Abstract
Designing a particular change in a system structure to achieve the desired elastic properties of materials for a given task is challenging. Recent studies of purely geometrical atomic models have shown that structural modifications on a molecular level can lead to interesting and desirable elastic properties. Still, the result of such changes is usually difficult to predict. The present work concerns the impact of nanolayer inclusion ordering in hard sphere crystals on their elastic properties, with special attention devoted to their auxetic properties. Two sets of representative models, based on cubic crystals consisting of unit cells of hard spheres and containing either neighboring or separated layers of spheres of another diameter, oriented orthogonally to the [001] direction, have been studied by Monte Carlo simulations in the isothermal–isobaric (NpT) ensemble. Their elastic constants have been evaluated using the Parinello–Rahman approach. The Monte Carlo simulations showed that introducing the layer inclusions into a pure face-centered cubic (FCC) structure leads to the system’s symmetry changes from cubic symmetry to tetragonal in both cases. Essential changes in the elastic properties of the systems due to layer ordering were found both for neighboring and separated inclusions. It has been found that the choice of a set of layer inclusions allows one to tune the auxetic properties in two crystallographic directions ( and ). In particular, this study revealed that the change in layer ordering (from six separated layers to six neighboring ones) allows for, respectively: (i) enhancing auxeticity of the system in the direction with almost loss of auxetic properties in the direction in the case of six separated layers, while (ii) in the case of six neighboring layers, keeping the auxetic properties in both auxetic directions independently of the size of spheres constituting inclusions.
1. Introduction
Poisson’s ratio [1] (PR, ) is one of the oldest and most commonly used parameters describing a material’s behavior under loading. Based on its value for a given material, one can know how much the latter will shrink or widen its transverse dimensions while stretched longitudinally. The theory of elasticity [1] predicts the boundaries for the PR for 3D isotropic materials in the to region. Despite the theoretical prediction, the “negative shrinkage” of the body’s transverse dimensions was thought to be impossible for a long time. It was not until the late 1980s when the first manufactured material with a negative Poisson’s ratio was fabricated [2] and the first thermodynamic model showing such a phenomenon was formulated and solved [3,4,5]. Thus, auxetics [6], as they came to be called, are a relatively new class of materials with extraordinary and counter-intuitive elastic properties. Over the last four decades, an ever-growing interest in auxetics has been observed among scientists and engineers. Several model materials with auxetic properties have been proposed [7,8,9,10,11,12,13,14,15,16,17,18,19]. Materials exhibiting a negative Poisson’s ratio have been fabricated (among others) in the form of polymers [20,21], composites [22,23], foams [24,25,26], fabrics [27,28,29,30], and metamaterials [31]. Auxetic properties were observed in existing materials, e.g., in about of metals with a cubic crystallographic structure [32]. Despite the intense studies of materials with negative PR, a deep understanding of the origin of these fascinating elastic properties is still required for a wide practical application of auxetics [33,34]. Thus, studying various physical properties of simple models of materials can provide us with the necessary information and deeper insight into the physical phenomena required for designing new materials with extraordinary properties or modifying the given properties of existing materials. For example, such simple atomic models are very helpful in explaining the origin of auxeticity in cubic metals [32] and basic models in condensed matter physics like hard and soft sphere crystals [35,36]. Beyond that, simple models also allow us to investigate the impact of structure modification on elastic properties at the micro level [35,36,37].
Designing new materials with the required elastic properties is tedious and costly. Structural modifications of existing materials to tailor their properties for specific applications may be more efficient. However, to make this possible, a broader knowledge of how such modifications on the micro level impact macroscopic properties is required. Thus, the study of simple atomic systems like hard sphere crystals plays an essential role in searching for mechanisms behind, e.g., their auxetic properties. The model of hard sphere crystals is one of the simplest and most fundamental ones—it is widely used in the theory of liquids [38] and condensed matter physics [39]. A number of works [35,40,41,42,43,44,45,46] have been devoted to the elastic properties of hard sphere crystals. Most importantly, the FCC hard sphere crystal is a partially auxetic system [47]. Its Poisson’s ratio in the direction is −0.054(9) at the melting density [41] and −0.072(1) in the close packing limit [36].
Studies of model auxetics consisting of molecules interacting through hard potential were initiated by Wojciechowski [3,4,48] and coworkers [5,49,50,51,52,53] and are currently continued by Tretiakov’s group. Recently, a pioneering approach for designing materials at the atomic level by modifying their microcrystalline structure was proposed [37,54,55,56,57,58]. In this approach, the elastic properties of the model systems are evaluated using Monte Carlo simulations. Studies carried out to date that utilized nanochannel inclusions have shown that one can strongly enhance [56] or eliminate [59] auxetic properties when introducing single or triple nanochannel inclusions, respectively. Moreover, recent studies showed that proper choice of the number and the orientation of nanochannel inclusions can enhance crystal stiffness [58]. Nevertheless, despite the number of studies completed so far, the influence of microscopic modifications on macroscopic elastic properties is difficult to predict. It has been shown that one can eliminate auxetic properties from the hard sphere crystal [60] by introducing a joined nanochannel and nanolayer inclusion. This is an interesting finding because, when used separately, these inclusions enhance auxetic properties, either strongly [56] or slightly [61]. The latter investigation (that revealed only a slight enhancement to auxetic properties) left open some important questions regarding the influence of layer inclusions on elastic properties. Thus, in this work, we focus our attention on hard sphere crystals containing multiple planar hard sphere inclusions oriented parallel to each other and orthogonal to the direction, which has not been studied before. Remark: It is worth adding that very simple auxetic models with hard interactions with one degree of freedom have been studied by various researchers. It is also worth mentioning the works by Grima and coworkers on identical rigid rotating units [14,62,63,64,65,66,67,68], as well as, the works of Lim who proposed rigid models composed of two or more rigid rotating units [69,70,71].
This work aims to study the elastic properties of hard sphere crystals with multiple nanolayers oriented orthogonally to the direction and formed by hard spheres of another diameter. Particularly, the influence of an increasing number of inclusion layers on the elastic properties of the system is investigated. Another important aspect is the impact of layer inclusion ordering on the elastic (overall) and the auxetic (in particular) properties of the system. Studies of such models can be interesting from a practical point of view. As a consequence of the rapid development in nanotechnology, one can soon expect the manufacturing of metamaterials based on the ideas presented in this work using, e.g., atomic layer deposition [72].
2. The Model
The model system consists of N spheres of the diameter , initially forming an FCC crystal. The spheres interact with their nearest neighbors with a purely geometrical hard sphere (HS) potential of the form:
where is the distance between centers of spheres i and j; stands for the sum of the radii of these spheres; ; is the Boltzmann constant; and T is the temperature. Into this crystal, we introduce an inclusion by replacing all spheres in selected crystallographic planes orthogonal to the direction with other hard spheres. The replaced spheres differ from the original spheres only in size. The inclusion spheres have a diameter equal to , such that . To analyze the impact of inclusions on the elastic properties of the studied models, we introduce a parameter , which measures the ratio of diameters of the inclusion and matrix spheres.
The proposed model was considered in periodic boundary conditions. Thus, one obtains a system with a periodic stack of inclusion nanolayers that are infinite in the x–y plane. The N particles within the periodic box are thought of as the unit supercell. It is important to note that, in each case when , the resulting system is no longer cubic. The case when only one inclusion layer is present in the unit supercell was studied in [61]. It is important to note that, in the present article, as was done in [61], the simulations are restricted to representative supercells corresponding to unit cells of the FCC structure. Here, however, we consider the systems with multiple nanolayer inclusions per unit supercell.
The total number of inclusion spheres within the supercell is , where and correspond to the number of FCC cells in respective directions, and where L is the number of single inclusion layers introduced into the system. The ratio will be referred to as the concentration of the inclusion particles and denoted by c. We studied systems with L between 2 and 6 to investigate the influence of the increasing concentration of inclusion particles on the elastic properties of the system as well as the impact of the layer inclusion ordering on the auxetic properties of the system at the same concentration. The spatial localization of L layers within the unit supercell could be arbitrary, but with the increase in L, the number of possible structures increases rapidly. So, we have chosen to study two cases: (i) when the inclusion layers are located next to each other, and (ii) when the individual inclusion layers are separated by at least one layer of original spheres with diameter . The first case is further referred to as Neighboring Layers (NLs) and the second one as Separated Layers (SLs). The studied SL systems are not the only possible cases that can be obtained for a given L. The reason for this choice is that these are the only ones for which the ordering is periodic within the simulation box and, additionally, systems with the same concentration (c) can be compared. Visualization of the studied systems is presented in Figure 1, and their details are gathered in Table 1, where graphical inserts indicate the particular layer inclusion ordering within the unit supercell.
Figure 1.
The geometry of studied systems containing from one to six nanoinclusion layers in various configurations. The top in the figure represents the systems with neighboring layer inclusions. The middle part of the figure represents the systems with separated layer inclusions. The red spheres represent the inclusion ones, whereas the green spheres represent the ‘matrix’ ones. At the bottom of the figure, four selected systems in the periodic boundary conditions are presented, where supercell (bright colors) and periodic images of the supercell (pale colors) are shown. Some of the periodic images, in the line of sight, have been removed to facilitate the presentation.
Table 1.
The parameters for the studied models. The graphical inserts schematically illustrate the particular layer inclusion ordering within the unit supercell. The concentration values are calculated for the system size of FCC unit cells.
3. The Method
3.1. Elastic Properties
Monte Carlo (MC) computer simulations in the isobaric–isothermal ensemble () were performed. The Parinello–Rahman method [49,73,74] was used to determine the elastic properties of the studied systems. According to this method [74], the Lagrange strain tensor can be expressed by the box matrix and the reference box matrix in the following form:
where is a unit matrix. The matrix is a symmetric matrix formed by the edge vectors of the simulation box. The reference matrix, defined as , is the average value of the matrix over the ensemble at equilibrium under dimensionless pressure . The knowledge of the Lagrange strain tensor fluctuations allows one to calculate all components of the elastic compliance tensor using the formula [49]:
where is the volume of the system at pressure p at equilibrium, , is the average over the ensemble, and = x, y, or z.
Poisson’s ratio is an arbitrary direction and, for any given symmetry, calculated directly from the elastic compliance tensor by the following expression [75]:
From the expression above, it follows that Poisson’s ratio depends on the choice of two mutually orthogonal directions (represented as unit vectors): , which indicates the direction of the applied external stress, and , which corresponds to the direction in which PR is measured. According to the definition of Poisson’s ratio, is always orthogonal to . Here, it should be noted that the Einstein summation convention is used on Greek indices.
As a final remark, in this work, in order to describe the elastic properties of studied systems, we used the elastic constants tensor () calculated from the tensor as follows [76]:
where is the Kronecker delta. Further, we expressed the elastic constants tensor with the elastic constants matrix using the Voigt representation [77]. The Latin indices for the elements of this symmetric square matrix take the values .
3.2. Computation Details
In this study, the systems of particles have been investigated. It has been shown recently that, for this size of system and for that kind of calculation, the dependence of the obtained results on the size of the studied system is negligible [58]. Therefore, all further presented results refer to systems with inclusions, consisting of 864 spheres. This corresponds to the reference FCC crystal of unit cells. In such a system, a single inclusion layer consists of 72 spheres. Thus, we have considered systems with the concentration of inclusion particles c in the range between and (see Table 1). The systems were investigated under constant pressure as the representative one. The impact of the inclusion sphere diameter on elastic properties has been investigated in the range of between and , for which the tetragonal system remained stable at considered pressure. Earlier, it has been shown that single nanolayer inclusions introduced into the FCC hard sphere crystal (oriented orthogonally to the direction) lower the symmetry from cubic to tetragonal [61]. The results presented in the present work show only the cases for given parameters (, ) when the stable system with tetragonal symmetry was observed. The elastic constants of each system and Poisson’s ratio were obtained as an average from at least 100 independent simulations under each thermodynamic condition. Every simulation that was run lasted for MC cycles. The first of the latter in every simulation was treated as the period in which the system reached thermodynamic equilibrium and was discarded from calculations of elastic constants.
4. Results and Discussion
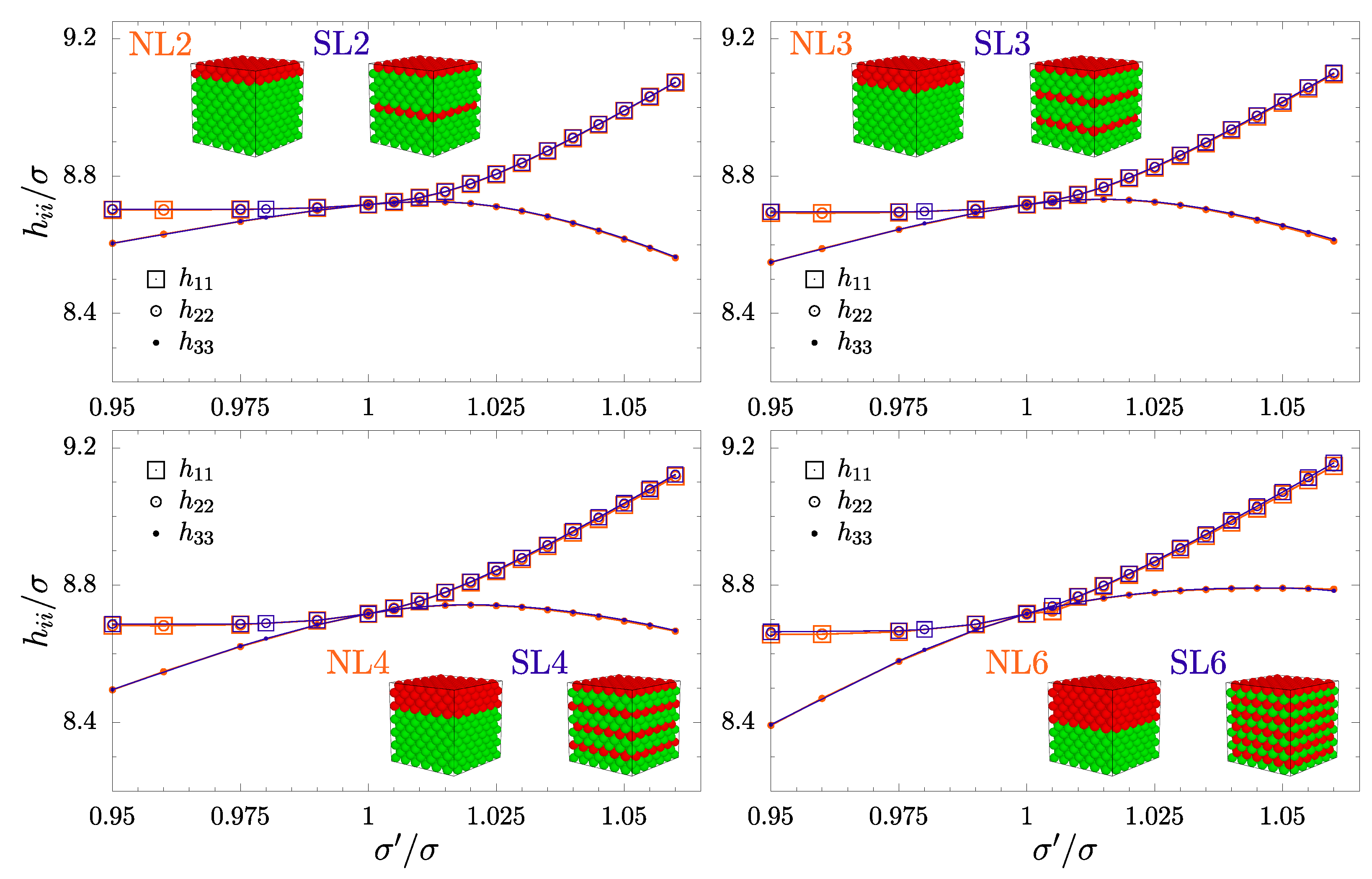
To achieve the goal of this work, it is necessary to analyze the impact of adding consecutive layer inclusions (from to 6) on the elastic properties of hard sphere crystals. Due to hard potential, all the system particles interact purely geometrically. Thus, only when the value changes can any impact of the inclusions be observed. In Figure 2, the diagonal components of the matrix are presented. The results are plotted for pairs of systems (SL and NL) with a given number of inclusion layers and show that the size and shape of the sample are not affected by the spatial ordering of the inclusion layers. The shape of the simulation box when is a parallelogram. The off-diagonal elements of the box matrix fluctuate around zero, and their averages are many orders of magnitude less than the diagonal elements and thus treated as zero, similarly to previous work [61]. It can be seen in Figure 2 that, with the increase in , the increasing in-plane dimensions of inclusions are reflected in the increase in and . For systems with a small number of inclusion layers (from 2 to 4), the horizontal expansion of the supercell (in the plane of the inclusion) is accompanied by a decrease in (the direction orthogonal to the inclusion plane) at larger values of , compared to the case when . For systems with six nanolayers, this effect is balanced with the increase in the thickness of the combined inclusion and thus, we observe a small increase in with the increasing value of . On the other hand, the decrease in when the diameters of inclusion spheres become smaller than those of the matrix spheres () is (as expected) directly proportional to the number of inclusion layers (L).
Figure 2.
The comparison of diagonal periodic box matrix elements for systems with the same number of neighboring (NL) and separated (SL) nanolayers. The data are plotted against , which is the ratio of diameters of the inclusion and the matrix spheres. The orange symbols, representing NLs, are slightly larger than the blue symbols, which represent SLs.
It should be noted that, in all cases when , the systems with inclusions do not exhibit cubic symmetry. This is also seen in Figure 3 and Figure 4 for NL and SL systems, respectively, where the non-zero elastic constants as a function of have been plotted. The analysis of the elastic constants matrices () for all the considered systems with has shown that all those systems have tetragonal symmetry (422 symmetry class [77]). For this symmetry, there are six independent elastic constants. The analysis of the obtained results confirms that the following relations required for tetragonal symmetry [77] are fulfilled: , , , and for , , , similar to a previous study [61]. Thus, the elastic constant matrix has the following form:
Figure 3.
The elastic constants () of systems with neighboring nanolayers (NLs) as a function of : (a) and , (b) and , (c) and .
Figure 4.
The elastic constants () of systems with separated nanolayers (SLs) as a function of : (a) and , (b) and , (c) and .
In Figure 3 and Figure 4, it is also seen that both the number of inclusion layers and their ordering exerts a significant impact on the elastic properties of the hard sphere crystal. It can be noted that: (i) the most significant changes with respect to the system without inclusions () are observed for systems with the smallest number of included nanolayers, and (ii) the , , and constants increase more in the neighboring nanolayer (NL) systems than in the SL systems. In general, the more nanolayers are introduced into the unit supercell, the weaker the impact of inclusions on the elastic constants. One can observe some tendency of the values of the elastic constants of both NL and SL systems to those of the cubic system with increases in L. In particular, for NL6 (Figure 3c) and SL6 (Figure 4c) systems are very close to the cubic case when . Interestingly, the opposite behavior is observed when . The elastic constants decrease with the number of nanolayers introduced into the system. The constants in both NL and SL systems show weak changes in their values for and a slight increase for . Moreover, they show faint dependence on the number of layer inclusions.
To investigate how the layer inclusions’ ordering and their numbers impact Poisson’s ratio for the studied systems, we plot Poisson’s ratio in the main crystallographic directions as a function of in Figure 5 for neighboring layer systems and in Figure 6 for separated layer systems. Since all the systems when have no cubic symmetry, the elastic properties in directions and are no longer isotropic. Therefore, Poisson’s ratio measured in and , when the load is applied in the direction, will differ. It can be seen in Figure 5 that added inclusion layers cause a significant increase in and with . The magnitude of the increase is inversely proportional to the number of layers added. The PR value of the system with the smallest, two-layer inclusion at is almost double in comparison to the PR of a pure hard sphere crystal. In the directions orthogonal to the former two, respectively, ( and ), we observe the general tendency for the PR value to increase and see rather weak changes of the PR value with the number of layers added. Only in the case of the NL2 system is a brief decrease in PR in the range of for the direction observed. When looking at the PR in the and directions, which are equivalent in a system with cubic symmetry, one can see a similar behavior to and . For all cases of , Poisson’s ratio in both directions is higher than in a system with cubic symmetry. In the direction, one can note the weak dependence of PR on the number of inclusion layers added, in contrast to directions , , and . In the case of the NL2 system, the partial auxeticity in the direction is almost removed at . Interestingly, the introduction of nanolayers into the system has a weak influence on the auxetic properties in the direction.
Figure 5.
Poisson’s ratio in the main crystallographic directions as a function of for neighboring nanolayer systems.
Figure 6.
Poisson’s ratio in the main crystallographic directions as a function of for separated nanolayer systems.
In the PR plots concerning separated layer systems (Figure 6), one can observe that data for the two-layer system (SL2) is almost identical to the NL2 system. The only difference can be seen for , where the values of PR at higher are lower than for the NL2 system. Poisson’s ratio of the remaining SLx systems also closely follows their NLx counterparts, with only a few differences. On the plot, one can no longer see a significant correlation between the number of inclusion layers and the growth of the PR value. The auxetic properties in this direction almost disappear for bigger than approximately . A more interesting behavior of PR can be seen in the plots of and , where PR decreases for SL4 (four-) and SL6 (six-layer) systems compared to their respective NLx counterparts. One can see that auxetic properties for the SL6 system are notably enhanced compared to NL6 and to pristine cubic HS crystal.
In Figure 7, the comparison of Poisson’s ratio of systems with six separated (SL) and neighboring layers (NL) is made. Given the same concentration of inclusion particles (), one can observe how the change in spatial ordering of the inclusion layers impacts the elastic properties of the system. Poisson’s ratio in two auxetic directions, and , is presented. Additionally, the absolute value of the negative part of the minimal Poisson’s ratio calculated in all crystallographic directions for both SL and NL systems plotted in spherical coordinates has been included as graphical inserts. In the left part of Figure 7, one can see that the PR of the SL6 system in the direction grows up with and almost approaches zero for , whereas the value of PR of the NL6 system changes slightly and maintains a negative value for all considered . On the other hand, the PR of the SL6 system in the direction significantly decreases its value (see the right part of Figure 7), while the value of PR in the direction of the NL6 system remains almost unchanged and close to values of PR in the direction. This effect is also reflected in the graphical inserts with the minimal PR plots. Here, one can observe the enhancement of the auxetic properties due to the layer inclusion ordering in hard sphere crystals.
Figure 7.
The comparison of Poisson’s ratio in auxetic directions and (the results corresponding to are the same as for ) for six nanolayer systems (NL6 vs. SL6). The inserts in the figures present the absolute value of minimal negative Poisson’s ratio in all crystallographic directions plotted in spherical coordinates for both systems at . The solid line in the inserts shows the considered crystallographic direction.
It is also worth noting that the value of the auxeticity parameter [78] for the SL6 system equals to , which, compared with the auxeticity parameter for the NL6 system (), is around 7 times higher. It clearly shows the possibility of essential changes in the auxetic properties of the system due to the ordering of layer inclusions in crystals.
Although the study presented here is purely theoretical, it provides qualitative results showing possible material behaviors. Fundamental research is the starting point for experiments on real systems and for predicting physical phenomena. We consider systems where particles interact with the simplest possible interaction potential used in condensed matter theory. Hard potential is non-analytical, yet research using it provides us with the opportunity to observe new interesting effects, including those discussed in this paper. The behavior of models presented in this work can occur in real systems, for example, at high pressures when interactions between atomic cores prevail.
5. Conclusions
The elastic properties of the hard sphere crystal with multiple nanolayer inclusions formed by spheres of another diameter were determined using Monte Carlo simulations in the ensemble. The layer inclusions were introduced in a selected crystallographic plane orthogonal to the direction. Systems with neighboring inclusions and systems with separated inclusions were considered.
The introduction of inclusions in the form of nanolayers into the pure hard sphere crystal strongly impacts its elastic properties. The studies showed that both the size of inclusion spheres and the number of layers and their spatial ordering are critical factors in the modification of elastic properties of the hard sphere crystal. It was found that increasing the number of layers in the system leads to more significant changes in the elastic properties of systems with neighboring layer inclusions than separated ones.
An important observation concerns the auxetic properties of the studied systems. It was found that, by merely changing the spatial ordering of the inclusions in the six-layer system such that the individual layers are separated from each other, one can achieve strong enhancement of auxetic properties in the direction. Moreover, Poisson’s ratio in this direction is lower than in the system with neighboring layers, as well as in the pristine hard sphere crystal. However, the auxetic properties of the six separated layers system in the direction almost disappear. Another interesting observation is that Poisson’s ratio of the six neighboring layers system in the auxetic directions is negative and almost unchanged. This system maintains its auxetic properties, independent of the size of the spheres forming the inclusions.
The most important finding of this study is that the spatial ordering of nanolayer inclusions formed by spheres of another diameter allows one to tune the auxetic properties of the system. Finally, it is worth adding that modern nanotechnology already allows for obtaining monatomic layers [72], thus the ideas and results presented in this work may inspire other researchers working in nanoscience to implement layered structures in practice to achieve metamaterials with desired auxetic properties. These unique properties may be used in some applications of auxetic metamaterials that were recently reviewed [79]. In closing the paper, it is worth pointing out that, without simulations, it is very difficult (if at all possible) to predict how a specific modification of the structure will affect the elastic properties of the crystal. Currently, studies of a number of different models with different combinations of inclusions are being conducted, and the results of these studies will be presented in future publications.
Author Contributions
Conceptualization, J.W.N. and K.W.W.; data curation, J.W.N.; formal analysis, All authors; funding acquisition, K.W.W.; investigation, J.W.N.; methodology, K.W.W. and K.V.T.; project administration, K.W.W. and K.V.T.; resources, J.W.N. and K.W.W.; software, J.W.N.; supervision, K.W.W. and K.V.T.; validation, all authors; visualization, J.W.N.; writing—original draft, J.W.N. and K.V.T.; writing—review and editing, all authors. All authors have read and agreed to the published version of the manuscript.
Funding
This work was supported by grant No. 2017/27/B/ST3/02955 of the National Science Center, Poland.
Institutional Review Board Statement
Not applicable.
Informed Consent Statement
Not applicable.
Data Availability Statement
Data is contained within the article.
Acknowledgments
The computations were partially performed at the Poznań Supercomputing and Networking Center (PCSS).
Conflicts of Interest
The authors declare no conflicts of interest. The funders had no role in the design of the study; in the collection, analyses, or interpretation of data; in the writing of the manuscript; or in the decision to publish the results.
Abbreviations
The following abbreviations are used in this manuscript (listed in order of occurrence in the text):
| PR | Poisson’s ratio |
| HS | Hard Sphere |
| FCC | Face-Centered Cubic |
| NL | Neighboring Layers |
| SL | Separated Layers |
| MC | Monte Carlo |
References
- Landau, L.D.; Lifshitz, E.M. Theory of Elasticity; Pergamon Press: London, UK, 1986. [Google Scholar]
- Lakes, R.S. Foam structures with a negative Poisson’s ratio. Science 1987, 235, 1038–1040. [Google Scholar] [PubMed]
- Wojciechowski, K.W. Constant thermodynamic tension Monte Carlo studies of elastic properties of a two-dimensional system of hard cyclic hexamers. Mol. Phys. 1987, 61, 1247–1258. [Google Scholar]
- Wojciechowski, K.W. Solid phases of two-dimensional hard dumb-bells in the free volume approximation: Crystal-aperiodic-solid phase transition. Phys. Lett. A 1987, 122, 377–384. [Google Scholar]
- Wojciechowski, K.W.; Brańka, A.C. Negative Poisson ratio in a two-dimensional isotropic solid. Phys. Rev. A 1989, 40, 7222–7225. [Google Scholar]
- Evans, K.E. Auxetic polymers: A new range of materials. Endeavour 1991, 15, 170–174. [Google Scholar]
- Milton, G. Composite materials with Poisson’s ratios close to −1. J. Mech. Phys. Solids 1992, 40, 1105–1137. [Google Scholar]
- Sigmund, O. Tailoring materials with prescribed elastic properties. Mech. Mater. 1995, 20, 351–368. [Google Scholar]
- Hoover, W.G.; Hoover, C.G. Searching for auxetics with DYNA3D and ParaDyn. Phys. Status Solidi B-Basic Solid State Phys. 2005, 242, 585–594. [Google Scholar] [CrossRef]
- Scarpa, F.; Adhikari, S.; Phani, A.S. Effective elastic mechanical properties of single layer graphene sheets. Nanotechnology 2009, 20, 065709. [Google Scholar] [CrossRef]
- Lim, T.C. Analogies across auxetic models based on deformation mechanism. Phys. Status Solidi Rapid Res. Lett. 2017, 11, 1600440. [Google Scholar]
- Shufrin, I.; Pasternak, E.; Dyskin, A.V. Effective properties of layered auxetic hybrids. Compos. Struct. 2019, 209, 391–400. [Google Scholar] [CrossRef]
- Rysaeva, L.K.; Lisovenko, D.S.; Gorodtsov, V.A.; Baimova, J.A. Stability, elastic properties and deformation behavior of graphene-based diamond-like phases. Comput. Mater. Sci. 2020, 172, 109355. [Google Scholar] [CrossRef]
- Grima, J.N.; Evans, K.E. Auxetic behavior from rotating squares. J. Mater. Sci. Lett. 2000, 19, 1563–1565. [Google Scholar] [CrossRef]
- Peliński, K.; Smardzewski, J.; Narojczyk, J. Stiffness of synclastic wood-based auxetic sandwich panels. Phys. Status Solidi B-Basic Solid State Phys. 2020, 257, 1900749. [Google Scholar] [CrossRef]
- Korznikova, E.A.; Zhou, K.; Galiakhmetova, L.K.; Soboleva, E.G.; Kudreyko, A.A.; Dmitriev, S.V. Partial Auxeticity of Laterally Compressed Carbon Nanotube Bundles. Phys. Status Solidi Rapid Res. Lett. 2022, 16, 2100189. [Google Scholar] [CrossRef]
- Lakes, R.S.; Huey, B.; Goyal, K. Extended Poisson’s ratio range in chiral isotropic elastic materials. Phys. Status Solidi B-Basic Solid State Phys. 2022, 259, 2200336. [Google Scholar] [CrossRef]
- Grima-Cornish, J.N.; Attard, D.; Vella-Żarb, L.; Grima, J.N.; Evans, K.E. Boron Arsenate Scaled-Up: An Enhanced Nano-Mimicking Mechanical Metamaterial. Phys. Status Solidi B-Basic Solid State Phys. 2022, 259, 2200368. [Google Scholar] [CrossRef]
- Brizzi, D.D.; Graziosi, S.; Bondin, W.; Grima, J.N.; Airoldi, A. On the behavior of auxetic inserts: A numerical analysis to derive design guidelines. Smart Mater. Struct. 2024, 33, 075018. [Google Scholar] [CrossRef]
- Alderson, K.; Nazaré, S.; Alderson, A. Large-scale extrusion of auxetic polypropylene fibre. Phys. Status Solidi B-Basic Solid State Phys. 2016, 253, 1279–1287. [Google Scholar] [CrossRef]
- Verma, P.; He, C.B.; Griffin, A.C. Implications for Auxetic Response in Liquid Crystalline Polymers: X-ray Scattering and Space-Filling Molecular Modeling. Phys. Status Solidi B-Basic Solid State Phys. 2020, 257, 2000261. [Google Scholar] [CrossRef]
- Novak, N.; Vesenjak, M.; Kennedy, G.; Thadhani, N.; Ren, Z. Response of Chiral Auxetic Composite Sandwich Panel to Fragment Simulating Projectile Impact. Phys. Status Solidi B-Basic Solid State Phys. 2020, 257, 1900099. [Google Scholar] [CrossRef]
- Portone, F.; Amorini, M.; Montanari, M.; Pinalli, R.; Pedrini, A.; Verucchi, R.; Brighenti, R.; Dalcanale, E. Molecular Auxetic Polymer of Intrinsic Microporosity via Conformational Switching of a Cavitand Crosslinker. Adv. Funct. Mater. 2023, 33, 2307605. [Google Scholar] [CrossRef]
- Allen, T.; Hewage, T.; Newton-Mann, C.; Wang, W.; Duncan, O.; Alderson, A. Fabrication of Auxetic Foam Sheets for Sports Applications. Phys. Status Solidi B-Basic Solid State Phys. 2017, 254, 1700596. [Google Scholar] [CrossRef]
- Cheng, H.C.; Scarpa, F.; Panzera, T.H.; Farrow, I.; Peng, H.X. Shear Stiffness and Energy Absorption of Auxetic Open Cell Foams as Sandwich Cores. Phys. Status Solidi B-Basic Solid State Phys. 2019, 256, 1800411. [Google Scholar] [CrossRef]
- Duncan, O.; Clegg, F.; Essa, A.; Bell, A.M.T.; Foster, L.; Allen, T.; Alderson, A. Effects of Heat Exposure and Volumetric Compression on Poisson’s Ratios, Young’s Moduli, and Polymeric Composition during Thermo-Mechanical Conversion of Auxetic Open Cell Polyurethane Foam. Phys. Status Solidi B-Basic Solid State Phys. 2019, 256, 1800393. [Google Scholar] [CrossRef]
- Zulifqar, A.; Hu, H. Development of Bi-Stretch Auxetic Woven Fabrics Based on Re-Entrant Hexagonal Geometry. Phys. Status Solidi B-Basic Solid State Phys. 2019, 256, 1800172. [Google Scholar] [CrossRef]
- Jiang, N.; Hu, H. Auxetic Yarn Made with Circular Braiding Technology. Phys. Status Solidi B-Basic Solid State Phys. 2019, 256, 1800168. [Google Scholar] [CrossRef]
- Zulifqar, A.; Hua, T.; Hu, H. Single- and Double-Layered Bistretch Auxetic Woven Fabrics Made of Nonauxetic Yarns Based on Foldable Geometries. Phys. Status Solidi B-Basic Solid State Phys. 2020, 257, 1900156. [Google Scholar] [CrossRef]
- Tahir, D.; Zhang, M.; Hu, H. Auxetic Materials for Personal protection: A review. Phys. Status Solidi B-Basic Solid State Phys. 2022, 259, 2200324. [Google Scholar] [CrossRef]
- Dudek, K.K.; Martinez, J.A.I.; Ulliac, G.; Kadic, M. Micro-Scale Auxetic Hierarchical Mechanical Metamaterials for Shape Morphing. Adv. Mater. 2022, 34, 2110115. [Google Scholar] [CrossRef]
- Baughman, R.H.; Shacklette, J.M.; Zakhidov, A.A.; Stafstrom, S. Negative Poisson’s ratios as a common feature of cubic metals. Nature 1998, 392, 362–365. [Google Scholar]
- Smardzewski, J.; Klos, R.; Fabisiak, B. Design of small auxetic springs for furniture. Mater. Des. 2013, 51, 723–728. [Google Scholar]
- Kuskun, T.; Kasal, A.; Caglayan, G.; Ceylan, E.; Bulca, M.; Smardzewski, J. Optimization of the Cross-Sectional Geometry of Auxetic Dowels for Furniture Joints. Materials 2023, 16, 2838. [Google Scholar] [CrossRef] [PubMed]
- Tretiakov, K.V.; Wojciechowski, K.W. Poisson’s ratio of the fcc hard sphere crystal at high densities. J. Chem. Phys. 2005, 123, 074509. [Google Scholar] [PubMed]
- Tretiakov, K.V.; Wojciechowski, K.W. Elastic Properties of Soft Sphere Crystal from Monte Carlo Simulations. J. Phys. Chem. B 2008, 112, 1699–1705. [Google Scholar]
- Bilski, M.; Wojciechowski, K.W. Tailoring Poisson’s ratio by introducing auxetic layers. Phys. Status Solidi B-Basic Solid State Phys. 2016, 253, 1318–1323. [Google Scholar] [CrossRef]
- Hansen, J.P.; McDonald, I.R. Theory of Simple Liquids; Academic Press: Amsterdam, The Netherlands, 2006. [Google Scholar]
- Allen, M.P.; Tildesley, D.J. Computer Simulations of Liquids; Clarendon Press: Oxford, UK, 1987. [Google Scholar]
- Frenkel, D.; Ladd, A.J.C. Elastic constants of hard-sphere crystals. Phys. Rev. Lett. 1987, 59, 1169. [Google Scholar]
- Runge, K.J.; Chester, G.V. Monte Carlo determination of the elastic constants of the hard-sphere solid. Phys. Rev. A 1987, 36, 4852–4858. [Google Scholar]
- Velasco, E.; Tarazona, P. Elastic Properties of Hard-Sphere Crystal. Phys. Rev. A 1987, 36, 979–981. [Google Scholar] [CrossRef]
- Xu, H.; Baus, M. Elastic-Constants of the Hard-Sphere Solid From Density-Functional Theory. Phys.Rev. A 1988, 38, 4348–4350. [Google Scholar] [CrossRef]
- Jaric, M.V.; Mohanty, U. Density-Functional Theory Of Elastic-Moduli-Hard-Sphere And Lennard-Jones Crystals. Phys. Rev. B 1988, 37, 4441–4457. [Google Scholar] [CrossRef]
- Farago, O.; Kantor, Y. Fluctuation formalism for elastic constants in hard-spheres-and-tethers systems. Phys. Rev. E 2000, 61, 2478–2489. [Google Scholar] [CrossRef]
- Pronk, S.; Frenkel, D. Large difference in the elastic properties of fcc and hcp hard-sphere crystals. Phys. Rev. Lett. 2003, 90, 255501. [Google Scholar] [CrossRef] [PubMed]
- Brańka, A.C.; Heyes, D.M.; Wojciechowski, K.W. Auxeticity of cubic materials under pressure. Phys. Status Solidi B-Basic Solid State Phys. 2011, 248, 96–104. [Google Scholar]
- Wojciechowski, K.W. Non-chiral, molecular model of negative Poisson’s ratio in two dimensions. J. Phys. Math. Gen. 2003, 36, 11765–11778. [Google Scholar]
- Wojciechowski, K.W.; Tretiakov, K.V.; Kowalik, M. Elastic properties of dense solid phases of hard cyclic pentamers and heptamers in two dimensions. Phys. Rev. E 2003, 67, 036121. [Google Scholar]
- Tretiakov, K.V.; Wojciechowski, K.W. Poisson’s ratio of simple planar ‘isotropic’ solids in two dimensions. Phys. Status Solidi B-Basic Solid State Phys. 2007, 244, 1038–1046. [Google Scholar] [CrossRef]
- Tretiakov, K.V. Negative Poisson’s ratio of two-dimensional hard cyclic tetramers. J. Non-Cryst. Solids 2009, 355, 1435–1438. [Google Scholar]
- Tretiakov, K.V.; Wojciechowski, K.W. Auxetic, partially auxetic, and nonauxetic behaviour in 2D crystals of hard cyclic tetramers. Phys. Status Solidi-Rapid Res. Lett. 2020, 14, 2000198. [Google Scholar] [CrossRef]
- Tretiakov, K.V.; Wojciechowski, K.W. Auxeticity and Its Pressure Dependence for Strongly Anisotropic Hard Cyclic Tetramers. Phys. Status Solidi-Rapid Res. Lett. 2022, 16. [Google Scholar] [CrossRef]
- Tretiakov, K.V.; Piglowski, P.M.; Hyzorek, K.; Wojciechowski, K.W. Enhanced auxeticity in Yukawa systems due to introduction of nanochannels in [001]-direction. Smart Mater. Struct. 2016, 25, 054007. [Google Scholar]
- Piglowski, P.M.; Wojciechowski, K.W.; Tretiakov, K.V. Partial auxeticity induced by nanoslits in the Yukawa crystal. Phys. Status Solidi-Rapid Res. Lett. 2016, 10, 566–569. [Google Scholar] [CrossRef]
- Narojczyk, J.W.; Wojciechowski, K.W.; Tretiakov, K.V.; Smardzewski, J.; Scarpa, F.; Piglowski, P.M.; Kowalik, M.; Imre, A.R.; Bilski, M. Auxetic properties of a f.c.c. crystal of hard spheres with an array of [001]-nanochannels filled by hard spheres of another diameter. Phys. Status Solidi B-Basic Solid State Phys. 2019, 256, 1800611. [Google Scholar] [CrossRef]
- Tretiakov, K.V.; Piglowski, P.M.; Wojciechowski, K.W. Auxeticity modifications and unit cell doubling in Yukawa fcc crystals with [001]-nanochannels filled by hard spheres. Smart Mater. Struct. 2023, 32, 025008. [Google Scholar] [CrossRef]
- Narojczyk, J.W.; Tretiakov, K.V.; Smardzewski, J.; Wojciechowski, K.W. Hardening of fcc hard-sphere crystals by introducing nanochannels: Auxetic aspects. Phys. Rev. E 2023, 108, 045003. [Google Scholar] [CrossRef]
- Narojczyk, J.W.; Bilski, M.; Grima, J.N.; Kedziora, P.; Morozow, D.; Rucki, M.; Wojciechowski, K.W. Removing Auxetic Properties in f.c.c. Hard Sphere Crystals by Orthogonal Nanochannels with Hard Spheres of Another Diameter. Materials 2022, 15, 1134. [Google Scholar] [CrossRef]
- Narojczyk, J.W.; Wojciechowski, K.W.; Smardzewski, J.; Imre, A.R.; Grima, J.N.; Bilski, M. Cancellation of auxetic properties in f.c.c. hard sphere crystals by hybrid layer-channel nanoinclusions filled by hard spheres of another diameter. Materials 2021, 14, 3008. [Google Scholar] [CrossRef]
- Narojczyk, J.W.; Wojciechowski, K.W. Poisson’s ratio of the f.c.c. hard sphere crystals with periodically stacked (001)-nanolayers of hard spheres of another diameter. Materials 2019, 12, 700. [Google Scholar] [CrossRef]
- Grima, J.N.; Alderson, A.; Evans, K.E. Negative Poisson’s Ratios From Rotating Rectangles. Comput. Methods Sci. Technol. 2004, 10, 137–145. [Google Scholar] [CrossRef]
- Grima, J.N.; Gatt, R.; Alderson, A.; Evans, K.E. On the Auxetic Properties of ‘Rotating Rectangles’ with Different Connectivity. J. Phys. Soc. Jpn. 2005, 74, 2866–2867. [Google Scholar] [CrossRef]
- Grima, J.N.; Evans, K.E. Auxetic behavior from rotating triangles. J. Mater. Sci. 2006, 41, 3193–3196. [Google Scholar] [CrossRef]
- Attard, D.; Grima, J.N. Auxetic behaviour from rotating rhombi. Phys. Status Solidi B-Basic Solid State Phys. 2008, 245, 2395–2404. [Google Scholar] [CrossRef]
- Attard, D.; Manicaro, E.; Grima, J.N. On rotating rigid parallelograms and their potential for exhibiting auxetic behaviour. Phys. Status Solidi B-Basic Solid State Phys. 2009, 246, 2033–2044. [Google Scholar] [CrossRef]
- Grima, J.N.; Manicaro, E.; Attard, D. Auxetic behaviour from connected different-sized squares and rectangles. Proc. Royal Soc. A 2011, 467, 439–458. [Google Scholar] [CrossRef]
- Grima, J.N.; Chetcuti, E.; Manicaro, E.; Attard, D.; Camilleri, M.; Gatt, R.; Evans, K.E. On the auxetic properties of generic rotating rigid triangles. Proc. Royal Soc. A 2012, 468, 810–830. [Google Scholar] [CrossRef]
- Lim, T.C. An auxetic metamaterial based on rotating and non-rotating rigid units inspired by an Aztec geometrical pattern. Phys. Status Solidi B-Basic Solid State Phys. 2022, 259, 2200385. [Google Scholar] [CrossRef]
- Lim, T.C. Auxetic and Non-Auxetic Metamaterial Model from Interconnected Rotating Parallelograms and Triangles. Phys. Status Solidi B-Basic Solid State Phys. 2023, 2300413, Early view. [Google Scholar] [CrossRef]
- Lim, T.C. Auxetic System Based on Rotating Hexagons and Triangles. Phys. Status Solidi B-Basic Solid State Phys. 2024, 261, 2300586. [Google Scholar] [CrossRef]
- Ali, R.; Saleem, M.R.; Roussey, M.; Turunen, J.; Honkanen, S. Fabrication of buried nanostructures by atomic layer deposition. Sci. Rep. 2018, 8, 15098. [Google Scholar] [CrossRef]
- Parrinello, M.; Rahman, A. Polymorphic transitions in single crystals: A new molecular dynamics method. J. Appl. Phys. 1981, 52, 7182–7190. [Google Scholar]
- Parrinello, M.; Rahman, A. Strain fluctuations and elastic constants. J. Chem. Phys. 1982, 76, 2662–2666. [Google Scholar]
- Tokmakova, S.P. Stereographic projections of Poisson’s ratio in auxetic crystals. Phys. Status Solidi B-Basic Solid State Phys. 2005, 242, 721–729. [Google Scholar] [CrossRef]
- Weiner, J.H. Statistical Mechanics of Elasticity; Wiley: New York, NY, USA, 1983. [Google Scholar]
- Nye, J.F. Physical Properties of Crystalls, Their Representation by Tensors and Matrices; Clarendon Press: Oxford, UK, 1957. [Google Scholar]
- Piglowski, P.M.; Narojczyk, J.W.; Wojciechowski, K.W.; Tretiakov, K.V. Auxeticity enhancement due to size polydispersity in fcc crystals of hard-core repulsive Yukawa particles. Soft Matter 2017, 13, 7916–7921. [Google Scholar] [CrossRef] [PubMed]
- Wang, Z.; Luan, C.; Liao, G.; Liu, J.; Yao, X.; Fu, J. Progress in Auxetic Mechanical Metamaterials: Structures, Characteristics, Manufacturing Methods, and Applications. Adv. Eng. Mater. 2020, 22, 2000312. [Google Scholar] [CrossRef]
Disclaimer/Publisher’s Note: The statements, opinions and data contained in all publications are solely those of the individual author(s) and contributor(s) and not of MDPI and/or the editor(s). MDPI and/or the editor(s) disclaim responsibility for any injury to people or property resulting from any ideas, methods, instructions or products referred to in the content. |
© 2024 by the authors. Licensee MDPI, Basel, Switzerland. This article is an open access article distributed under the terms and conditions of the Creative Commons Attribution (CC BY) license (https://creativecommons.org/licenses/by/4.0/).















