | Response surface model |
| SI | Spark ignition |
Nomenclature
| mu | unburned zone mass, kg |
| mb | burned zone mass, kg |
| mf | fuel mass, kg |
| ma | air mass, kg |
| hf | fuel mass enthalpy, J/kg |
| ha | air mass enthalpy, J/kg |
| hf,i | injected fuel mass enthalpy, J/kg |
| eu | unburned zone energy, kW |
| eb | burned zone energy, kW |
| p | cylinder pressure, bar |
| Vu | unburned zone volume, m3 |
| Vb | burned zone volume, m3 |
| Qu | unburned zone heat transfer, kW |
| Qb | burned zone heat transfer, kW |
| λ | excess air ratio |
References
- Yan, F.; Xu, L.; Wang, Y. Application of hydrogen enriched natural gas in spark ignition IC engines: From fundamental fuel properties to engine performances and emissions. Renew. Sustain. Energy Rev. 2018, 82, 1457–1488. [Google Scholar] [CrossRef]
- Dhyani, V.; Subramanian, K.A. Experimental based comparative exergy analysis of a multi-cylinder spark ignition engine fuelled with different gaseous (CNG, HCNG, and hydrogen) fuels. Int. J. Hydrog. Energy 2019, 44, 20440–20451. [Google Scholar] [CrossRef]
- Lather, R.S.; Das, L.M. Performance and emission assessment of a multi- cylinder SI engine using CNG & HCNG as fuels. Int. J. Hydrog. Energy 2019, 44, 21181–21192. [Google Scholar]
- Alrazen, H.A.; Ahmad, K.A. HCNG fueled spark-ignition (SI) engine with its effects on performance and emissions. Renew. Sustain. Energy Rev. 2018, 82, 324–342. [Google Scholar] [CrossRef]
- Zhao, J.; Ma, F.; Xiong, X.; Deng, J.; Wang, L.; Naeve, N.; Zhao, S. Effects of compression ratio on the combustion and emission of a hydrogen enriched natural gas engine under different excess air ratio. Energy 2013, 59, 635–658. [Google Scholar] [CrossRef]
- Mehra, R.K.; Duan, H.; Juknelevicius, R.; Ma, F.; Li, J. Progress in hydrogen enriched compressed natural gas (HCNG) internal combustion engines e a comprehensive review. Renew. Sustain. Energy Rev. 2017, 80, 1458–1498. [Google Scholar] [CrossRef]
- Lee, J.; Park, C.; Bae, J.; Kim, Y.; Choi, Y.; Lim, B. Effect of different excess air ratio values and spark advance timing on combustion and emission characteristics of hydrogen-fueled spark ignition engine. Int. J. Hydrog. Energy 2019, 44, 25021–25030. [Google Scholar] [CrossRef]
- Lee, S.; Kim, C.; Choi, Y.; Lim, G.; Park, C. Emissions and fuel consumption characteristics of an HCNG-fueled heavy-duty engine at idle. Int. J. Hydrog. Energy 2014, 39, 8078–8086. [Google Scholar] [CrossRef]
- Park, C.; Lee, S.; Kim, C.; Choi, Y. A comparative study of lean burn and exhaust gas recirculation in an HCNG-fueled heavy-duty engine. Int. J. Hydrog. Energy 2017, 42, 26094–26101. [Google Scholar] [CrossRef]
- Bogarra, M.; Herreros, J.M.; Tsolakis, A.; York, A.P.E.; Millington, P.J. Study of particulate matter and gaseous emissions in gasoline direct injection engine using on-board exhaust gas fuel reforming. Appl. Energy 2016, 180, 245–255. [Google Scholar] [CrossRef]
- Casanovas, A.; Divins, N.; Rejas, A.; Bosch, R.; Llorca, J. Finding a suitable catalyst for on-board ethanol reforming using exhaust heat from an internal combustion engine. Int. J. Hydrog. Energy 2016, 42, 13621–13690. [Google Scholar] [CrossRef]
- Zhang, Z.; Jia, P.; Reng, S.; Liang, J.; Long, Y.; Li, G. Numerical simulation of exhaust reforming characteristics in catalytic fixed-bed reactors for a natural gas engine. Chem. Eng. Sci. 2018, 191, 200–207. [Google Scholar] [CrossRef]
- Zhang, Z.; Xie, Q.; Liang, J.; Li, G. Numerical study of combustion characteristics of a natural gas HCCI engine with closed loop exhaust-gas fuel reforming. Appl. Therm. Eng. 2017, 119, 430–437. [Google Scholar] [CrossRef]
- Li, G.; Long, Y.; Zhang, Z.; Liang, J.; Zhang, X.; Zhang, X.; Wang, Z. Performance and emissions characteristics of a lean-burn marine natural gas engine with the addition of hydrogen-rich reformate. Int. J. Hydrog. Energy 2019, 44, 31554–31556. [Google Scholar] [CrossRef]
- Long, Y.; Li, G.; Zhang, Z.; Liang, J.; Mao, L.; Li, Y. Effects of reformed exhaust gas recirculation on the HC and CO emissions of a spark-ignition engine fueled with LNG. Int. J. Hydrog. Energy 2018, 45, 21070–21078. [Google Scholar] [CrossRef]
- Catapan, R.C.; Cancino, L.R.; Oliveira, A.A.M.; Schwarz, C.; Nitschke, H.; Frank, T. Potential for onboard hydrogen production in a direct injection ethanol fueled spark ignition engine with EGR. Fuel 2018, 234, 441–446. [Google Scholar] [CrossRef]
- Park, J.; Choi, J. A numerical investigation of lean operation characteristics of spark ignition gas engine fueled with biogas and added hydrogen under various boost pressures. Appl. Therm. Eng. 2017, 117, 225–234. [Google Scholar] [CrossRef]
- Jung, S.Y.; Park, J. Numerical prediction of effects of CO2 or H2 content on combustion characteristics and generation efficiency of biogas-fueled engine generator. Int. J. Hydrog. Energy 2017, 42, 16991–16999. [Google Scholar] [CrossRef]
- Ko, E.; Yoon, W.; Park, J. Fundamental characteristics of combustion under a spark ignition engine generator fueled by hydrogen-added biogas. High Temp. High Press. 2019, 48, 5–15. [Google Scholar] [CrossRef]
- Yoon, W.; Ko, E.; Cho, H.; Park, J. A numerical investigation of hydrogen’s effects on the performance of a heavy-duty natural-gas engine for a combined hydrogen, heat and power system. High Temp. High Press. 2019, 48, 25–36. [Google Scholar] [CrossRef]
- Heywood, J.B. Internal Combustion Engine Fundamentals; McGraw Hill: New York, NY, USA, 1988. [Google Scholar]
- McKay, M.C.; Beckman, R.J.; Conover, W.J. Comparison of three methods for selecting values of input variables in the analysis of output from a computer code. Technometrics 1979, 21, 239–245. [Google Scholar]
- Park, J.; Song, S. Predicting the performance and NOx emissions of a turbocharged spark-ignition engine generator fueled with biogases and hydrogen addition under down-boosting condition. Int. J. Hydrog. Energy 2014, 39, 8510–8524. [Google Scholar] [CrossRef]
- Park, J.; Lee, K.S.; Kim, M.S.; Jung, D. Numerical analysis of a dual-fueled CI (compression ignition) engine using Latin hypercube sampling and multi-objective Pareto optimization. Energy 2014, 70, 278–287. [Google Scholar] [CrossRef]
© 2020 by the authors. Licensee MDPI, Basel, Switzerland. This article is an open access article distributed under the terms and conditions of the Creative Commons Attribution (CC BY) license (http://creativecommons.org/licenses/by/4.0/).












