Early Changes in LIPI Score Predict Immune-Related Adverse Events: A Propensity Score Matched Analysis in Advanced Non-Small Cell Lung Cancer Patients on Immune Checkpoint Blockade
Abstract
Simple Summary
Abstract
1. Introduction
2. Materials and Methods
2.1. Design and Participants
2.2. Data Collection and Assessments
2.3. Statistical Analysis
3. Results
3.1. Patient Characteristics
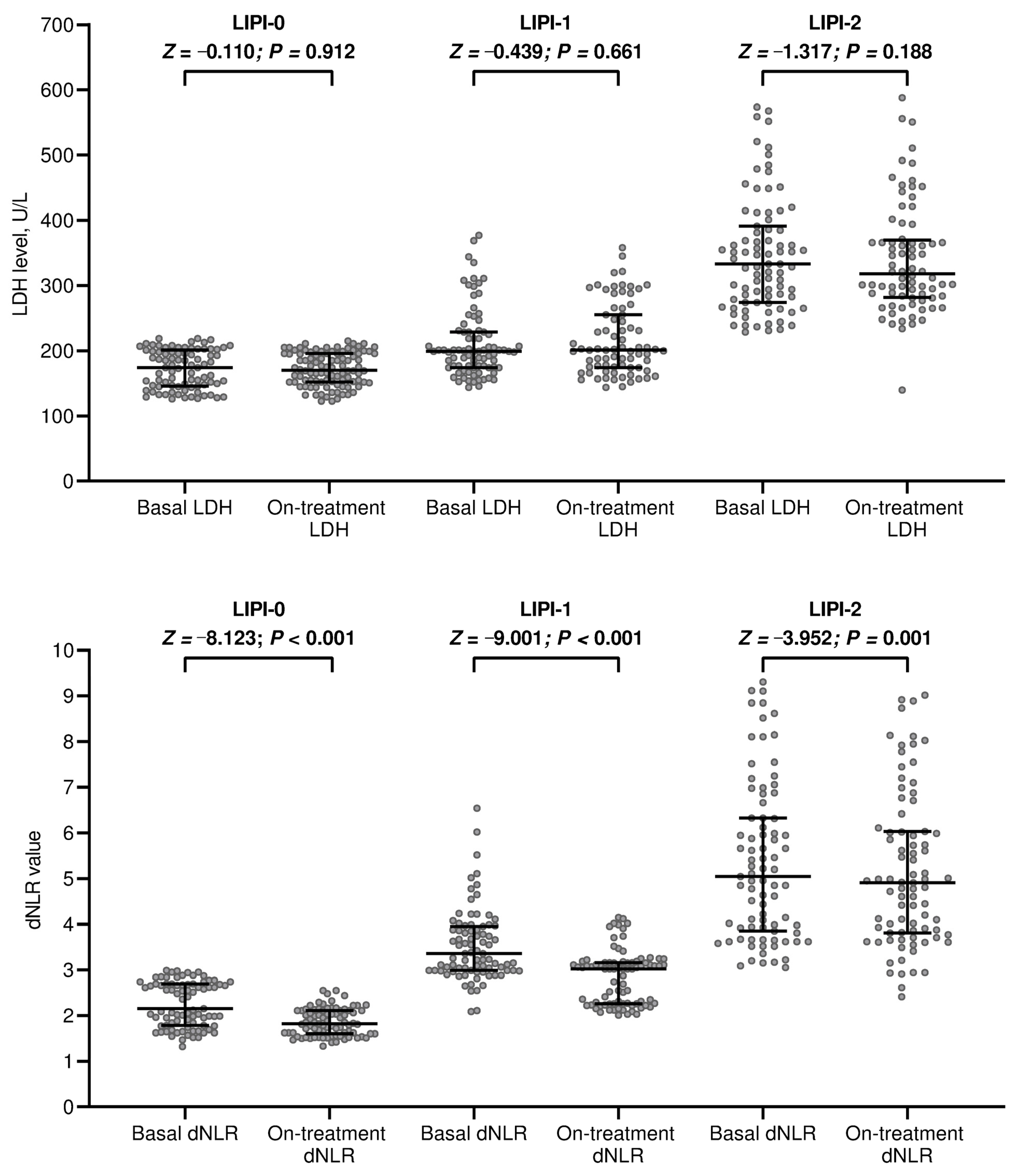
3.2. Changes in LIPI Score
3.3. Immune-Related Adverse Events
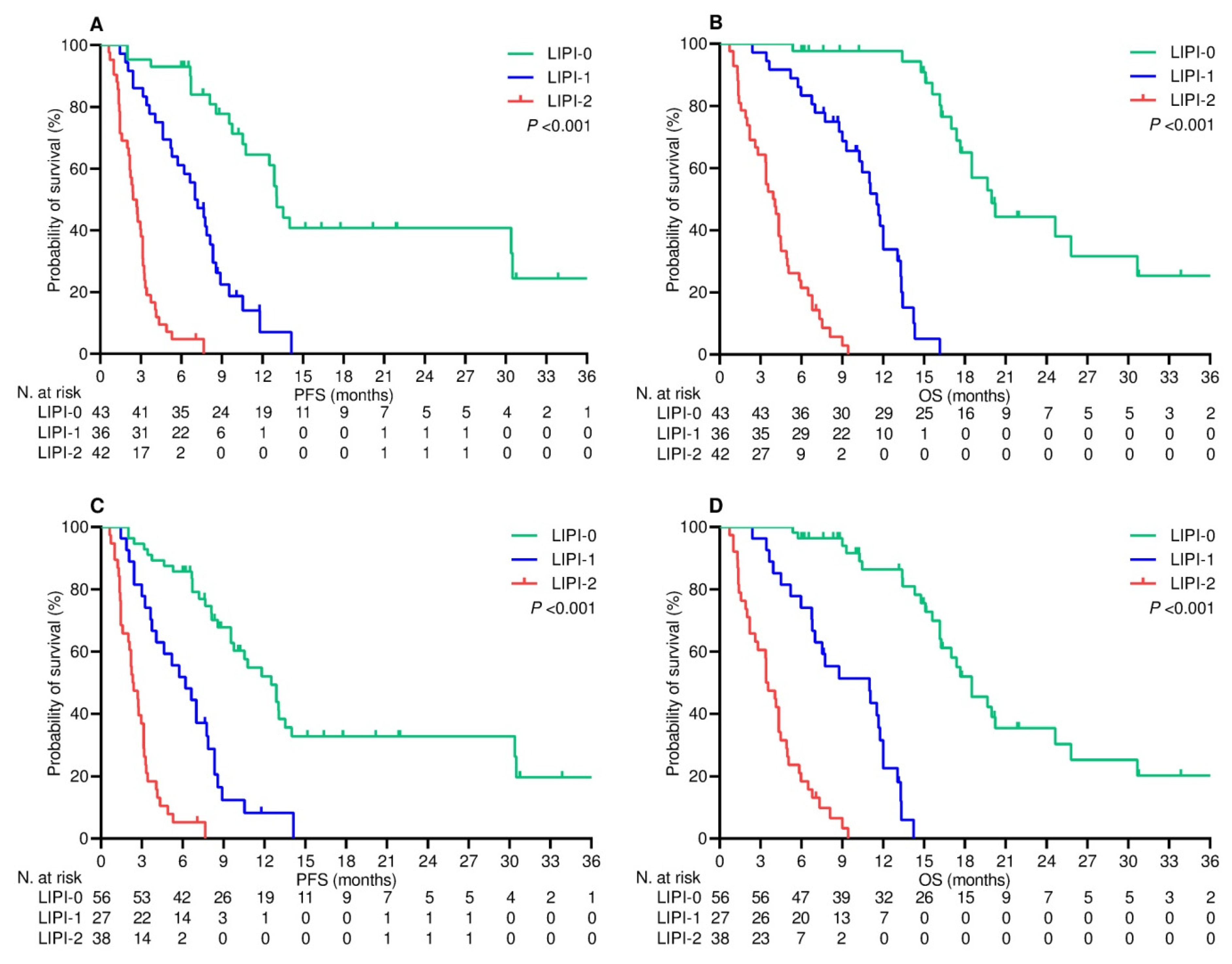
3.4. Survival Outcomes
4. Discussion
5. Conclusions
Supplementary Materials
Author Contributions
Funding
Institutional Review Board Statement
Informed Consent Statement
Data Availability Statement
Conflicts of Interest
References
- Scott, E.C.; Baines, A.C.; Gong, Y.; Moore, R., Jr.; Pamuk, G.E.; Saber, H.; Subedee, A.; Thompson, M.D.; Xiao, W.; Pazdur, R.; et al. Trends in the approval of cancer therapies by the FDA in the twenty-first century. Nat. Rev. Drug Discov. 2023, 22, 625–640. [Google Scholar] [CrossRef] [PubMed]
- Hargadon, K.M.; Johnson, C.E.; Williams, C.J. Immune checkpoint blockade therapy for cancer: An overview of FDA-approved immune checkpoint inhibitors. Int. Immunopharmacol. 2018, 62, 29–39. [Google Scholar] [CrossRef] [PubMed]
- Wilson, R.A.M.; Evans, T.R.J.; Fraser, A.R.; Nibbs, R.J.B. Immune Checkpoint Inhibitors: New Strategies to Checkmate Cancer. Clin. Exp. Immunol. 2018, 191, 133–148. [Google Scholar] [CrossRef] [PubMed]
- Postow, M.A.; Callahan, M.K.; Wolchok, J.D. Immune Checkpoint Blockade in Cancer Therapy. J. Clin. Oncol. 2015, 33, 1974–1982. [Google Scholar] [CrossRef]
- Postow, M.A.; Sidlow, R.; Hellmann, M.D. Immune-related adverse events associated with immune checkpoint blockade. N. Engl. J. Med. 2018, 378, 158–168. [Google Scholar] [CrossRef] [PubMed]
- Christodoulou, M.I.; Zaravinos, A. New Clinical Approaches and Emerging Evidence on Immune-Checkpoint Inhibitors as Anti-Cancer Therapeutics: CTLA-4 and PD-1 Pathways and Beyond. Crit. Rev. Immunol. 2019, 39, 379–408. [Google Scholar] [CrossRef] [PubMed]
- Martins, F.; Sofiya, L.; Sykiotis, G.P.; Lamine, F.; Maillard, M.; Fraga, M.; Shabafrouz, K.; Ribi, C.; Cairoli, A.; Guex-Crosier, Y.; et al. Adverse effects of immune-checkpoint inhibitors: Epidemiology, management and surveillance. Nat. Rev. Clin. Oncol. 2019, 16, 563–580. [Google Scholar] [CrossRef] [PubMed]
- Wang, D.Y.; Salem, J.E.; Cohen, J.V.; Chandra, S.; Menzer, C.; Ye, F.; Zhao, S.; Das, S.; Beckermann, K.E.; Ha, L.; et al. Fatal Toxic Effects Associated with Immune Checkpoint Inhibitors: A Systematic Review and Meta-analysis. JAMA Oncol. 2018, 4, 1721–1728. [Google Scholar] [CrossRef]
- Kalinich, M.; Murphy, W.; Wongvibulsin, S.; Pahalyants, V.; Yu, K.H.; Lu, C.; Wang, F.; Zubiri, L.; Naranbhai, V.; Gusev, A.; et al. Prediction of severe immune-related adverse events requiring hospital admission in patients on immune checkpoint inhibitors: Study of a population level insurance claims database from the USA. J. Immunother. Cancer. 2021, 9, e001935. [Google Scholar] [CrossRef]
- Amoroso, V.; Gallo, F.; Alberti, A.; Paloschi, D.; Ferrari Bravo, W.; Esposito, A.; Cosentini, D.; Grisanti, S.; Pedersini, R.; Petrelli, F.; et al. Immune-related adverse events as potential surrogates of immune checkpoint inhibitors’ efficacy: A systematic review and meta-analysis of randomized studies. ESMO Open 2023, 8, 100787. [Google Scholar] [CrossRef]
- Shankar, B.; Zhang, J.; Naqash, A.R.; Forde, P.M.; Feliciano, J.L.; Marrone, K.A.; Ettinger, D.S.; Hann, C.L.; Brahmer, J.R.; Ricciuti, B.; et al. Multisystem Immune-Related Adverse Events Associated with Immune Checkpoint Inhibitors for Treatment of Non-Small Cell Lung Cancer. JAMA Oncol. 2020, 6, 1952–1956. [Google Scholar] [CrossRef] [PubMed]
- Socinski, M.A.; Jotte, R.M.; Cappuzzo, F.; Nishio, M.; Mok, T.S.K.; Reck, M.; Finley, G.G.; Kaul, M.D.; Yu, W.; Paranthaman, N.; et al. Association of Immune-Related Adverse Events with Efficacy of Atezolizumab in Patients with Non-Small Cell Lung Cancer: Pooled Analyses of the Phase 3 IMpower130, IMpower132, and IMpower150 Randomized Clinical Trials. JAMA Oncol. 2023, 9, 527–535. [Google Scholar] [CrossRef] [PubMed]
- Les, I.; Martínez, M.; Pérez-Francisco, I.; Cabero, M.; Teijeira, L.; Arrazubi, V.; Torrego, N.; Campillo-Calatayud, A.; Elejalde, I.; Kochan, G.; et al. Predictive Biomarkers for Checkpoint Inhibitor Immune-Related Adverse Events. Cancers 2023, 15, 1629. [Google Scholar] [CrossRef] [PubMed]
- Mezquita, L.; Auclin, E.; Ferrara, R.; Charrier, M.; Remon, J.; Planchard, D.; Ponce, S.; Ares, L.P.; Leroy, L.; Audigier-Valette, C.; et al. Association of the Lung Immune Prognostic Index with Immune Checkpoint Inhibitor Outcomes in Patients with Advanced Non-Small Cell Lung Cancer. JAMA Oncol. 2018, 4, 351–357. [Google Scholar] [CrossRef] [PubMed]
- Sorich, M.J.; Rowland, A.; Karapetis, C.S.; Hopkins, A.M. Evaluation of the Lung Immune Prognostic Index for Prediction of Survival and Response in Patients Treated with Atezolizumab for NSCLC: Pooled Analysis of Clinical Trials. J. Thorac. Oncol. 2019, 14, 1440–1446. [Google Scholar] [CrossRef]
- Kazandjian, D.; Gong, Y.; Keegan, P.; Pazdur, R.; Blumenthal, G.M. Prognostic Value of the Lung Immune Prognostic Index for Patients Treated for Metastatic Non-Small Cell Lung Cancer. JAMA Oncol. 2019, 5, 1481–1485. [Google Scholar] [CrossRef]
- Sonehara, K.; Tateishi, K.; Araki, T.; Komatsu, M.; Akahane, J.; Yamamoto, H.; Hanaoka, M. Predictive Factors Correlated with the Development of Immune-Related Adverse Events in Patients with Non-Small Cell Lung Cancer Treated with Immune Checkpoint Inhibitors. Cancer Manag. Res. 2022, 14, 427–435. [Google Scholar] [CrossRef]
- Xu, H.; Feng, H.; Zhang, W.; Wei, F.; Zhou, L.; Liu, L.; Zhao, Y.; Lv, Y.; Shi, X.; Zhang, J.; et al. Prediction of immune-related adverse events in non-small cell lung cancer patients treated with immune checkpoint inhibitors based on clinical and hematological markers: Real-world evidence. Exp. Cell Res. 2022, 416, 113157. [Google Scholar] [CrossRef]
- Pierro, M.; Baldini, C.; Auclin, E.; Vincent, H.; Varga, A.; Martin Romano, P.; Vuagnat, P.; Besse, B.; Planchard, D.; Hollebecque, A.; et al. Predicting Immunotherapy Outcomes in Older Patients with Solid Tumors Using the LIPI Score. Cancers 2022, 14, 5078. [Google Scholar] [CrossRef]
- Shaul, M.E.; Fridlender, Z.G. Tumour-associated neutrophils in patients with cancer. Nat. Rev. Clin. Oncol. 2019, 16, 601–620. [Google Scholar] [CrossRef]
- Faget, J.; Peters, S.; Quantin, X.; Meylan, E.; Bonnefoy, N. Neutrophils in the era of immune checkpoint blockade. J. Immunother. Cancer. 2021, 9, e002242. [Google Scholar] [CrossRef] [PubMed]
- Tjokrowidjaja, A.; Lord, S.J.; John, T.; Lewis, C.R.; Kok, P.S.; Marschner, I.C.; Lee, C.K. Pre- and on-treatment lactate dehydrogenase as a prognostic and predictive biomarker in advanced non-small cell lung cancer. Cancer 2022, 128, 1574–1583. [Google Scholar] [CrossRef] [PubMed]
- Registri Farmaci Sottoposti a Monitoraggio. Available online: https://www.aifa.gov.it/registri-farmaci-sottoposti-a-monitoraggio (accessed on 27 December 2023).
- Adverse Drug Reaction Monitoring. Available online: https://www.aifa.gov.it/web/guest/content/segnalazioni-reazioni-avverse (accessed on 27 December 2023).
- National Cancer Institute. Common Terminology Criteria for Adverse Events v5.0. 2017. Available online: https://ctep.cancer.gov/protocolDevelopment/electronic_applications/ctc.htm#ctc_50 (accessed on 27 December 2023).
- Eisenhauer, E.A.; Therasse, P.; Bogaerts, J.; Schwartz, L.H.; Sargent, D.; Ford, R.; Dancey, J.; Arbuck, S.; Gwyther, S.; Mooney, M.; et al. New response evaluation criteria in solid tumours: Revised RECIST guideline (version 1.1). Eur. J. Cancer. 2009, 45, 228–247. [Google Scholar] [CrossRef] [PubMed]
- R Website. The R Project for Statistical Computing. Available online: https://www.r-project.org (accessed on 27 December 2023).
- Sherman, R.E.; Anderson, S.A.; Dal Pan, G.J.; Gray, G.W.; Gross, T.; Hunter, N.L.; La Vange, L.; Marinac-Dabic, D.; Marks, P.W.; Robb, M.A.; et al. Real-world evidence—What is it and what can it tell us? N. Engl. J. Med. 2016, 375, 2293–2297. [Google Scholar] [CrossRef] [PubMed]
- Corrigan-Curay, J.; Sacks, L.; Woodcock, J. Real-World Evidence and Real-World Data for Evaluating Drug Safety and Effectiveness. JAMA 2018, 320, 867–868. [Google Scholar] [CrossRef] [PubMed]
- Austin, P.C. An Introduction to Propensity Score Methods for Reducing the Effects of Confounding in Observational Studies. Multivariate Behav. Res. 2011, 46, 399–424. [Google Scholar] [CrossRef]
- Brookhart, M.A.; Schneeweiss, S.; Rothman, K.J.; Glynn, R.J.; Avorn, J.; Stürmer, T. Variable selection for propensity score models. Am. J. Epidemiol. 2006, 163, 1149–1156. [Google Scholar] [CrossRef]
- Shi, Y.; Fang, J.; Zhou, C.; Liu, A.; Wang, Y.; Meng, Q.; Ding, C.; Ai, B.; Gu, Y.; Yao, Y.; et al. Immune checkpoint inhibitor-related adverse events in lung cancer: Real-world incidence and management practices of 1905 patients in China. Thorac. Cancer. 2022, 13, 412–422. [Google Scholar] [CrossRef]
- Berti, A.; Bortolotti, R.; Dipasquale, M.; Kinspergher, S.; Prokop, L.; Grandi, G.; Inchiostro, S.; Paolazzi, G.; Caffo, O.; Veccia, A. Meta-analysis of immune-related adverse events in phase 3 clinical trials assessing immune checkpoint inhibitors for lung cancer. Crit. Rev. Oncol. Hematol. 2021, 162, 103351. [Google Scholar] [CrossRef]
- Zhang, W.; Gu, J.; Bian, C.; Huang, G. Immune-Related Adverse Events Associated With Immune Checkpoint Inhibitors for Advanced Non-small Cell Lung Cancer: A Network Meta-Analysis of Randomized Clinical Trials. Front. Pharmacol. 2021, 12, 686876. [Google Scholar] [CrossRef]
- Dora, D.; Bokhari, S.M.Z.; Aloss, K.; Takacs, P.; Desnoix, J.Z.; Szklenárik, G.; Hurley, P.D.; Lohinai, Z. Implication of the Gut Microbiome and Microbial-Derived Metabolites in Immune-Related Adverse Events: Emergence of Novel Biomarkers for Cancer Immunotherapy. Int. J. Mol. Sci. 2023, 2, 2769. [Google Scholar] [CrossRef] [PubMed]
- Ghisoni, E.; Wicky, A.; Bouchaab, H.; Imbimbo, M.; Delyon, J.; Gautron Moura, B.; Gérard, C.L.; Latifyan, S.; Özdemir, B.C.; Caikovski, M.; et al. Late-onset and long-lasting immune-related adverse events from immune checkpoint-inhibitors: An overlooked aspect in immunotherapy. Eur. J. Cancer 2021, 149, 153–164. [Google Scholar] [CrossRef] [PubMed]
- Asdourian, M.S.; Otto, T.S.; Jacoby, T.V.; Shah, N.; Thompson, L.L.; Blum, S.M.; Reynolds, K.L.; Semenov, Y.R.; Lawrence, D.P.; Sullivan, R.J.; et al. Association between serum lactate dehydrogenase and cutaneous immune-related adverse events among patients on immune checkpoint inhibitors for advanced melanoma. J. Am. Acad. Dermatol. 2022, 87, 1147–1149. [Google Scholar] [CrossRef] [PubMed]
- Pan, C.X.; Lau, W.C.; Kim, D.Y.; Lau, C.B.; Rowley, R.; Kanwar, R.; LeBoeuf, N.R.; Nambudiri, V.E. Association between baseline lactate dehydrogenase and immune-related adverse events among patients with melanoma varies by tumor stage at immune checkpoint inhibitor initiation. J. Am. Acad. Dermatol. 2023, 89, 1264–1268. [Google Scholar] [CrossRef] [PubMed]
- Berkmortel, F.W.P.J.; van den Eertwegh, A.J.M.; de Groot, J.W.B.; van der Hoeven, J.J.M.; Hospers, G.A.P.; Piersma, D.; van Rijn, R.S.; Ten Tije, A.J.; Vreugdenhil, G.; van Zeijl, M.C.T.; et al. Lower risk of severe checkpoint inhibitor toxicity in more advanced disease. ESMO Open 2020, 5, e000945. [Google Scholar]
- Peng, L.; Wang, Y.; Liu, F.; Qiu, X.; Zhang, X.; Fang, C.; Qian, X.; Li, Y. Peripheral blood markers predictive of outcome and immune-related adverse events in advanced non-small cell lung cancer treated with PD-1 inhibitors. Cancer Immunol. Immunother. 2020, 69, 1813–1822. [Google Scholar] [CrossRef] [PubMed]
- Mir, H.; Singh, S. Neutrophils: A roadblock for immunotherapy. Nat. Rev. Cancer. 2022, 22, 378–379. [Google Scholar] [CrossRef]
- Gibellini, L.; Borella, R.; Santacroce, E.; Serattini, E.; Boraldi, F.; Quaglino, D.; Aramini, B.; De Biasi, S.; Cossarizza, A. Circulating and Tumor-Associated Neutrophils in the Era of Immune Checkpoint Inhibitors: Dynamics, Phenotypes, Metabolism, and Functions. Cancers 2023, 15, 3327. [Google Scholar] [CrossRef]
- Eun, Y.; Kim, I.Y.; Sun, J.-M.; Lee, J.; Cha, H.-S.; Koh, E.-M.; Kim, H.; Lee, J. Risk Factors for Immune-Related Adverse Events Associated with Anti-PD-1 Pembrolizumab. Sci. Rep. 2019, 9, 14039. [Google Scholar] [CrossRef]
- Remon, J.; Reguart, N.; Auclin, E.; Besse, B. Immune-Related Adverse Events and Outcomes in Patients with Advanced Non-Small Cell Lung Cancer: A Predictive Marker of Efficacy? J. Thorac. Oncol. 2019, 14, 963–967. [Google Scholar] [CrossRef]
- Bomze, D.; Hasan Ali, O.; Bate, A.; Flatz, L. Association Between Immune-Related Adverse Events During Anti-PD-1 Therapy and Tumor Mutational Burden. JAMA Oncol. 2019, 5, 1633–1635. [Google Scholar] [CrossRef] [PubMed]
- Huang, L.; Han, H.; Zhou, L.; Chen, X.; Xu, Q.; Xie, J.; Zhan, P.; Chen, S.; Lv, T.; Song, Y.; et al. Evaluation of the Lung Immune Prognostic Index in Non-Small Cell Lung Cancer Patients Treated with Systemic Therapy: A Retrospective Study and Meta-Analysis. Front. Oncol. 2021, 11, 670230. [Google Scholar] [CrossRef] [PubMed]
- Xiong, A.; Xu, J.; Wang, S.; Zhong, R.; Lu, J.; Chu, T.; Zhang, W.; Li, Y.; Zheng, X.; Han, B.; et al. On-treatment lung immune prognostic index is predictive for first-line PD-1 inhibitor combined with chemotherapy in patients with non-small cell lung cancer. Front. Immunol. 2023, 14, 1173025. [Google Scholar] [CrossRef] [PubMed]
- Coate, L.E.; John, T.; Tsao, M.S.; Shepherd, F.A. Molecular predictive and prognostic markers in non-small-cell lung cancer. Lancet Oncol. 2009, 10, 1001–1010. [Google Scholar] [CrossRef] [PubMed]
- Yin, J.; Song, Y.; Tang, J.; Zhang, B. What is the optimal duration of immune checkpoint inhibitors in malignant tumors? Front. Immunol. 2022, 13, 983581. [Google Scholar] [CrossRef]
- Yadav, K.; Lewis, R.J. Immortal Time Bias in Observational Studies. JAMA 2021, 325, 686–687. [Google Scholar] [CrossRef]
- Ramos-Casals, M.; Brahmer, J.R.; Callahan, M.K.; Flores-Chávez, A.; Keegan, N.; Khamashta, M.A.; Lambotte, O.; Mariette, X.; Prat, A.; Suárez-Almazor, M.E. Immune-related adverse events of checkpoint inhibitors. Nat. Rev. Dis. Primers. 2020, 6, 38. [Google Scholar] [CrossRef]



| irAE Typology | All Grades, No. of Patients (%) | Grade 1–2, No. of Patients (%) | Grade 3–4, No. of Patients (%) | Median Time to Onset, Weeks (IQR) |
|---|---|---|---|---|
| Dermatologic | 30 (12.0%) | 27 (10.8%) | 3 (1.2%) | 7.4 (2.9–16.8) |
| Thyroid dysfunction | ||||
| 24 (9.6%) | 23 (9.2%) | 1 (0.4%) | 10.9 (6.3–20.2) |
| 5 (2.0%) | 3 (1.2%) | 2 (0.8%) | 7.9 (6.2–9.4) |
| Colitis | 18 (7.2%) | 13 (5.2%) | 5 (2.0%) | 6.4 (2.5–26.9) |
| Pneumonitis | 17 (6.8%) | 11 (4.4%) | 6 (2.4%) | 13.8 (5.8–19.8) |
| Hepatitis | 13 (5.2%) | 8 (3.2%) | 5 (2.0%) | 5.8 (2.1–18.1) |
| Arthritis | 13 (5.2%) | 8 (3.2%) | 5 (2.0%) | 39.6 (9.2–50.1) |
| Pancreatitis | 12 (4.8%) | 9 (3.6%) | 3 (1.2%) | 12.7 (4.6–21.4) |
| Myositis | 6 (2.4%) | 4 (1.6%) | 2 (0.8%) | 12.7 (5.9–22.6) |
| Nephritis | 5 (2.0%) | 3 (1.2%) | 2 (0.8%) | 11.9 (3.4–20.3 |
| Diabetes | 3 (1.2%) | 3 (1.2%) | - | 11.8 (5.2–18.3) |
| Hypophysitis | 3 (1.2%) | 2 (0.8%) | 1 (0.4%) | 19.9 (6.6–33.6) |
| Vasculitis | 3 (1.2%) | 2 (0.8%) | 1 (0.4%) | 4.1 (3.2–5.9) |
| Adrenal dysfunction | 2 (0.8%) | 2 (0.8%) | - | 10.3 (8.6–29.1) |
| Peripheral sensory neuropathy | 2 (0.8%) | 1 (0.4%) | 1 (0.4%) | 5.4 (2.5–29.3) |
| Uveitis | 2 (0.8%) | 1 (0.4%) | 1 (0.4%) | 9.5 (7.2–38.2) |
| Myocarditis | 2 (0.8%) | 1 (0.4%) | 1 (0.4%) | 4.8 (4.1–11.3) |
| Covariate | Univariate Analysis | Multivariate Analysis | Univariate Analysis | Multivariate Analysis | Univariate Analysis | Multivariate Analysis | ||||||
|---|---|---|---|---|---|---|---|---|---|---|---|---|
| Any Grade irAEs | p Value | OR (95% CI) | p Value | Grade 1–2 irAEs | p Value | OR (95% CI) | p Value | Grade 3–4 irAEs | p Value | OR (95% CI) | p Value | |
| Age | 0.458 | - | - | 0.164 | - | - | 0.331 | - | - | |||
| 67 (60.9%) | 48 (46.3%) | 20 (18.2%) | |||||||||
| 91 (65.5%) | 73 (52.5%) | 19 (48.7%) | |||||||||
| Sex | 0.075 | - | - | 0.014 | 0.025 | 0.121 | - | - | ||||
| 42 (55.3%) | 28 (36.8%) | 1.00 | 16 (21.1%) | ||||||||
| 116 (67.0%) | 93 (53.8%) | 1.96 (1.09–3.54) | 23 (13.3%) | ||||||||
| ECOG PS | 0.306 | - | - | 0.370 | - | 0.767 | - | - | ||||
| 130 (65.0%) | 100 (50.0%) | 32 (16.0%) | |||||||||
| 28 (57.1%) | 21 (42.8%) | 7 (14.3%) | |||||||||
| Histologic subtype | 0.054 | - | - | 0.087 | - | 0.430 | - | - | ||||
| 111 (60.0%) | 84 (45.4%) | 27 (14.6%) | |||||||||
| 47 (73.4%) | 37 (57.8%) | 12 (18.8%) | |||||||||
| Number of metastatic sites | 0.496 | - | - | 0.664 | - | - | 0.970 | - | - | |||
| 80 (65.6%) | 61 (49.2%) | 19 (15.6%) | |||||||||
| 78 (61.4%) | 60 (47.2%) | 20 (15.7%) | |||||||||
| Bone metastases | 0.818 | - | - | 0.199 | - | - | 0.393 | - | - | |||
| 115 (63.9%) | 92 (51.1%) | 26 (14.4%) | |||||||||
| 43 (62.3%) | 29 (42.0%) | 13 (18.8%) | |||||||||
| Brain metastases | 0.745 | - | - | 0.933 | - | - | 0.003 | 0.006 | ||||
| 124 (62.9%) | 96 (48.7%) | 24 (12.2%) | 1.00 | ||||||||
| 34 (65.4%) | 25 (48.1%) | 15 (28.8%) | 3.02 (1.36–6.68) | ||||||||
| Liver metastases | 0.353 | - | - | 0.131 | - | - | 0.939 | - | - | |||
| 136 (62.4%) | 102 (46.8%) | 34 (15.6%) | |||||||||
| 22 (71.0%) | 198 (61.3%) | 5 (16.1%) | |||||||||
| PD-L1 TPS | 0.014 | 0.289 | - | - | 0.265 | - | - | |||||
| < 1% (N = 131) | 86 (65.6%) | 1.00 | - | 69 (52.7%) | 22 (16.8%) | |||||||
| ≥1% and ≤49% (N = 77) | 54 (70.1%) | 1.15 (0.60–2.20) | 0.669 | 36 (46.7%) | 14 (18.2%) | |||||||
| ≥50% (N = 41) | 18 (43.9%) | 0.41 (0.17–0.96) | 0.041 | 16 (39.0%) | 3 (7.3%) | |||||||
| BMI (kg/m2) | 0.237 | - | - | 0.290 | - | - | 0.357 | - | - | |||
| 78 (60.0%) | 59 (45.4%) | 23 (17.7%) | |||||||||
| 80 (67.2%) | 62 (52.1%) | 16 (13.4%) | |||||||||
| Smoking habits | 0.042 | - | 0.171 | 0.315 | - | - | 0.708 | - | - | |||
| 14 (46.7%) | 1.00 | 12 (40.0%) | 4 (13.3%) | ||||||||
| 144 (65.7%) | 1.81 (0.77–4.24) | 109 (49.8%) | 35 (20.0%) | ||||||||
| Previous thoracic RT | <0.001 | - | 0.998 | 0.006 | 0.006 | 0.015 | 0.161 | |||||
| 129 (58.6%) | 1.00 | 100 (45.5%) | 1.00 | 30 (13.6%) | 1.00 | ||||||
| 29 (100%) | NA | 21 (72.4%) | 3.43 (1.41–8.36) | 9 (31.0%) | 1.79 (0.76–5.02) | ||||||
| Autoimmune disease | 0.060 | - | - | 0.085 | - | - | 0.019 | 0.080 | ||||
| 152 (62.5%) | 116 (47.7%) | 36 (14.8%) | 1.00 | ||||||||
| 6 (100%) | 5 (83.3%) | 3 (50.0%) | 4.61 (0.83–25.60) | ||||||||
| Corticosteroids a (N = 110) | 61 (55.5%) | 0.020 | 0.67 (0.37–1.20) | 0.186 | 50 (45.5%) | 0.378 | - | - | 10 (9.1%) | 0.011 | 0.32 (0.13–0.74) | 0.008 |
| APAP (N = 89) b | 52 (58.4%) | 0.219 | - | - | 44 (49.4%) | 0.843 | - | - | 12 (13.5%) | 0.480 | - | - |
| Systemic antibiotics (N = 54) c | 29 (53.7%) | 0.093 | - | - | 21 (38.9%) | 0.107 | - | - | 9 (16.7%) | 0.819 | - | - |
| PPI (N = 92) | 63 (68.5%) | 0.208 | - | - | 51 (55.4%) | 0.098 | - | - | 12 (13.0%) | 0.384 | - | - |
| Statins (N = 86) | 54 (62.8%) | 0.875 | - | - | 38 (44.2%) | 0.312 | - | - | 19 (22.1%) | 0.043 | 2.36 (1.11–5.03) | 0.026 |
| Fibrates (N = 42) | 21 (50.0%) | 0.047 | 0.78 (0.36–1.67) | 0.523 | 17 (40.5%) | 0.248 | - | - | 7 (16.7%) | 0.844 | - | - |
| NSAIDs or ASA (N = 54) | 40 (74.1%) | 0.067 | - | - | 30 (55.6%) | 0.247 | - | - | 8 (14.8%) | 0.846 | - | - |
| Beta-blockers (N = 60) | 30 (50.0%) | 0.013 | 0.56 (0.29–1.11) | 0.098 | 19 (31.7%) | 0.003 | 0.40 (0.20–0.77) | 0.007 | 6 (10.0%) | 0.166 | - | - |
| ACEi or ARBs (N = 81) | 53 (65.4%) | 0.653 | - | - | 42 (51.9%) | 0.475 | - | - | 9 (11.1%) | 0.170 | - | - |
| Metformin (N = 72) | 45 (62.5%) | 0.842 | - | - | 32 (44.4%) | 0.403 | - | - | 12 (16.7%) | 0.781 | - | - |
| Oral or transdermal opioids (N = 106) | 69 (65.1%) | 0.643 | - | - | 53 (50.0%) | 0.702 | - | - | 17 (16.0%) | 0.888 | - | - |
| Treatment setting | 0.074 | - | - | 0.064 | - | - | 0.740 | - | - | |||
| 70 (57.8%) | 51 (42.1%) | 18 (14.9%) | |||||||||
| 88 (68.7%) | 70 (54.7%) | 21 (16.4%) | |||||||||
| Treatment type | 0.257 | - | - | 0.984 | - | - | 0.081 | - | - | |||
| 102 (60.7%) | 81 (48.2%) | 22 (13.1%) | |||||||||
| 48 (71.6%) | 33 (49.2%) | 16 (23.9%) | |||||||||
| 8 (57.1%) | 7 (50.0%) | 1 (7.1%) | |||||||||
| ICI | 0.022 | 0.004 | 0.787 | - | - | |||||||
| 58 (73.4%) | 1.00 | - | 48 (60.7%) | 1.00 | - | 14 (17.7%) | |||||
| 91 (57.2%) | 0.62 (0.31–1.22) | 0.169 | 65 (40.9%) | 0.46 (0.26–0.83) | 0.010 | 23 (14.4%) | |||||
| 9 (81.8%) | 0.51 (0.33–8.91) | 0.512 | 8 (72.7%) | 1.98 (0.45–8.58) | 0.358 | 2 (18.2%) | |||||
| Basal LDH level | 0.051 | - | - | 0.443 | - | - | 0.185 | - | - | |||
| 98 (69.0%) | 72 (50.7%) | 26 (18.3%) | |||||||||
| 60 (56.1%) | 49 (45.8%) | 13 (12.1%) | |||||||||
| Basal dNLR value | 0.409 | - | - | 0.799 | - | - | 0.135 | - | - | |||
| 71 (66.3%) | 51 (47.7%) | 21 (19.6%) | |||||||||
| 87 (61.2%) | 70 (49.3%) | 18 (12.7%) | |||||||||
| Basal LIPI score | 0.059 | - | - | 0.894 | - | - | 0.177 | - | - | |||
| 61(73.5%) | 42 (50.6%) | 18 (21.7%) | |||||||||
| 47 (56.6%) | 39 (47.0%) | 11 (13.2%) | |||||||||
| 50 (60.2%) | 40 (48.2%) | 10 (12.0%) | |||||||||
| On-treatment LDH level | 0.067 | - | - | 0.597 | - | - | 0.069 | - | - | |||
| 100 (68.5%) | 73 (50.0%) | 28 (19.2%) | |||||||||
| 58 (56.3%) | 48 (46.6%) | 11 (10.7%) | |||||||||
| On-treatment dNLR value | 0.002 | 0.932 | 0.331 | - | - | 0.001 | 0.144 | |||||
| 94 (72.3%) | 1.00 | 67 (51.5%) | 30 (23.1%) | 1.00 | |||||||
| 64 (53.8%) | 1.04 (0.37–2.89) | 54 (45.4%) | 9 (7.6%) | 0.36 (0.09–1.41) | |||||||
| On-treatment LIPI score | 0.001 | 0.028 | 0.016 | |||||||||
| 79 (76.7%) | 1.00 | - | 58 (56.3%) | 1.00 | - | 23 (22.3%) | 1.00 | - | |||
| 36 (51.4%) | 0.33 (0.13–0.85) | 0.023 | 25 (35.7%) | 0.47 (0.25–0.88) | 0.020 | 11 (15.7%) | 0.31 (0.11–0.90) | 0.031 | |||
| 43 (56.5%) | 0.47 (0.14–1.58) | 0.226 | 38 (50.0%) | 0.90 (0.49–1.68) | 0.761 | 5 (6.5%) | 0.43 (0.42–1.62) | 0.432 | |||
| On-treatment LIPI change | 0.001 | 0.012 | 0.074 | - | - | 0.001 | 0.023 | |||||
| 133 (59.9%) | 1.00 | 103 (46.4%) | 29 (13.0%) | 1.00 | |||||||
| 25 (92.6%) | 7.03 (1.54–32.03) | 18 (66.7%) | 10 (37.0%) | 2.84 (1.15–7.02) | |||||||
| Covariate | First-Line Therapy Population | Second-Line Therapy Population | ||||||
|---|---|---|---|---|---|---|---|---|
| Median PFS (95% CI), Months | p Value | Median OS (95% CI), Months | p Value | Median PFS (95% CI), Months | p Value | Median OS (95% CI), Months | p Value | |
| Basal LIPI score | <0.001 | <0.001 | <0.001 | <0.001 | ||||
| 13.0 (11.9–14.1) | 19.9 (17.3–22.6) | 19.4 (13.9–24.8) | 25.3 (16.6–33.9) | ||||
| 7.0 (5.5–8.4) | 11.5 (10.4–12.6) | 4.5 (3.5–5.5) | 5.6 (3.8–7.5) | ||||
| 2.4 (1.8–2.9) | 3.9 (3.3–4.5) | 2.3 (1.9–2.6) | 2.5 (2.1–3.0) | ||||
| On-treatment LIPI score | <0.001 | <0.001 | <0.001 | <0.001 | ||||
| 12.5 (9.9–15.0) | 18.5 (15.5–21.4) | 17.8 (13.6–22.0) | 21.6 (15.4–27.8) | ||||
| 6.2 (3.7–8.6) | 11.0 (5.6–16.3 | 4.2 (3.3–5.0) | 5.2 (4.2–6.2) | ||||
| 2.3 (1.5–3.0) | 3.4 (2.5–4.2) | 2.2 (1.9–2.4) | 2.4 (2.0–2.9) | ||||
| Covariate | First-Line Therapy Population | Second-Line Therapy Population | ||||||
|---|---|---|---|---|---|---|---|---|
| Progression-Free Survival | Overall Survival | Progression-Free Survival | Overall Survival | |||||
| HR (95% CI) | p Value | HR (95% CI) | p Value | HR (95% CI) | p Value | HR (95% CI) | p Value | |
| Age | 0.770 | 0.763 | 0.885 | 0.404 | ||||
| 1.00 | 1.00 | 1.00 | 1.00 | ||||
| 0.928 (0.56–1.56) | 0.92 (0.56–1.52) | 1.07 (0.63–1.68) | 0.81 (0.51–1.31) | ||||
| Sex | 0.475 | 0.399 | 0.187 | 0.296 | ||||
| 1.00 | 1.00 | 1.00 | 1.00 | ||||
| 0.824 (0.48–1.40) | 0.78 (0.45–1.37) | 0.72 (0.45–1.16) | 0.77 (0.47–1.25) | ||||
| ECOG PS | 0.493 | 0.856 | 0.742 | 0.484 | ||||
| 1.00 | 1.00 | 1.00 | 1.00 | ||||
| 1.24 (0.66–2.31) | 0.94 (0.49–1.80) | 1.10 (0.62–1.94) | 1.22 (0.69–2.16) | ||||
| Histologic subtype | 0.050 | 0.150 | 0.952 | 0.685 | ||||
| 1.00 | 1.00 | 1.00 | 1.00 | ||||
| 0.47 (0.22–1.00) | 0.57 (0.27–1.22) | 0.98 (0.62–1.55) | 0.91 (0.58–1.41) | ||||
| Number of metastatic sites | 0.020 | 0.001 | 0.138 | 0.080 | ||||
| 1.00 | 1.00 | 1.00 | 1.00 | ||||
| 2.08 (1.12–3.86) | 3.14 (1.61–6.11) | 1.63 (0.85–3.11) | 1.81 (0.93–3.54) | ||||
| Bone metastases | 0.714 | 0.999 | 0.856 | 0.344 | ||||
| 1.00 | 1.00 | 1.00 | 1.00 | ||||
| 0.89 (0.51–1.58) | 1.01 (0.56–1.76) | 1.05 (0.59–1.87) | 0.73 (0.39–1.38) | ||||
| Brain metastases | 0.042 | 0.002 | 0.154 | 0.734 | ||||
| 1.00 | 1.00 | 1.00 | 1.00 | ||||
| 0.53 (0.29–0.97) | 0.37 (0.20–0.68) | 1.58 (0.84–3.00) | 0.90 (0.50–1.62) | ||||
| Liver metastases | 0.238 | 0.745 | 0.304 | 0.023 | ||||
| 1.00 | 1.00 | 1.00 | 1.00 | ||||
| 1.56 (0.74–3.26) | 0.87 (0.39–1.95) | 0.70 (0.35–1.37) | 0.44 (0.22–0.89) | ||||
| PD-L1 TPS | ||||||||
| 1.00 | 0.028 | 1.00 | 0.002 | 1.00 | 0.522 | 1.00 | 0.829 |
| 1.92 (0.94–3.92) | 0.072 | 1.68 (0.82–3.45) | 0.152 | 1.17 (0.75–1.81) | 0.482 | 0.89 (0.56–1.41) | 0.624 |
| 2.17 (1.14–4.12) | 0.018 | 3.59 (1.77–7.28) | 0.001 | 0.75 (0.32–1.77) | 0.522 | 0.80 (0.33–1.92) | 0.619 |
| BMI (kg/m2) | 0.547 | 0.651 | 0.815 | 0.209 | ||||
| 1.00 | 1.00 | 1.00 | 1.00 | ||||
| 1.16 (0.70–1.93) | 0.88 (0.51–1.50) | 1.05 (0.68–1.62) | 0.75 (0.48–1.17) | ||||
| Corticosteroids a | 0.012 | 0.001 | 0.010 | 0.046 | ||||
| 1.00 | 1.00 | 1.00 | 1.00 | ||||
| 1.89 (1.14–3.12) | 2.53 (1.49–4.28) | 1.77 (1.14–2.74) | 1.56 (1.01–2.39) | ||||
| APAP b | 0.010 | 0.197 | 0.786 | 0.743 | ||||
| 1.00 | 1.00 | 1.00 | 1.00 | ||||
| 2.24 (1.21–4.13) | 1.52 (0.80–2.87) | 1.06 (0.96–1.62) | 1.07 (0.69–1.67) | ||||
| Basal LIPI score | ||||||||
| 1.00 | <0.001 | 1.00 | <0.001 | 1.00 | 0.012 | 1.00 | 0.001 |
| 4.22 (1.73–>10) | 0.001 | >10 (5.1–>10) | 0.001 | 5.08 (1.74–>10) | 0.003 | 7.36 (2.57–>10) | <0.001 |
| 19.95 (4.00–>10) | <0.001 | >100 (NA) | <0.001 | 5.36 (1.08–>10) | 0.041 | >10 (2.31–>10) | 0.005 |
| On-treatment LIPI score | ||||||||
| 1.00 | 0.514 | 1.00 | 0.002 | 1.00 | 0.446 | 1.00 | 0.041 |
| 1.63 (0.68–3.87) | 0.268 | 3.24 (1.14–9.18) | 0.027 | 1.61 (0.63–4.10) | 0.313 | 3.03 (1.05–8.69) | 0.039 |
| 1.98 (0.44–8.79) | 0.369 | 4.12 (1.02–>10) | 0.049 | 3.05 (0.48–>10) | 0.237 | 5.64 (1.02–>10) | 0.048 |
Disclaimer/Publisher’s Note: The statements, opinions and data contained in all publications are solely those of the individual author(s) and contributor(s) and not of MDPI and/or the editor(s). MDPI and/or the editor(s) disclaim responsibility for any injury to people or property resulting from any ideas, methods, instructions or products referred to in the content. |
© 2024 by the authors. Licensee MDPI, Basel, Switzerland. This article is an open access article distributed under the terms and conditions of the Creative Commons Attribution (CC BY) license (https://creativecommons.org/licenses/by/4.0/).
Share and Cite
Nelli, F.; Fabbri, A.; Virtuoso, A.; Giannarelli, D.; Giron Berrios, J.R.; Marrucci, E.; Fiore, C.; Ruggeri, E.M. Early Changes in LIPI Score Predict Immune-Related Adverse Events: A Propensity Score Matched Analysis in Advanced Non-Small Cell Lung Cancer Patients on Immune Checkpoint Blockade. Cancers 2024, 16, 453. https://doi.org/10.3390/cancers16020453
Nelli F, Fabbri A, Virtuoso A, Giannarelli D, Giron Berrios JR, Marrucci E, Fiore C, Ruggeri EM. Early Changes in LIPI Score Predict Immune-Related Adverse Events: A Propensity Score Matched Analysis in Advanced Non-Small Cell Lung Cancer Patients on Immune Checkpoint Blockade. Cancers. 2024; 16(2):453. https://doi.org/10.3390/cancers16020453
Chicago/Turabian StyleNelli, Fabrizio, Agnese Fabbri, Antonella Virtuoso, Diana Giannarelli, Julio Rodrigo Giron Berrios, Eleonora Marrucci, Cristina Fiore, and Enzo Maria Ruggeri. 2024. "Early Changes in LIPI Score Predict Immune-Related Adverse Events: A Propensity Score Matched Analysis in Advanced Non-Small Cell Lung Cancer Patients on Immune Checkpoint Blockade" Cancers 16, no. 2: 453. https://doi.org/10.3390/cancers16020453
APA StyleNelli, F., Fabbri, A., Virtuoso, A., Giannarelli, D., Giron Berrios, J. R., Marrucci, E., Fiore, C., & Ruggeri, E. M. (2024). Early Changes in LIPI Score Predict Immune-Related Adverse Events: A Propensity Score Matched Analysis in Advanced Non-Small Cell Lung Cancer Patients on Immune Checkpoint Blockade. Cancers, 16(2), 453. https://doi.org/10.3390/cancers16020453

