Abstract
Frozen soils are widely distributed in the seismically active regions of northwest China. Under the background of global warming, the study of the dynamic characteristics of frozen soil is very significant for the sustainable development of engineering in cold regions. In this study, the silty clay in the Lanzhou area of northwest China is selected to investigate the dynamic characteristics and its influence factors by dynamic triaxial tests. Various influence factors were considered, including confining pressure, soil temperature, soil water content and loading frequency. The dynamic elastic modulus ratio and reference dynamic strain amplitude increase as confining pressure and soil temperature decrease, and they also increase as soil water content and loading frequency increase. With an increase in confining pressure, soil water content, loading frequency, and a decrease in soil temperature, the damping ratio decreases but the maximum dynamic elastic modulus increases. With an increase in dynamic strain amplitude, the dynamic elastic modulus ratio has a decreasing trend, while the damping ratio has an increasing trend. It was found that the dynamic behaviors are most sensitive to the soil temperature. In addition, the comprehensive influence effect of soil water content, confining pressure, soil temperature, and loading frequency on the maximum dynamic elastic modulus, maximum damping ratio, and reference dynamic strain amplitude of frozen silty clay are analyzed, and the quantitative relationships between them are established. The results can provide evidence for seismic design and safe operation and maintenance of infrastructure in cold regions.
1. Introduction
The vast majority of the northern hemisphere is covered by frozen soil [1]. In total, 70% of China’s area is located in the frozen soil region, and this reaches total coverage in the northwest of China. There are many transportation projects crossing the cold region in the northwest of China. Typical key projects include the Qinghai–Tibet Railway, Sichuan–Tibet Railway and Qinghai–Tibet Highway, etc. [2,3,4]. It is known that these cold regions in northwest China are also located in earthquake-prone areas. Some strong earthquakes are appearing in northwestern China [5,6,7], including the M8.0 Kunshan earthquake in 2001, the M7.1 Yushu earthquake in 2010, the M7.4 Maduo earthquake on 22 May 2021, and the M6.9 Menyuan earthquake on 8 January 2022, etc. All of this seismic activity has produced varying degrees of damage to engineering projects in cold regions, including bridges, roads, and tunnels. It can be seen that frozen soil dynamic parameters are the basic factors affecting the frozen soil-structure dynamic interaction, and are also necessary parameters in the seismic design and evaluation of engineering in cold regions [8,9,10]. Therefore, investigating the dynamic characteristics of frozen soil is very significant for the design and safe operation and maintenance of infrastructure in cold regions with frequent seismic activity and its research is more important in the value of sustainable development in cold regions.
The dynamic behavior of frozen soil is complex and fragile, influenced by the environment, and the dynamic characteristics of frozen soil are receiving increasing attention [11]. The dynamic triaxial test method is widely used for testing the dynamic behavior of frozen soil, of which the step-by-step loading method is mostly adopted [12,13,14]. In addition, the resonance column method and the ultrasonic detection method are also used in the study of frozen soil dynamic behavior [15,16]. The dynamic elastic modulus reflects the linear deformation capacity of the frozen soil. The damping ratio reflects the energy dissipation capacity of the frozen soil. They are the two parameters of most interest in conducting a seismic evaluation of engineering projects in frozen soil regions. It was found that there exists a threshold for the influence of these soil physical parameters and loading conditions on the dynamic parameters of frozen soil [17,18]. Before the threshold, the dynamic elastic modulus increases with decreasing soil temperature. With decreasing confining pressure, soil water content and loading frequency, the dynamic elastic modulus shows an increasing trend. The tendency of the damping ratio is always opposite to the dynamic elastic modulus. Once these influences reach the threshold, continued changes in these influences have a less pronounced or even opposite trend on the frozen soil dynamic behavior [19,20]. Most of the existing studies have qualitatively discussed the dynamics of frozen soil and its influencing factors. Based on the existing literature [17,18,19,20], there is a significant effect of soil temperature on the dynamic parameters of frozen soil. In addition, the effect of soil water content is also considerable.
Some existing studies showed that the dynamic elastic modulus ratio of Qinghai–Tibet clay increased with a decrease in soil temperature, increasing soil water content and loading frequency, while it decreased with an increase in confining pressure [21]. However, it was also found that the dynamic shear modulus ratio of Qinghai–Tibet clay decreased with decreasing soil temperature, increasing soil water content and confining pressure, while it increased with increasing loading frequency [22]. There is apparent disagreement between existing research results. Therefore, large numbers of reasonable experiments are still needed for further analysis of the dynamic characteristics of frozen soil influenced by multi-factors. In addition, some studies have used the equivalent linearization model to fit the prediction equations of the maximum dynamic elastic modulus, the reference dynamic strain amplitude and the maximum damping ratio [19,21,22]. However, these prediction equations are only applicable under specific conditions and have limitations. The selection of the frozen soil dynamic constitutive model is the key to conducting the dynamic response of the soil layer. The Hardin–Drnevich model [23] is often used to describe the dynamic constitutive relationship of frozen soil, but for the dynamic constitutive relationship of some special frozen soils, the Hardin–Drnevich model needs to make corresponding corrections to improve accuracy [24].
Most of the triaxial tests of frozen soil focused on higher confining pressures (more than 0.3 MPa) in previous studies. This study conducted dynamic triaxial tests of frozen silty clay at the confining pressure below 0.3 MPa by using the step-by-step loading method of static stress level and dynamic load amplitude. The effects of soil temperature, soil water content, confining pressure, and loading frequency on the dynamic characteristics of frozen silty clay were considered. The discussed dynamic characteristics include dynamic elastic modulus ratio, reference dynamic strain amplitude, maximum dynamic elastic modulus and damping ratio of frozen silty clay. Finally, based on test results through regression analysis, the formulas for the comprehensive effects of soil water content, confining pressure, soil temperature, and loading frequency on the maximum dynamic elastic modulus, maximum damping ratio, and reference dynamic strain amplitude of frozen silty clay are established.
2. Experiment Design
2.1. Test Equipment
The main technical parameters of the test equipment used in this study are as follows: The confining pressure range is from 0 to 1 MPa; the maximum axial load is 20 kN; the maximum axial displacement is 100 mm; the loading frequency range is from 0 to 5 Hz; the temperature can be reduced to −40 °C; and the accuracy of the temperature digital display instrument is ±0.01 °C. The test system is shown in Figure 1.
Figure 1.
Triaxial test system with temperature-controlled vibration. ① is a pneumatic pump; ② is a temperature control system; ③ is a pressure chamber with temperature monitoring; ④ is a dynamic triaxial testing machine; ⑤ is a data acquisition system; ⑥ is a computer monitor; ⑦ is the transformer of the dynamic triaxial testing machine.
2.2. Test Conditions
Frozen soil is a complex multi-phase and multi-component system, including vapor and air in gaseous phase, mineral particles and ice in solid phase, and unfrozen water in liquid phase. Therefore, when the soil type (mineral particles) is determined, some physical parameters of frozen soil will be greatly influenced by soil temperature and soil water content [25,26]. Thus, three soil water contents (14%, 16%, 18%) and four soil negative temperatures (−0.3 °C, −1 °C, −3 °C, −5 °C) were considered in this study. Previous research showed that the dynamic characteristics of frozen soil were also dependent on the confining pressure, loading frequency, dynamic stress history, etc. [3,13,17,18,19,20,21,22,24,27]. Therefore, three confining pressures (0.1 MPa, 0.2 MPa, and 0.3 MPa) and three loading frequencies (1 Hz, 2 Hz, 4 Hz) were also taken into account. Furthermore, the dynamic stress history was simulated by step loading and vibration cycles.
2.3. Soil Sample Preparation
In this paper, the soil used was silty clay collected from Lanzhou, a seasonal frozen soil region in northwest China, its basic physical properties are displayed in Table 1 and the particle-size distributions of the tested soils are shown in Figure 2.
Table 1.
Physical properties of the soil sample.
Figure 2.
Particle-size distributions of the tested soils.
Soil sample preparation process is as follows, also as shown in Figure 3.
Figure 3.
Schematic diagram of soil sample preparation process.
- The collected soils were crushed and then sieved through a 2 mm square hole sieve, the soil with particle size less than 2 mm was retained and then oven-dried;
- The dried soils were moistened with the required soil water content for the test and sealed in a plastic bag for twenty-four hours. This will achieve a uniform distribution of water in the soil sample;
- The prepared soil was pressed into mold in layers. Then, a soil sample is made, which was 100 mm in height and 50 mm in diameter;
- The prepared soil samples were wrapped in cling film to retain water for testing.
2.4. Loading Procedure
In this paper, the seismic loads are transformed into simple harmonic loads according to the method proposed by Seed [28]. The simple harmonic loads are loaded onto the soil samples using a step-by-step loading approach. The loading schematic diagram is shown in Figure 4. The loading process of each sample has five steps as follows:
Figure 4.
The test loading process.
- The first step was the consolidation process of soil sample;
- The second step was the freezing process of soil sample, which reduced the temperature to the target value and then held it for 5 h to make the soil temperature reach the target value uniformly;
- The third step was the axial static loading process of soil sample;
- The fourth step was the axial static load maintaining process of soil sample, which was about thirty seconds;
- The fifth step was the axial dynamic loading process of soil sample.
The soil sample was kept in compression during the whole loading process. For dynamic loading, it vibrated fifteen times in form of a sine wave at each stage, and the equation of sine wave was as follows:
where is the initial static stress; is the dynamic stress amplitude; is the loading frequency; is the loading time.
Each sample was loaded by increasing the dynamic load amplitude and initial static load step-by-step, and the static stress and dynamic load amplitude increased by the same amount between adjacent loading steps. The specific loading conditions are listed in Table 2.
Table 2.
Loading Conditions.
3. Test Results Analysis
3.1. Calculation of the Dynamic Elastic Modulus Ratio
The schematic diagram of the hysteretic curve of frozen soil is shown in Figure 5. In Figure 5, in order to calculate the corresponding dynamic parameters of the frozen soil, the corresponding auxiliary lines are made on the hysteretic curve based on the intrinsic model suggested by Hardin–Drnevich [23]. The dynamic elastic modulus ratio is calculated as follows [19,21,23]:
where is the dynamic stress amplitude, its value is |JE|/2; is the dynamic strain amplitude, its value is |IC|/2; and a and b are the testing parameters. Combining Equations (2) and (3), we can obtain Equation (4), the values of a and b can be obtained according to Equation (4), whose physical significance is expressed by Equations (5) and (6).
where is the maximum dynamic elastic modulus and is the ultimate dynamic stress amplitude.
Figure 5.
Schematic diagram of ideal hysteretic curve for frozen soil.
Substituting Equations (5) and (6) into Equation (4), we can obtain Equation (8). is the reference dynamic strain amplitude.
According to Equation (8), the dynamic elastic modulus ratio can be expressed as Equation (9).
3.2. Calculation of the Damping Ratio
Combined with Figure 5, the damping ratio of frozen soil can be expressed by Equation (10) [23].
where is the area surrounded by the curve BFHK, which represents the energy lost by the frozen soil material in one loading cycle and is the area of the OAC, which represents the elastic strain energy contained in frozen soil before each loading cycle.
It is known that frozen soil is not an ideal viscoelastic material and that there will be residual deformation in every loading cycle, which exhibits an unclosed hysteretic curve, as shown in Figure 6. The start and end points of the hysteresis curve are linked to create a closed polygon, which is used to calculate the energy dissipation [13,18].
Figure 6.
Stress–strain curve of frozen silty clay (w = 16%, f = 4 Hz, T = −3 °C, = 0.2 MPa). (a) Two stages loading stress–strain curve during actual loading; (b) hysteretic curve of frozen soil under one loading cycle.
3.3. Influencing Factors of Frozen Soil Dynamic Parameters
The parameters of the Hardin–Drmevich constitutive model under various conditions of the frozen silty clay are calculated based on the experimental results listed in Table 3. Detailed discussions were carried out in the following text.
Table 3.
Summary of Hardin–Drmevich model parameters.
3.4. Confining Pressure
According to Figure 7, the is within 0.004. The λ tends to increase gradually with an increase in . The shows a significant decreasing trend with an increase in . This is because as the loading continues, the soil skeleton is damaged more seriously, which leads to a rapidly decreasing trend in the dynamic elastic modulus. With the destruction of the soil skeleton, the slip between soil particles is easier, which in turn leads to a decrease in the contained energy in the soil and an increase in the dissipated energy in the same vibration period.

Figure 7.
Changing of the and with under different confining pressures. (a) w = 14%, f = 4 Hz, T = −3 °C; (b) w = 16%, f = 4 Hz, T = −3 °C; (c) w = 18%, f = 4 Hz, T = −3 °C; (d) w = 16%, f = 4 Hz, T = −5 °C; (e) w = 16%, f = 4 Hz, T = −1 °C; (f) w = 16%, f = 1 Hz, T = −0.3 °C; (g) w = 16%, f = 2 Hz, T = −3 °C; (h) w = 16%, f = 1 Hz, T = −3 °C.
The confining pressure has dual effects on the dynamic behaviors of frozen soil, i.e., strengthening and weakening. The reason for the strengthening is that the small cracks between the soil particles will be further compressed and almost closed with an increase in confining pressure. The compacted soil leads to increased friction between the soil particles, which in turn leads to the increased stiffness and strength of the soil. The reason for the weakening is that an increase in confining pressure will lead to the thawing of the ice crystals in the soil. Thawing will lead to soil water migration, a plastic flow phenomenon of the soil particles and reduced cohesion. As a result, the old connection bonds among the soil particles are broken and a new soil skeletal structure is formed. The newly formed soil skeleton stock is still not stable enough. The soil particles more easily slide relative to each other under the action of external forces, thus reducing the strength and stiffness of the soil skeleton.
In this study, the λ shows a gradually decreasing trend with an increase in , changing from 1.2% to 0.5% and the decreasing trend is more significant with an increasing . The strengthening effect of the confining pressure gradually enhances with an increase in confining pressure but the weakening effect changes little, which induces an increase in the strength and stiffness. Thus, with an increase in confining pressure, the energy of the frozen soil increases gradually, and the energy dissipation decreases correspondingly during the loading process. According to Equation (9), λ shows a decreasing trend with an increase in confining pressure.
The tends to decrease with an increase in , which is also related to the strengthening effect. According to Equations (7) and (8), the is related to the , while the is related to the parameters of a and b. According to Figure 8, with an increase in , the void between the soil particles is reduced, which is conducive to improving the friction among the soil particles. Therefore, the increases with an increasing , i.e., the parameter a decreases. However, confining pressure also has a weakening effect. In the loading process, the loss of frozen soil strength and stiffness is faster, i.e., the parameter b increases. Therefore, decreases with an increase in . According to Equation (8), decreases with a decrease in . It can be observed that the strengthening effect of confining pressure has a dominant influence on the dynamic behaviors of frozen soil due to the relatively low confining pressure used in this study.
Figure 8.
Changing the and of different soil water contents with (T = −3 °C, f = 4 Hz).
3.5. Soil Temperature
According to Figure 9, λ shows a gradually increasing trend with an increase in , and its increasing rate slows down with a decrease in soil temperature. λ decreases with a decrease in soil temperature. This is because as the soil temperature decreases, the ratio between the ice and water content in the soil increases, the cementation among the soil particles and ice crystals increases, and the internal skeleton of the frozen soil becomes more stable. Moreover, the energy contained in the frozen soil increases, and the energy dissipation decreases during testing, which leads to a decrease in the damping ratio.
Figure 9.
Changing of and with under different soil temperatures. (a) w = 16%, f = 4 Hz, = 0.1 MPa; (b) w = 16%, f = 4 Hz, = 0.2 MPa; (c) w = 16%, f = 4 Hz, = 0.3 MPa.
According to Figure 10, the decrease in soil temperature enhances the cementation among the soil particles and ice crystals, which results in and increasing with a decrease in soil temperature. Therefore, also increases with a decrease in soil temperature. It can also be seen from Figure 10 that the temperature of −3 °C is an inflection point for the variations and . When the soil temperature is between −0.3 °C and −3 °C, the increases rapidly and increases slowly after −3 °C. The increasing rate of is opposite to the .
Figure 10.
Changing of and of different confining pressures with T (w = 16%, f = 4 Hz).
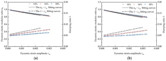
3.6. Soil Water Content
According to Figure 11, the increases and decreases with an increase in soil water content. With an increase in soil water content the ice crystals in the soil increase, which can fill part of the pores among the soil particles. The increasing ice crystals can also change the arrangement of the soil particles and increase the friction among the soil particles. Therefore, the damping ratio, stiffness and strength of the soil increase accordingly. From Figure 12 it also can be seen that and increase with an increase in soil water content. The difference in the increasing rate between and the leads to an increase with the increase in soil water content.

Figure 11.
Changing of and with under different soil water contents. (a) T = −3 °C, f = 4 Hz, = 0.1 MPa; (b) T = −3 °C, f = 4 Hz, = 0.2 MPa; (c) T = −3 °C, f = 4 Hz, = 0.3 MPa.
Figure 12.
Changing of and of different confining pressures with w (T = −3 °C, f = 4 Hz).
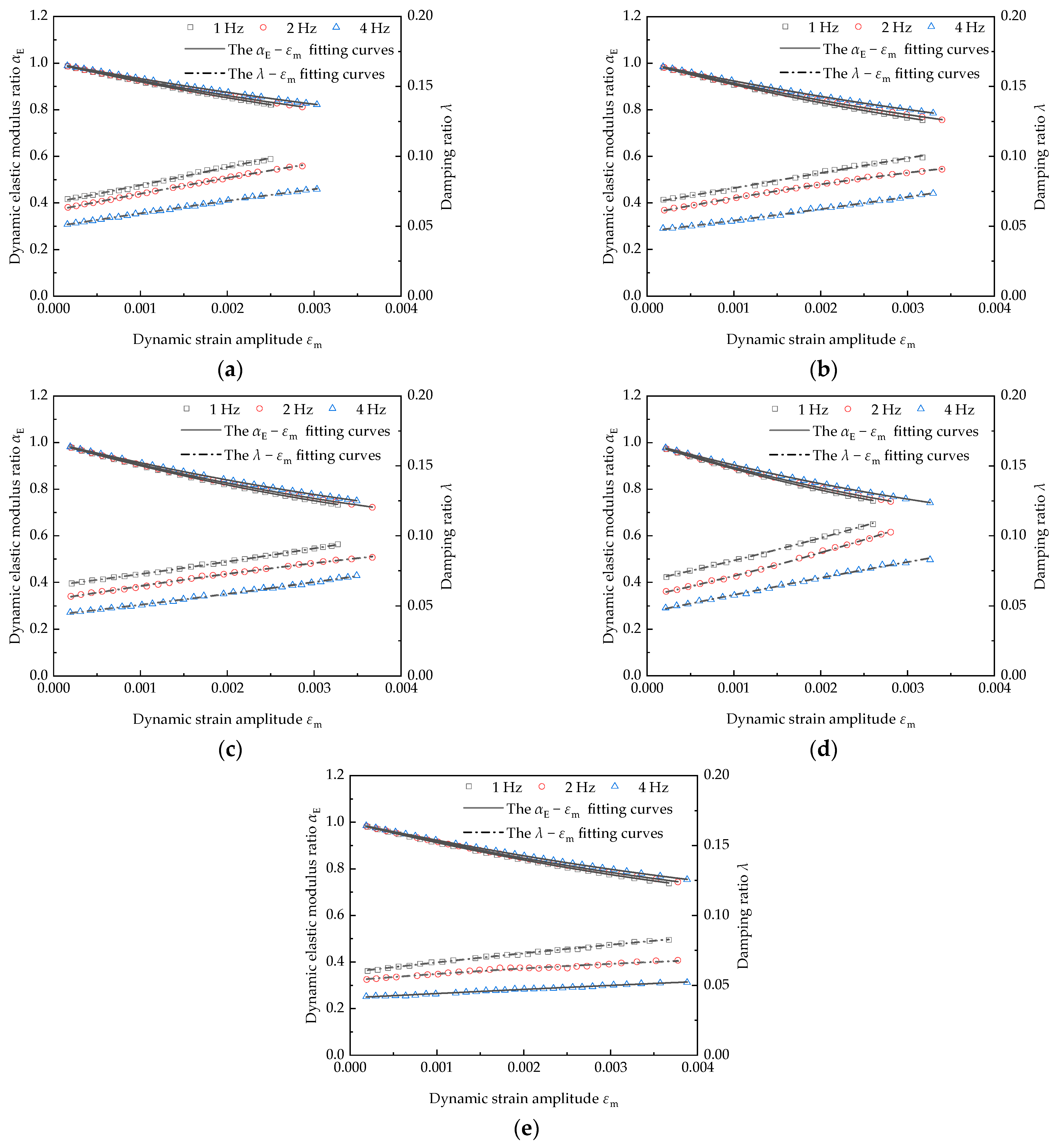
3.7. Loading Frequency
It can be seen from Figure 13 that λ decreases significantly with an increase in the loading frequency. The soil deformation shows a hysteretic effect relative to the applied load, and this hysteresis becomes more significant as the frequency increases. If this hysteretic effect is stronger, fewer soil particles under loading will be redistributed, and less damage to the soil skeleton will occur. Therefore, during the loading process, the soil energy dissipation decreases and λ decreases with an increase in loading frequency. The also has a slight increase with increasing loading frequency. Because a larger loading frequency will produce a larger hysteresis between the applied load and the corresponding soil deformation, it will further affect the reference dynamic strain amplitude.
Figure 13.
Changing of and λ with under different loading frequencies. (a) w = 16%, T = −3 °C, = 0.1 MPa; (b) w = 16%, T = −3 °C, = 0.2 MPa; (c) w = 16%, T = −3 °C, = 0.3 MPa; (d) w = 14%, T = −3 °C, = 0.3 Mpa; (e) w = 18%, T = −3 °C, = 0.3 MPa.
As shown in Figure 14, with an increase in loading frequency, the of frozen soil increases slightly, but the maximum dynamic elastic modulus changes indistinctively. The reason for this is that loading frequency has little effect on parameter a in Equation (4). However, during the loading process, the strength and stiffness of the frozen soil are less likely to be lost as the loading frequency increases, as parameter b decreases accordingly. Therefore, it can be seen from Equations (7)–(9) that the of frozen soil increases with an increase in the loading frequency and also increases accordingly.
Figure 14.
Changing of and of different confining pressures with f (T = −3 °C, w = 16%).
3.8. The Comprehensive Influence Effects
Based on the above discussion, the influencing factors affecting the dynamic behavior of frozen silty clay were standardized and dimensionless. Then, through regression analysis, the relationship for the comprehensive effect of T, w, , and f on the maximum dynamic elastic modulus, maximum damping ratio, and reference dynamic strain amplitude of frozen silty clay was established. The equations are as follows:
where is the value of maximum dynamic elastic modulus in MPa; is the minimum damping ratio; , , , , respectively, denote the correction coefficients of water content, confining pressure, soil temperature, and loading frequency of the maximum dynamic elastic modulus; and its specific calculation is shown in Equation (14). Similarly, , , , , respectively, denote the correlation correction coefficients of the maximum damping ratio, which are calculated in Equation (15). , , , are the correlation correction coefficients of the reference dynamic strain amplitude, which are calculated in Equation (16).
where denotes the dimensionless confining pressure and its value is the confining pressure in MPa divided by 1 MPa; denotes the dimensionless soil temperature and its value is the soil temperature in °C divided by 1 °C; and denotes the dimensionless loading frequency and its value is the loading frequency in Hz divided by 1 Hz.
The comprehensive influence equations of frozen silty clay dynamic parameters proposed in this paper are formally referenced to the equation proposed for the frozen Qinghai–Tibet clay dynamic parameters [19]. The experimental and predicted values of the dynamic parameters of the frozen silty clay are summarized in Table 4. From Table 4 it can be seen that the accuracy of the fit is basically controlled below 5% or even smaller, and only the predicted values of the dynamic parameters of individual specimens exceed 5%. However, it is not large as the maximum is 8.19%. All in all, these formulas have high fitting accuracy.
Table 4.
Summary of the experimental values compared with the values calculated by the fitted formula.
The research results of this paper expand the content of the dynamic parameters of frozen silty clay with an enclosing pressure of 0.3 MPa or less.
4. Discussion
This paper conducted dynamic triaxial tests to investigate the dynamic characteristics of frozen silty clay and its influencing factors. The factors considered in this study included three confining pressures (0.1 MPa, 0.2 MPa, 0.3 MPa), four soil temperatures (−0.3 °C, −1 °C, −3 °C, −5 °C), three soil water contents (14%, 16%, 18%) and three vibration frequencies (1 Hz, 2 Hz, 4 Hz). Some important conclusions are drawn as follows:
- With an increase in dynamic strain amplitude, the damping ratio of frozen silty clay shows an increasing trend, and the dynamic elastic modulus ratio tends to decrease. This variation trend is also affected by soil temperature, soil water content, loading frequency and other factors;
- The damping ratio and reference dynamic strain amplitude of frozen silty clay decreases with an increase in confining pressure, while the dynamic elastic modulus ratio and maximum dynamic elastic modulus tend to increase;
- Soil temperature is one of the most important factors. With a decrease in soil temperature, the dynamic elastic modulus ratio, maximum dynamic elastic modulus and reference dynamic strain amplitude of frozen silty clay show an increasing trend, while the damping ratio has a decreasing trend. Moreover, the dynamic elastic modulus ratio and damping ratio tend to change gently with the dynamic strain amplitude when the soil temperature increases;
- With an increase in soil water content, the dynamic elastic modulus ratio, maximum dynamic elastic modulus and reference dynamic strain amplitude of frozen silty clay tend to increase, while the damping ratio tends to decrease. Moreover, the dynamic elastic modulus ratio and damping ratio tend to change gently with a change in soil water content. If the soil water content is below 16%, the effect of confining pressure on the dynamic characteristics of frozen soil will become more obvious;
- With an increase in loading frequency, the dynamic elastic modulus ratio and reference dynamic strain amplitude tend to increase slightly, while the damping ratio decreases obviously. Moreover, the dynamic elastic modulus ratio and damping ratio change gently with the dynamic strain amplitude when the loading frequency increases;
- Based on the testing results, the comprehensive influence effects of soil water content, confining pressure, soil temperature, and loading frequency on the maximum dynamic elastic modulus, maximum damping ratio, and reference dynamic strain amplitude of frozen silty clay were analyzed, and the quantitative relationship among the dynamic parameters and their influencing factors were established.
Author Contributions
X.Z.: Methodology, Funding acquisition, Investigation, Formal analysis, Writing—original draft, Writing—review and editing; B.S.: Data curation, Formal analysis, Investigation, Writing—original draft; A.H.: Data curation, Resources; Z.X.: Data curation, Investigation, Resources; J.G.: Data curation, Resources. All authors have read and agreed to the published version of the manuscript.
Funding
This research is supported by the National Natural Science Foundation of China (Grant Nos. U21A2012, 52068045), the Science and Technology Program of Gansu Province for Distinguished Young Scholars (No. 20JR5RA430), the Special Funds for Guiding Local Scientific and Technological Development by The Central Government (No. 22ZY1QA005), and the Science and Technology Research and Development Plan of China State Railway Group Co., Ltd. (P2021G047).
Institutional Review Board Statement
Not applicable.
Informed Consent Statement
Not applicable.
Data Availability Statement
All data, models, and code generated or used during the study appear in the submitted article.
Conflicts of Interest
On behalf of all authors, the corresponding author states that there are no conflicts of interest.
References
- Zhang, T.; Barry, R.G.; Knowles, K.; Heginbottom, J.A.; Brown, J. Statistics and characteristics of permafrost and Ground-Ice distribution in the Northern Hemisphere. Polar Geogr. 2008, 31, 47–68. [Google Scholar] [CrossRef]
- Wu, Q.; Niu, F.; Ma, W.; Liu, Y. The effect of permafrost changes on embankment stability along the Qinghai–Xizang Railway. Environ. Earth Sci. 2014, 71, 3321–3328. [Google Scholar] [CrossRef]
- Lu, C.; Cai, C. Challenges and Countermeasures for Construction Safety during the Sichuan–Tibet Railway Project. Engineering 2019, 5, 833–838. [Google Scholar] [CrossRef]
- Wu, Q.; Liu, Y.; Zhang, J.; Tong, C. A review of recent frozen soil engineering in permafrost regions along Qinghai-Tibet Highway, China. Permafr. Periglac. Process. 2002, 13, 199–205. [Google Scholar]
- Cui, D.; Wang, Q.; Wang, W. Effect of Kunlun Ms 8.1 earthquake on crustal deformation in northeastern edge region of Qinghal-Tibet plateau. Geod. Geodyn. 2010, 1, 34–41. [Google Scholar] [CrossRef]
- Ni, S.; Wang, W.; Li, L. The April 14th, 2010 Yushu earthquake, a devastating earthquake with foreshocks. Sci. China Earth Sci. 2010, 53, 791–793. [Google Scholar] [CrossRef]
- Deng, Q.; Cheng, S.; Ma, J.; Du, P. Seismic Activities and Earthquake Potential in the Tibetan Plateau. Chin. J. Geophys. 2014, 57, 678–697. [Google Scholar] [CrossRef]
- Fu, R.-H.; Briseghella, B.; Xue, J.-Q.; Aloisio, A.; Lin, Y.-B.; Nuti, C. Experimental and finite element analyses of laterally loaded RC piles with pre-Hole filled by various filling materials in IABs. Eng. Struct. 2022, 272, 114991. [Google Scholar] [CrossRef]
- Guan, J.; Zhang, X.; Chen, X.; Ding, M.; Wang, W.; Yu, S. Influence of seasonal freezing-thawing soils on seismic performance of high-rise cap pile foundation in permafrost regions. Cold Reg. Sci. Technol. 2022, 199, 103581. [Google Scholar] [CrossRef]
- Zhang, X.; Yang, Z.; Chen, X.; Guan, J.; Pei, W.; Luo, T. Experimental study of frozen soil effect on seismic behavior of bridge pile foundations in cold regions. Structures 2021, 32, 1752–1762. [Google Scholar] [CrossRef]
- Ma, D.; Xiang, H.; Ma, Q.; Kaunda, E.E.; Huang, K.; Su, Q.; Yao, Z. Dynamic Damage Constitutive Model of Frozen Silty Soil with Prefabricated Crack under Uniaxial Load. J. Eng. Mech. 2021, 147, 04021033. [Google Scholar] [CrossRef]
- Shastri, A.; Sánchez, M.; Gai, X.; Lee, M.Y.; Dewers, T. Mechanical behavior of frozen soils: Experimental investigation and numerical modeling. Comput. Geotech. 2021, 138, 104361. [Google Scholar] [CrossRef]
- Ling, X.; Li, Q.; Wang, L.; Zhang, F.; An, L.; Xu, P. Stiffness and damping radio evolution of frozen clays under long-term low-Level repeated cyclic loading: Experimental evidence and evolution model. Cold Reg. Sci. Technol. 2013, 86, 45–54. [Google Scholar] [CrossRef]
- Czajkowski, R.L.; Vinson, T.S. Dynamic Properties of Frozen Silt Under Cyclic Loading. J. Geotechn. Eng. Div. 1980, 106, 963–980. [Google Scholar] [CrossRef]
- Wang, D.; Zhu, Y.; Ma, W.; Niu, Y. Application of ultrasonic technology for Physical–Mechanical properties of frozen soils. Cold Reg. Sci. Technol. 2006, 44, 12–19. [Google Scholar] [CrossRef]
- Al-Hunaidi, M.; Chen, P.; Rainer, J.; Tremblay, M. Shear moduli and damping in frozen and unfrozen clay by resonant column tests. Can. Geotech. J. 2011, 33, 510–514. [Google Scholar] [CrossRef]
- Luo, F.; Zhao, S.; Ma, W.; Jiao, D.; Kong, X. Experimental study on dynamic elastic modulus of frozen soils under stepped axial cyclic loading. Chin. J. Geotech. Eng. 2013, 35, 849–855. [Google Scholar]
- Zhao, S.; Zhu, Y.; He, P.; Wang, D. Testing study on dynamic mechanics parameters of frozen soil. Chin. J. Rock Mech. Eng. 2003, 22, 2677–2681. [Google Scholar]
- Zhu, Z.; Ling, X.; Wang, Z.; Lu, Q.; Chen, S.; Zou, Z.; Guo, Z. Experimental investigation of the dynamic behavior of frozen clay from the Beiluhe subgrade along the QTR. Cold Reg. Sci. Technol. 2011, 69, 91–97. [Google Scholar] [CrossRef]
- Zhao, F.; Chang, L.; Zhang, W. Experimental investigation of dynamic shear modulus and damping ratio of Qinghai-Tibet frozen silt under multi-stage cyclic loading. Cold Reg. Sci. Technol. 2020, 170, 102938. [Google Scholar] [CrossRef]
- Ling, X.; Zhu, Z.; Zhang, F.; Chen, S.; Wang, L.; Gao, X.; Lu, Q. Dynamic elastic modulus for frozen soil from the embankment on Beiluhe Basin along the Qinghai–Tibet Railway. Cold Reg. Sci. Technol. 2009, 57, 7–12. [Google Scholar] [CrossRef]
- Wu, Z.; Zhang, D.; Zhao, T.; Ma, J.; Zhao, D. An experimental research on damping ratio and dynamic shear modulus ratio of frozen silty clay of the Qinghai-Tibet engineering corridor. Transp. Geotech. 2019, 21, 100269. [Google Scholar] [CrossRef]
- Hardin Bobby, O.; Drnevich Vincent, P. Shear Modulus and Damping in Soils: Design Equations and Curves. J. Soil Mech. Found. Div. 1972, 98, 667–692. [Google Scholar] [CrossRef]
- Yu, X.; Liu, H.; Sun, R.; Yuan, X. Improved Hardin-Drnevich model for the dynamic modulus and damping ratio of frozen soil. Cold Reg. Sci. Technol. 2018, 153, 64–77. [Google Scholar] [CrossRef]
- Cui, L.; Li, G.; He, Y.; Liao, Q.; Luo, F. Status Analysis of the Frozen Soil’s Dynamics Parameter Study. Adv. Mater. Res. 2014, 941–944, 2626–2630. [Google Scholar] [CrossRef]
- Zhang, D.; Li, Q.; Liu, E.; Liu, X.; Zhang, G.; Song, B. Dynamic properties of frozen silty soils with different coarse-grained contents subjected to cyclic triaxial loading. Cold Reg. Sci. Technol. 2019, 157, 64–85. [Google Scholar] [CrossRef]
- Ling, X.; Zhang, F.; Li, Q.; An, L.; Wang, L. Dynamic shear modulus and damping ratio of frozen compacted sand subjected to freeze–thaw cycle under multi-stage cyclic loading. Soil Dyn. Earthq. Eng. 2015, 76, 111–121. [Google Scholar] [CrossRef]
- Seed, H.B.; Idriss Izzat, M. Simplified Procedure for Evaluating Soil Liquefaction Potential. J. Soil Mech. Found. Div. 1971, 97, 1249–1273. [Google Scholar] [CrossRef]
Disclaimer/Publisher’s Note: The statements, opinions and data contained in all publications are solely those of the individual author(s) and contributor(s) and not of MDPI and/or the editor(s). MDPI and/or the editor(s) disclaim responsibility for any injury to people or property resulting from any ideas, methods, instructions or products referred to in the content. |
© 2023 by the authors. Licensee MDPI, Basel, Switzerland. This article is an open access article distributed under the terms and conditions of the Creative Commons Attribution (CC BY) license (https://creativecommons.org/licenses/by/4.0/).















