Abstract
Encouraging advances have been made in the application of microbial mineralization towards fixing and improving desertified sandy soils. However, desert soils in arid areas exhibit high salinity that may limit urease activity and production in microbial strains, thereby affecting the solidification effects of microbial calcium binders in saline soils. In this study, a salt-tolerant microbial strain (A80) that produced urease was identified from saline soils of the Qaidam Basin. The culture conditions of the strain were optimized using single-factor tests and response surface methods to optimize urease yields and activity. The optimal composition of the A80 medium included an inoculation amount of 6.32% (V/V), a yeast extract powder concentration of 15.43 g/L, a glucose concentration of 5.20 g/L, a salinity of 3%, and an incubation temperature of 36 °C. Urease activity increased by 64.80% after using optimized medium. The A80 microbial calcium-cementing agent was also used to solidify saline soils, leading to an increased unconfined compressive strength of the solidified saline soil by 25.70%. Thus, the optimization method resulted in improvements in the cultivation of a salt-tolerant strain.
1. Introduction
The Qaidam Basin is an arid area in the northeastern region of the Qinghai–Tibet Plateau. Climate warming and the increasing frequency of human activities have led to land and salt desertification in some areas of the basin [1,2,3,4]. Recently, some studies have used microbially induced carbonate precipitation (MICP) to evaluate the use of microbial calcium consolidation agents to repair desert soil and ecological environments [5,6,7,8]. The high salt conditions in the Qaidam Basin limit the growth of microbial strains along with their urease production, for which the latter is an significant requirement of salt desert soil’s ecological restoration. Urease enzymes catalyze urea hydrolysis [9,10]. Microorganism strains with an MICP capacity can use the urease that they produce to hydrolyze urea in soils, thereby forming a microbial calcium-cementing agent. This binding agent fixes damaged soil particles by binding loose soil particles and filling soil pores, leading to reduced disturbance in ecological environments, while exhibiting the ability to solidify damaged soils. Consequently, MICP has been used in foundation reinforcement treatments [11,12,13], site liquefaction treatments [14,15], soil anti-permeability treatments [16,17], rock crack repair, film mulching [18,19,20], the heavy metal remediation of contaminated soils [21,22,23], dust and sand fixation, soil and water conservation treatments, and other applications [24,25,26].
A urease application can increase urea hydrolysis rates by 1.01 × 103 times [27,28,29,30,31,32], while the activities and quantities of urease play important roles in urea hydrolysis. Thus, by optimizing the culture conditions of microbial strains in addition to improving the urease production capacity and activities of microorganisms, the solidification-related effects of microbial calcium-binding agents on soil particles will be improved. Larson and Kallio [33,34] advanced urease activity and structural studies by purifying the urease from Bacillus pasteurii, leading to the identification of microorganisms capable of high urease production. Further, Suzuki et al. [35] isolated and identified urease-producing microorganisms from the intestinal tracts of animals, while Huifen [36] obtained microbial calcium carbonate cement via the hydrolysis of urea by microbial ureases. This cement can bind soil particles and fill soil pores, thereby fixing and solidifying soil particles. However, urease enzymes exhibit volatility and decreased activity in high salt environments, limiting the application of microbial calcium-cementing agents in high-salinity environments [27]. Consequently, the cultivation of salt-tolerant urease-producing microorganisms from high-salinity environments, in addition to improving the growth of microbial urease production, have become important targets in the analysis of microbial calcium-cementing agents.
In this study, urease-producing microbial strains were isolated from high-salinity soil in Qaidam Basin, and the culture medium and growth conditions of the salt-tolerant strains were optimized. The enzymatic activities and biomass accumulation of the strains were analyzed in the context of urease content and activity. Finally, the curative effects of the optimized salt-tolerant microbial calcium binders on the saline soils were further confirmed via unconfined compressive strength tests of the saline soils.
2. Materials and Methods
2.1. High-Salinity Soil Environments and Sources of Salt-Tolerant Strains
The study area is located in an area of the Qaidam Basin with saline soils (Figure 1a). The soils’ salt content and other characteristics are shown in Figure 1b. The primary cation in the saline soils is Na+, with an average concentration of 1.29 × 103 mg/kg. The anions primarily comprised Cl− and SO42−, with average concentrations of 1.57 × 103 mg/kg and 1.47 × 103 mg/kg, respectively. The average soluble salt content in the saline soils was 1.26%, leading to its classification as a strong chlorinated saline soil (that is, soil with high chloride content). The test strain (A80) was identified from Qaidam Basin saline soils (Figure 1a). A80 was identified as Staphylococcus xylosus by 16S rDNA sequencing and the sequence was registered in the National Center for Biotechnology Information (NCBI) database under the accession number of OK482564. Strain A80 exhibited high salt tolerance and the ability to produce the enzyme urease.
Figure 1.
Location and soluble salt contents of saline soils sampled from the study area. (a) Study area location; (b) salt characteristics of soils in the study area.
2.2. Materials and Media Composition
The A80 strain was cultured in basic Luria–Bertani (LB) medium (pH 6.8, containing 10 g/L tryptone, 5 g/L yeast extract powder, and 10 g/L sodium chloride), and stored in glycerol at low temperature (−80 °C).
2.3. Strain Cultivation
Trypticase soy agar (TSA) medium was prepared including 17 g/L of tryptone, 3 g/L of soy peptone, 50 g/L of sodium chloride, 2.5 g/L of dipotassium hydrogen phosphate, and 2.5 g/L of glucose (pH 6.8). The stock A80 strain solution (1 mL) was added to 30 mL of TSA medium and cultured on a shaker at 28 °C and 180 rpm to generate a seed culture. After 36 h of culture, the seed culture was inoculated into 30 mL of fermentation medium comprising 10 g/L of tryptone, 5 g/L of yeast extract, 10 g/L of sodium chloride, and 2.5 g/L of glucose (pH 6.8) at an inoculum ratio of 2% (V/V). Cells were cultured at 30–35 °C, with shaking at 180 rpm. Fermentation medium contained 2.5 g/L of glucose or lactose as the carbon source.
2.4. Determination of Strain Growth
To determine strain growth and enzymatic activity, 1 mL of fermentation medium containing strain A80 was centrifuged at 4 °C and 6000 rpm/min for 10 min. The bacterial cells at the bottom of the centrifuge tube were washed with phosphate-buffered saline (PBS; 0.05 M and pH 7.2) twice. Second, the A80 cell pellet was resuspended in PBS buffer containing 1:5 fermentation medium and incubated in an ultrasonic cell disruptor for 20 min (350 W; 2 s and 4 s suspension). The mixture was then centrifuged at 4 °C and 8000 rpm/min for 10 min to remove insoluble matter, followed by collection of the supernatant (i.e., the crude enzyme solution).
Then, the phenol–hypochlorite reaction method was used to determine urease enzymatic activity. The enzymatic activity of the crude enzyme solution was determined using a Synergy H1 microplate reader. Then, absorbance at 600 nm wavelength was measured using an ultraviolet–visible spectrophotometer to determine the growth of A80 in fermentation medium.
2.5. Strain Culture Conditions and Optimization
2.5.1. Strain Culture Medium Composition
Optimal basic medium composition conditions were determined based on A80 inoculation concentration, incubation temperature, media salinity, nitrogen source type, nitrogen source concentration, carbon source type, and carbon source type concentration (Table 1).
Table 1.
Basic conditions for A80 strain cultivation.
2.5.2. Identification of Factors Influencing Strain Growth
Using the above culture conditions for strain A80, a Plackett–Burman (PB) design was used to identify key factors affecting A80 growth. In the PB experimental design, the lowest (−1) and highest (+1) levels of the five influencing factors (including inoculation amount, temperature, salinity, nitrogen source/concentration, and carbon source/concentration) were evaluated. The design values of the test factors and levels are shown in Table 2.
Table 2.
Factors and levels of the Plackett–Burman experimental design.
2.5.3. Optimization of Strain Enzyme Activity
The primary factors related to strain enzymatic activity enhancement were optimized based on values shown in Table 2 using the RSM statistical experimental design optimization tool [37] (Table 3).
Table 3.
Experimental results after a Plackett–Burman design to evaluate strain enzymatic activity.
The primary factors affecting A80 enzyme activities were determined based on the Box–Behnken (BB) response surface method [38,39] (Table 4). The effect values of the strain and its variable model were further established as follows:
where Y is the effect value, A0 is the intercept term, Ai is the linear coefficient, Aii is the square coefficient, and Aij is the interaction coefficient. Xi and Xj represent the experimental values of the primary influential factors, respectively.
Table 4.
Box–Behnken experimental settings used to determine the influencing factors and levels of A80 enzymatic activity.
The response effect of A80 enzymatic activity was calculated using Formula (1), and the response surface map was constructed using the Expert10 software to further determine optimal A80 culture conditions.
2.6. Solidification Tests in Saline Soils
2.6.1. Purification of Urease
The crude enzyme solution was precipitated with ethanol, resulting in a saturation of 20–80%. The precipitate was then collected by centrifugation at 8000 rpm/min for 15 min at 4 °C and resuspended in PBS (0.05 M; pH 7.2). The concentrated urease sample was further eluted in a gradient solution of 0–1 M sodium chloride (prepared by equilibrium buffer) at a flow rate of 1.00 mL/min. The eluent containing the target urease enzymes was collected with an elution tube. The urease was then eluted with 0.50 mL/min PBS buffer and loaded into a Superdex G-200 column (2.4 cm × 40 cm; pH 7.4) for further purification.
2.6.2. Determination of Urea Decomposition Rates by Urease
The decomposition rate of urea was determined using the diacetyl ketone–oxime reaction method for purified urease. Urea sample (1 mL) and distilled water (1 mL) were added to a 25 mL test tube, followed by addition of 15 mL of color-developing agent to both test tubes. The tubes were shaken, and the solution was diluted in the tube with distilled water to a final volume of 25 mL. The tubes were then placed in boiling water for 26 min, cooled to about 14 °C, and their absorbance at 527 nm was measured. Purified urease was then added to the urea solution at a final concentration of 0.2 U/mL, based on the initial mass concentration of urea (60 mg/L) and the acidity of the solution (pH 4.2), followed by incubation at 37 °C for 120 h. Rotation was then performed at 180 rpm/min to determine the effects of urease on urea decomposition.
2.6.3. Curing Test Method
To investigate the curing effects of microbial binder (MB) configured by A80 on saline soil, MB configured by A80 was divided into optimized microbial binder (OMB) and unoptimized microbial binder (UMB). Medium Microbial Binder (MMB) was used as the blank control group (Figure 2a), wherein bacterial cultures containing A80 were replaced with sterile culture solutions.
Figure 2.
MB culture and saline soil injection test. (a) MB cultivation; (b) saline soil injection MB.
Saline soil was placed in 200 mL plastic tubes with inner diameters of 5 cm and a height of 16 cm. The inner tube’s diameter was 3.91 cm and tube’s height was 8 cm. The above three MBs were then injected into saline soils of different molds from bottom to top using a peristaltic pump, while the MB injection rate was controlled at 1 mL/min (Figure 2b). The maximum number of MB injections was six, and the MB total consumption was set at six for consistency.
3. Results and Discussion
3.1. Effects of Culture Conditions on Strain Growth and Enzyme Activity
The effects of the A80 inoculation’s amount, temperature, and salinity on the growth (measured by OD600) and urease activity of strain A80 are shown in Figure 3. The growth and enzymatic activity of the strain increased with the increasing inoculation amount over the range of 1–6%, peaking at an inoculation level of 6% (Figure 3a). Further, the enzymatic activity of A80 increased with an increasing temperature between 30 °C to 36 °C. the enzymatic activity decreased with an increasing temperature between 36 °C to 40 °C, with an optimum temperature of 36 °C [40]. The growth curve of A80 exhibited a gradual upward trend at a 0–3% salt concentration (Figure 3c). When the salt concentration was 3–20%, the growth curve gradually decreased, with the optimum salinity identified as 3%.
Figure 3.
The effects of single cultivation factors on A80 strain growth based on OD600. (a) effect of inoculation amount on enzymatic activity; (b) effect of temperature on enzymatic activity; (c) effect of salinity on urease activity.
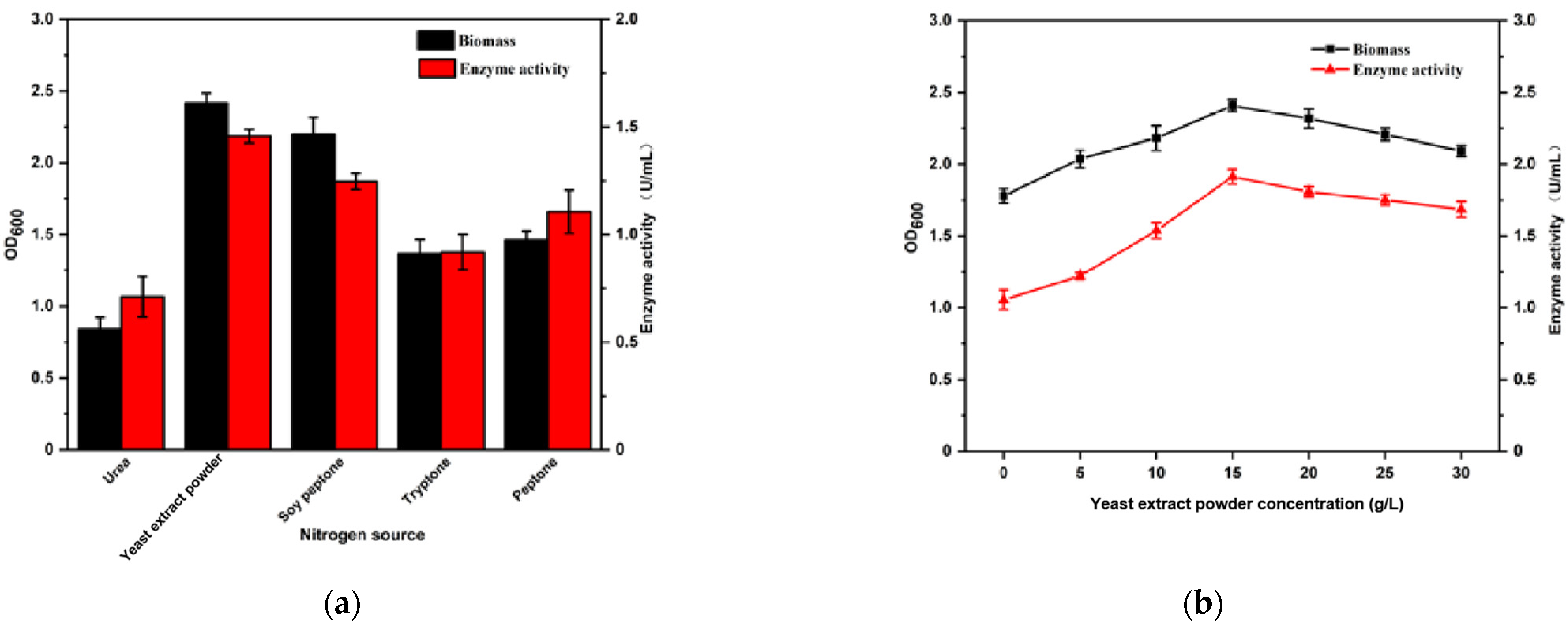
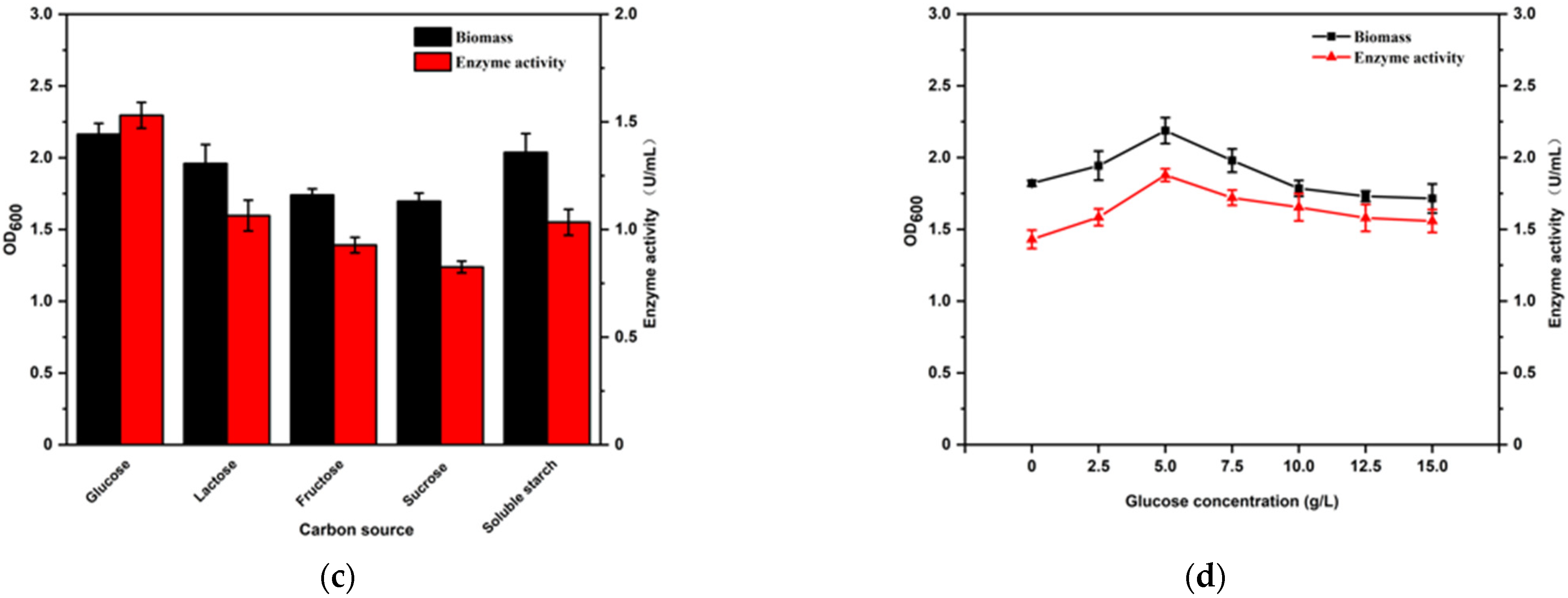
A80 exhibited optimal growth and urease production capacity in the presence of yeast extract (Figure 4a,b). When strain A80 was cultured with different carbon sources, the OD600 values were higher when glucose was used as the carbon source, while lactose as the carbon source led to reduced urease activity (Figure 4c,d).

Figure 4.
Effect of medium compositions on strain A80 urease activity. (a) Effect of nitrogen source (g/L) on A80 growth; (b) effect of yeast extract concentration (g/L) on A80 growth.; (c) effect of carbon source (g/L) on A80 growth; (d) effect of carbon concentration (g/L) on A80 growth.
3.2. Important Factors Affecting Urease Activity of Strain A80
A PB design with N = 12 was selected to evaluate the five factors affecting strain A80’s enzymatic activity based on the single-factor experiment (Table 5). The PB design’s results and variance analysis with the ExperDesign10 software program (Table 5) led to the use of a specific inoculation amount of A80 culture, yeast extract powder concentration, and glucose concentration that significantly affected the urease production capacity of the strain. The BB design based on the response surface method was then used to further optimize these three factors (Table 6).
Table 5.
Plackett–Burman experimental results conducted using statistical methods.
Table 6.
Modeling results for A80 inoculation amount, yeast concentration, and glucose concentration using a Box–Behnken design.
Based on the results of the single-factor experiment and the PB experimental design, a BB experimental design to evaluate inoculation amount was conducted, and the yeast extract powder and glucose concentrations were determined (Table 6), followed by a statistical analysis of the BB experiment (Table 7).
Table 7.
Analysis of the Box–Behnken experiments using statistical methods.
Table 7 shows the experimental modeling results of the quadratic multiple regression-fitting analysis based on the following equation:
Variance and reliability analyses were conducted using Formula (2), as previously described [41], resulting in a highly significant (p < 0.001) model. The difference of the missing fitting term was not significant (p = 0.0627), indicating that the model exhibited a high degree of fit. The correlation coefficient (R2) of the model was 0.9833 and the adjusted correlation coefficient (R2) was 0.9618, indicating that the predicted values were consistent with the actual measured values. The factors A and C significantly and primarily impacted the results. Factor D did not significantly affect the results, and neither did the interaction items AB, AC, and BC. Thus, the interactions between these three factors minimally affected the overall results, while the quadratic terms A2, B2, and C2 significantly impacted the results.
The response surface analysis (Figure 5) revealed the effects of the primary factors on strain A80’s urease activity. The inoculation amount (A) and yeast extract (B) affected enzymatic activity when the glucose levels varied (Figure 5a). At inoculation dosages of 5–6%, the enzymatic activity significantly increased with the increasing inoculation dose. When the inoculation dose exceeded 6%, the enzymatic activity increased very slowly. Similarly, when the yeast extract concentration was 10–15 g/L, the enzymatic activity first significantly increased, and then gradually increased. However, at a yeast extract concentration >16 g/L, the enzymatic activity decreased with the increasing yeast extract concentration.
Figure 5.
Contour and surface plots of bacterial volume, yeast maceration, and glucose interaction. (a) Effects of inoculation amount (A) and yeast extract powder (B) on enzyme activity; (b) Effect of inoculation amount (A) and glucose (C) on enzyme activity; (c) Effect of yeast extract (B) and glucose (C) on enzyme activity.
The effects of the inoculation amount (A) and glucose (C) on urease activity were also evaluated when the yeast extract was the central focus (Figure 5b). When the inoculation amount fluctuated in the range of 5.00–6.30%, the enzymatic activity significantly increased. However, increasing the inoculation dose only led to moderate increases in enzymatic activity. In addition, when the glucose concentrations were in the range of 3–5 g/L, the enzymatic activity significantly increased, and then significantly decreased with increasing glucose dosages. Further, the sharp rise in the response surface and the enhancement of the contour map suggested a relatively significant interaction between the inoculation amount and glucose concentration.
The effects of the yeast extract (B) and glucose (C) on enzymatic activity were also investigated (Figure 5c). At a yeast extract concentration of 10–15 g/L, enzymatic activity significantly increased. When the yeast extract concentration was >16 g/L, enzymatic activity significantly decreased. When glucose concentrations were in the range of 3–5 g/L, enzymatic activity significantly increased. However, when glucose concentrations exceeded 6 g/L, enzymatic activity did not increase.
Based on the experimental analyses of five factors affecting the growth and urease activity of strain A80, the inoculation amount, glucose concentration, and yeast extract powder concentration are the three primary influencing factors, ranked in the following order: strain inoculation > glucose > yeast extract levels. The optimal culture conditions of strain A80 included a 6.32% (V/V) inoculation amount, 15.43 g/L of yeast extract powder, and 5.20 g/L of glucose. Under optimal culture conditions, the urease activity of the strain was 2.33 U/mL. In addition, the effect of the optimized A80 microbial binder on solidified saline soil was tested (Figure 2), revealing a good curative effect as determined by the unconfined compressive strength of the saline soil column ranging between 1.66 and 2.09 MPa.
3.3. Discussion
Optimizing the culture conditions of microbial strains can lead to improvements in the growth and urease production capacity of the strains. Here, the culture conditions of a salt-tolerant and high-yield, urease-producing strain, strain A80, were optimized by evaluating the test design and by using the response surface method to verify the effects of A80’s microbial cementing agents on curing saline soils. The primary experimental results from the pilot study were as follows.
(1) First, the urease production capacity of strain A80 decreased with an increasing salt concentration during the experiment. At a 20% salt concentration, the growth rate and urease production capacity of the strain were basically stagnant. Strain A80 can generally withstand the stress from a 5% salt concentration and exhibits good salt tolerance. However, the level of urease production by A80 was significantly different under different salt concentrations (Figure 3c), with a salinity optimum identified at 3.00%.
(2) The use of inorganic nitrogen as a nitrogen source is not conducive to strain A80’s growth due to the low conversion rate of inorganic nitrogen that leads to decreased metabolic capacity and inhibited urease production capacity. When the yeast extract concentrations were in the range of 0–15 g/L, the biomass and enzymatic activity of the strain gradually increased. When the yeast extract concentration was >15 g/L, the biomass and enzymatic activity levels significantly decreased. When the concentration of yeast extract was low, the level of enzymatic activity decreased more noticeably than the biomass levels, which might have been due to insufficiently met nutritional requirements for the strain. When the yeast extract concentrations are high, the metabolites produced by fermentation affect exogenous protein synthesis. Based on the BP test and response surface calculations (Figure 5), the optimal nitrogen source and quantity of yeast extract powder was 15.43 g/L.
(3) Based on the growth and urease activity of strain A80, glucose was identified as the optimal carbon source. Thus, a range of glucose concentrations (0–15 g/L) was used to assess its effects on strain growth (Figure 4d). At different glucose concentrations, bacterial growth and urease activity significantly differed. At a glucose concentration of 5 g/L, the biomass and urease activity levels were highest. The biomass and enzymatic activity levels then decreased with an increasing glucose concentration. This result could be due to high glucose concentration-induced metabolic changes that inhibited strain growth and urease production. The optimal glucose concentration of strain A80 was 5.20 g/L.
In summary, through the optimization of the growth ability and urease production capacity of salt-tolerant urease microorganisms in Qaidam Basin, the optimal culture of salt-tolerant microbial strain A80 was obtained: the inoculation dose of strain was 6.32% (V/V), yeast extract powder was 15.43 g/L and glucose was 5.20 g/L, the optimal temperature was 36 °C, and the optimal salt concentration was 3.00 %.Under optimal culture conditions, the urease activity of the strain was 2.33 U/mL, which was 64.80% higher than that previously reported (1.42 U/mL), indicating that optimized growth conditions can improve the urease production capacity of strain A80.
4. Conclusions
(1) The growth ability and urease production capacity of salt-tolerant microbial strains can be improved by optimizing five culture factors, including the inoculation amount, salinity, nitrogen source concentration, carbon source concentration, and temperature.
(2) The culture conditions of an original salt-tolerant strain identified from a high salt environment were optimized using the single-factor test and response surface method to identify optimal culture conditions. After optimization, the urease activity of the salt-tolerant strain increased by 64.8%. Thus, this optimization method can effectively improve the urease production capacity of salt-tolerant microbial strains.
(3) Saline soils were also solidified by microbial calcium consolidation agents prepared with the salt-tolerant strain A80 cultured in an optimized medium. The primary mechanical parameters of the solidified saline soils were improved, leading to an increase in unconfined compressive peak strength by 25.7%.
The identification and optimization of a high-yield, urease-producing strain with salt, drought, and cold tolerance from a desert sandy soil in the Qaidam Basin of the Qinghai–Tibet Plateau can be used for MICP remediation, which carries important significance with respect to scientific and technological innovation.
Author Contributions
All authors contributed to the study’s conception and design. Material preparation, data collection, and analyses were performed by Y.H., Y.Z. (Yuan Zhao), W.Z., Y.Z. (Yurong Zhang) and Y.Z. (Yi Zou). The first draft of the manuscript was written by Y.H. and all authors commented on previous versions of the manuscript. All authors have read and agreed to the published version of the manuscript.
Funding
We thank the State Key Laboratory of Plateau Ecology and Agriculture and The Northern Qinghai Key Laboratory of Building Energy-saving Materials and Engineering Safety. This work was financially supported by the National Natural Science Foundation of China (51468055).
Institutional Review Board Statement
Not applicable.
Informed Consent Statement
Not applicable.
Data Availability Statement
Not applicable.
Conflicts of Interest
The authors declare no conflict of interest.
References
- Jia, J.; Xia, D.S.; Wang, Y.J.; Wang, B.; Lu, H.; Zhao, S. East Asian monsoon evolution during the Eemian, as recorded in the western Chinese Loess Plateau. Quat. Int. 2016, 399, 156–164. [Google Scholar] [CrossRef]
- You, Q.L.; Kang, S.C.; Aguilar, E.; Pepin, N.; Flügel, W.A.; Yan, Y.P.; Xu, Y.W.; Zhang, Y.J.; Huang, J. Changes in daily climate extremes in China and their connection to the large scale atmospheric circulation during 1961–2003. Clim. Dyn. 2011, 36, 2399–2471. [Google Scholar] [CrossRef]
- Wang, Y.J.; Zhou, B.T.; Qin, D.H.; Wu, J.; Gao, R.; Song, L.C. Changes in Mean and Extreme Temperature and Precipitation over the Arid Region of Northwestern China:Observation and Projection. Adv. Atmos. Sci. 2017, 34, 289–305. [Google Scholar] [CrossRef]
- Wang, X.J.; Yang, M.X.; Liang, X.W.; Pang, G.J.; Wan, G.N.; Chen, X.L.; Luo, X.Q. The dramatic climate warming in the Qaidam Basin, north-eastern Tibetan Plateau, during 1961–2010. Int. J. Climatol. 2014, 34, 1524–1537. [Google Scholar] [CrossRef]
- Mwandira, W.; Nakashima, K.; Kawasaki, S. Bioremediation of lead-contaminated mine waste by Pararhodobacter sp. based on the microbially induced calcium carbonate precipitation technique and its effects on strength of coarse and fine grained sand. Ecol. Eng. 2017, 109, 57–64. [Google Scholar] [CrossRef]
- Liu, K.W.; Jiang, N.J.; Qin, J.D.; Wang, Y.J.; Tang, C.S.; Han, X.L. An experimental study of mitigating coastal sand dune erosion by microbial-and enzymatic-induced carbonate precipitation. Acta Geotech. 2021, 16, 467–480. [Google Scholar] [CrossRef]
- Yasuhara, H.; Neupane, D.; Hayashi, K.; Okamura, M. Experiments and predictions of physical properties of sand cemented by enzymatically-induced carbonate precipitation. Soils Found. 2012, 52, 539–549. [Google Scholar] [CrossRef]
- Gao, Y.F.; He, J.; Tang, X.Y.; Chu, J. Calcium carbonate precipitation catalyzed by soybean urease as an improvement method for fine-grained soil. Soils Found. 2019, 59, 1631–1637. [Google Scholar] [CrossRef]
- Zambelli, B.; Musiani, F.; Benini, S.; Ciurli, S. Chemistry of Ni2+ in urease: Sensing, trafficking, and catalysis. Acc. Chem. Res. 2011, 44, 520–530. [Google Scholar] [CrossRef]
- Contreras, M.; Magris, M.; Hidalgo, G.; Robert, N.; Anokhin, A.P.; Heath, A.C.; Warner, B.; Reeder, J.; Kuczynski, J.; Caporaso; et al. Human gut microbiome viewed across age and geography. Nature 2012, 486, 222–227. [Google Scholar]
- Al-Salloum, Y.; Hadi, S.; Abbas, H.; Almusallam, T.; Moslem, M.A. Bio-induction and bioremediation of cementitious composites using microbial mineral precipitation: A review. Constr. Build. Mater. 2017, 154, 857–876. [Google Scholar] [CrossRef]
- DeJong, J.T.; Mortensen, M.B.; Martinez, B.C.; Nelson, D.C. Bio-mediated soil improvement. Ecol. Eng. 2010, 36, 197–210. [Google Scholar] [CrossRef]
- Umar, M.; Kassim, K.A.; Chiet, K.T.P. Biological process of soil improvement in civil engineering: A review. J. Rock Mech. Geo-Tech. Eng. 2016, 8, 767–774. [Google Scholar] [CrossRef]
- Simatupang, M.; Okamura, M. Liquefaction resistance of sand remediated with carbonate precipitation at different degrees of saturation during curing. Soils Found. 2017, 57, 619–631. [Google Scholar] [CrossRef]
- Montoya, B.M.; Dejong, J.T.; Boulanger, R.W. Dynamic response of liquefiable sand improved by microbial-induced calcite precipitation. Géotechnique 2013, 63, 302–312. [Google Scholar] [CrossRef]
- Ivanov, V.; Chu, J. Applications of microorganisms to geotechnical engineering for bioclogging and biocementation of soil in situ. Rev. Environ. Sci. Biotechnol. 2008, 7, 139–153. [Google Scholar] [CrossRef]
- Cheng, L.; Shahin, M.A.; Cord-Ruwisch, R. Bio-cementation of sandy soil using microbially induced carbonate precipitation for marine environments. Géotechniquex 2014, 64, 1010–1013. [Google Scholar] [CrossRef]
- Qian, C.X.; Wang, R.X.; Cheng, L.; Wang, J.Y. Theory of Microbial carbonate precipitation and its application in restoration of cement-based materials defects. Chin. J. Chem. 2010, 28, 847–857. [Google Scholar] [CrossRef]
- Hyeong, S.; Ha, K.; Sol, P.; Haeng, L. Ureolytic/non-ureolytic bacteria co-cultured self-healing agent for cementitious materials crack repair. Materials 2018, 11, 782. [Google Scholar]
- Phillips, A.J.; Cunningham, A.B.; Gerlach, R.; Hiebert, R.; Hwang, C.; Lomans, B.P.; Westrich, J.; Mantilla, C.; Kirksey, J.; Esposito, R. Fracture Sealing with Microbially-Induced Calcium Carbonate Precipitation: A Field Study. Environ. Sci. Technol. 2016, 50, 4111–4117. [Google Scholar] [CrossRef]
- Achal, V.; Pan, X.L.; Zhang, D.Y. Remediation of copper-contaminated soil by Kocuria flava CR1, based on microbially induced calcite precipitation. Ecol. Eng. 2011, 37, 1601–1605. [Google Scholar] [CrossRef]
- Li, M.; Cheng, X.H.; Guo, H.X. Heavy metal removal by biomineralization of urease producing bacteria isolated from soil. Int. Biodeterior. Biodegrad. 2013, 76, 81–85. [Google Scholar] [CrossRef]
- Kumari, D.; Li, M.M.; Pan, X.L.; Qian, X.Y. Effect of bacterial treatment on Cr(VI) remediation from soil and subsequent plantation of Pisum sativum. Ecol. Eng. 2014, 73, 404–408. [Google Scholar] [CrossRef]
- Bang, S.; Min, S.H.; Bang, S.S. Application of microbiologically induced soil stabilization technique for dust suppression. Int. J. Geo-Eng. 2011, 3, 27–37. [Google Scholar]
- Naeimi, M.; Chu, J. Comparison of Conventional and Bio-treated Methods as a Dust Suppressant. Environ. Sci. Pollut. Res. 2017, 24, 23341–23350. [Google Scholar] [CrossRef]
- Zhan, Q.W.; Qian, C.X.; Yi, H.H. Microbial-Induced Mineralization and Cementation of Fugitive Dust and Engineering Application. Constr. Build. Mater. 2016, 121, 437–444. [Google Scholar] [CrossRef]
- Monier, M.; El-Sokkary, A.M.A. Modification and characterization of cellulosic cotton fibers for efficient immobilization of urease. Int. J. Biol. Macromol. 2012, 51, 18–24. [Google Scholar] [CrossRef]
- Krajewska, B.; Ureases, I. Functional, catalytic and kinetic properties: A review. J. Mol. Catal. B Enzym. 2009, 59, 9–21. [Google Scholar] [CrossRef]
- Liu, Q.T.; Yao, X.H.; Liang, Q.X.; Li, J.H.; Fang, F.; Du, G.S.; Kang, Z. Molecular engineering of Bacillus paralicheniformis acid urease to degrade urea and ethyl carbamate in model Chinese rice wine. J. Agric. Food Chem. 2018, 66, 13011–13019. [Google Scholar] [CrossRef]
- Karine, K.; Angela, R.P.; Celia, R.C.; Rodrigo, L.B. Ureases: Historical aspects, catalytic, and non-catalytic properties—A review. J. Adv. Res. 2018, 13, 3–17. [Google Scholar]
- Lei, C.Y.; Dai, H.; Fu, Y.C.; Ying, Y.B.; Li, Y.B. Colorimetric sensor array for thiols discrimination based on urease-metal ion pairs. Anal. Chem. 2016, 88, 8542–8547. [Google Scholar] [CrossRef] [PubMed]
- Sumner, J.B. The isolation and crystallization of the enzyme urease. Preliminary paper. J. Biol. Chem. 1926, 69, 435–441. [Google Scholar] [CrossRef]
- Larson, A.D.; Kallio, R.E. Purification and properties of bacterial urease. J. Bacteriol. 1954, 68, 67–73. [Google Scholar] [CrossRef]
- Dixon, N.E.; Gazzola, T.C.; Blakeley, R.L.; Zermer, B. Letter: Jack bean urease (EC 3.5.1.5). A metalloenzyme. A simple biological role for nickel. J. Am. Chem. Soc. 1975, 97, 4131–4133. [Google Scholar] [CrossRef] [PubMed]
- Suzuki, K.; Benno, Y.; Mitsuoka, T.; Takebe, S.; Kobashi, K. Urease-producing species of intestinal anaerobes and their activities. Appl. Environ. Microbiol. 1979, 37, 379–382. [Google Scholar] [CrossRef] [PubMed]
- Whiffin, V.S.; van Paassen, L.A.; Harkes, M.P. Microbial Carbonate Precipitation as a Soil Improvement Technique. Geomicrobiol. J. 2007, 24, 417–423. [Google Scholar] [CrossRef]
- Zhai, X.C.; Zhu, C.P.; Li, Y.; Zhang, Y.; Duan, Z.; Yang, X.B. Optimization for pectinase-assisted extraction of polysaccharides from pomegranate peel with chemical composition and antioxidant activity. Int. J. Biol. Macromol. 2018, 109, 244–253. [Google Scholar] [CrossRef]
- Fan, T.; Hu, J.G.; Fu, L.D.; Zhang, L.J. Optimization of enzymolysis-ultrasonic assisted extrac tion of polysaccharides from Momordica charantia L. by response surface methodology. Carbohydr. Polym. 2015, 115, 701–706. [Google Scholar] [CrossRef]
- Ojha, N.; Das, N. A statistical approach to optimize the production of polyhydroxyalkanoates from Wickerhamomyces anomalus VIT-NN01 using re sponse surface methodology. Int. J. Biol. Macromol. 2018, 107, 2157–2170. [Google Scholar] [CrossRef]
- Chen, H.G.; Zhou, X.; Zhang, J.Z. Optimization of enzyme assisted extraction of polysaccharides from Astragalus membranaceus. Carbohydr. Polym. 2014, 111, 567–575. [Google Scholar] [CrossRef]
- Kan, Y.; Chen, T.; Wu, Y.; Wu, J. Antioxidant activity of polysaccharide extracted from Ganoderma lucidum using response surface methodology. Int. J. Biol. Macromol. 2015, 72, 151–157. [Google Scholar] [CrossRef] [PubMed]
Publisher’s Note: MDPI stays neutral with regard to jurisdictional claims in published maps and institutional affiliations. |
© 2022 by the authors. Licensee MDPI, Basel, Switzerland. This article is an open access article distributed under the terms and conditions of the Creative Commons Attribution (CC BY) license (https://creativecommons.org/licenses/by/4.0/).





