Abstract
The efficient liquefaction of cellulose is a critical technological pathway for the energy utilization of biomass. This study constructed a plasma electrolytic liquefaction experimental system based on the principle of liquid phase surface arc discharge, systematically investigating the effects of operational parameters, including working voltage, catalyst dosage, solid–liquid ratio, and micro-arc polarity, on the liquefaction characteristics of microcrystalline cellulose. Experimental results demonstrated that under optimized conditions—anode micro-arc configuration, working voltage of 750 V, catalyst dosage of 1.44 g, and solid–liquid ratio of 6:38—the cellulose conversion rate reached 79.2%, with a liquefied product mass of 4.75 g. Mechanistic analysis revealed that high-energy electrons and hydrogen ions generated by plasma discharge synergistically act on the cleavage of cellulose molecular chains. Under the combined effects of the catalyst and plasma, cellulose molecules are depolymerized into small molecular compounds. Compared with traditional liquefaction processes, this technology exhibits significant advantages in reaction rate and energy efficiency, providing a novel technical route for the efficient conversion of biomass resources.
1. Introduction
Biomass, as the sole renewable resource with the potential for liquid fuel conversion, is regarded as a crucial pathway for replacing traditional fossil fuels through large-scale utilization [1]. However, the three-dimensional reticulated composite structure of lignocellulosic biomass leads to inherent heterogeneity and recalcitrance to degradation, significantly constraining its efficient valorization. In this context, developing high-efficiency and low-cost lignocellulose depolymerization technologies has become a core scientific challenge in the biorefinery sector [2,3,4].
Biomass conversion fundamentally involves the directional transformation of macromolecular organic compounds into high-value-added small molecules through chemical bond cleavage. Thermochemical conversion methods primarily include gasification, pyrolysis, and liquefaction [5]. Compared to gasification requiring harsh high-temperature conditions (>800 °C) and pyrolysis with inherent product regulation challenges, liquefaction technology demonstrates notable advantages in moderate reaction conditions (150–400 °C), operational simplicity, and equipment versatility. However, it faces critical technical bottlenecks in product separation and purification. Current approaches predominantly employ two thermochemical liquefaction strategies: high-pressure hydrothermal liquefaction [6,7] and ambient pressure catalytic liquefaction [8,9].
Hydrothermal liquefaction (HTL) utilizes sub/supercritical aqueous media to convert biomass into bio-crude oil through hydrolysis, deoxygenation, and other reactions [10]. However, this process requires operation under high-pressure conditions (15–25 MPa), posing challenges such as stringent equipment pressure resistance requirements and significant energy consumption. In contrast, atmospheric solvent catalytic liquefaction employs organic solvents as reaction media and achieves efficient biomass conversion under ambient pressure with catalytic assistance.
Thermodynamic studies [11] reveal that reaction temperature significantly influences liquefaction reaction kinetics. Conventional heating methods (e.g., oil baths or electric furnaces), which rely on thermal conduction pathways, often result in limited heating rates and low energy utilization efficiency. To address these limitations, researchers have introduced auxiliary technologies such as microwave and ultrasonic irradiation to optimize the process. For instance, Krzan et al. [12] demonstrated complete liquefaction of wood within 7 min at 190–210 °C using p-toluenesulfonic acid as a catalyst and ethylene glycol as the solvent under microwave heating. The microwave field induces dipole polarization, generating molecular friction heat in polar molecules. This volumetric heating mechanism not only enhances heat transfer efficiency but also promotes selective cleavage of chemical bonds through non-thermal effects. Nevertheless, the electromagnetic shielding requirements and batch operation mode of microwave reactors hinder their economic viability and scalability for continuous production. Therefore, advancing atmospheric biomass liquefaction technologies necessitates further exploration of novel strategies characterized by lower costs, higher efficiency, and simpler operational protocols.
Plasma-assisted electrolytic liquefaction technology represents a cutting-edge development in the field of solvent-catalyzed liquefaction. It generates non-equilibrium plasma in solvent media through pulsed discharge, synergistically enhancing biomass depolymerization via electrochemical effects [13,14,15,16,17]. Tang et al. [18] achieved a 95% conversion rate for corncob liquefaction within merely 5 min using polyethylene glycol 200 (PEG-200) and glycerol as liquefaction solvents under plasma-assisted electrolysis. The introduction of plasma technology has enabled efficient and rapid liquefaction of biomass and its conversion into bio-liquid fuels. This technology offers advantages such as low energy consumption, short processing time, high reaction efficiency, and excellent environmental performance. Moreover, the reactive free radicals generated during the liquefaction process help improve the quality of liquefied products, demonstrating significant development potential. However, current implementations still face limitations. For instance, Tang et al. [18] achieved a 95% conversion rate for corncob using plasma electrolytic liquefaction technology, but GC-MS analysis revealed that the liquefied products contained aromatic compounds, which are difficult to utilize directly and result in poor fuel quality. In another study, Liu et al. [19] achieved a high liquefaction rate of 99.6% for sawdust by combining plasma technology with sulfuric acid as a catalyst. Although biomass undergoes chemical reactions more readily under acidic conditions, existing research predominantly relies on sulfuric acid to create such conditions. While effective for catalysis, this approach raises environmental concerns and challenges in catalyst recovery.
In summary, to address the limitations of conventional biomass liquefaction technologies—such as low energy conversion efficiency, high catalyst costs, and environmental pollution—this study proposes an optimized plasma electrolytic liquefaction strategy enhanced by multi-field coupling. Unlike existing studies that compromise on feedstock component heterogeneity and the limitations of homogeneous catalysis, this work innovatively employs microcrystalline cellulose as the feedstock and aluminum sulfate hydrate (Al2(SO4)3·18H2O) as the catalyst, aiming to achieve high conversion rates, high absolute conversion yields, and short reaction times. The effects of operational parameters—including working voltage, catalyst dosage, solid–liquid ratio, and electrode polarity—on the plasma electrolytic liquefaction of microcrystalline cellulose were systematically investigated. Building on this, the characteristics and mechanisms of plasma electrolytic cellulose liquefaction were elucidated, and the resulting products were analyzed. This research aims to provide a more efficient and environmentally friendly solution for the energy-oriented utilization of cellulose.
2. Materials and Methods
2.1. Materials and Reagents
The microcrystalline cellulose used in the experiments was provided by Shanghai Aladdin Biochemical Technology Co., Ltd. (Shanghai, China), aluminum sulfate octadecahydrate was supplied by Sinopharm Chemical Reagent Co., Ltd. (Shanghai, China), the pulsed DC power source was provided by Jinan Neng Hua Electromechanical Equipment Co., Ltd. (Jinan, China), and the temperature-controlled magnetic stirrer was furnished by JOANLAB Company (Huzhou, China).
2.2. Reactor and System Construction
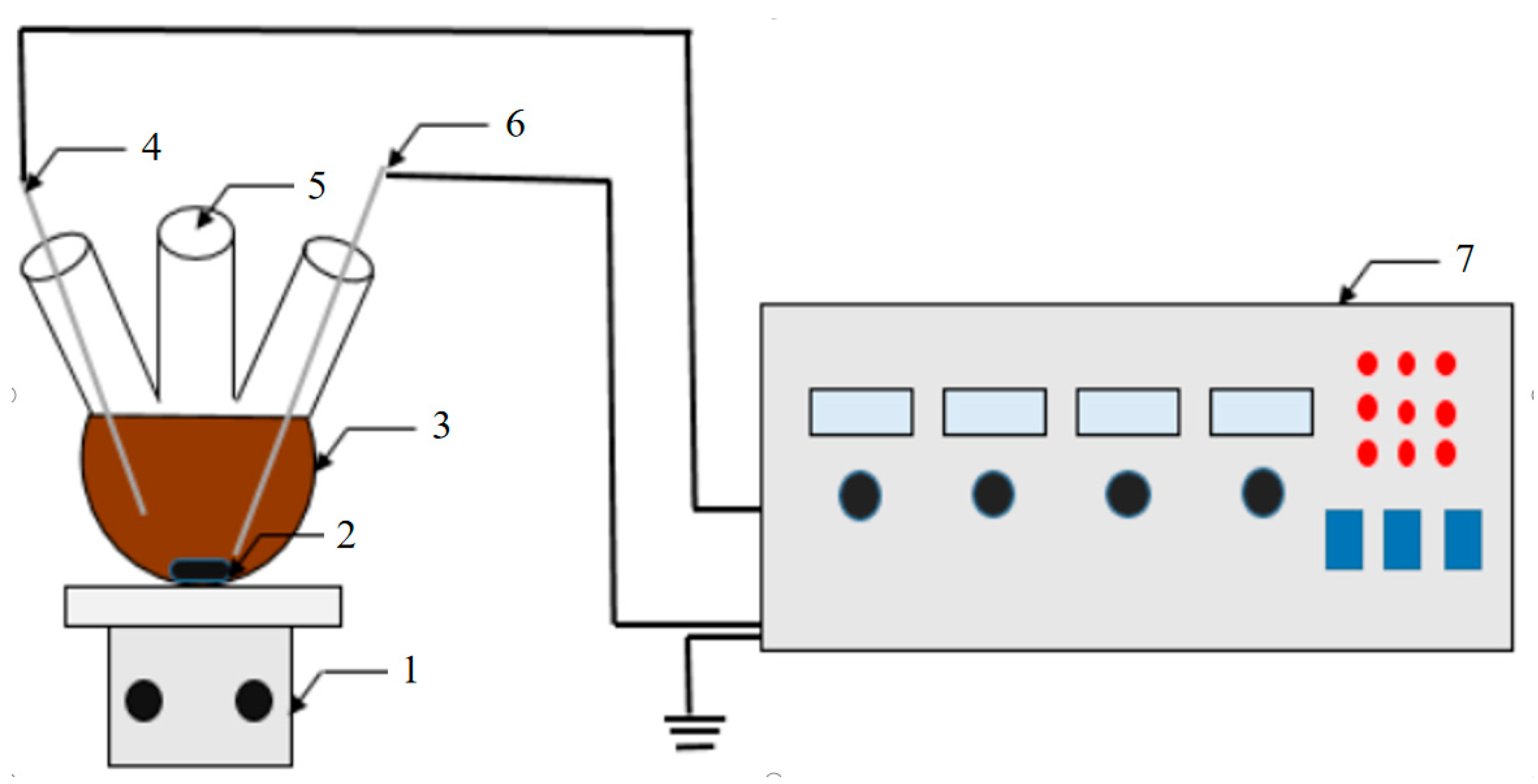
Based on the principle of liquid surface micro-arc discharge, a plasma electrolytic liquefaction experimental system, as shown in Figure 1, was constructed for experimental research on plasma electrolytic liquefaction of cellulose. The experimental setup mainly consists of the following components: 1 temperature-controlled magnetic stirrer, 2 magnetic stirrer rotors, 3 quartz glass reactors, 4 micro-arc electrodes, 5 gas inlet/outlet ports, and 6 non-micro-arc electrodes. A magnetic stirrer rotor 2 is placed at the bottom of the three-necked flask 3, achieving uniform liquid mixing through magnetic driving to improve the reaction rate. Tungsten electrodes were used in the experiments, with the non-micro-arc electrode positioned below the micro-arc electrode. The plasma electrolytic liquefaction cellulose device was connected to a pulsed DC power supply, where the anode is connected to the positive terminal and the cathode to the negative terminal of the power source.
Figure 1.
Schematic diagram of the plasma electrolytic liquefaction test system. 1. Temperature-controlled magnetic stirrer; 2. Magnetic stirrer rotor; 3. Quartz glass reaction vessel; 4. Micro-arc electrode; 5. Gas inlet/outlet channels; 6. Non-micro-arc electrode; 7. Pulsed DC power supply.
2.3. Experimental Process and Method
Based on the principle of plasma electrolytic liquefaction of cellulose and existing research findings [20,21], the main factors influencing catalytic liquefaction include working voltage, solid-to-liquid ratio, catalyst dosage, and micro-arc polarity. Considering the practical experimental conditions, the continuous input of electric field energy causes the system temperature to rise steadily until reaching thermal equilibrium. Consequently, both reaction temperature and solid-to-liquid ratio are dependent variables determined by ambient temperature, device structural parameters, energy input parameters, and reaction time, rather than independent variables. Therefore, working voltage, catalyst dosage, solid-to-liquid ratio, and micro-arc polarity were selected as the influencing factors for the plasma electrolytic liquefaction of cellulose experiments. Single-factor experiments were systematically conducted to investigate the effects of these parameters on the electrolytic liquefaction of cellulose.
When conducting single-factor experimental studies on plasma electrolytic liquefaction of cellulose, a measured quantity of microcrystalline cellulose and the catalyst (aluminum sulfate) were first added to the three-necked flask reactor. Subsequently, 30 mL of glycerol and 15 mL of water were introduced into the reactor, followed by the placement of a magnetic stirrer rotor and activation of the magnetic stirrer to initiate mixing. After achieving homogenization and complete dissolution of the aluminum sulfate, the reactor was connected to the anode and cathode of the plasma electrolysis device. The DC pulse power supply was then turned on, and the voltage, duty cycle, and frequency were adjusted to predetermined values. Timing commenced once parameters stabilized. Upon reaching the preset experimental duration, the power supply voltage was set to zero, and the device was powered off to terminate liquefaction. After liquefaction, the mixture was cooled to room temperature. Once cooled, an appropriate amount of ethanol was added to the solution for dilution under stirring to facilitate subsequent filtration and sample analysis. The diluted solution was poured out and filtered through filter paper. The liquid phase was collected in sample vials and sealed for storage, while the filter paper retaining the solid phase was placed in a blast drying oven set to 115 °C and dried for 12 h. The dried solid residue was weighed using an electronic balance, then sealed and stored.
2.4. Evaluation Parameters
2.4.1. Evaluation of Microcrystalline Cellulose Conversion
The conversion of microcrystalline cellulose was calculated according to Equation (1):
f: the conversion rate of microcrystalline cellulose; m: the mass of the solid residue; M: the mass of the raw microcrystalline cellulose material.
2.4.2. Evaluation of the Absolute Amount of Microcrystalline Cellulose Conversion
The absolute amount of microcrystalline cellulose conversion is calculated as in Equation (2):
M0: Indicates the conversion of an absolute quantity; m: Indicates mass of solid residue; M: Indicates the quality of microcrystalline cellulose raw material.
2.4.3. Evaluation of Energy Consumption
The energy consumption EE of the microcrystalline cellulose liquefaction process was calculated according to Equation (3):
In the equation, E (kW·h) denotes the energy consumption of the liquefaction process, U(V) represents the voltage, I(A) is the current, and t(s) indicates the reaction time.
2.4.4. Analysis of Liquefaction Products
The limit of detection (LOD) and limit of quantification (LOQ) are critical parameters for evaluating method sensitivity. The LOD represents the minimum concentration or mass of an analyte that can be reliably detected under specified analytical conditions, whereas the LOQ corresponds to the lowest concentration or mass that can be quantified with acceptable accuracy and precision.
Qualitative analysis of the filtered liquid phase products was conducted using a GC-MS system (Agilent 6890 N-5973, Agilent, Santa Clara, CA, USA) equipped with an HP-5 MS capillary column (30 m × 0.25 mm × 0.25 μm). The gas chromatograph operated under the following conditions: high-purity helium (99.999%) as the carrier gas at a constant flow rate of 1.0 mL/min and an injection port temperature maintained at 280 °C with no solvent delay. The mass spectrometer parameters included an ion source temperature of 230 °C, transfer line temperature of 250 °C, and electron ionization (EI) source operating at 70 eV. Full-scan mass spectra were acquired over a mass range of 30–550 amu with a 1 s scanning interval. The temperature program commenced at 50 °C (5 min hold), followed by a 10 °C/min ramp to 280 °C (15 min final hold). Prior to analysis, liquid phase samples were filtered through a 0.22 μm membrane to eliminate particulate contaminants and diluted with ethanol (HPLC grade). A 10 μL aliquot of the diluted sample was injected into the system post-calibration, and raw data were archived for subsequent processing.
For LOD/LOQ determination, the Agilent 6890N-5973 GC-MS system was calibrated in EI mode using sensitivity parameters validated by the signal-to-noise (S/N) ratio method. At an injection volume of 10 μL, the experimentally derived LOD and LOQ were 0.3 pg (equivalent to 0.03 ng/mL) and 1 pg (equivalent to 0.1 ng/mL), respectively. Method validation demonstrated excellent reproducibility (RSD < 5%) and satisfactory spiked recovery rates (90–105%), meeting stringent requirements for trace-level analysis.
3. Results and Discussion
3.1. Effect of Liquefaction Parameters on Cellulose Electrolysis Liquefaction
3.1.1. Working Voltage
Under the conditions of a solid-to-liquid ratio of 2:38, a catalyst (Al2(SO4)3) dosage of 1.44 g, and the application of anode micro-arc, the relationship between working time/cellulose conversion rate and working voltage is illustrated in Figure 2 and Table A1.
Figure 2.
Effect of different operating voltages on cellulose liquefaction.
As shown in Figure 2, as the working voltage increases from 450 V to 750 V, the cellulose conversion rate significantly rises from 67.3% to 90.5%, and the required reaction time is also markedly reduced. This is attributed to the rapid acceleration of electrons and ions in the solution due to increased kinetic energy, coupled with intense arc discharge, electron avalanche effects, and substantial heat generation, collectively enhancing cellulose liquefaction. However, when the working voltage is further increased to 900 V, the liquefaction efficiency becomes comparable to that at 750 V, without further significant improvement. This stagnation primarily results from excessive energy input, which induces splashing phenomena that separate some raw material from the reaction system, thereby preventing partial raw material from undergoing liquefaction.
3.1.2. Catalyst Dosage
Under the condition of working voltage 750 V, solid–liquid ratio of 2:38 and anode micro-arc, the change rule of microcrystalline cellulose conversion rate with catalyst dosage is shown in Figure 3 and Table A2.
Figure 3.
Effect of catalyst dosage on the conversion rate of microcrystalline cellulose.
As shown in Figure 3, when the catalyst dosage increases from 1.26 g to 1.44 g, the liquefaction conversion rate of cellulose rises from 82.5% to 90.5%. However, as the catalyst dosage continues to increase, the conversion rate begins to decline gradually. At a catalyst dosage of 1.80 g, the cellulose conversion rate drops to 87.3%. This is primarily due to side reactions triggered by the increased amount of aluminum sulfate. As the catalyst dosage rises, the likelihood of side reactions—such as carbonization of glycerol and polymerization of liquefaction intermediates—increases, leading to the generation of more solid residues [15,22]. During the calculation of cellulose conversion rates, these unseparated solids contribute to the observed reduction in conversion efficiency.
3.1.3. Solid–Liquid Ratio
Under the conditions of maintaining an aluminum sulfate catalyst dosage of 1.44 g, a working voltage of 750 V, and the application of anode micro-arc, plasma electrolytic liquefaction experiments of microcrystalline cellulose were conducted by progressively increasing the cellulose dosage. The reaction behavior is illustrated in Figure 4 and Table A3.
Figure 4.
Effect of different solid–liquid ratios on liquefaction of microcrystalline cellulose.
As shown in Figure 4, the solid-to-liquid ratio significantly impacts the liquefaction process of microcrystalline cellulose. With an increase in the solid-to-liquid ratio, the absolute conversion quantity of microcrystalline cellulose exhibits an upward trend, while the conversion rate decreases. This phenomenon may arise from two potential factors: (1) The increased cellulose dosage disrupts heat and mass transfer processes within the reaction system [15,23]; (2) Glycerol, a key liquefying agent, is prone to oxidation and dehydration, forming glyceric acid and allyl alcohol, which depletes the liquefying agent and thereby reduces liquefaction efficiency [24].
3.1.4. Micro-Arc Polarity
Under the conditions of a catalyst dosage of 1.44 g, a solid-to-liquid ratio of 6:38, and a working voltage of 750 V, experimental studies on the influence of micro-arc polarity on the electrolytic liquefaction of cellulose were conducted. The corresponding trends are illustrated in Figure 5 and Table A4.
Figure 5.
Effect of micro-arc electrode on cellulose electrolytic liquefaction.
As shown in Figure 5a, under anode micro-arc conditions, the cellulose conversion rate reaches approximately 79.2%, significantly higher than the 68.7% observed under cathode micro-arc conditions. Concurrently, the electrolytic liquefaction time required for cellulose with anode micro-arc is only 13.5 min, far shorter than the 28.3 min required for cathode micro-arc. This phenomenon indicates that anode micro-arc exhibits distinct advantages in enhancing cellulose conversion efficiency and shortening liquefaction duration. Further observation of Figure 5b reveals that the overall heating rate under anode micro-arc is 10.7 °C/min, more than double the rate under cathode micro-arc. This discrepancy may arise because the arc temperature during anode micro-arc is higher than that during cathode micro-arc, leading to elevated working temperatures, faster heating rates, and higher H+ concentrations under identical conditions [25]. Additionally, during the discharge process, bright spark spots at the cathode are notably more pronounced compared to anode arc discharge, accompanied by extreme current instability, which may hinder stable system operation. Collectively, these factors contribute to the superior performance of anode micro-arc in the electrolytic liquefaction of cellulose.
In summary, anode micro-arc demonstrates clear advantages over cathode micro-arc in terms of cellulose conversion rate, liquefaction time, and system stability. This discovery offers new insights for optimizing biomass liquefaction processes and provides strong support for the future efficient utilization of biomass energy.
3.2. Characterization of Plasma Electrolysis Fluidization
The liquefaction characteristics of plasma electrolysis are shown in Figure 6. As can be seen from the figure, the voltage is divided into five stages, specifically U1 to U5.
Figure 6.
Diagram of the current–voltage relationship under optimal test conditions.
During the U1 stage, the current and voltage exhibit linear growth in accordance with Ohm’s law, primarily due to the low kinetic energy of ions in the solution, where the electrolyte demonstrates purely resistive characteristics and the current increases linearly. In the U2 stage, the kinetic energy of electrons and ions in the solution significantly increases, causing a rapid temperature rise in the electrolyte. This thermal effect generates abundant bubbles containing substantial free electrons, leading to accelerated current growth. U3 and U4 represent transitional phases. With increasing voltage, the continuous enhancement of ionic kinetic energy results in sustained temperature elevation. The boiling phenomenon near the cathode induced by high temperatures gradually generates gas layers that envelop the electrode surface, establishing gas–liquid conduction. Due to the lower conductivity of gaseous media, the current abruptly decreases. Under strong electric fields, gas breakdown occurs, forming a stable arc discharge. During the U5 stage, the voltage stabilizes around 740 V with a current of approximately 0.16 A. Both voltage and current curves maintain relative stability throughout this phase.
3.3. Investigation into the Mechanism of Plasma Electrolysis Liquefaction
In the plasma electrolysis liquefaction process, biomass liquefaction is determined by catalysts, liquefaction agents, plasma, and temperature. These factors synergistically interact to break the C-C, C-N, and C-O bonds in biomass, thereby achieving rapid liquefaction. To investigate the underlying mechanism, the study will explore the following three aspects: (1) the role of temperature and H+; (2) the function of free radicals generated during discharge; (3) the contribution of plasma effects.
3.3.1. Role of Temperature and H+
- (1)
- Effect of temperature on liquefaction
The implementation of plasma technology induces rapid temperature elevation, with the liquefaction process and efficiency being thermally dependent. To quantitatively evaluate the temperature effect on cellulose liquefaction under plasma electrolysis conditions, experimental investigations were conducted with the following parameters: water/glycerol volume ratio of 15:30, aluminum sulfate catalyst dosage of 1.44 g, operating voltage of 750 V, solid-to-liquid ratio of 6:38, and anodic micro-arc discharge. The corresponding results are presented in Figure 7.
Figure 7.
Variation in temperature of the solution system with time under plasma conditions.
As illustrated in Figure 7, during the initial 0–5 min of discharge, the system temperature exhibits rapid escalation, rising from the initial ambient temperature of 33.6 °C to 99.7 °C. From 5 to 9.5 min, the temperature gradually increases from 99.7 °C to 110 °C. This moderated heating phase is primarily attributed to the phase transition into water evaporation, where substantial energy is consumed to remove bulk moisture from the system before subsequent rapid temperature rise can resume. Beyond 9.5 min, the temperature surges again and stabilizes around 185 °C after 13 min.
This thermal profile reveals the dynamic thermal characteristics inherent to plasma electrolysis cellulose liquefaction. In biomass liquefaction processes, temperature elevation plays a critical role in promoting pyrolytic degradation of macromolecules. Enhanced thermal energy absorption by biomass macromolecules facilitates their cleavage into smaller molecular fragments [15,26]. Concurrently, controlled high-temperature conditions effectively suppress re-polymerization reactions among intermediate products, thereby improving liquefaction product quality.
Existing studies confirm a positive correlation between biomass liquefaction rate and temperature below 350 °C, where both liquefaction efficiency and absolute conversion yield increase proportionally with temperature elevation. This mechanistic understanding implies that precise temperature control and optimization in plasma electrolysis cellulose liquefaction could significantly enhance both process efficiency and product performance.
- (2)
- Effect of H+ on liquefaction
During cellulose liquefaction, the cleavage of β-1,4-glycosidic bonds is initiated by protonation through H+ binding, which promotes depolymerization or degradation. Strong acids/bases, as the most widely used liquefaction catalysts in plasma-assisted lignocellulosic biomass liquefaction, not only enhance electrical conductivity to accelerate heating rates but also significantly reduce the activation energy of cellulose liquefaction reactions. This enables milder and more efficient liquefaction processing.
Considering the substantial environmental impacts of strong acids/bases, this study employs aluminum sulfate (Al2(SO4)3) as an acidic salt catalyst. Its acid-generating mechanism is governed by the reactions shown in Equations (4) and (5):
Al2(SO4)3 → 2Al3+ + 3SO42−
Al3+ + 3H2O → Al(OH)3↓ + 3H+
As governed by Equations (4) and (5), aluminum sulfate dissolved in the solution not only serves as an acidic catalyst but also modulates plasma generation dynamics through its dissociated Al3+ and SO42− ions, with thermal effects being the primary manifestation. To investigate the influence of aluminum sulfate catalyst dosage on the thermal behavior of plasma electrolysis cellulose liquefaction, experiments were conducted under controlled conditions: water/glycerol volume ratio of 15:30, Al2(SO4)3 concentration of 24 g·L−1, operating voltage of 750 V, solid-to-liquid ratio of 6:38, and anodic micro-arc configuration. Temperature evolution profiles were systematically recorded for catalyst loadings of 0 g, 1.26 g, 1.44 g, 1.62 g, and 1.80 g, with the experimental results detailed in Figure 8.
Figure 8.
Variation in solution temperature with different catalyst dosages over time.
According to Figure 8, under the same working duration of 14 min, the solution temperatures reached 54.6 °C, 174.4 °C, 185.4 °C, and 185.7 °C when the dosages of aluminum sulfate catalyst were 0 g, 1.26 g, 1.44 g, and 1.62 g, respectively. This demonstrates that the rate of temperature increase in the solution progressively accelerated with higher doses of aluminum sulfate catalyst. Even at relatively low catalyst loadings (e.g., 1.26 g), a rapid temperature rise in the liquefaction system could be achieved. The results indicate that aluminum sulfate, as an environmentally friendly catalyst, not only effectively reduces activation energy in cellulose liquefaction reactions but also significantly elevates solution temperature, thereby enhancing reaction efficiency. This green catalytic system shows promising application potential in related research fields.
3.3.2. Formation of Free Radicals Generated During the Discharge Process
In the solution system, micro-arc discharge generates non-thermal plasma, where electrons can acquire energy ranging from 3 to 20 eV. This micro-arc discharge enhances energy efficiency. The instantaneous high electric field accelerates electrons, enabling collisions with surrounding gas molecules and producing various reactive species, as illustrated in Equations (6)–(10). These free radicals primarily originate from collisions between gas molecules and electrons. Specifically, ·CH and ·C2 radicals are derived from glycerol. When the solution temperature increases, glycerol releases gaseous species (HOCH2CHOHCH2OH), which undergo breakdown discharge under the electric field to generate free radicals [20], as shown in Equation (11). Additionally, water vapor decomposition produces ·OH and ·H radicals. Nitrogen molecules (N2) in the air, when bombarded by electrons, form excited nitrogen species (N2*) [27].
HOCH2CHOHCH2OH(gas) + 6e→
2·CH2 +·CH + 3·OH + 6e
·CH2 + 2e→·C + 2·H + 2e
·CH + e →·C +·H + e
·OH + e →·O +·H + e
·C +·C → C2
H2O(gas) + e →·OH +·H
N2 + e → N2* + e
3.3.3. Reaction Pathways for Plasma Electrolyzed Cellulose
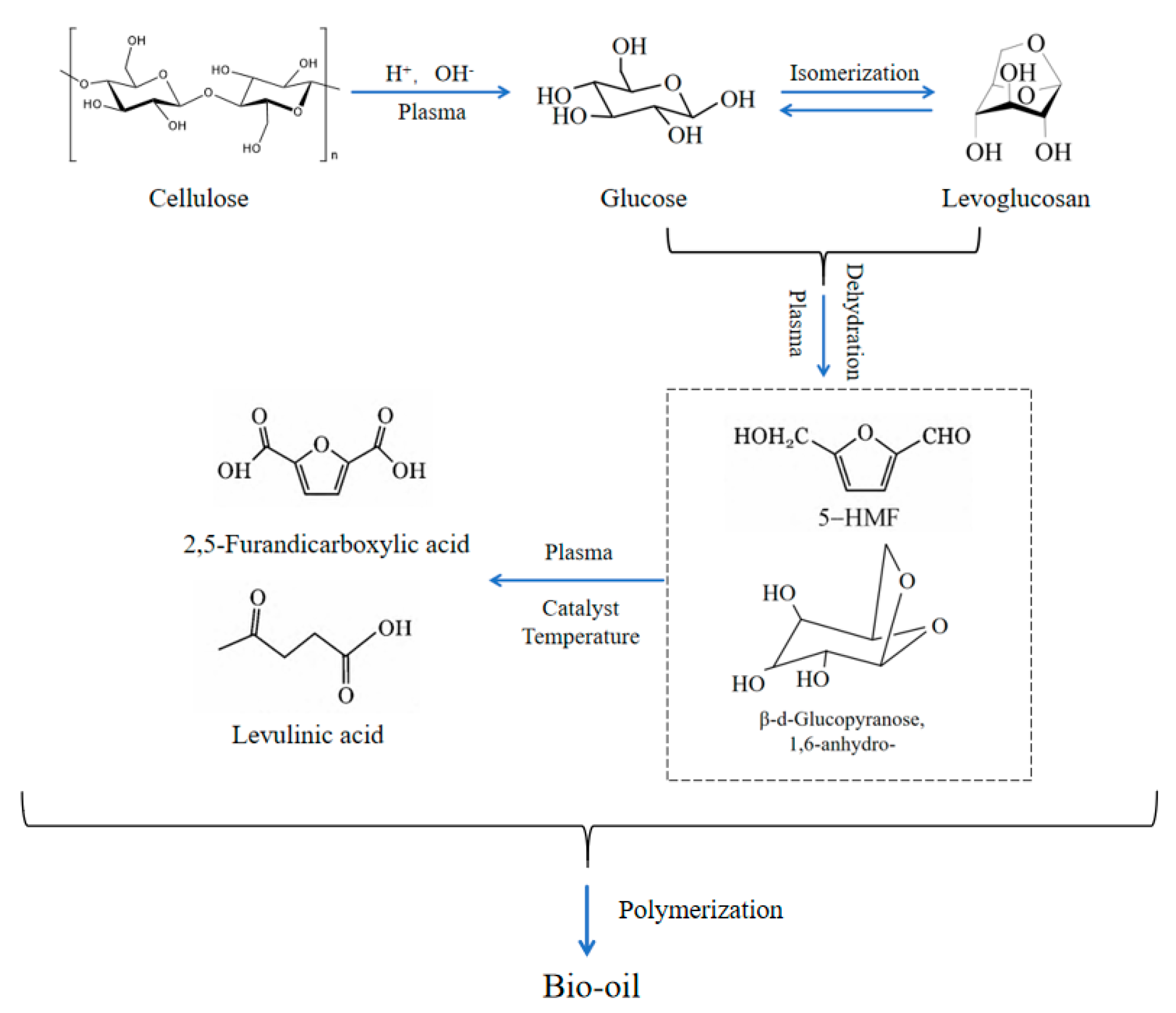
The pathway of plasma-assisted electrolytic liquefaction of cellulose is illustrated in Figure 9 [28]. Taking the decomposition of cellulose under an acidic catalyst as an example, cellulose is composed of glucose monomers linked via C-O bonds, forming a stable crystalline structure. During plasma discharge, hydrogen ions (H+) provide protons to the C-O bonds under the electric field, leading to bond cleavage at elevated temperatures [12]. The resulting oligomers subsequently decompose into glucose monomers. Under the combined effects of plasma, catalysts, and temperature, the C-C and C-O bonds within glucose undergo further cleavage, forming smaller molecular weight compounds such as levulinic acid, acetic acid, and furan derivatives. A portion of these small-molecule compounds participate in polymerization reactions, yielding compounds like ethyl acetate and triacylglycerols.
Figure 9.
Cellulose degradation paths under plasma electrolytic liquefaction [29].
3.4. Analysis of Liquefaction Product Results
Under the action of plasma technology, the chemical bonds in cellulose undergo cleavage, converting it into liquid products through the electrolytic liquefaction process. The chemical composition of the liquid products was detected, analyzed, and determined using GC-MS technology. Figure 10 displays the total ion chromatogram of the liquid products, while Figure 11 illustrates the species distribution diagram of the liquid products.
Figure 10.
GC-MS total ion current plot of the liquid product.
Figure 11.
Liquid product species distribution.
According to GC-MS analysis, the primary compounds in the liquefaction products include esters, alcohols, ketones, ethers, acids, and alkoxy-containing derivatives. All these compounds feature oxygen-containing functional groups (e.g., hydroxyl, carboxyl, and ester groups), with no detectable monocyclic aromatic compounds, indicating an improvement in oil quality. As shown in Figure 10, esters constitute the highest proportion, followed by alcohols, which strongly demonstrates that plasma-assisted electrolytic liquefaction enhances the utilization value of biomass. During the analysis, compounds such as isopropanol, 1-(2-methoxy-1-methylethoxy)-2-propanol, and dimethylcyclopentanol were identified, suggesting that glycerol may participate in the liquefaction reaction and generate intermediate products. Compared to conventional liquefaction methods, the product yields are similar, but the energy consumption differs significantly. As summarized in Table 1, plasma-assisted electrolytic liquefaction significantly enhances liquefaction efficiency, reduces energy consumption, and offers a simpler and more feasible approach.
Table 1.
Comparison of energy consumption in different liquefaction methods.
4. Conclusions
To achieve efficient liquefaction of cellulose, enhance the quality of biofuels, and reduce reaction energy consumption in reactions, this study proposes a research framework for plasma-assisted electrolytic liquefaction of cellulose. A dedicated experimental setup was designed and constructed to systematically investigate the effects of operational voltage, catalyst dosage, solid-to-liquid ratio, and electrode polarity on the plasma-assisted electrolytic liquefaction process. The physicochemical properties of the liquefaction products and liquid phase compositions were thoroughly analyzed. Building upon these findings, the mechanistic pathways underlying the reaction were elucidated. The key conclusions are as follows:
- (1)
- Effects of Liquefaction Parameters on Plasma-Assisted Electrolytic Liquefaction of Microcrystalline Cellulose. Under optimized conditions (water-to-glycerol volume ratio of 15:30, catalyst loading of 1.44 g, operating voltage of 750 V, solid-to-liquid ratio of 6:38, and anode micro-arc configuration), the absolute conversion yield of cellulose reached 4.75 g, with a conversion rate of 79.2% and a processing time of 13.5 min. The energy consumption of this process was determined to be 0.027 kWh.
- (2)
- This study innovatively employs an acidic salt catalyst and microcrystalline cellulose as the biomass feedstock, achieving highly efficient cellulose liquefaction. The approach significantly enhances biofuel quality, reduces energy consumption, and mitigates environmental pollution.
- (3)
- Mechanistic Analysis of Plasma-Assisted Electrolytic Liquefaction. This study investigates the reaction mechanism from the perspectives of H+ ions, temperature, and free radicals. The results reveal that aluminum sulfate (Al2(SO4)3), employed as a catalyst, not only effectively reduces the activation energy of cellulose liquefaction but also significantly elevates the solution temperature. The elevated temperature enables biomacromolecules to absorb thermal energy, thereby facilitating their cleavage into small-molecule compounds and improving reaction efficiency. This catalytic system demonstrates broad application potential in biomass conversion technologies due to its dual role in energy barrier reduction and thermal activation.
- (4)
- GC-MS analysis revealed the absence of aromatic compounds (e.g., benzene derivatives) in the liquid phase products, thereby improving the quality of the biofuels through enhanced fuel properties such as higher heating value and lower oxygen content.
Author Contributions
Conceptualization, W.Z. and W.L.; methodology, W.Z.; software, W.L.; validation, W.Z., W.L. and Y.S.; formal analysis, W.L.; investigation, W.L. and Y.S.; resources, W.Z.; data curation, W.Z. and W.L.; writing—original draft preparation, W.Z. and W.L.; writing—review and editing, W.Z. and W.L.; visualization, W.Z. and W.L.; supervision, W.Z.; project administration, W.Z. and W.L.; funding acquisition, J.W. All authors have read and agreed to the published version of the manuscript.
Funding
This research was funded by the Belt and Road Project in Jiangsu Province (Grant No. BZ2022016).
Institutional Review Board Statement
Not applicable.
Informed Consent Statement
Not applicable.
Data Availability Statement
The original contributions presented in this study are included in the article. Further inquiries can be directed to the corresponding author.
Acknowledgments
We sincerely acknowledge Bolin Wang for his valuable contributions in providing essential materials and technical assistance during this study.
Conflicts of Interest
This study does not have any business or financial relationships that could be perceived as a potential conflict of interest.
Appendix A
Table A1.
Effect of different operating voltages on cellulose liquefaction. (a solid-to-liquid ratio of 2:38, a catalyst (Al2(SO4)3) dosage of 1.44 g, and the application of anode micro-arc).
Table A1.
Effect of different operating voltages on cellulose liquefaction. (a solid-to-liquid ratio of 2:38, a catalyst (Al2(SO4)3) dosage of 1.44 g, and the application of anode micro-arc).
| Working Voltage/V | Working Hours/min | Microcrystalline Cellulose Conversion/% |
|---|---|---|
| 450 | 49 | 67.3 ± 0.46 |
| 600 | 39.5 | 81.4 ± 0.7 |
| 750 | 13.5 | 90.5 ± 0.78 |
| 900 | 13.3 | 90.6 ± 0.75 |
Table A2.
Effect of catalyst dosage on the conversion rate of microcrystalline cellulose. (Under the condition of working voltage 750 V, solid–liquid ratio of 2:38 and anode micro-arc).
Table A2.
Effect of catalyst dosage on the conversion rate of microcrystalline cellulose. (Under the condition of working voltage 750 V, solid–liquid ratio of 2:38 and anode micro-arc).
| Catalyst Dosage/g | Microcrystalline Cellulose Conversion/% |
|---|---|
| 1.26 | 82.5 ± 0.79 |
| 1.44 | 90.5 ± 1.06 |
| 1.62 | 88.4 ± 0.85 |
| 1.8 | 87.3 ± 0.72 |
Table A3.
Effect of different solid–liquid ratios on liquefaction of microcrystalline cellulose. (Under the conditions of maintaining an aluminum sulfate catalyst dosage of 1.44 g, a working voltage of 750 V, and the application of anode micro-arc).
Table A3.
Effect of different solid–liquid ratios on liquefaction of microcrystalline cellulose. (Under the conditions of maintaining an aluminum sulfate catalyst dosage of 1.44 g, a working voltage of 750 V, and the application of anode micro-arc).
| Solid–Liquid Ratio | Absolute Amount of Microcrystalline Cellulose Conversion/g | Microcrystalline Cellulose Conversion/% |
|---|---|---|
| 2:38 | 1.81 ± 0.056 | 90.5 ± 0.62 |
| 3:38 | 2.65 ± 0.106 | 88.3 ± 0.56 |
| 4:38 | 3.48 ± 0.046 | 87 ± 0.72 |
| 5:38 | 4.18 ± 0.062 | 83.6 ± 0.61 |
| 6:38 | 4.75 ± 0.079 | 79.2 ± 0.79 |
Table A4.
Effect of micro-arc electrode on cellulose electrolytic liquefaction. (Under the conditions of a catalyst dosage of 1.44 g, a solid-to-liquid ratio of 6:38, and a working voltage of 750 V).
Table A4.
Effect of micro-arc electrode on cellulose electrolytic liquefaction. (Under the conditions of a catalyst dosage of 1.44 g, a solid-to-liquid ratio of 6:38, and a working voltage of 750 V).
| Microcircuit Electrode | Working Hours/min | Microcrystalline Cellulose Conversion/% | Temperature Increase Rate/–min−1 |
|---|---|---|---|
| Cathode | 28.3 ± 0.66 | 68.7 ± 0.75 | 4.96 ± 0.089 |
| Cathode | 13.5 ± 0.89 | 79.2 ± 0.76 | 10.7 ± 0.656 |
References
- D’Souza, J.; Camargo, R.; Yan, N. Biomass Liquefaction and Alkoxylation: A Review of Structural Characterization Methods for Bio-based Polyols. Polym. Rev. 2017, 57, 668–694. [Google Scholar] [CrossRef]
- Zhao, L.; Sun, Z.F.; Zhang, C.C.; Nan, J.; Ren, N.-Q.; Lee, D.-J.; Chen, C. Advances in pretreatment of lignocellulosic biomass for bioenergy production: Challenges and perspectives. Bioresour. Technol. 2022, 343, 126123. [Google Scholar] [CrossRef] [PubMed]
- Liu, H.; Liu, Z.H.; Zhang, R.K.; Yuan, J.S.; Li, B.-Z.; Yuan, Y.-J. Bacterial conversion routes for lignin valorization. Biotechnol. Adv. 2022, 60, 108000. [Google Scholar] [CrossRef] [PubMed]
- Chai, M.; Wang, F.; Wei, D. Comprehensive Utilization of Lignocellulose for Organic Acid Synthesis via Biotransformation. Synth Biol. 2024, 5, 1242–1263. [Google Scholar]
- Demirbas, A. Mechanisms of liquefaction and pyrolysis reactions of biomass. Energy Convers. Manag. 2000, 41, 633–646. [Google Scholar] [CrossRef]
- Huang, H.J.; Yuan, X.Z. Recent progress in the direct liquefaction of typical biomass. Prog. Energy Combust. Sci. 2015, 49, 59–80. [Google Scholar] [CrossRef]
- Shin, J.D.; Hong, S.G.; Choi, W.S.; Park, S. Crude oil production and classification of organic compounds on super-critical liquefaction with rice hull. Biotechnol. Bioprocess Eng. 2013, 18, 956–964. [Google Scholar] [CrossRef]
- Zhang, H.; Ding, F.; Luo, C.; Xiong, L.; Chen, X. Liquefaction and characterization of acid hydrolysis residue of corncob in polyhydric alcohols. Ind. Crops Prod. 2012, 39, 47–51. [Google Scholar] [CrossRef]
- El-barbary, M.H.; Shukry, N. Polyhydric alcohol liquefaction of some lignocellulosic agricultural residues. Ind. Crops Prod. 2008, 27, 33–38. [Google Scholar] [CrossRef]
- Tekin, K.; Karagoez, S.; Bektas, S. A review of hydrothermal biomass processing. Renew. Sustain. Energy Rev. 2014, 40, 673–687. [Google Scholar] [CrossRef]
- He, X. Study on the Reaction Process of Liquefaction of Cellulose and Pine Sawdust for Methyl Levulinate Production. Ph.D. Dissertation, Chinese Academy of Forestry, Beijing, China, 2014. [Google Scholar]
- Kržan, A.; Žagar, E. Microwave driven wood liquefaction with glycols. Bioresour. Technol. 2009, 100, 3143–3146. [Google Scholar] [CrossRef] [PubMed]
- Qiansen, Q.; Dema, B.; Changqing, L. Research on low-temperature plasma surface treatment technology. Mater. Prot. 2022, 55, 55–60. [Google Scholar]
- Sun, H.; Fan, Z.; Han, W.; Yang, Q.; Shao, T.; Beijing International S&T Cooperation Base for Plasma Science and Energy Conversion, Institute of Electrical Engineering, Chinese Academy of Sciences; School of Electronic, Electrical, and Communication Engineering, University of Chinese Academy of Sciences; Research Institute of Petroleum Processing, SINOPEC. Research progress of low temperature plasma technology in heavy oil processing. Acta Pet. Sin. (Pet. Process. Sect.) 2022, 38, 1250–1260. [Google Scholar]
- Zhou, R.S.; Zhou, R.W.; Wang, S.; Lan, Z.; Zhang, X.; Yin, Y.; Tu, S.; Yang, S.; Ye, L. Fast liquefaction of bamboo shoot shell with liquid-phase microplasma assisted technology. Bioresour. Technol. 2016, 218, 1275–1278. [Google Scholar] [CrossRef] [PubMed]
- Xi, D.; Jiang, C.; Zhou, R.; Fang, Z.; Zhang, X.; Liu, Y.; Luan, B.; Feng, Z.; Chen, G.; Chen, Z.; et al. The universality of lignocellulosic biomass liquefaction by plasma electrolysis under acidic conditions. Bioresour. Technol. 2018, 268, 531–538. [Google Scholar] [CrossRef]
- Xi, D.; Zhou, R.; Zhou, R.; Zhang, X.; Ye, L.; Li, J.; Jiang, C.; Chen, Q.; Sun, G.; Liu, Q.; et al. Mechanism and Optimization for Plasma Electrolytic Liquefaction of Sawdust. Bioresour. Technol. 2017, 241, 545–551. [Google Scholar] [CrossRef]
- Tang, L.; Huang, H. Biomass gasification using capacitively coupled RF plasma technology. Fuel 2005, 84, 2055–2063. [Google Scholar] [CrossRef]
- Liu, F.; Cai, M.; Liu, S.; Wang, S.; Mei, D.; Fang, Z. The optimization of plasma catalytic liquefaction technique for the conversion of sawdust into value-added chemicals. IEEE Access 2019, 8, 2621–2630. [Google Scholar] [CrossRef]
- Xi, D.; Wen, S.; Zhang, X.; Xie, W.; Fang, Z.; Zhou, R.; Wang, D.; Zhao, D.; Ye, L.; Yang, S.; et al. Plasma-electrolytic liquefaction of human waste for biofuels production and recovery of ammonium, chlorine and metals. Chem. Eng. J. 2022, 433, 134581. [Google Scholar] [CrossRef]
- Sun, Z. Study on Pulsed Discharge Plasma for Liquefied Biomass Waste Treatment. Ph.D. Dissertation, Dalian Maritime University, Dalian, China, 2021. [Google Scholar]
- Shi, Y.; Xia, X.; Li, J.; Wang, J.; Zhao, T.; Yang, H.; Jiang, J.; Jiang, X. Solvolysis kinetics of three components of biomass using polyhydric alcohols as solvents. Bioresour. Technol. 2016, 221, 102–110. [Google Scholar] [CrossRef]
- Lu, Z.; Fan, L.; Wu, Z.; Zhang, H.; Liao, Y.; Zheng, D.; Wang, S. Efficient liquefaction of woody biomass in polyhydric alcohol with acidic ionic liquid as a green catalyst. Biomass Bioenergy 2015, 81, 154–161. [Google Scholar] [CrossRef]
- Xie, J.; Qi, J.; Hse, C.; Shupe, T.F. Optimization for microwave-assisted direct liquefaction of bamboo residue in glycerol/methanol mixtures. J. For. Res. 2015, 26, 261–265. [Google Scholar] [CrossRef]
- Huang, Z.; Xi, D.; Zhang, X.; Yang, S.; Fujian Provincial Key Laboratory of Plasma and Magnetic Resonance, Institute of Electromagnetics and Acoustics, Xiamen University. Development and Prospect of Plasma-Electrolytic Liquefaction of Biomass. Acta Pet. Sinica. Pet. Process. Sect. 2023, 39, 1104–1115. [Google Scholar]
- Ye, L.; Zhang, J.; Zhao, J.; Tu, S. Liquefaction of bamboo shoot shell for the production of polyols. Bioresour. Technol. 2014, 153, 147–153. [Google Scholar] [CrossRef]
- Jiang, C.; Liu, S.; Feng, Z.; Fang, Z.; Zhang, X.H.; Mei, D.H.; Xi, D.K.; Luan, B.Y.; Wang, X.Q.; Yang, S.Z. Plasma electrolytic liquefaction of sawdust Project supported by the National Natural Science Foundation of China (Grant No. 51877184). Chin. Phys. B 2019, 28, 048803. [Google Scholar] [CrossRef]
- Mei, D.; Liu, S.; Wang, S.; Zhou, R.; Zhou, R.; Fang, Z.; Zhang, X.; Cullen, P.J.; Ostrikov, K.K. Plasma-enabled liquefaction of lignocellulosic biomass: Balancing feedstock content for maximum energy yield. Renew. Energy 2020, 157, 1061–1071. [Google Scholar] [CrossRef]
- Hu, S.; Li, Y. Two-step sequential liquefaction of lignocellulosic biomass by crude glycerol for the production of polyols and polyurethane foams. Bioresour. Technol. 2014, 161, 410–415. [Google Scholar] [CrossRef]
- Demirbas, A. Liquefaction of Biomass Using Glycerol. Energy Sources Part A Recovery Util. Environ. Eff. 2008, 30, 1120–1126. [Google Scholar] [CrossRef]
- Zhu, X.; Li, G.; Qin, T. Polyol liquefaction process of poplar wood under microwave conditions and physicochemical properties of the products. China Wood Ind. 2014, 28, 18–22. [Google Scholar]
- Wu, X.; Chen, F.; Li, Y.; Zhou, X. Effect of ultrasonic treatment on the liquefaction of bagasse in ethylene carbonate. Trans. China Pulp Pap. Soc. 2009, 24, 42–46. [Google Scholar]
- Zhu, Y. Experimental and Theoretical Research on Plasma Electrolytic Liquefaction of Rapeseed Straw. Master’s Thesis, Jiangsu University, Zhenjiang, China, 2021. [Google Scholar]
Disclaimer/Publisher’s Note: The statements, opinions and data contained in all publications are solely those of the individual author(s) and contributor(s) and not of MDPI and/or the editor(s). MDPI and/or the editor(s) disclaim responsibility for any injury to people or property resulting from any ideas, methods, instructions or products referred to in the content. |
© 2025 by the authors. Licensee MDPI, Basel, Switzerland. This article is an open access article distributed under the terms and conditions of the Creative Commons Attribution (CC BY) license (https://creativecommons.org/licenses/by/4.0/).










