Abstract
Large trees are keystone structures for the functioning and maintenance of the biological diversity of wooded landscapes. Thus, we need a better understanding of large-tree–other-tree interactions and their effects on the diversity and spatial structure of the surrounding trees. We studied these interactions in the core of the Białowieża Primeval Forest—Europe’s best-preserved temperate forest ecosystem, characterized by high abundance of ancient trees. We measured diameter and bark thickness of the monumental trees of Acer platanoides L., Carpinus betulus L., Picea abies L. H. Karst, Quercus robur L., and Tilia cordata Mill., as well as the diameter and distance to the monumental tree of five nearest neighbor trees. The effects of the monumental tree on arrangements of the surrounding trees were studied with the help of linear models. We revealed that the species identity of a large tree had, in the case of C. betulus and T. cordata, a significant impact on the diversity of adjacent tree groupings, their distance to the central tree, and frequency of the neighboring trees. The distance between the neighbor and the large trees increased with the increasing diameter of the central tree. Our findings reinforce the call for the protection of large old trees, regardless of their species and where they grow from the geographical or ecosystem point of view.
1. Introduction
Large old trees, depending on ecological context and geographical region, also referred to as giant, monumental, ancient, notable, oversized, or veteran trees, are keystone structures for the functioning and maintenance of the biological diversity of forests, woods, woodlands, and other landscapes, even those sparsely covered by trees, as well as urbanized [1,2,3,4,5]. However, their importance goes far beyond their ecological role. In many cultures around the world, they used to have great cultural and religious relevance [6,7], and in modern societies, with declining numbers of large trees, they are becoming even more important for cultural and social reasons, as there is growing focus of humanities and the arts [8]. Despite worldwide recognition, populations of large old trees are rapidly declining [9,10]. They are under threat due to both natural mortality increased by global change [10,11,12] and by direct human impact, mostly felling, which leads to problems with the spatiotemporal continuity of their populations at the landscape level [9,13,14] and jeopardizes ecosystems’ integrity, functioning and biodiversity [10], including loss of tree species genetic variability [15,16,17].
Most of the ecological functions of large old trees cannot be replaced by young trees or any other structures. That is exactly what makes them a “keystone structure” of forest ecosystems; their role is irreplaceable and, taking into account their share in the total number of trees, they are disproportionately important providers of ecological functions, services, and resources that are essential for other organisms [18]. Monumental trees, due to the high number of diverse microhabitats associated with their bark, limbs, dead and dying fragments, cavities, fungal sporocarps, etc., are hotspots of biodiversity of many groups of organisms [19,20,21]. They are crucial habitats for saproxylic insects and many other tree- and wood-related species [22,23,24], which are believed to enhance forest resistance to invertebrate pests [25,26]. Such trees also serve as specific sites for the development of epiphytic plants, lichens [27,28,29], and fungi [30]. Besides being biodiversity hotspots, large trees play an important role in carbon storage [31,32,33]. They are an important element of the carbon cycle in forests worldwide, especially taking into account that the rate of carbon accumulation increases with the size of the tree [34,35] (but see [36]) and that it stays captured in their trunks for centuries. The effect of large trees on forest ecosystems’ aboveground biomass is so large that the effect of species diversity and characteristics of the remaining trees may become negligible [33,37]. Therefore, it is essential to understand the role of large trees if we aim to understand the complete picture of the mechanisms shaping forest communities.
The functioning of plant communities is largely determined by community species diversity and the spatial distribution of individuals and species [38]. In forest ecosystems, large old trees occupy the same space for centuries, modifying the local environment through litter and exudates. They influence the surrounding stand structure through interactions with neighboring trees and the production of offspring in the closest vicinity. Large trees, with deep bark microrelief, may also enhance chances for the development of other tree species in their closest neighborhood due to being used by birds, mainly woodpeckers and nuthatches in the temperate zone, as places to store seeds or anvils to extract seeds from cones and shells [39,40]. If not all seeds are eaten, or some of them are dropped by birds, they may germinate and start the development of young trees in the immediate vicinity of the base of large trees. In effect, the spatial arrangement of tree groupings reflects the effects of complex past interactions among trees, and between trees, other organisms, and the environment, whose traces can be read by analyzing the current spatial distribution of individuals [41]. Trees affect the environment around them through shading, seed deposition, litter accumulation, and competitive and allelopathic interactions. The tannins in leaves and bark can affect the cycling of elements by decreasing the rate of decomposition, protein complexation, enzyme inhibition, and changes in the biodiversity of microbiota [42]. Old trees influence the microenvironment around them for hundreds of years, so they affect generations of trees of their own as well as other species. It was reported that leachate from leaves of Fagus grandifolia Ehrh. has a toxic effect on seedlings of sugar maple Acer saccharum Marsh. [43]. Pigott [44] revealed that lower numbers of seedlings of Tilia cordata Mill., Ulmus glabra Huds., and Acer platanoides L. develop under the crowns of conspecific trees, while T. cordata regeneration is most abundant under the canopy of the Carpinus betulus L. Uneven distribution of A. platanoides, U. glabra, and C. betulus seedlings under the crowns of trees of other species was also reported by Faliński [45] from natural stands of Białowieża Primeval Forest. Results from tropical and temperate forest ecosystems suggest that soil from the microenvironment of adult trees negatively affects conspecific seedlings compared to soil taken from under a heterospecific tree due to chemical rather than biotic processes [46,47,48]. The mechanism of density- and distance-dependent mortality (conspecific negative density dependence), having its origin in the Janzen–Connell theory [49,50], is reported from plant communities worldwide, but with varying strength of its effect [51,52].
Studies on the influence of large old trees on stand structure are very scarce, probably due to the scarcity of monumental trees in forest ecosystems nowadays. Wang et al. [53] measured trees in deciduous natural forests of Korea and reported that large trees are surrounded by more species-diverse neighboring trees (higher mingling of stand) than smaller trees. This was also confirmed by species diversity analysis of low-density tree groupings around large trees in Europe, Africa, and North America, which revealed a similar trend in 75% of the studied stands [54]. Large trees have a distinct effect on individuals of both their own and other species; however, a better understanding of tree–tree interactions, including monumental trees and how they affect key ecosystem functions, is needed [55]. Therefore, in this research, we studied these interactions by analyzing the species composition and spatial distribution of the five nearest neighboring trees (NT) around a large old central tree (CT) of four deciduous (Quercus robur L., C. betulus, T. cordata, and A. platanoides) and one coniferous (Picea abies (L.) H.Karst) species in the best preserved temperate mixed deciduous forest of the European continent [56,57]. We aimed to test the following hypotheses: (1) the diversity of NTs (measured by the value of the spatial species mingling index) will depend on the species identity of large trees due to their different influence on the environment, and will increase with their size (measured by trunk diameter) due to the long-term accumulation of species-specific effects; (2) due to competition for light, distance of the NT from the CT will (2a) increase with the increasing the CT species shade-casting ability, (2b) increase with the CT size; and (3) due to the higher rate of competition between the conspecific individuals, the NT species will be less likely to be the same as the CT species.
2. Materials and Methods
2.1. Study Site
The study site was located in the core area of the Białowieża National Park (BNP; 52.7° N, 23.8° E), which is part of the Białowieża Forest (BF), stretching over the border between Poland and Belarus (Figure 1). This is one of the last remnants of well-preserved European natural lowland forest ecosystems [56,57]. The forest lies in the realm of a warm summer humid continental climate [58], with mean annual precipitation of 627.5 mm and a mean annual temperature of 6.8 °C [59].
Figure 1.
Location of the study plot on the background of the abundance of Quercus robur monumental trees (trunk diameter at 1.3 m above the ground > 120 cm) in Białowieża Primeval Forest, Northeastern Poland; abundance (number of Q. robur monumental trees/forest compartment) according to [60].
The core area of the BNP (4700 ha) was surveyed in the period 2002–2017 for large trees of all species. The survey returned close to 9.2 thousand large trees fulfilling the DBH criterion, with the highest numbers of C. betulus (2461), Q. robur (2137), A. platanoides (1638), and T. cordata (1074). Based on that survey, a large tree in our study was defined by the species-specific threshold diameter of the trunk at breast height, i.e., 1.3 m above the ground (DBH), set by Grzywacz et al. [61]. The highest densities of the monumental trees were recorded in mixed oak–lime–hornbeam deciduous forest of the Tilio-Carpinetum type [61]. Natural oak–lime–hornbeam forests develop on fertile brown and podzolic soils with moderate humidity and pH. In effect, stands are diverse, composed of locally dominating C. betulus, T. cordata, Q. robur, A. platanoides, with an admixture of P. abies, Fraxinus excelsior L., U. glabra, Betula pendula Roth, Populus tremula L. and Alnus glutinosa (L.) Gaertn. The structure of such forests is shaped by the fine-scale gap mosaic cycle dynamic [62], resulting in multi-layered and uneven age stands, maintained in time and space owing to continuous replacement of old trees by regeneration [45].
2.2. Field Measurements
In June and October 2019, we measured tree groups clustered around monumental central trees (CT) in compartments 314BD and 315AC of the BNP (Figure 1) (106.36 ha of forest in total, with over 50% covered by mixed deciduous forests). These compartments were selected based on the database of monumental trees shared by BNP. They were characterized by a high density of monumental trees growing in a Tilio-Carpinetum forest habitat. Large trees of the five most numerous monumental tree species were searched for in the stands by systematically walking across patches of mixed deciduous forests. This survey returned 144 monumental trees: 55 large trees of Quercus robur, 22 of Tilia cordata, 21 of Acer platanoides, 20 of Picea abies, and 26 of Carpinus betulus (Figure A1, Table A1), which were selected on the basis of the species-specific DBH thresholds set by Grzywacz et al. [61], i.e., Q. robur (120 cm), T. cordata (100 cm), P. abies (100 cm), A. platanoides (70 cm), and C. betulus (60 cm). Measurements were carried in tree clusters composed of a monumental CT and its five nearest neighbors, with DBH > 7 cm, which resulted in 719 observations in total. Only five nearest neighbors were taken into account to minimize the risk of the bias caused by other monumental and ‘submonumental’ trees present in the adjacent stand. We measured the DBH of all trees, the depth of the bark microrelief of the CT (on four sides of the trunk), and the distance of the five nearest NT from the CT.
On the basis of species identity of CTs and NTs, we calculated the spatial species mingling index Mi [63] to analyze how species are spatially mixed around the CT. The Mi in our study was defined as the proportion of the five nearest NTs that belong to a different species to the species of the CT:
where j is the jth nearest neighbor of tree i. The value of mij is equal to 1 if the NT was of a different species or 0 if it was of the same species as the CT; k is the number of neighbours considered (in our study k = 5). This index value ranges from 1, when all NTs are of different species to the CT and 0 if all NTs are conspecific to the CT [63].
2.3. Statistical Analyses
Statistical analysis was carried out in R software version 4.0.2 [64] using the R Studio version 1.3.1073 environment [65]. We used linear models to assess the effects of CT species identity, diameter, and depth of the bark microrelief on the mingling species index of tree groupings, the distance of the NT from the CT, and the diameter of the NT. In all models, the species of the CT was inserted as a factor. The best fitting models were selected with the help of the MuMIn package [66], with the use of Akaike’s information criterion (AIC) [67]. The best model (with the lowest AIC) explaining mingling index included CT species and CT DBH. The best model explaining distance of the NT from the CT included the following explanatory variables: CT species, NT species, NT DBH, and depth of bark microrelief of the CT. We used the Kruskal-Wallis test and the Dunn test (FSA package [68]) as a post-hoc tests to check for significance of differences between the CT species’ influence on the mingling index and the distance to the nearest neighbors. The Dunn test was used because it is appropriate for groups with unequal numbers of observations and categorical variables [69]. The Significance of differences in the Shannon-Wiener index value of the tree clusters around different CT species was analyzed with the help of one-way ANOVA. The influence of CT species’ identity on the frequency of NT species was assessed with the help of one-way ANOVA, followed by the HSD Tukey pairwise post-hoc test. In the analyses taking into account NT species’ identity, only three dominating NT species were considered: Carpinus betulus, Tilia cordata, and Picea abies, because five other NT species were recorded only five or fewer than five times out of the total 719 observations. During the analysis, we used R packages: vegan [70] for calculation of the Shannon-Wiener diversity index, effects [71] for visualization of models’ results, rcompanion [72] for finding significant results among post-hoc test results, and ggplot2 [73] for data mining and checking, and for visualization of the results.
3. Results
During the study, we observed seven species of neighboring trees (Acer platanoides, Alnus glutinosa, C. betulus, P. abies, Q. robur, T. cordata, and U. glabra) and one bush species (Corylus avellana L.), which was also included to the list of neighboring ‘trees’ because some stems of this bush species exceeded the DBH threshold set for the neighboring trees measurement in this study. However, the three dominant NT species, i.e., C. betulus, T. cordata and P. abies, accounted for 97.9% of observations (47.7%, 40.5%, and 9.7%, respectively), which resulted in low mean species richness of all clusters (2.1 ± 0.69 (SD) species) and high similarity of mean values of the Shannon-Wiener index between the clusters around all CT species (ANOVA: df = 4, F = 1.399, p = 0.237).
The value of the spatial species mingling index of tree clusters depended on the CT species identity only in case of the C. betulus and T. cordata, which were characterized by the lowest values of the index (Figure 2, Table 1 and Table 2).
Figure 2.
Mean value (and 95% confidence intervals) of the spatial species mingling index of tree clusters associated with large trees of Quercus robur, Carpinus betulus, Acer platanoides, Picea abies, and Tilia cordata in Białowieża Primeval Forest; letters a–c express significant differences in mingling index value between tree clusters.
Table 1.
Linear model ((mingling ~CTspecies*CT_DBH); Resid. SE: 0.1782, Multiple R-squared: 0.4573, Adj. R-squared: 0.4209, F-statistic: 12.55 on 9 and 134 df, p = 2.678 × 10−14) assessing the effects of the central large tree (CT) species identity and the CT diameter (DBH) on spatial species mingling of the surrounding trees: hor—Carpinus betulus, map—Acer platanoides, spr—Picea abies, lim—Tilia cordata; the significant results are bolded; significance levels: *** p < 0.001; ** p < 0.01; * p < 0.05.
Table 2.
Pairwise comparison (Dunn test) of the influence of the large central tree (CT) species (hor—Carpinus betulus, map—Acer platanoides, oak—Quercus robur, spr—Picea abies, lim—Tilia cordata) identity on mingling index and pairwise comparison of the large central tree species identity’s influence on the distance to the nearest neighbours.
In the case of C. betulus, the influence of CT species identity on the mingling index interacted with its diameter (Table 1). Dominance of conspecific NT increased (i.e., mingling decreased) with the increasing DBH of C. betulus CT. Carpinus betulus, and T. cordata NTs’ frequency in clusters depended on CT species identity (ANOVA: df = 4, F = 7.383, p = 2.02 × 10−5 and df = 4, F = 6.51, p = 7.85 × 10−5, respectively). Carpinus betulus frequency was lowest in the neighborhood of the conspecific CTs and highest in the neighborhood of Q. robur and A. platanoides CTs, while T. cordata frequency was highest in the neighborhood of the C. betulus CT. Picea abies frequency was not influenced by the CT species identity (one-way ANOVA, df = 4, F = 1.219, p = 0.306) (Figure 3, Table 3).
Figure 3.
Frequency of the dominating neighbour tree (NT) species: Carpinus betulus, Tilia cordata and Picea abies around large central trees of Quercus robur, C. betulus, Acer platanoides, P. abies, and T. cordata.
Table 3.
Results of the HSD Tukey pairwise post-hoc test for frequencies of the dominant neighboring tree species (Carpinus betulus and Tilia cordata) in the clusters surrounding large old central trees. Only significant differences are considered for central trees of C. betulus (hor), Acer platanoides (map), Quercus robur (oak), and T. cordata (lim).
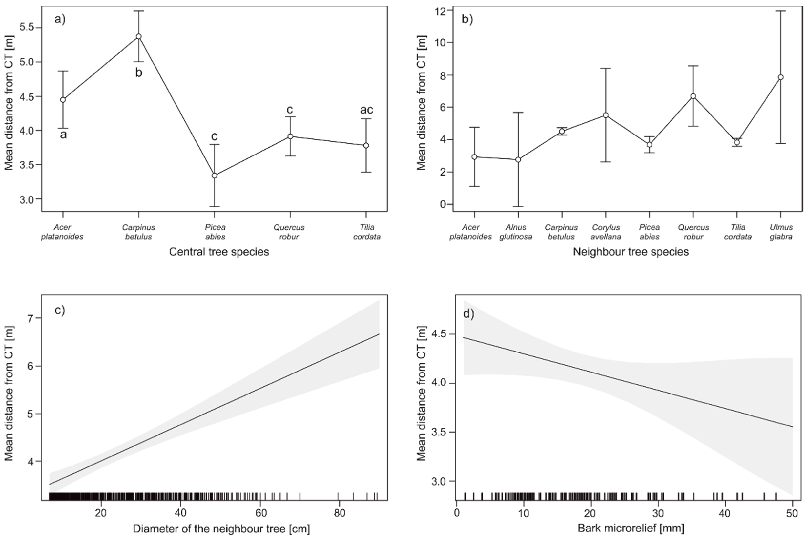
Mean distance of the five NTs from the CT was highest for clusters associated with C. betulus and lowest for those associated with T. cordata, Q. robur, and P. abies CT (Figure 4a, Table 4). The mean distance from the CT also depended on the depth of its bark microrelief: the deeper the relief, the closer the NT (Figure 4d, Table 4). The mean distance between the CT and the NT increased with the increasing diameter of the NT (Figure 4c, Table 4). Although the species identity of the NT influenced the mean distance of trees from the CT, with A. platanoides NTs growing closest to the CT and U. glabra NTs growing farthest from the CT (Figure 4b, Table 4); however, the differences between the NT species were not significant (Kruskal-Wallis chi-squared test χ2 = 48.077, df = 7, p = 0.077).
Figure 4.
Dependence of the mean distance of the neighbour trees from the large central tree (CT) of the cluster from: (a) CT species identity; (b) neighbour tree species identity; (c) diameter of the neighbour tree; (d) depth of the CT bark microrelief.
Table 4.
Linear model ((CTdistance~CTspecies + NTspecies + NT_DBH + microrelief); Resid. SE: 3.78, Multiple R-squared: 0.1828, Adj. R-squared: 0.1677, F-statistic: 12.13 on 13 and 705 DF, p < 2.2 × 10−16) assessing the effects of the CT species identity, neighbour tree (NT) species identity, NT diameter, and depth of the CT bark microrelief on the mean distance of the NT from the CT; hor—Carpinus betulus, map—Acer platanoides, spr—Picea abies, lim—Tilia cordata; the significant results are bolded; significance levels: *** p < 0.001; ** p < 0.01; * p < 0.05.
4. Discussion
Our study revealed that the identity of some species of monumental trees is an important factor affecting many traits of the tree clusters in their closest neighborhood, which was not considered by previous studies. The species of the CT significantly influenced the mingling, mean distance between NTs and CTs, and the frequency of NT species; however, significant effects were revealed only for C. betulus or T. cordata CTs. A few published papers reporting the influence of large trees on forest structure concentrated mainly on the size of the trees, comparing tree groupings around large and smaller trees. They confirmed that large trees are surrounded by more species diverse tree clusters than smaller trees [53,54]. In these reports, even if they considered conspecific and heterospecific arrangements, the importance of the species identity of large trees for assembling forest stands and their biodiversity was omitted [53,54,74,75]. Thus, our results highlight that not only tree size (age), as reported by previous studies, but also species of large trees, at least in case of some species, shapes the structure and species composition of surrounding trees.
We found that, in the case of C. betulus and T. cordata, the mingling of trees in the closest neighborhood of large old trees strongly depended on the species identity of the CT. The lowest value of the mingling index was recorded for clusters associated with T. cordata CT, which is probably not the effect of tree–tree interactions but stems from the species ecology. Old T. cordata trees usually produce high numbers of suckers from the base of the tree or from the roots [76] at a distance of up to five meters from the mother tree trunk [77]. At the north-eastern limit of T. cordata natural range this vegetative regeneration accounts for 80% to 100% of the regenerated individuals [78,79]. These vegetative shoots develop later into young trees closely surrounding the mother tree [80], which explains the low mingling by dominance of the conspecific neighbors around large old T. cordata trees. During our survey, we treated all such trunks as separate neighboring individuals because, without employing molecular techniques, it was impossible to assess if they were young trees originating from a seedling which developed under the canopy of the mother tree, or originating from vegetative suckers.
Carpinus betulus was also characterized by low mingling of the adjacent trees, although not as low as reported by [81], who found 70% of C. betulus surrounded by trees of their own species. However, it should be taken into account that Szmyt [81] analyzed regular managed stands with lower naturalness and a more even age of trees. This might influence the results because the forest structure studied by this author was the effect of interactions between trees of similar size and age, and thus their relationships were more equal from the beginning. In our case, the relationship between the CT and the NT was unequal, with dominance of the large tree from the very beginning of the NT’s development, which may, at least partly, explain the differences between our results. We found that C. betulus was the only CT species for which mingling depended on its DBH. The bigger the C. betulus CT, the lower the value of the mingling index, which is the opposite of results reported by most of the previous studies, where the size of trees was positively related to mingling [53,54,74,75]. On the one hand, the range of the DBH of C. betulus CTs was relatively short in our study, ranging from 60 cm to 92 cm and included only large monumental trees. Thus, it does not contradict the results of previous studies because this dependence was revealed inside of the large tree population—we did not consider clusters around smaller trees, as other authors did. On the other hand, this negative interaction may be explained by the high shade tolerance of C. betulus throughout its whole life cycle, combined with its high shade-casting ability, which are both the highest among deciduous trees native to the study site [45,82]. Thus, one may expect that, with the CT getting bigger, the shade under its canopy becomes deeper, and shade-tolerant C. betulus regeneration may outcompete all other species, which are more light-demanding at juvenile stages of development.
The spatial mingling index values for other studied CT species was higher than in the case of C. betulus and T. cordata, with the highest value obtained for Q. robur and A. platanoides. High diversity of trees surrounding Q. robur was reported by Szmyt [81], in whose work three or four out of the four nearest neighbors of 70% of the studied Q. robur trees were of a different species. In our study we did not reveal the species identity effect for Q. robur but close to 100% of this species’ CTs were surrounded by heterospecific neighbors. Our results can be well explained by the generally low recruitment success of both Q. robur and A. platanoides in the study area [83], caused mainly by browsing pressure and the high foraging selectivity of ungulates [84,85]. Large herbivore pressure keeps recruitment of these two species at a very low level [85], which makes the interspecific interactions between big and small trees negligible in explaining our results in their case.
The highest mean distance of the NTs from the CT was revealed for C. betulus. It reflects the strong shading effect of this species. The deep shade produced by its canopy impeded the development of neighbors close to its trunk. Neighbor trees around Q. robur, T. cordata, and P. abies, which are characterized by lower shade-casting ability [82], were significantly closer to CTs. In this context, the frequency of T. cordata NTs being over two times higher than C. betulus NTs around the C. betulus CTs seems to contradict the strong limiting influence of C. betulus shade casting on other species. However, T. cordata is also very shade-tolerant in younger (seedling and sapling) stages of development and becomes more light-demanding with age [76]. Thus, we suppose that T. cordata saplings might develop under the C. betulus canopy due to their tolerance for shade and because they are not impacted by conspecific interactions with the CT, which makes them more successful in comparison to young C. betulus. High abundance of T. cordata regeneration under the C. betulus canopy was reported by [44], which is in line with our findings. However, it does not explain why T. cordata frequency was lower under the canopy of other CT species in comparison to C. betulus CT if they offer better light conditions. This could be the effect of abiotic factors, microbial activity, pressure of animals, negative interactions with neighbors caused by pathogens or herbivory, competition for resources, shared mycorrhizal relationships, differential responses to environmental conditions, or niche complementarity [86]. Interpretation of these results is difficult without detailed species-oriented research because interspecific relationships may change with tree age, as has been demonstrated for tropical forest trees [74], and may be influenced by the phylogenetic relatedness of species [86]. Carpinus betulus NTs, contrary to the deep shade tolerance of the species, were most abundant in the neighborhood of less-shadow-casting Q. robur and A. platanoides CTs. This may indicate a higher competitiveness of young C. betulus for limited resources available under the forest canopy, but it could also be an effect of negative conspecific allelopathic or soil-mediated interactions between the old C. betulus CTs and its own offspring [42,43,86], which was advantageous for T. cordata. This aspect needs deeper studies on intra- and interspecific interactions between old and young trees of each species on the background of local environmental conditions.
The mean distance between the large tree and the NT increased with the increasing DBH of CTs, which is probably an effect of wider crowns associated with thicker tree trunks [87]. Wider crowns in their center cast deeper shade than smaller crowns, resulting in lower recruitment success of trees in the direct vicinity of a large tree trunk, as well as greater distance between the CT and the NT. This distance decreases with increasing depth of the bark microrelief of the CTs. However, this effect is, in our opinion, just an artefact of the coincidence between the shade-casting ability of tree species studied and the depth of their bark microrelief. The smooth-bark C. betulus is characterized by the highest shade-casting ability (according to Verheyen et al. [82]), while species with lowest shade-casting ability, Q. robur and T. cordata, are covered by bark with a deepest microrelief, with A. platanoides and P. abies in the middle. This does not mean that the depth of the bark microrelief and associated displacement of propagules in the bark crevices by animals did not play any role. The proper testing of that effect needs another design of the study, including monitoring of the use of each tree by seed vectors, the number of displaced seeds, their viability, and several other factors.
5. Conclusions
The previous studies undertaken to explain the spatial distribution of trees in the neighborhood of large old trees confirmed that density-dependent mechanisms are an important factor shaping the spatial structure and distribution of tree individuals in forest ecosystems. In most cases the density of trees of the same species decreased with the increasing central tree size, as larger trees are surrounded more often by species other than their own than smaller trees [53,54,75]. The goal of our study was to go one step further and test whether the species identity of a monumental tree affects the spatial structure and species composition of the nearest neighboring trees. We revealed that species identity of C. betulus and T. cordata influenced surrounding stand structure and species composition. Thus, we conclude that the ecological role of large (old) trees in shaping spatial structure of surrounding tree clusters depends on their species, even some species are significant and the others are not. Further research is needed to gain a more complete picture of the importance of the species identity of large trees in plant community structure and functioning. Such research is especially important if considering tropical and subtropical forest ecosystems, where tree species diversity, and thus also the diversity of their functions, may be incomparably higher than in the temperate or boreal zones.
Author Contributions
Conceptualization, O.C. and B.J.; Data curation, A.K. and B.K.; Formal analysis, B.J.; Investigation, O.C., A.K., B.K. and B.J.; Methodology, O.C. and B.J.; Project administration, B.J.; Supervision, B.J.; Writing—original draft, O.C. and B.J.; Writing—review & editing, O.C., A.K., B.K. and B.J. All authors have read and agreed to the published version of the manuscript.
Funding
This research received no external funding.
Data Availability Statement
Not applicable.
Conflicts of Interest
The authors declare no conflict of interest.
Appendix A
Table A1.
Summary statistics of central trees (CT) and neighbour trees (NT) measured in the study: N—number of CTs measured; CT DBH—mean diameter at breast height (±Standard Deviation (±SD)) of the CT; NT DBH—mean diameter at breast height (±SD) of the NT; CT–NT—mean distance (±SD) between CT and NTs; Mi—mean mingling index (±SD); NT SR—mean species richness (±SD) of neighbour trees around the CT.
Table A1.
Summary statistics of central trees (CT) and neighbour trees (NT) measured in the study: N—number of CTs measured; CT DBH—mean diameter at breast height (±Standard Deviation (±SD)) of the CT; NT DBH—mean diameter at breast height (±SD) of the NT; CT–NT—mean distance (±SD) between CT and NTs; Mi—mean mingling index (±SD); NT SR—mean species richness (±SD) of neighbour trees around the CT.
| CT Species | N | CT DBH | NT DBH | CT–NT | Mi | NT SR |
|---|---|---|---|---|---|---|
| Acer platanoides | 21 | 81.96 (10.88) | 25.23 (16.91) | 4.66 (2.49) | 1.00 (0.00) | 2.1 (0.7) |
| Carpinus betulus | 26 | 68.69 (6.95) | 25.66 (17.37) | 5.32 (2.49) | 0.75 (0.30) | 1.9 (0.7) |
| Picea abies | 20 | 79.54 (8.25) | 21.17 (14.40) | 3.37 (1.85) | 0.90 (0.14) | 2.0 (0.5) |
| Quercus robur | 55 | 117.32 (22.10) | 22.42 (13.65) | 3.85 (2.08) | 0.99 (0.04) | 2.1 (0.7) |
| Tilia cordata | 22 | 104.33 (13.84) | 25.96 (15.17) | 3.78 (2.13) | 0.60 (0.31) | 2.3 (0.8) |
Figure A1.
Distribution of the central tree diameter at breast height by species: Acer platanoides, Carpinus betulus, Picea abies, Quercus robur and Tilia cordata.
Figure A1.
Distribution of the central tree diameter at breast height by species: Acer platanoides, Carpinus betulus, Picea abies, Quercus robur and Tilia cordata.

References
- Nolan, V.; Reader, T.; Gilbert, F.; Atkinson, N. The Ancient Tree Inventory: A Summary of the Results of a 15 Year Citizen Science Project Recording Ancient, Veteran and Notable Trees across the UK. Biodivers. Conserv. 2020, 29, 3103–3129. [Google Scholar] [CrossRef]
- Lindenmayer, D.B.; Laurance, W.F.; Franklin, J.F.; Likens, G.E.; Banks, S.C.; Blanchard, W.; Gibbons, P.; Ikin, K.; Blair, D.; McBurney, L.; et al. New Policies for Old Trees: Averting a Global Crisis in a Keystone Ecological Structure: Rapid Loss of Large Old Trees. Conserv. Lett. 2014, 7, 61–69. [Google Scholar] [CrossRef]
- Müller, J.; Jarzabek-Müller, A.; Bussler, H.; Gossner, M.M. Hollow Beech Trees Identified as Keystone Structures for Saproxylic Beetles by Analyses of Functional and Phylogenetic Diversity. Anim. Conserv. 2014, 17, 154–162. [Google Scholar] [CrossRef]
- Stagoll, K.; Lindenmayer, D.B.; Knight, E.; Fischer, J.; Manning, A.D. Large Trees Are Keystone Structures in Urban Parks. Conserv. Lett. 2012, 5, 115–122. [Google Scholar] [CrossRef]
- Tews, J.; Brose, U.; Grimm, V.; Tielbörger, K.; Wichmann, M.C.; Schwager, M.; Jeltsch, F. Animal Species Diversity Driven by Habitat Heterogeneity/Diversity: The Importance of Keystone Structures. J. Biogeogr. 2004, 31, 79–92. [Google Scholar] [CrossRef] [Green Version]
- Hageneder, F. The Heritage of Trees: History, Culture and Symbolism; Floris: Edinburgh, UK, 2001; ISBN 978-0-86315-359-4. [Google Scholar]
- Dreslerová, J. Memorial Trees in The Czech Landscape. J. Landsc. Ecol. 2017, 10, 79–108. [Google Scholar] [CrossRef] [Green Version]
- Fay, N. Conservation Arboriculture Learning from Old Trees, Artists and Dead Poets. Arborists News 2011, 20, 53–59. [Google Scholar]
- Scipioni, M.C.; de Salomão, R.P.; Vibrans, A.C.; Uller, H.F. Decline in Giant Tree Numbers: Status Report for Santa Catarina State and Perspectives for Brazil. Floresta Ambient. 2019, 26, e20190039. [Google Scholar] [CrossRef]
- Lindenmayer, D.B.; Laurance, W.F.; Franklin, J.F. Global Decline in Large Old Trees. Science 2012, 338, 1305–1306. [Google Scholar] [CrossRef]
- Palik, B.J.; Ostry, M.E.; Venette, R.C.; Abdela, E. Fraxinus Nigra (Black Ash) Dieback in Minnesota: Regional Variation and Potential Contributing Factors. For. Ecol. Manag. 2011, 261, 128–135. [Google Scholar] [CrossRef]
- Simard, M.; Powell, E.N.; Raffa, K.F.; Turner, M.G. What Explains Landscape Patterns of Tree Mortality Caused by Bark Beetle Outbreaks in Greater Yellowstone?: Landscape Patterns of Bark Beetle Outbreaks. Glob. Ecol. Biogeogr. 2012, 21, 556–567. [Google Scholar] [CrossRef]
- Carpaneto, G.M.; Mazziotta, A.; Coletti, G.; Luiselli, L.; Audisio, P. Conflict between Insect Conservation and Public Safety: The Case Study of a Saproxylic Beetle (Osmoderma Eremita) in Urban Parks. J. Insect Conserv. 2010, 14, 555–565. [Google Scholar] [CrossRef]
- Miklín, J.; Čížek, L. Erasing a European Biodiversity Hot-Spot: Open Woodlands, Veteran Trees and Mature Forests Succumb to Forestry Intensification, Succession, and Logging in a UNESCO Biosphere Reserve. J. Nat. Conserv. 2014, 22, 35–41. [Google Scholar] [CrossRef]
- Lefèvre, F. Human Impacts on Forest Genetic Resources in the Temperate Zone: An Updated Review. For. Ecol. Manag. 2004, 197, 257–271. [Google Scholar] [CrossRef]
- Wojnicka-Półtorak, A.; Wachowiak, W.; Prus-Głowacki, W.; Celiński, K.; Korczyk, A. Genetic Heterogeneity in Age Classes of Naturally Regenerated Old Growth Forest of Picea abies (L.) Karst. Silvae Genet. 2014, 63, 185–190. [Google Scholar] [CrossRef] [Green Version]
- Nowakowska, J.A.; Hsiang, T.; Patynek, P.; Stereńczak, K.; Olejarski, I.; Oszako, T. Health Assessment and Genetic Structure of Monumental Norway Spruce Trees during A Bark Beetle (Ips typographus L.) Outbreak in the Białowieża Forest District, Poland. Forests 2020, 11, 647. [Google Scholar] [CrossRef]
- Manning, A.D.; Fischer, J.; Lindenmayer, D.B. Scattered Trees Are Keystone Structures—Implications for Conservation. Biol. Conserv. 2006, 132, 311–321. [Google Scholar] [CrossRef]
- Larrieu, L.; Paillet, Y.; Winter, S.; Bütler, R.; Kraus, D.; Krumm, F.; Lachat, T.; Michel, A.K.; Regnery, B.; Vandekerkhove, K. Tree Related Microhabitats in Temperate and Mediterranean European Forests: A Hierarchical Typology for Inventory Standardization. Ecol. Indic. 2018, 84, 194–207. [Google Scholar] [CrossRef]
- Paillet, Y.; Archaux, F.; Boulanger, V.; Debaive, N.; Fuhr, M.; Gilg, O.; Gosselin, F.; Guilbert, E. Snags and Large Trees Drive Higher Tree Microhabitat Densities in Strict Forest Reserves. For. Ecol. Manag. 2017, 389, 176–186. [Google Scholar] [CrossRef]
- Úradníček, L.; Šrámek, M.; Dreslerová, J. Checklist of Champion Trees in The Czech Republic. J. Landsc. Ecol. 2017, 10, 109–120. [Google Scholar] [CrossRef] [Green Version]
- Siitonen, J.; Ranius, T. The importance of veteran trees for saproxylic insects. In Europe’s Changing Woods and Forests: From Wildwood to Managed Landscapes; Kirby, K.J., Watkins, C., Eds.; CABI: Wallingford, UK, 2015; pp. 140–153. ISBN 978-1-78064-337-3. [Google Scholar]
- Skarpaas, O.; Blumentrath, S.; Evju, M.; Sverdrup-Thygeson, A. Prediction of Biodiversity Hotspots in the Anthropocene: The Case of Veteran Oaks. Ecol. Evol. 2017, 7, 7987–7997. [Google Scholar] [CrossRef]
- Zapponi, L.; Mazza, G.; Farina, A.; Fedrigoli, L.; Mazzocchi, F.; Roversi, P.F.; Peverieri, G.S.; Mason, F. The Role of Monumental Trees for the Preservation of Saproxylic Biodiversity: Re-Thinking Their Management in Cultural Landscapes. Nat. Conserv. 2017, 19, 231–243. [Google Scholar] [CrossRef] [Green Version]
- Pilskog, H.E.; Birkemoe, T.; Framstad, E.; Sverdrup-Thygeson, A. Effect of Habitat Size, Quality, and Isolation on Functional Groups of Beetles in Hollow Oaks. J. Insect. Sci. 2016, 16, 26. [Google Scholar] [CrossRef]
- Wetherbee, R.; Birkemoe, T.; Sverdrup-Thygeson, A. Veteran Trees Are a Source of Natural Enemies. Sci. Rep. 2020, 10, 18485. [Google Scholar] [CrossRef] [PubMed]
- Bastin, J.-F.; Barbier, N.; Réjou-Méchain, M.; Fayolle, A.; Gourlet-Fleury, S.; Maniatis, D.; de Haulleville, T.; Baya, F.; Beeckman, H.; Beina, D.; et al. Seeing Central African Forests through Their Largest Trees. Sci. Rep. 2015, 5, 13156. [Google Scholar] [CrossRef] [Green Version]
- Lutz, J.A.; Larson, A.J.; Swanson, M.E.; Freund, J.A. Ecological Importance of Large-Diameter Trees in a Temperate Mixed-Conifer Forest. PLoS ONE 2012, 7, e36131. [Google Scholar] [CrossRef]
- Cieśliński, S.; Tobolewski, Z. Porosty (Lichenes) Puszczy Białowieskiej i Jej Zachodniego Przedpola [Lichens of Białowieża Forest and Its Western Foreground]. Phytocoenosis 1988, 1, 1–216. [Google Scholar]
- Rostamian, M.; Kavosi, M.R. The Effect of Trees Diameter on Establishment, Diversity and Richness of Bracket Fungi in Golestan Province Forest, North of Iran. J. Biodivers. Ecol. Sci. 2013, 3, 99–105. [Google Scholar]
- Mildrexler, D.J.; Berner, L.T.; Law, B.E.; Birdsey, R.A.; Moomaw, W.R. Large Trees Dominate Carbon Storage in Forests East of the Cascade Crest in the United States Pacific Northwest. Front. For. Glob. Chang. 2020, 3, 594274. [Google Scholar] [CrossRef]
- Sist, P.; Mazzei, L.; Blanc, L.; Rutishauser, E. Large Trees as Key Elements of Carbon Storage and Dynamics after Selective Logging in the Eastern Amazon. For. Ecol. Manag. 2014, 318, 103–109. [Google Scholar] [CrossRef]
- Yuan, Z.; Ali, A.; Sanaei, A.; Ruiz-Benito, P.; Jucker, T.; Fang, L.; Bai, E.; Ye, J.; Lin, F.; Fang, S.; et al. Few Large Trees, Rather than Plant Diversity and Composition, Drive the above-Ground Biomass Stock and Dynamics of Temperate Forests in Northeast China. For. Ecol. Manag. 2021, 481, 118698. [Google Scholar] [CrossRef]
- Luyssaert, S.; Schulze, E.-D.; Börner, A.; Knohl, A.; Hessenmöller, D.; Law, B.E.; Ciais, P.; Grace, J. Old-Growth Forests as Global Carbon Sinks. Nature 2008, 455, 213–215. [Google Scholar] [CrossRef] [PubMed]
- Stephenson, N.L.; Das, A.J.; Condit, R.; Russo, S.E.; Baker, P.J.; Beckman, N.G.; Coomes, D.A.; Lines, E.R.; Morris, W.K.; Rüger, N.; et al. Rate of Tree Carbon Accumulation Increases Continuously with Tree Size. Nature 2014, 507, 90–93. [Google Scholar] [CrossRef] [PubMed]
- Forrester, D.I. Does Individual-Tree Biomass Growth Increase Continuously with Tree Size? For. Ecol. Manag. 2021, 481, 118717. [Google Scholar] [CrossRef]
- Ali, A.; Lin, S.; He, J.; Kong, F.; Yu, J.; Jiang, H. Big-sized Trees Overrule Remaining Trees’ Attributes and Species Richness as Determinants of Aboveground Biomass in Tropical Forests. Glob. Chang. Biol. 2019, 25, 2810–2824. [Google Scholar] [CrossRef] [PubMed]
- Bastias, C.C.; Truchado, D.A.; Valladares, F.; Benavides, R.; Bouriaud, O.; Bruelheide, H.; Coppi, A.; Finér, L.; Gimeno, T.E.; Jaroszewicz, B.; et al. Species Richness Influences the Spatial Distribution of Trees in European Forests. Oikos 2020, 129, 380–390. [Google Scholar] [CrossRef]
- Gorman, G. Identifying the Presence of Woodpecker (Picidae) Species on the Basis of Their Holes and Signs. Aquila 1995, 102, 61–67. [Google Scholar]
- Winkler, H. Das Schmiedeverhalten Des Blutspechtes (Dendrocopos syriacus). Egretta 1967, 10, 1–8. [Google Scholar]
- Wiegand, T.; Gunatilleke, S.; Gunatilleke, N. Species Associations in a Heterogeneous Sri Lankan Dipterocarp Forest. Am. Nat. 2007, 170, E77–E95. [Google Scholar] [CrossRef] [Green Version]
- Kraus, T.E.C.; Dahlgren, R.A.; Zasoski, R.J. Tannins in Nutrient Dynamics of Forest Ecosystems—A Review. Plant Soil 2003, 256, 41–66. [Google Scholar] [CrossRef]
- Hane, E.N.; Hamburg, S.P.; Barber, A.L.; Plaut, J.A. Phytotoxicity of American Beech Leaf Leachate to Sugar Maple Seedlings in a Greenhouse Experiment. Can. J. For. Res. 2003, 33, 814–821. [Google Scholar] [CrossRef]
- Pigott, C.D. Natural Regeneration of Tilia Cordata in Relation to Forest-Structure in the Forest of Białowieża, Poland. Philos. Trans. R. Soc. Lond. B 1975, 270, 151–179. [Google Scholar] [CrossRef]
- Faliński, J.B. Vegetation Dynamics in Temperate Lowland Primeval Forests; Springer: Dordrecht, The Netherlands, 1986; ISBN 978-94-010-8631-8. [Google Scholar]
- McCarthy-Neumann, S.; Kobe, R.K. Conspecific and Heterospecific Plant-Soil Feedbacks Influence Survivorship and Growth of Temperate Tree Seedlings. J. Ecol. 2010, 98, 408–418. [Google Scholar] [CrossRef]
- Packer, A.; Clay, K. Soil Pathogens and Spatial Patterns of Seedling Mortality in a Temperate Tree. Nature 2000, 404, 278–281. [Google Scholar] [CrossRef] [PubMed]
- Yamazaki, M.; Iwamoto, S.; Seiwa, K. Distance- and Density-Dependent Seedling Mortality Caused by Several Diseases in Eight Tree Species Co-Occurring in a Temperate Forest. Plant Ecol. 2009, 201, 181–196. [Google Scholar] [CrossRef]
- Janzen, D.H. Herbivores and the Number of Tree Species in Tropical Forests. Am. Nat. 1970, 104, 501–528. [Google Scholar] [CrossRef]
- Connell, J.H. On the role of natural enemies in preventing competitive exclusion in some marine animals and in rain forests. In Dynamics of Populations; den Boer, P.J., Gradwell, G.R., Eds.; Centre for Agricultural Publishing and Documentation: Wageningen, The Netherlands, 1971; pp. 298–312. [Google Scholar]
- Comita, L.S.; Queenborough, S.A.; Murphy, S.J.; Eck, J.L.; Xu, K.; Krishnadas, M.; Beckman, N.; Zhu, Y. Testing Predictions of the J Anzen—C Onnell Hypothesis: A Meta-analysis of Experimental Evidence for Distance- and Density-dependent Seed and Seedling Survival. J. Ecol. 2014, 102, 845–856. [Google Scholar] [CrossRef]
- Pommerening, A.; Sánchez Meador, A.J. Tamm Review: Tree Interactions between Myth and Reality. For. Ecol. Manag. 2018, 424, 164–176. [Google Scholar] [CrossRef]
- Wang, H.; Peng, H.; Hui, G.; Hu, Y.; Zhao, Z. Large Trees are Surrounded by More Heterospecific Neighboring Trees in Korean Pine Broad-Leaved Natural Forests. Sci. Rep. 2018, 8, 9149. [Google Scholar] [CrossRef]
- Pommerening, A.; Uria-Diez, J. Do Large Forest Trees Tend towards High Species Mingling? Ecol. Inform. 2017, 42, 139–147. [Google Scholar] [CrossRef]
- Trogisch, S.; Liu, X.; Rutten, G.; Xue, K.; Bauhus, J.; Brose, U.; Bu, W.; Cesarz, S.; Chesters, D.; Connolly, J.; et al. The Significance of Tree-Tree Interactions for Forest Ecosystem Functioning. Basic Appl. Ecol. 2021. [Google Scholar] [CrossRef]
- Jaroszewicz, B.; Cholewińska, O.; Gutowski, J.M.; Samojlik, T.; Zimny, M.; Latałowa, M. Białowieża Forest—A Relic of the High Naturalness of European Forests. Forests 2019, 10, 849. [Google Scholar] [CrossRef] [Green Version]
- Sabatini, F.M.; Burrascano, S.; Keeton, W.S.; Levers, C.; Lindner, M.; Pötzschner, F.; Verkerk, P.J.; Bauhus, J.; Buchwald, E.; Chaskovsky, O.; et al. Where Are Europe’s Last Primary Forests? Divers. Distrib. 2018, 24, 1426–1439. [Google Scholar] [CrossRef] [Green Version]
- Kottek, M.; Grieser, J.; Beck, C.; Rudolf, B.; Rubel, F. World Map of the Köppen-Geiger Climate Classification Upaccessd. Metz 2006, 15, 259–263. [Google Scholar] [CrossRef]
- Boczoń, A. Charakterystyka warunków termiczno-pluwialnych w Puszczy Białowieskiej w latach 1950–2003. [Characteristics of thermal and pluvial conditions in the Bialowieza Primeval Forest between 1950 and 2003]. Leśne Prace Badawcze 2006, 1, 57–72. [Google Scholar]
- Niechoda, T.; Aleksiejczuk, A.; Chołuj, P.; Wróblewski, K. Puszcza Gigantów: Rzecz o Białowieskich Dębach; Biuro Ekspertyz Przyrodniczo-Leśnych: Warszawa, Poland, 2019; ISBN 978-83-953166-0-9. [Google Scholar]
- Grzywacz, A.; Keczyński, A.; Szczepkowski, A.; Bolibok, L.; Buraczyk, W.; Drozdowski, S.; Gawron, L.; Szeligowski, H.; Zajączkowski, J. Pomnikowe drzewa w Rezerwacie Ścisłym Białowieskiego Parku Narodowego. Sylwan 2018, 162, 915–926. [Google Scholar]
- Bobiec, A.; Zuyderduyn, C.; Haga, J.; Vlaanderen, B. Rich Deciduous Forests in Białowieża as a Dynamic Mosaic of Developmental Phases: Premises for Nature Conservation and Restoration Management. For. Ecol. Manag. 2000, 130, 159–175. [Google Scholar] [CrossRef]
- Gadow, K. Forest Structure and Diversity [Waldstruktur Und Diversität]. Allg. Forst-Und Jagdztg. 1999, 170, 117–122. [Google Scholar]
- R Core Team. R: A Language and Environment for Statistical Computing; Foundation for Statistical Computing: Vienna, Austria, 2020. [Google Scholar]
- RStudio Team. RStudio: Integrated Development Environment for R; RStudio PBC: Boston, MA, USA, 2021. [Google Scholar]
- Bartoń, K. Package ‘MuMIn’. In Multi-Model; R Package v. 1.43.17; 2020; Available online: https://CRAN.R-project.org/package=MuMIn (accessed on 28 July 2021).
- Akaike, H. Information theory and an extension of the maximum likelihood principle. In Proceedings of the 2nd International Symposium on Information Theory, Tsahkadsor, Armenia, USSR, 2–8 September 1971; Petrov, B.N., Csaki, F., Eds.; Akademiai Kiado: Budapest, Hungary, 1973; pp. 267–281. [Google Scholar]
- Ogle, D.H.; Wheeler, P.; Dinno, A. FSA: Fisheries Stock Analysis; R Package Version 0.8.32; 2021; Available online: https://github.com/droglenc/FSA (accessed on 28 July 2021).
- Zar, J.H. Biostatistical Analysis: Books a La Carte Edition; Prentice Hall: Hoboken, NJ, USA, 2010; ISBN 978-0-321-65686-5. [Google Scholar]
- Oksanen, J.; Guillaume, B.; Friendly, M.; Kindt, R.; Legendre, P.; McGlinn, D.; Minchin, P.R.; O’Hara, R.B.; Simpson, G.L.; Solymos, P.; et al. Vegan: Community Ecology Package; 2020; Available online: https://CRAN.R-project.org/package=vegan (accessed on 28 July 2021).
- Fox, J.; Weisberg, S. An R Companion to Applied Regression, 3rd ed.; SAGE: Los Angeles, CA, USA, 2019; ISBN 978-1-5443-3647-3. [Google Scholar]
- Mangiafico, S. Rcompanion: Functions to Support. Extension Education Program. Evaluation; R Package Version 2.3.27; 2021; Available online: https://CRAN.R-project.org/package=rcompanion (accessed on 28 July 2021).
- Wickham, H. Ggplot2: Elegant Graphics for Data Analysis; Springer: New York, NY, USA, 2016; ISBN 978-3-319-24277-4. [Google Scholar]
- Ledo, A. Nature and Age of Neighbours Matter: Interspecific Associations among Tree Species Exist and Vary across Life Stages in Tropical Forests. PLoS ONE 2015, 10, e0141387. [Google Scholar] [CrossRef] [PubMed] [Green Version]
- Punchi-Manage, R.; Wiegand, T.; Wiegand, K.; Getzin, S.; Huth, A.; Gunatilleke, C.V.S.; Gunatilleke, I.A.U.N. Neighborhood Diversity of Large Trees Shows Independent Species Patterns in a Mixed Dipterocarp Forest in Sri Lanka. Ecology 2015, 96, 1823–1834. [Google Scholar] [CrossRef]
- De Jaegere, T.; Hein, S.; Claessens, H. A Review of the Characteristics of Small-Leaved Lime (Tilia Cordata Mill.) and Their Implications for Silviculture in a Changing Climate. Forests 2016, 7, 56. [Google Scholar] [CrossRef] [Green Version]
- Radoglou, K.; Dobrowolska, D.; Spyroglou, G.; Nicolescu, V.-N. A Review on the Ecology and Silviculture of Limes (Tilia Cordata Mill., Tilia Platyphyllos Scop. and Tilia Tomentosa Moench.) in Europe; EU COST Action: 2008; p. 29. Available online: http://www.valbro.uni-freiburg.de/re_publications.php (accessed on 28 July 2021).
- Chistyakova, A.A. Bolshoj Hziznennyj Cikl Tilia Cordata Mill. [High Life Cycle of Tilia Cordata Mill.]. Mosk. Obsc. Ispyt. Prir. Otd. Biol. 1979, 84, 85–98. [Google Scholar]
- Chistyakova, A.A. Biologicheskije Osobennosti Vegetativnogo Vozobnovienia Osnovnykh Porod v Shirokolistvennych Lesakh [Biological Features of Vegetative Reproduction of Basic Species of the Deciduous Forests]. Lesovedenye 1982, 2, 11–17. [Google Scholar]
- Pawlaczyk, P. Wegetatywne Odnowienie Lipy Drobnolistnej (Tilia Cordata Mill.) i Jego Znaczenie Ekologiczne w Grądzie w Białowieskim Parku Narodowym [Vegetative Regeneration of Small-Leaved Lime (Tilia Cordata Mill.) and Its Ecological Role in Mixed Deciduous Forest of the Białowieża National Park]. Phytocoenosis 1991, 3, 161–171. [Google Scholar]
- Szmyt, J. Structural Diversity of Plant Populations: Insight from Spatial Analyses. In Applications of Spatial Statistics; Hung, M.-C., Ed.; InTech: London, UK, 2016. [Google Scholar] [CrossRef] [Green Version]
- Verheyen, K.; Baeten, L.; De Frenne, P.; Bernhardt-Römermann, M.; Brunet, J.; Cornelis, J.; Decocq, G.; Dierschke, H.; Eriksson, O.; Hédl, R.; et al. Driving Factors behind the Eutrophication Signal in Understorey Plant Communities of Deciduous Temperate Forests: Drivers of Change in Forest Understorey Vegetation. J. Ecol. 2012, 100, 352–365. [Google Scholar] [CrossRef]
- Brzeziecki, B.; Woods, K.; Bolibok, L.; Zajączkowski, J.; Drozdowski, S.; Bielak, K.; Żybura, H. Over 80 Years without Major Disturbance, Late-successional Białowieża Woodlands Exhibit Complex Dynamism, with Coherent Compositional Shifts towards True Old-growth Conditions. J. Ecol. 2020, 108, 1138–1154. [Google Scholar] [CrossRef]
- Bubnicki, J.W.; Churski, M.; Schmidt, K.; Diserens, T.A.; Kuijper, D.P. Linking Spatial Patterns of Terrestrial Herbivore Community Structure to Trophic Interactions. eLife 2019, 8, e44937. [Google Scholar] [CrossRef] [PubMed]
- Hedwall, P.-O.; Churski, M.; Jędrzejewska, B.; Miścicki, S.; Kuijper, D.P.J. Functional Composition of Temperate Forest Trees under Chronic Ungulate Herbivory. J. Veg. Sci. 2018, 29, 179–188. [Google Scholar] [CrossRef]
- Lebrija-Trejos, E.; Wright, S.J.; Hernández, A.; Reich, P.B. Does Relatedness Matter? Phylogenetic Density-Dependent Survival of Seedlings in a Tropical Forest. Ecology 2014, 95, 940–951. [Google Scholar] [CrossRef] [PubMed]
- Bolibok, L.; Brzeziecki, B. Analiza Wybranych Zależności Allometrycznych Dla Głównych Gatunków Drzew Białowieskiego Parku Narodowego [An Analysis of Selected Allometric Relationships for Main Tree Species of the Białowieża National Park]. Sylwan 2000, 144, 73–81. [Google Scholar]
Publisher’s Note: MDPI stays neutral with regard to jurisdictional claims in published maps and institutional affiliations. |
© 2021 by the authors. Licensee MDPI, Basel, Switzerland. This article is an open access article distributed under the terms and conditions of the Creative Commons Attribution (CC BY) license (https://creativecommons.org/licenses/by/4.0/).



