Neutrophil-to-Lymphocyte and Platelet-to-Lymphocyte Ratio: Side by Side with Molecular Mutations in Patients with Non-Small Cell Lung Cancer—The INOLUNG Study
Abstract
Simple Summary
Abstract
1. Introduction
2. Materials and Methods
Statistical Analysis
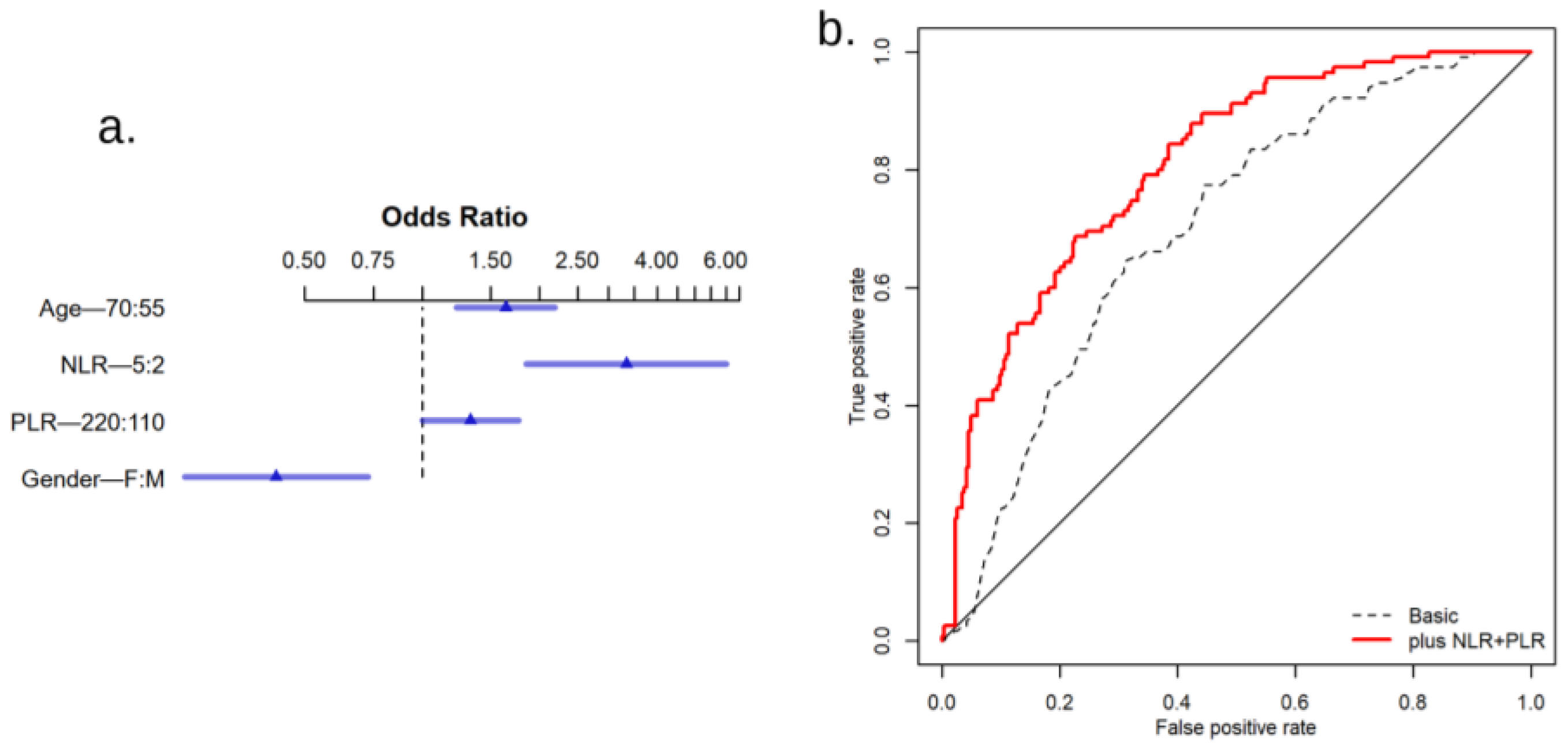
3. Results
4. Discussion
5. Conclusions
Author Contributions
Funding
Institutional Review Board Statement
Informed Consent Statement
Data Availability Statement
Conflicts of Interest
References
- Michaels, E.; Bestvina, C.M. Meeting an un-MET need: Targeting MET in non-small cell lung cancer. Front. Oncol. 2022, 12, 1004198. [Google Scholar] [CrossRef]
- Mosca, M.; Nigro, M.C.; Pagani, R.; De Giglio, A.; Di Federico, A. Neutrophil-to-Lymphocyte Ratio (NLR) in NSCLC, Gastrointestinal, and Other Solid Tumors: Immunotherapy and Beyond. Biomolecules 2023, 13, 1803. [Google Scholar] [CrossRef]
- Guo, R.; Berry, L.D.; Aisner, D.L. MET IHC is a Poor Screen for MET Amplification or MET exon 14 mutations in Lung Adenocarcinomas: Data from a Tri-Institutional Cohort of the Lung Cancer Mutation Consortium. J. Thorac. Oncol. 2019, 14, 1666–1671. [Google Scholar] [CrossRef] [PubMed]
- Guthrie, G.J.K.; Charles, K.A.; Roxburgh, C.S.D.; Horgan, P.G.; McMillan, D.C.; Clarke, S.J. The systemic inflammation-based neutrophil-lymphocyte ratio: Experience in patients with cancer. Crit. Rev. Oncol. Hematol. 2013, 88, 218–230. [Google Scholar] [CrossRef]
- Køstner, A.H.; Fuglestad, A.J.; Georgsen, J.B. Fueling the flames of colon cancer–does CRP play a direct pro-inflammatory role? Front. Immunol. 2023, 14, 1170443. [Google Scholar] [CrossRef] [PubMed]
- Cupp, M.A.; Cariolou, M.; Tzoulaki, I.; Aune, D.; Evangelou, E.; Berlanga-Taylor, A.J. Neutrophil to lymphocyte ratio and cancer prognosis: An umbrella review of systematic reviews and meta-analyses of observational studies. BMC Med. 2020, 18, 360. [Google Scholar] [CrossRef]
- Diem, S.; Schmid, S.; Krapf, M.; Flatz, L.; Born, D.; Jochum, W.; Templeton, A.J.; Früh, M. Neutrophil-to-Lymphocyte ratio (NLR) and Platelet-to-Lymphocyte ratio (PLR) as prognostic markers in patients with non-small cell lung cancer (NSCLC) treated with nivolumab. Lung Cancer 2017, 111, 176–181. [Google Scholar] [CrossRef]
- Budin, C.E.; Marginean, C.; Bordea, I.R.; Enache, L.S.; Enache, E.L.; Grigorescu, B.L.; Biro, L.; Rusu, E.; Nemes, R.M.; Todea, D.A. The Influence of Smoking on Nicotine Exposure Biomarkers and Inflammatory Profile among Foster Care Teenagers, Romania. Rev. Chim. 2018, 69, 3659–3663. [Google Scholar] [CrossRef]
- Zahorec, R. Ratio of neutrophil to lymphocyte counts-rapid and simple parameter of systemic inflammation and stress in critically ill. Bratisl. Lek. Listy 2001, 102, 5–14. [Google Scholar]
- Valero, C.; Lee, M.; Hoen, D. Pretreatment neutrophil-to-lymphocyte ratio and mutational burden as biomarkers of tumor response to immune checkpoint inhibitors. Nat. Commun. 2021, 12, 729. [Google Scholar] [CrossRef]
- Martinez-García, M.Á.; Olveira, C.; Girón, R. Peripheral Neutrophil-to-Lymphocyte Ratio in Bronchiectasis: A Marker of Disease Severity. Biomolecules 2022, 12, 1399. [Google Scholar] [CrossRef]
- Budin, C.E.; Nemeș, A.F.; Râjnoveanu, R.-M. The Inflammatory Profile Correlates with COVID-19 Severity and Mortality in Cancer Patients. J. Pers. Med. 2023, 13, 1235. [Google Scholar] [CrossRef] [PubMed]
- Zhang, H.; Zhang, L.; Zhu, K.; Shi, B.; Yin, Y.; Zhu, J.; Yue, D.; Zhang, B.; Wang, C. Prognostic Significance of Combination of Preoperative Platelet Count and Neutrophil-Lymphocyte Ratio (COP-NLR) in Patients with Non-Small Cell Lung Cancer: Based on a Large Cohort Study. PLoS ONE 2015, 10, e0126496. [Google Scholar] [CrossRef] [PubMed]
- Zhu, X.; Song, H.; Chen, Y.; Han, F.; Wang, Q.; Cui, Y. Neutrophil-to-Lymphocyte Ratio and Platelet-to-Lymphocyte Ratio in Blood to Distinguish Lung Cancer Patients from Healthy Subjects. Dis. Markers 2020, 1, 8844698. [Google Scholar] [CrossRef]
- Khunger, M.; Patil, P.D.; Khunger, A. Post-treatment changes in hematological parameters predict response to nivolumab monotherapy in non-small cell lung cancer patients. PLoS ONE 2018, 13, e0197743. [Google Scholar] [CrossRef] [PubMed]
- Shukuya, T.; Carbone, D.P. Predictive Markers for the Efficacy of Anti–PD-1/PD-L1 Antibodies in Lung Cancer. J. Thorac. Oncol. 2016, 11, 976–988. [Google Scholar] [CrossRef] [PubMed]
- Mandaliya, H.; Jones, M.; Oldmeadow, C. Nordman II. Prognostic biomarkers in stage IV non-small cell lung cancer (NSCLC): Neutrophil to lymphocyte ratio (NLR), lymphocyte to monocyte ratio (LMR), platelet to lymphocyte ratio (PLR) and advanced lung cancer inflammation index (ALI). Transl. Lung Cancer Res. 2019, 8, 886–894. [Google Scholar] [CrossRef]
- Prodromidou, A.; Andreakos, P.; Kazakos, C.; Vlachos, D.E.; Perrea, D.; Pergialiotis, V. The diagnostic efficacy of platelet-to-lymphocyte ratio and neutrophil-to-lymphocyte ratio in ovarian cancer. Inflamm. Res. 2017, 66, 467–475. [Google Scholar] [CrossRef] [PubMed]
- Winther-Larsen, A.; Aggerholm-Pedersen, N.; Sandfeld-Paulsen, B. Inflammation scores as prognostic biomarkers in small cell lung cancer: A systematic review and meta-analysis. Syst. Rev. 2021, 10, 40. [Google Scholar] [CrossRef]
- Cao, W.; Yu, H.; Zhu, S.; Lei, X.; Li, T.; Ren, F.; Zhou, N.; Tang, Q.; Zu, L.; Xu, S. Clinical significance of preoperative neutrophil-lymphocyte ratio and platelet-lymphocyte ratio in the prognosis of resected early-stage patients with non-small cell lung cancer: A meta-analysis. Cancer Med. 2022, 12, 7065–7076. [Google Scholar] [CrossRef]
- Ma, A.; Wang, G.; Du, Y. The clinical relevance of neutrophil-to-lymphocyte ratio and platelet-to-lymphocyte ratio in chronic obstructive pulmonary disease with lung cancer. Front. Oncol. 2022, 12, 902955. [Google Scholar] [CrossRef]
- Pu, D.; Xu, Q.; Zhou, L.; Zhou, Y.; Liu, J.; Ma, X. Inflammation-nutritional markers of peripheral blood could predict survival in advanced non-small-cell lung cancer patients treated with PD-1 inhibitors. Thorac. Cancer 2021, 12, 2914–2923. [Google Scholar] [CrossRef]
- Kim, M.H.; Kim, H.R.; Cho, B.C.; Bae, M.K.; Kim, E.Y.; Lee, C.Y.; Lee, J.S.; Kang, D.R.; Kim, J.H. Impact of cigarette smoking on response to epidermal growth factor receptor (EGFR)-tyrosine kinase inhibitors in lung adenocarcinoma with activating EGFR mutations. Lung Cancer 2014, 84, 196–202. [Google Scholar] [CrossRef]
- Platini, H.; Ferdinand, E.; Kohar, K.; Prayogo, S.A.; Amirah, S.; Komariah, M.; Maulana, S. Neutrophil-to-Lymphocyte Ratio and Platelet-to-Lymphocyte Ratio as Prognostic Markers for Advanced Non-Small-Cell Lung Cancer Treated with Immunotherapy: A Systematic Review and Meta-Analysis. Medicina 2022, 58, 1069. [Google Scholar] [CrossRef]
- Lamberti, G.; Sisi, M.; Andrini, E.; Palladini, A.; Giunchi, F.; Lollini, P.-L.; Ardizzoni, A.; Gelsomino, F. The Mechanisms of PD-L1 Regulation in Non-Small-Cell Lung Cancer (NSCLC): Which Are the Involved Players? Cancers 2020, 12, 3129. [Google Scholar] [CrossRef]
- Rungsakulkij, N.; Mingphruedhi, S.; Suragul, W.; Tangtawee, P.; Muangkaew, P.; Aeesoa, S. Platelet-to-lymphocyte ratio and large tumor size predict microvascular invasion after resection for hepatocellular carcinoma. HPB 2018, 20, S370. [Google Scholar] [CrossRef][Green Version]
- Liu, J.; Li, S.; Zhang, S.; Liu, Y.; Ma, L.; Zhu, J.; Xin, Y.; Wang, Y.; Yang, C.; Cheng, Y. Systemic immune-inflammation index, neutrophil-to-lymphocyte ratio, platelet-to-lymphocyte ratio can predict clinical outcomes in patients with metastatic non-small-cell lung cancer treated with nivolumab. J. Clin. Lab. Anal. 2019, 33, e22964. [Google Scholar] [CrossRef]
- Gu, X.; Sun, S.; Gao, X.-S. Prognostic value of platelet to lymphocyte ratio in non-small cell lung cancer: Evidence from 3430 patients. Sci. Rep. 2016, 6, 23893. [Google Scholar]
- Wang, J.; Zhang, F.; Jiang, F.; Hu, L.; Chen, J.; Wang, Y. Distribution and reference interval establishment of neutral-to-lymphocyte ratio (NLR), lymphocyte-to-monocyte ratio (LMR), and platelet-to-lymphocyte ratio (PLR) in Chinese healthy adults. J. Clin. Lab. Anal. 2021, 35, e23935. [Google Scholar] [CrossRef]
- Russo, A.; Russano, M.; Franchina, T. Neutrophil-to-Lymphocyte Ratio (NLR), Platelet-to-Lymphocyte Ratio (PLR), and Outcomes with Nivolumab in Pretreated Non-Small Cell Lung Cancer (NSCLC): A Large Retrospective Multicenter Study. Adv. Ther. 2020, 37, 1145–1155. [Google Scholar] [CrossRef]
- Takada, K.; Takamori, S.; Yoneshima, Y. Serum markers associated with treatment response and survival in non-small cell lung cancer patients treated with anti-PD-1 therapy. Lung Cancer 2020, 145, 18–26. [Google Scholar] [CrossRef] [PubMed]




| [ALL] | Cancer | Control | p-Value | N b | |
|---|---|---|---|---|---|
| N = 380 | N = 115 | N = 265 | |||
| Age | 64.0 [54.0; 71.0] | 68.0 [62.5; 74.0] | 61.0 [51.0; 70.0] | <0.001 | 380 |
| Gender: | <0.001 | 380 | |||
| F | 153 (40.3%) | 28 (24.3%) | 125 (47.2%) | ||
| M | 227 (59.7%) | 87 (75.7%) | 140 (52.8%) | ||
| Lymphocytes, ×103/µL | 1.73 [1.24; 2.33] | 1.47 [1.07; 2.09] | 1.80 [1.33; 2.38] | 0.002 | 368 |
| Neutrophils, ×103/µL | 5.51 [4.11; 7.92] | 7.92 [5.65; 10.4] | 4.86 [3.85; 6.61] | <0.001 | 369 |
| Platelets, ×103/µL | 270 [216; 336] | 336 [269; 402] | 252 [203; 308] | <0.001 | 368 |
| Hemoglobin, g/dL | 13.4 [12.2; 14.5] | 12.8 [11.2; 14.0] | 13.5 [12.6; 14.8] | <0.001 | 360 |
| Smoking, packs/year | 20.0 [0.00; 40.0] | 40.0 [20.0; 50.0] | 10.0 [0.00; 30.0] | <0.001 | 337 |
| COPD: | <0.001 | 378 | |||
| n | 194 (51.3%) | 31 (27.4%) | 163 (61.5%) | ||
| y | 184 (48.7%) | 82 (72.6%) | 102 (38.5%) | ||
| Cardiovascular pathologies | 0.1 | 2212 | |||
| n | 58 (27.4%) | 31 (27.7%) | 27 (27.0%) | ||
| y | 154 (72.6%) | 81 (72.3%) | 73 (73.0%) | ||
| Diabetes mellitus | 0.217 | 2211 | |||
| n | 165 (78.2%) | 91 (82.0%) | 74 (74.0%) | ||
| y | 46 (21.8%) | 20 (18.0%) | 26 (26.0%) | ||
| Renal pathologies | 0.1 | 2209 | |||
| n | 194 (92.8%) | 101 (92.7%) | 93 (93.0%) | ||
| y | 15 (7.18%) | 8 (7.34%) | 7 (7.00%) | ||
| BMI, kg/m2 | 27.0 [23.4; 30.7] | 24.6 [21.4; 27.3] | 29.3 [26.0; 33.1] | <0.001 | 144 |
| NLR | 3.00 [2.00; 5.30] | 5.30 [3.15; 8.35] | 2.60 [1.80; 4.30] | <0.001 | 368 |
| PLR | 153 [109; 218] | 217 [150; 342] | 136 [105; 192] | <0.001 | 367 |
| [ALL] | EGFR: Wild-Type | EGFR: Mutated | p-Value | N b | |
|---|---|---|---|---|---|
| N = 68 | N = 61 | N = 7 | |||
| Age | 68.5 [63.0; 73.2] | 68.0 [63.0; 73.0] | 71.0 [60.0; 73.5] | 0.76 | 68 |
| Gender: | 0.18 | 68 | |||
| F | 15 (22.1%) | 12 (19.7%) | 3 (42.9%) | ||
| M | 53 (77.9%) | 49 (80.3%) | 4 (57.1%) | ||
| Histological type | 0.05 | 68 | |||
| adenocarcinoma | 32 (47.1%) | 26 (42.6%) | 6 (85.7%) | ||
| squamous cell carcinoma | 36 (52.9%) | 35 (57.4%) | 1 (14.3%) | ||
| Stage: | 1 | 53 | |||
| 2 | 1 (1.89%) | 1 (2.00%) | 0 (0.00%) | ||
| 3 | 28 (52.8%) | 26 (52.0%) | 2 (66.7%) | ||
| 4 | 24 (45.3%) | 23 (46.0%) | 1 (33.3%) | ||
| Lymphocytes, ×103/µL | 1.51 [1.14; 2.02] | 1.49 [1.12; 2.06] | 1.99 [1.41; 2.00] | 0.54 | 61 |
| Neutrophils, ×103/µL | 7.72 [5.90; 10.4] | 7.70 [5.89; 9.97] | 7.92 [6.45; 10.5] | 0.79 | 61 |
| Platelets, ×103/µL | 330 [269; 426] | 334 [273; 428] | 281 [263; 337] | 0.58 | 61 |
| C-reactive protein, mg/L | 51.0 [17.2; 140] | 61.2 [20.8; 140] | 25.4 [10.2; 123] | 0.65 | 48 |
| Hemoglobin, g/dL | 12.8 [11.2; 13.9] | 13.0 [11.3; 14.0] | 11.8 [10.8; 12.3] | 0.38 | 58 |
| Smoking, packs/year | 35.0 [24.0; 50.0] | 40.0 [30.0; 50.0] | 5.00 [0.00; 17.5] | 0 | 65 |
| COPD: | 0 | 67 | |||
| no | 21 (31.3%) | 15 (24.6%) | 6 (100%) | ||
| yes | 46 (68.7%) | 46 (75.4%) | 0 (0.00%) | ||
| BMI, kg/m2 | 24.5 [19.9; 27.3] | 24.5 [20.3; 26.8] | 21.7 [17.9; 25.5] | 0.86 | 35 |
| NLR | 5.00 [3.20; 8.00] | 5.15 [3.25; 8.03] | 3.30 [3.20; 5.30] | 0.66 | 61 |
| PLR | 217 [150; 333] | 218 [151; 334] | 187 [141; 321] | 0.64 | 61 |
| [ALL] | PD-L1: Wild-Type | PD-L1: Mutated | p-Value | N b | |
|---|---|---|---|---|---|
| N = 67 | N = 42 | N = 25 | |||
| Age | 69.0 [63.0; 74.0] | 69.0 [63.0; 71.8] | 68.0 [64.0; 74.0] | 0.68 | 67 |
| Gender: | 0.16 | 67 | |||
| F | 14 (20.9%) | 6 (14.3%) | 8 (32.0%) | ||
| M | 53 (79.1%) | 36 (85.7%) | 17 (68.0%) | ||
| Histological type | 0.64 | 67 | |||
| adenocarcinoma | 31 (46.3%) | 18 (42.9%) | 13 (52.0%) | ||
| squamous cell carcinoma | 36 (53.7%) | 24 (57.1%) | 12 (48.0%) | ||
| Stage: | 0.86 | 52 | |||
| 2 | 1 (1.92%) | 1 (3.03%) | 0 (0.00%) | ||
| 3 | 28 (53.8%) | 17 (51.5%) | 11 (57.9%) | ||
| 4 | 23 (44.2%) | 15 (45.5%) | 8 (42.1%) | ||
| Lymphocytes, ×103/µL | 1.49 [1.08; 2.06] | 1.52 [1.12; 1.99] | 1.40 [1.07; 2.39] | 0.87 | 60 |
| Neutrophils, ×103/µL | 7.78 [5.89; 10.4] | 8.15 [6.80; 10.5] | 6.28 [5.24; 9.46] | 0.09 | 60 |
| Platelets, ×103/µL | 338 [276; 428] | 60 [279; 442] | 322 [256; 361] | 0.26 | 60 |
| C-reactive protein, mg/L | 45.3 [15.3; 134] | 76.7 [32.6; 140] | 22.7 [10.4; 40.3] | 0.03 | 48 |
| Hemoglobin, g/dL | 12.6 [11.2; 13.7] | 12.2 [10.8; 14.0] | 13.1 [11.9; 13.7] | 0.28 | 57 |
| Smoking, packs/year | 39.0 [24.8; 50.0] | 38.0 [24.5; 47.5] | 40.0 [30.0; 60.0] | 0.54 | 64 |
| COPD: | 1 | 66 | |||
| no | 21 (31.8%) | 13 (31.7%) | 8 (32.0%) | ||
| yes | 45 (68.2%) | 28 (68.3%) | 17 (68.0%) | ||
| BMI, kg/m2 | 24.5 [19.9; 26.6] | 23.6 [19.5; 25.3] | 25.8 [24.6; 28.0] | 0.08 | 35 |
| NLR | 5.15 [3.18; 8.15] | 5.30 [3.45; 8.95] | 4.50 [2.85; 5.92] | 0.23 | 60 |
| PLR | 220 [151; 340] | 227 [159; 362] | 198 [141; 304] | 0.31 | 60 |
Disclaimer/Publisher’s Note: The statements, opinions and data contained in all publications are solely those of the individual author(s) and contributor(s) and not of MDPI and/or the editor(s). MDPI and/or the editor(s) disclaim responsibility for any injury to people or property resulting from any ideas, methods, instructions or products referred to in the content. |
© 2024 by the authors. Licensee MDPI, Basel, Switzerland. This article is an open access article distributed under the terms and conditions of the Creative Commons Attribution (CC BY) license (https://creativecommons.org/licenses/by/4.0/).
Share and Cite
Budin, C.E.; Cocuz, I.G.; Enache, L.S.; Rența, I.A.; Cazacu, C.; Pătrîntașu, D.E.; Olteanu, M.; Râjnoveanu, R.-M.; Ianoși, E.S.; Râjnoveanu, A.; et al. Neutrophil-to-Lymphocyte and Platelet-to-Lymphocyte Ratio: Side by Side with Molecular Mutations in Patients with Non-Small Cell Lung Cancer—The INOLUNG Study. Cancers 2024, 16, 2903. https://doi.org/10.3390/cancers16162903
Budin CE, Cocuz IG, Enache LS, Rența IA, Cazacu C, Pătrîntașu DE, Olteanu M, Râjnoveanu R-M, Ianoși ES, Râjnoveanu A, et al. Neutrophil-to-Lymphocyte and Platelet-to-Lymphocyte Ratio: Side by Side with Molecular Mutations in Patients with Non-Small Cell Lung Cancer—The INOLUNG Study. Cancers. 2024; 16(16):2903. https://doi.org/10.3390/cancers16162903
Chicago/Turabian StyleBudin, Corina Eugenia, Iuliu Gabriel Cocuz, Liviu Sorin Enache, Ionuț Alexandru Rența, Cristian Cazacu, Dariana Elena Pătrîntașu, Mihai Olteanu, Ruxandra-Mioara Râjnoveanu, Edith Simona Ianoși, Armand Râjnoveanu, and et al. 2024. "Neutrophil-to-Lymphocyte and Platelet-to-Lymphocyte Ratio: Side by Side with Molecular Mutations in Patients with Non-Small Cell Lung Cancer—The INOLUNG Study" Cancers 16, no. 16: 2903. https://doi.org/10.3390/cancers16162903
APA StyleBudin, C. E., Cocuz, I. G., Enache, L. S., Rența, I. A., Cazacu, C., Pătrîntașu, D. E., Olteanu, M., Râjnoveanu, R.-M., Ianoși, E. S., Râjnoveanu, A., & Cotoi, O. S. (2024). Neutrophil-to-Lymphocyte and Platelet-to-Lymphocyte Ratio: Side by Side with Molecular Mutations in Patients with Non-Small Cell Lung Cancer—The INOLUNG Study. Cancers, 16(16), 2903. https://doi.org/10.3390/cancers16162903

