Abstract
Methane, the main component of natural gas, is one of the primary sources of energy extensively employed worldwide. However, the utilization of natural gas is limited by reserves and geographical availability. Thus, a thermochemical method of converting biomass to methane is appealing, especially gasification. Important factors affecting methane production are discussed in the review including operating parameters, catalysts of methanation and gas conditioning effects. Low temperature and high pressure are beneficial to promote methanation reaction. Ni-based catalysts are widely used as methanation catalysts, but suffer from deactivation problems due to carbon deposition, sintering and poisoning. The methods of gas conditioning include using water gas shift reaction and adding hydrogen from electrolysis. In addition, environmental and economic views are discussed. Other thermochemical process including hydrothermal gasification, fast pyrolysis and direct methanation at low temperature are also introduced briefly. Based on the above discussion, potential research directions for optimizing methane production are proposed.
1. Introduction
Natural gas is among the primary sources of energy extensively employed worldwide. The utilizations of fuel and chemical productions have predominantly relied on natural gas in numerous nations. However, as a fossil fuel, not only is its use restricted by reserves and geographical availability, but also the price is highly susceptible to international circumstances. Therefore, the development of synthetic natural gas (SNG) as a substitute for natural gas is crucial.
Methane serves as the primary component of natural gas and SNG, so the increase in methane concentration is the key to producing SNG. Presently, coal is the primary raw material used for SNG production [1]. Due to its relatively abundant reserves compared to natural gas, coal could meet the energy needs [2]. However, the exploitation and the consumption of coal resulted in serious environmental pollution and massive emission of greenhouse gases such as carbon dioxide, which is opposite to achieving carbon neutrality. With the global focus on environmental concerns, methane production from environmentally-friendly biomass sources has become more attractive.
Biomass is defined as biological organics synthesized through photosynthesis, including plants, animals, microorganisms and their associated waste. As a renewable carbon source, biomass possesses the advantages of low price, abundant reserves and minimal pollution. Methane production from biomass could significantly reduce greenhouse gas emissions [3]. According to a life cycle assessment by Pucker et al. [4], greenhouse gas emissions from forest residues via air-steam indirect gasification technology are 80% lower than those of natural gas and 29% lower than those of burning wood chips. Additionally, compared to hydrogen, the other gaseous fuel from biomass, methane, does not migrate through the metal lattice of most materials in gas transportation pipeline, allowing it to use existing natural gas infrastructure and replace natural gas. As a result, the cost of transportation and distribution of methane is cheaper than that of hydrogen [5,6]. Moreover, high energy efficiency could also be obtained from conversion of biomass to methane. Feng et al. [7] reported that the energy efficiency of Bio-SNG production process using interconnected fluidized beds (IFB) and fluidized bed methanation (FBMR) technology was more than 64%, which was higher than that of hydrogen and diesel production from biomass.
Methane production from biomass can be achieved through biochemical and thermochemical conversion. Anaerobic digestion represents the main method of biochemical conversion, which results in biogas. The technology of anaerobic digestion is more established compared to thermochemical conversion, resulting in lower production costs [8,9]. However, biochemical conversion could not completely convert biomass to methane, resulting in low energy efficiency between 25% and 35%. The long retention time (days, weeks or even months) also occurs in biochemical processes. Based on above reasons, a method of thermochemical conversion with high efficiency and short retention time is attractive [7,10,11].
Gasification is the prime route of methane production by thermochemical conversion from biomass. For the gasification route rather than the gasification reaction stage, this paper will focus on the gas conditioning and methanation stage, which plays key roles in increasing methane concentrations. This review will describe the methanation reaction, catalysts, the reasons and methods of gas conditioning, and summarize environmental and economic assessments. Finally, hydrothermal gasification, fast pyrolysis and direct methanation at low temperature will also be exposited briefly. On the basis of understanding these factors, we will try to discuss further research directions for enhancing methane production through thermochemical conversion of biomass.
2. The Route of Gasification for SNG Production and Its Methanation Reaction
Figure 1 shows the process chain of SNG production through biomass gasification. Firstly, the syngas is produced from biomass via gasification, which includes H2, CO, CO2, water, methane, tar and other impurities such as sulfur and chlorine. Biomass gasification is influenced by process parameters including reactor, gasification agent, temperature, pressure, etc. Then, the syngas needs to be cleaned to remove tar and impurities [2,12]. Gas conditioning stage is described in Section 3. The route is a common framework, and some of the more complex processes can be grouped into it. Similar gasification route has been applied in some demonstration projects, such as 1-MW Bio-SNG demonstration plant in Güssing (Austria) [13] and 12 MW Bio-SNG demonstration in the Netherlands [14].
Figure 1.
The process chain of SNG production through biomass gasification [1,2,6].
The methanation stage involves two main reactions: CO methanation (Equation (1)) and CO2 methanation (Equation (2)). The CO2 methanation (Equation (2)) is a linear combination of CO methanation (Equation (1)) and reverse water gas shift reaction (Equation (3)) [15,16,17]. Both Equations (1) and (2) are characterized by the release of heat and a significant volume contraction of the reacting gases. Gas volume contraction is stronger for CO methanation (50% volume reduction) than that for CO2 methanation (40% volume reduction). From the thermodynamic point of view, methanation is promoted at low temperatures and high pressures. Figure 2 and Figure 3 show the influence of temperature and pressure on CO methanation and CO2 methanation, respectively, and the results are consistent with the thermodynamic judgment. In addition, catalysts designed for methanation are generally active for both reactions [17].
CO + 3H2 → CH4 + H2O ΔH298K = −206 kJ/mol,
CO2 + 4H2 → CH4 + 2H2O ΔH298K = −164 kJ/mol,
CO2 + H2 → CO + H2O ΔH298K = 41 kJ/mol.
Figure 2.
Effects of pressure and temperature on CO conversion (a), CH4 selectivity (b) CH4 yield (c), and carbon yield (d). Reprinted from [18].
Figure 3.
Effects of pressure and temperature on CO2 methanation: (a) CO2 conversion, (b) CH4 selectivity, and (c) CH4 yield. Reprinted from [18].
However, when CO methanation is active, the conversion of CO2 is limited because the adsorption capacity of CO on the catalyst surface is stronger than that of CO2. The CO2 methanation only becomes active with the low content of carbon monoxide [18,19]. Therefore, the CO methanation is the main reaction of producing methane from biomass. However, it has also been suggested that the methanation rate of CO and CO2 in the co-methanation process is still higher than those of the individual reactions in spite of the preferential reaction of CO in the co-methanation process [20].
During the process of methanation, unwanted side reactions can also occur. Coke is one of the reasons for catalyst deactivation, which is mainly formed due to the Boudouard reaction (Equation (4)). At high temperature (500–800 °C), methane decomposition may lead to carbon deposition (Equation (5)). After that, the generated carbon can react with hydrogen and water to form gaseous compounds again (Equations (6) and (7)). Besides carbon monoxide and carbon dioxide, other hydrocarbons such as methane, ethylene, ethane, acetylene, benzene, naphthalene, toluene may be present in syngas. For example, the ethylene reactions could occur including Equations (8)–(10) [1,6,21,22].
2CO → C(s) + CO2 ΔH298K = −172 kJ/mol,
CH4 → 2H2 + C(s) ΔH298K = 75 kJ/mol,
C + 2H2 → CH4 ΔH298K = −74.8 kJ/mol,
C(s) + 2H2O → CO + H2 ΔH298K = 134 kJ/mol,
C2H4 + 2H2 → 2CH4 ΔH298K = −202 kJ/mol,
C2H4 + 2H2O → 2CO + 4H2 ΔH298K = 289 kJ/mol,
C2H4 + 2CO2 → 4 CO + 2 H2 ΔH298K = 292 kJ/mol.
Finally, all impurities such as water and carbon dioxide are removed in the gas upgrading stage to meet the quality specifications of the gas grid or fuel [2,6]. Water is removed by gas cooling and subsequent condensation. Carbon dioxide can be removed through many methods including physical adsorption, pressure swing adsorption and membrane separation [6,23].
3. Methanation Catalysts
Catalysts are usually added to promote methanation. Methanation catalysts typically consist of active metal particles dispersed on a metal oxide carrier. Many transition metals such as Ni, Co, Fe as well as noble metals such as Pt, Ru, Rh are used as active catalysts in methanation reactions [17]. Nowadays, the commercial catalyst for methanation is mainly based on Ni due to the best methanation activity per unit cost [24]. Some noble metals such as Ru have higher activity [25], but the price limits the application. Jaffar et al. [22] investigated the optimization of different operating parameters and different catalysts for methane production in a two-stage pyrolysis-catalytic hydrogenation reactor. The rank of decline in methane production is Ni > Co > Mo > Fe. Higher calcination temperatures for Ni/Al2O3 catalyst preparation reduced the methane yield, which was explained by lower catalyst surface area and increased sintering of Ni metal crystals at higher temperatures. When the catalyst loading is added from 5 wt% to 10 wt%, the methane yield increases. However, the yield decreases with further increase in metal loading to 15%. According to SEM-EDXS and XRD, the increase in metal loading leads to sintering of Ni particles and non-uniform distribution of metal Ni, which results in a decrease in catalytic activity. The optimized process results in the highest methane yield of 7.4 mmol/g biomass and 75.5 vol% of methane in the output gas mixture.
Ni-based catalysts may be deactivated due to carbon deposition, sintering and sulfur poisoning. Among them, carbon deposition is the primary challenge. When methane is present as the only hydrocarbon, no surface carbon is formed at low temperature [26]. The main source of carbon deposition is carbon monoxide and higher hydrocarbons such as tar [18,26]. Pyrolytic, encapsulating and whisker carbon are three formations of carbon deposition. Figure 4 shows the electron microscopy images of three formations. The pyrolytic carbon is formed from high hydrocarbons at high temperatures, which mainly cover on the reactor tube and is not related to catalyst deactivation. The encapsulating carbon is composed of a CHx film or several layers of graphite covered with nickel particle, which would encapsulate the active site directly leading to deactivation. The whisker carbon has low adhesion to the catalyst surface and a loose structure that does not hamper diffusion of reactant gases to the catalyst surface, so the carbon formation has little effect on the methanation activity. However, the accumulation of whisker carbon could block reactors [26,27,28].
Figure 4.
Electron microscopy images (Philips CM200 FEG TEM) of pyrolytic carbon on a MgAl2O4 carrier (A), encapsulating carbon (B), and whisker carbon (C) on Ni/MgAl2O4 reforming catalysts. Reprinted from [27].
Sintering is a process of small particles growing in size from heterogeneous catalysts. This growth reduces the surface area of Ni, resulting in decreased catalytic activity and a diminished ability to withstand coke and sulfur. Sulfur poisoning is associated with sulfur-containing components in synthesis gas such as H2S. The sulfur atom from H2S is strongly adsorbed on the nickel surface, which blocks the active site as well as accelerates the sintering and oxidation of Ni0 particles. A sulfur-poisoned nickel catalyst has essentially no activity below 700 °C [17,27,29].
The selection of a suitable preparation method and support can enhance the activity and resistance to deactivation of the catalyst. Xing et al. [30] investigated the methanation of biomass gasification syngas over Ni/Al2O3 catalysts prepared by dipping method (DIP-Ni/Al2O3) and sol–gel method (SG-Ni/Al2O3) with cordierite honeycomb ceramics as the substrate. The methanation performance of DIP-Ni/Al2O3 was better than that of SG-Ni/Al2O3. In addition, DIP-Ni/Al2O3 had better resistance to carbon deposition and sintering. Under the optimum operating conditions, the CO conversion and methane selectivity of DIP-Ni/Al2O3 were 98.6% and 90.9%, respectively. Additionally, the methanation performance of DIP-Ni/Al2O3 is relatively stable. In the experiment WHSV range, carbon monoxide conversion rate and methane selectivity remained basically around 90%. Shinde et al. [31] reported a Ni/TiO2 catalyst synthesized by sonication for CO methanation. The catalyst synthesized by ultrasonic method had higher methanation activity and stability than the catalyst synthesized by the conventional wet impregnation method. The main reason could be partial substitution of Ni in TiO2 lattice-created oxide vacancies to promote hydrogen adsorption and spillover from nickel to support. Strong interactions of metal and support also provided high resistance to carbon.
Kamata et al. [32] reported a catalyst called Ni#mSiO2 consisting of highly dispersed Ni nanoparticles encapsulated in a mesoporous silica (mSiO2) matrix. The catalyst has a Ni loading of up to 40 wt%. Compared to traditional catalyst, the Ni#mSiO2 was stable over 500 h under clean conditions and has a higher tolerance to sintering, coking and sulfur poisoning. The key factor is the highly stable small Ni particles from the protection of the mesoporous silica matrix resulting in the high dispersion of Ni.
Adding promoters is another effective method. Ding et al. [33,34] developed a CeO2 modified Ni/Al2O3 catalyst for bio-syngas methanation. The Ni/CeO2-Al2O3 catalyst with 60% CeO2 showed excellent bio-syngas methanation performance (91.6% CO conversion and 92% methane selectivity) at low temperatures (350 °C). With the increase in concentration of CeO2, carbon deposition on the surface of Ni/Al2O3–CeO2 was inhibited. The main reason was that the combination of CeO2 and Al2O3 inhibited the entry of Ni species into the interior resulting in promoting the dispersion of nickel monoxide on the Al2O3-CeO2 surface. In addition, the CeO2 over Ni/Al2O3 promoted the separation of NiO from NiAl2O4 by enhancing the NiO-CeO2 interaction and weakening the interaction between Ni and Al2O3, which facilitated the reduction in NiO and the formation of active metal Ni.
Mg and Ru are also commonly used as promoters. Yuan et al. [29] investigated the long-term stability and sulfur resistance of Ni and NiRu catalysts over SiO2 in methanation reactions. Compared to Ru additive catalysts, the stronger adsorption of S on Ni/SiO2 catalysts leads to their rapid deactivation. NiRu/SiO2 catalyst synthesized through polyethylene glycol (PEG)-additive method operated stably for 127 h in the methanation reaction with gas containing H2S, which is longer than individual Ru and Ni catalyst and NiRu/SiO2 catalyst synthesized through PEG-free method. It could be explained by the fact that the formation of small Ni-Ru particles in the NiRu/SiO2 catalyst prepared by the PEG-additive method prevented particle sintering and reduced the deposition of carbon. In addition, the presence of Ru increased the CO-Ni0 interaction, and the S adsorption was reduced when S bound with both Ni and Ru simultaneously. Baidya et al. [35] reported methanation activity and stability of catalyst consisting of Ni, Ru and MgO. The Mg-Ni catalyst activity (93% CO conversion at 375 °C) was higher than that of pure Ni catalyst (80% CO conversion at 475 °C). The addition of Ru to the Mg-Ni catalyst did not change the CO conversion, but the methane yield was slightly increased. In the stability test, the deactivation of the Mg-Ni catalyst was significant, with CO conversion decreasing from 90% to less than 15% after 11 h. The CO conversion activity was stable with the addition of Ru and increased with increasing Ru content. After 11 h of operation on Mg-NiRu05 (0.5% Ru) catalyst and Mg-NiRu10 (1.0% Ru) catalyst, the conversion of CO is 86% and 90%, respectively. These results indicated that Mg is positive to increasing catalyst activity and Ru has an obvious effect on increasing catalyst stability.
4. Gas Conditioning
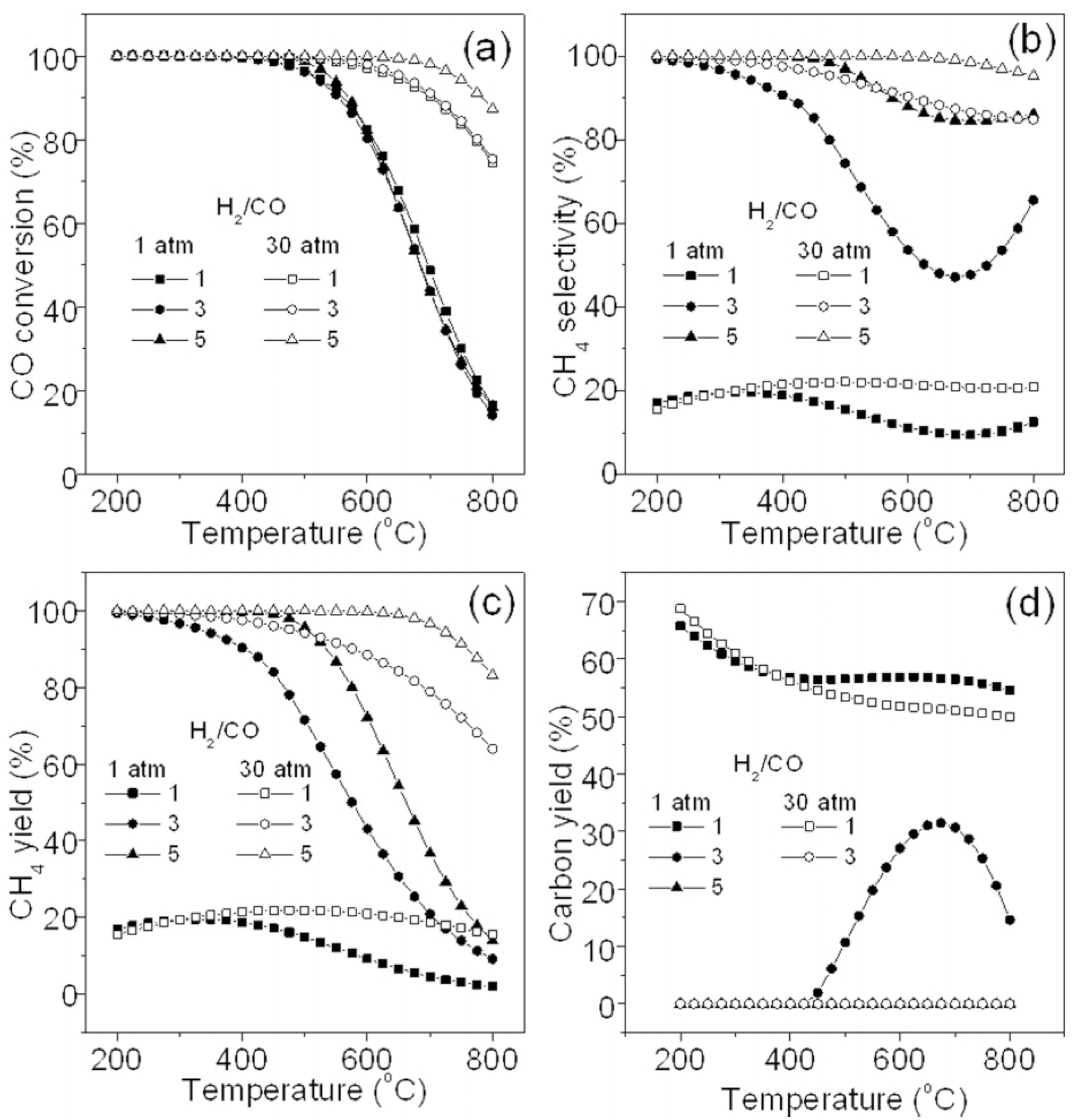
According to Equation (1), an H2/CO ratio of 3:1 is required to ensure a high CO conversion in the methanation process. As exhibited in Figure 5, increasing in the H2/CO ratio can promote the CO conversion, increase CH4 selectivity and yield, and reduce carbon deposition. Unfortunately, the H2/CO ratio of the syngas from biomass gasification is usually between 0.3 and 2. Thus, the H2/CO ratio must be increased by suitable methods during the gas conditioning stage [1,2,36].
Figure 5.
Effect of H2/CO ratio on CO conversion (a), CH4 selectivity (b), CH4 yield (c), and carbon yield (d). Reprinted from [18].
One method is based on water gas shift reaction (WGS, Equation (11)).
CO + H2O → H2 + CO2 △H298K = −42 kJ/mol.
Similar to methanation, catalysts can be used to promote WGS, such as Ni, Fe, and noble metals [37,38,39]. Especially sorption enhanced reforming (SER) is often used in the production of SNG, where solid sorbents capture carbon dioxide to promote WGS reaction. Martínez et al. [40] investigated a flexible adsorption to enhance an indirect gasification process. The CaO-based material circulated between gasifier and combustor reactors to obtain the syngas composition required for the downstream fuel synthesis process. Finally, the production efficiency was up to 62% (based on LHV) for the production of SNG with the methane content of 98%. Bartik et al. [41] compared methanation of syngas from conventional gasification with that from SER. The experiment result showed that the higher methane yields and the higher conversions of H2, CO and CO2 were obtained from SER. In addition, the SNG was allowed to be injected into the grid without CO2 separation. Besides promoting WGS reaction, the in situ adsorption of CO2 on CaO promoted the shift in methanation temperature range to high temperature region, which exceeded the thermodynamic limit to realize high methane selectivity at high temperature required for biomass pyrolysis and tar cracking, as reported by Ding et al. [42].
WGS reaction can occur in a separate unit or be integrated in gasification (biomass steam gasification) or methanation unit [43,44,45,46]. Compressing the WGS reaction and methanation into one unit performs convenient operability, ideal stability and low maintenance cost for the whole system [45]. Moreover, the addition of steam in the reaction phase can largely avoid carbon formation in methanation catalysts [18,47]. However, other researchers reported that steam could induce Ni2+-doped alumina phase, forming a certain degree of nickel crystallite agglomeration, which would accelerate the decrease in nickel surface area and the loss of active sites [48]. In the integration unit, the catalyst needs to be active in both WGS reaction and methanation reaction. Dong et al. [45] investigated the synergistic effect of Ni-M (M = Mo, Me, Co or Cr) bimetallic catalysts on the coupling of WGS and partial methanation with gas of low H2/CO ratio. The experiment result showed that Mn was more suitable than other elements for smaller carbon deposition and wider adaptability to various H2/CO and H2O/CO conditions. It could be explained by the fact that the stronger synergistic effect with Ni led to an increased proportion of reducible NiO particles, promoting the dispersion of Ni nanoparticles and enhancing the chemisorption of H2. A nearly 100 h life test and start/stop cycle test further showed that 15% Ni-3% Mn was stable for industrial applications. The result indicated that it was possible to develop a WGS reaction methanation catalyst with high catalytic activity and stability.
An alternative method is the addition of extra hydrogen. It is reported that the addition of hydrogen to the syngas from biomass gasification can double SNG production compared to the method of using the syngas alone [49]. In addition, SNG production with hydrogen derived from the electrolysis of water can accommodate a large amount of excess power and utilize intermittent renewable energy [46,49,50]. This can be called Power-to-Gas technology.
The WGS reaction is often combined with the addition of hydrogen to reduce additional introduced hydrogen. Bareschino et al. [46] proposed and researched a creative layout of methane production process to promote the integration of water electrolysis and biomass gasification. The core of this layout was the integration of experimental fluidized bed steam gasification system using spruce wood ball over Fe/Al2O3 catalyst and conceptual methanation unit. The results showed that adding steam into air as gasification agent would increase H2/CO ratio and reduce the concentration of CO2 in the product gas. This meant not only a reduced supply of H2 per unit of product produced, but also a lower amount of carbon lost from the biomass as CO2, thus improving the carbon conversion efficiency of the process.
Giglio et al. [51] performed an energy system analysis of an integrated process for the SNG from biomass. Biomass gasification, solid oxide electrolysis (SOEC) and catalytic reactor for methane synthesis were integrated into two configurations. In the first configuration (CONF1), the electrolysis unit was sized to meet the H2 content requirement for methanation. In the second configuration (CONF2), the electrolysis supplied the required oxygen to the gasifier, as well as a WGS reactor and a carbon capture/isolation unit was used to adjust the composition of the reaction gas ensuring proper stoichiometry of the methanation process. The process efficiencies of 71.7% and 66.8% for CONF1 and CONF2, respectively, were higher than those of only biomass gasification.
5. Environmental and Economic Assessment
The main method of assessing the environmental burden of methane production is life cycle assessment (LCA). Kolb et al. [3] summarized and compared 30 LCA studies on the greenhouse gas emissions of renewable gases. The result is shown in Figure 6. Generally, greenhouse gas emissions from renewable energy pathways tend to be lower than those from natural gas. Biomethane from anaerobic digestion with manure as a feedstock performed especially well in reducing emissions, which is mainly due to avoided emissions from waste management. For bio-SNG, wood as feedstocks shows low greenhouse gas emissions. A high variance was obtained from straw or waste, because different sources of electricity were used in different studies. When the power of electrolysis was sourced from wind or photovoltaic, the impact was positive for the environment. However, if electricity is sourced from coal, greenhouse gas emissions may exceed those of natural gas.
Figure 6.
Graphical comparison of the greenhouse gas (GHG) emissions of biomethane from anaerobic digestion and bio−SNG with different feedstock and Power−to−Gas with different electricity sources. The grey area indicates estimates for the CO2eq emissions of nature gas from Ref. [52]. All values refer to a time horizon of 100 years and are indicated in kg of CO2eq per MWh of SNG (resp. nature gas). EC = energy crops; SNG = Synthetic Natural Gas; PtG = Power−to−Gas. Reprinted from [3].
Skorek-Osikowska [53] compared the carbon footprint of three systems for methane production, including methanation from syngas, methanation of biogas and biogas upgrading. If biogas was obtained from manure and the emissions were avoided from conventional waste management, biogas upgrading showed the lowest greenhouse gas emissions (at around −60 g CO2 per MJ of SNG). However, without considering emissions from waste management, methanation from syngas exhibited the lowest environmental impact. Bargiacchi et al. [54] assessed different layouts for SNG production with electrolytic hydrogen in the methodology of LCA. Global Warming Potential (GWP), non-Cumulative Energy Demand (CEDnr) and Acidification Potential (AP) were used as indicators for analysis. SNG produced from biomass and renewable electricity results in lower GWP and CEDnr compared to conventional nature gas, although it has a higher AP. Based on the above studies, SNG from biomass gasification exhibits a smaller environmental burden compared to natural gas, and also performs better than biogas when environmental credits are not accounted for. Hydrogen production through clean electricity is favorable, while electricity derived from fossil fuels may have a negative impact on the environment.
Methane production projects also need to be commercially viable. Song et al. [55] reported a techno-economic assessment of SNG production from agriculture residuals in China. With assumption on price of biomass including transportation of 250 RMB/t, the unit cost of bio-SNG is equivalent to that by coal. Sensitivity analysis shows that the unit cost of bio-SNG increases linearly with increasing biomass price. Billig et al. [9] evaluated the technical and economic aspects of different biomass conversion technologies for methane. Figure 7 showed net value of different technologies on the basis of capacity range. The evaluation exhibited that the costs of biomethane from biochemical conversion and bio-SNG from thermochemical conversion are in the same range. The cost of biomethane is lower than the cost of bio-SNG; however, higher net value was obtained from thermochemical conversion when both used straw as feedstock. This may be due to the high lignin content of straw resulting in low efficiency of biochemical conversion.
Figure 7.
Biochemical conversion and thermochemical conversion net value comparison on the basis of capacity range. Reprinted from [9].
Sarić et al. [49] evaluated the business case of Power-to-Gas in methane production from biomass gasification via three future cumulative tariff curves. Solid oxide electrolyser (SOE) and Proton exchange membrane (PEM) systems were used. The results showed that the case is economically positive only if the price curve is based on a large amount of low-priced intermittent electricity. Only SOE-PG system could generate higher profits than the reference case (without Power-to-Gas), which was due to ability to switch to fuel assisted mode at high electricity prices. The projected room for investment available for a PEM electrolyser is lower because of its lower efficiency and resulting higher operating costs. In the case of large capacity of intermittent electricity, the projected room for investment of an SOE electrolyser is 650 €/kW, and for a PEM electrolyser, it is 350 €/kW. There is still a need for technological progress to reduce costs and improve profits.
6. Other Thermochemical Methods
Some other thermochemical methods are also reported to produce methane. Hydrothermal gasification has received a great deal of attention. Hydrothermal gasification can be defined as the conversion of organic matter to fuel gas in high pressure water, where the pressure is high enough to keep the water in a liquid or supercritical state. This process usually happens at temperatures near or above the critical point for pure water (Pc = 22.1 MPa, Tc = 374 °C), including aqueous phase reforming, supercritical water gasification and near-critical gasification [56,57,58]. In the gasification route, the biomass feedstock is first decomposed by gasification and then the H2/CO rich gas is synthesized into methane and carbon dioxide. Gasification occurs at high temperatures, typically 700–1000 °C [12,59,60]. Contrary to gasification configuration, the hydrothermal gasification route does not have an individual methanation unit, and the goal is converting the diluted biomass directly into methane at 300–400 °C [61,62,63]. The main idea of hydrothermal biomass gasification is based on the special properties of near-supercritical water and supercritical water as a solvent and a reaction partner. The relatively fast hydrolysis of biomass in subaqueous and supercritical water leads to rapid degradation of biomass polymer structure [58,64]. Compared with solid macromolecule, hydrolyzed biomass is allowed to contact with catalyst effectively [61].
Methane and hydrogen are both produced in hydrothermal gasification. In general, the choice of processing temperature and pressure allows the selection of the main product methane or hydrogen. Similar to methanation reaction, lower temperature and higher pressure is in favor of the production of methane according to thermodynamic principle [64,65]. Cengiz et al. [66] investigated the effect of temperature and pressure on hydrogen and methane yields during hydrothermal gasification of wood residues. The maximum hydrogen yields were 27.0 mol/kg for pine tree sawdust and 24.7 mol/kg for fir tree sawdust at reaction pressures of 20.5 MPa and 20.3 MPa as well as temperature of 600 °C. The maximum yields of methane were 11.7 mol/kg for pine tree sawdust and 11.2 mol/kg for fir tree sawdust at 600 °C and 43.0 MPa.
Supercritical gasification to produce methane exhibits high energy efficiency. Gassner et al. [67] reported the total chemical efficiency of producing SNG from wood-based materials in supercritical water is 70–77%. Ondze et al. [68] studied the energy efficiency of biomass supercritical gasification in three cases: hydrogen production, methane production, heat and electricity cogeneration. Methane production under isothermal or adiabatic conditions was the best in terms of overall energy optimization, with optimal energy efficiencies of 94% and 91%, respectively. The main reason could be that no significant phase change occurs when the system pressure is higher than 22.1 MPa and the enthalpy change is smaller than that for evaporating and superheating the water to the same temperature at a subcritical pressure [64]. Moreover, feedstocks with high water content such as microalgae and sludge can be used to avoid significant energy loss during the drying [61,67].
Catalyst in hydrothermal gasification can be classified as homogeneous and heterogeneous catalyst. Homogeneous catalysts are mainly alkali compounds, such as NaOH and Na2CO3. Similar to methanation catalyst, multiphase catalysts have been studied mainly for Ru, Ni and their compounds. Activated carbon is considered effective [63,65]. Because of the lower temperature, hydrothermal gasification to produce methane highly requires more of a multiphase catalyst with high activity to achieve complete conversion and chemical equilibrium [56]. Catalyst deactivation can also occur through sintering and sulfur poisoning in hydrothermal gasification [62,63,65]. However, unlike in methanation, little carbon deposition is observed in hydrothermal gasification [69]. Waldner et al. [57] investigated the SNG production by catalyzed hydrothermal process from wood with high feedstock concentration (10–30%) using Raney nickel as catalyst. The maximum methane yield was 0.33 g/g wood and the product gas contained 49% methane. Under supercritical condition, the remaining liquid phase was always tar-free, colorless and contained less than 2 wt% of feed carbon. Analysis of the waste catalyst shows a slight increase in carbon deposition on the surface (15 atom% for the spent catalyst and 10 atom% for the fresh catalyst). This is mainly due to the fact that the high solubility of biomass intermediates in the reaction medium. The active material from the biomass is “diluted” by the solventization in water, thus the reaction rate of polymerization into unwanted products such as tar and coke is reduced [58].
Several papers have proposed methane production via fast pyrolysis of biomass. In contrast to the gas synthesis in the gasification route, methane is formed directly in fast pyrolysis through the cracking of hydrocarbon chains. Görling et al. [70] performed an overall system analysis of a high-yield device producing methane and biochar by fast pyrolysis. The total energy efficiency of the process was estimated to be 89% (HHV) and the methane yield was 83% (HHV), which is higher than those in the gasification route. Yun et al. [71] prepared methane by pyrolysis-direct methylation over a conventional nickel calcium aluminate catalyst. Acetic acid was used as a single compound bio-oil substitute. Under optimal operating conditions, 81.9% conversion of fuel carbon to gas was achieved, with a methane yield of 15.7% of feed. The researchers also proposed a plant design for the production of high-purity methane from drippy palm empty fruit bunch by fast pyrolysis. Based on simulations of the autothermal plant, the final gas product is predicted to be 99.2% methane and 0.8% H2. In addition, the thermal efficiency of the plant is 80.6%.
Recently, a new method of converting biomass to methane directly has been proposed. Zhou et al. [72] creatively proposed an oxygen-vacancy (VO)-mediated catalytic system for direct biomass methanation. Using VO-mediated catalysis over Ru/TiO2, biomass feedstocks were oxidized by TiO2 to form carbon dioxide and VO (Equation (13), [O] represents the lattice oxygen, glycerol as a model). Then, CO2 was converted in situ to methane at the Ru site, recovering the consumed lattice oxygen and removing VO (Equation (14)). Equation (15) was the total reaction. Various biomass resources were converted to methane at 200 °C with yields of 82–99%. This method achieved direct conversion of biomass to methane below 200 °C and provided a new way of methane production.
C3H8O3 + 3[O] → 3CO2 + 4H2,
3CO2 + 9H2 → 3CH4 + 3H2O + 3[O],
C3H8O3 + 5H2 → CH4 + 3H2O.
7. Summary and Perspective
Methane is the main component of natural gas occupying an important position in the area of world energy resources. Biomass has the advantage of low price, rich reserves, environmental friendliness and renewability. Thermochemical method results in high energy efficiency and short residence time, so converting biomass to methane through the thermochemical method is potential. Table 1 lists the advantages and disadvantages of the mentioned conversion technologies in this review. The gasification route is the predominant production method by thermochemical conversion. The core stage of it includes gasification, gas conditioning and methanation. In addition, methane production is mainly regulated directly by the gas conditioning and methanation stages, with gasification mainly providing the syngas feedstock.
Table 1.
Advantages and disadvantages of biomass-to-methane technology [8,9,10,11,41,49,50,58,65,73,74].
Factors affecting the methane production via biomass gasification include operating parameters such as temperature and pressure, catalysts of methanation and gas conditioning methods. The primary reaction in the methanation stage is CO methanation. Low temperature and high pressure are beneficial to promote methanation reaction, and a catalyst is also necessary for the reaction. Currently, Ni-based catalysts are the most popular due to their high activity per unit price, but are subject to deactivation due to carbon deposition, sintering and sulfur poisoning. In terms of catalyst improvement, the researches in the future will be carried out in two main aspects. One is to study the interaction of the support and the active metal. The type and morphology will influence the stability of catalysts. The distribution of metal also plays a role. The research of the interaction of the metal and the support will help to determine the most suitable support. The other aspect is to study the functions of more active metal promoters. More work is needed to determine the specific effects and rationale for the addition of different metal promoters on the activity and stability of Ni-based catalysts (e.g., Mg improves catalytic activity, Ru improves sulfur resistance). In addition to bimetallic catalysts, catalysts containing more active metals need to be investigated. Moreover, both research ideas can be combined and future studies can focus on the complex interaction of multi-metallic catalysts with different supports.
The gas conditioning aims to enhance the H2/CO ratio, mainly by the WGS reaction or by adding hydrogen. The integration of the WGS reaction with the methanation unit still requires further research to choose suitable catalyst and understand the catalyst deactivation in both methanation and WGS reaction. Additional hydrogen can originate from intermittent renewable power generation such as wind and solar. Researches in the future will focus on ways to combine methane production and renewable energy power generation, realizing efficient utilization of electric power.
Methane from biomass gasification leads to less environmental burden compared to natural gas, but the electricity used for hydrogen production needs to be produced from clean energy. The economics of the project are closely related to the price of biomass. Power prices and electrolyzer costs also need to be focused on for Power-to-Gas technique. Currently, most projects may be difficult to make a profit. Technological advances such as the reduction in electrolyzer costs are necessary. Increased coordination with the power system can also help boost economic returns.
Finally, other thermochemical methods also have potential. Hydrogen production via hydrothermal gasification has been heavily studied, but methane has received less attention. Fast pyrolysis has rarely been used for methane production, and direct methanation of biomass at low temperatures is a new approach. These areas will need to be supplemented by substantial research in the future.
Author Contributions
Conceptualization, Y.W. (Yuke Wu) and L.W.; writing—original draft preparation, Y.W. (Yuke Wu) and X.Y.; writing—review and editing, L.W. and Y.W. (Yutong Wang); funding acquisition, L.W. All authors have read and agreed to the published version of the manuscript.
Funding
This research was funded by College Students’ innovation and entrepreneurship training program of China, grant number 202110298019Z.
Data Availability Statement
No new data were created or analyzed in this study. Data sharing is not applicable to this article.
Conflicts of Interest
The authors declare no conflict of interest.
References
- Kambolis, A.; Schildhauer, T.J.; Kröcher, O. CO Methanation for Synthetic Natural Gas Production. Chimia 2015, 69, 608. [Google Scholar] [CrossRef] [PubMed]
- Kopyscinski, J.; Schildhauer, T.J.; Biollaz, S.M.A. Production of synthetic natural gas (SNG) from coal and dry biomass—A technology review from 1950 to 2009. Fuel 2010, 89, 1763–1783. [Google Scholar] [CrossRef]
- Kolb, S.; Plankenbühler, T.; Hofmann, K.; Bergerson, J.; Karl, J. Life cycle greenhouse gas emissions of renewable gas technologies: A comparative review. Renew. Sustain. Energy Rev. 2021, 146, 111147. [Google Scholar] [CrossRef]
- Pucker, J.; Zwart, R.; Jungmeier, G. Greenhouse gas and energy analysis of substitute natural gas from biomass for space heat. Biomass Bioenergy 2012, 38, 95–101. [Google Scholar] [CrossRef]
- Walspurger, S.; Haije, W.G.; Louis, B. CO2 Reduction to Substitute Natural Gas: Toward a Global Low Carbon Energy System. Isr. J. Chem. 2014, 54, 1432–1442. [Google Scholar] [CrossRef]
- Vitasari, C.R.; Jurascik, M.; Ptasinski, K.J. Exergy analysis of biomass-to-synthetic natural gas (SNG) process via indirect gasification of various biomass feedstock. Energy 2011, 36, 3825–3837. [Google Scholar] [CrossRef]
- Feng, F.; Song, G.H.; Shen, L.H.; Xiao, J. Energy efficiency analysis of biomass-based synthetic natural gas production process using interconnected fluidized beds and fluidized bed methanation reactor. Clean Technol. Environ. Policy 2016, 18, 965–971. [Google Scholar] [CrossRef]
- Schildhauer, T.J.; Biollaz, S.M.A. Reactors for Catalytic Methanation in the Conversion of Biomass to Synthetic Natural Gas (SNG). Chimia 2015, 69, 603. [Google Scholar] [CrossRef]
- Billig, E.; Thraen, D. Renewable methane—A technology evaluation by multi-criteria decision making from a European perspective. Energy 2017, 139, 468–484. [Google Scholar] [CrossRef]
- Cantrell, K.B.; Ducey, T.; Ro, K.S.; Hunt, P.G. Livestock waste-to-bioenergy generation opportunities. Bioresour. Technol. 2008, 99, 7941–7953. [Google Scholar] [CrossRef]
- Haiduc, A.G.; Brandenberger, M.; Suquet, S.; Vogel, F.; Bernier-Latmani, R.; Ludwig, C. SunCHem: An integrated process for the hydrothermal production of methane from microalgae and CO2 mitigation. J. Appl. Phycol. 2009, 21, 529–541. [Google Scholar] [CrossRef]
- Ren, J.; Liu, Y.; Zhao, X.; Cao, J. Methanation of syngas from biomass gasification: An overview. Int. J. Hydrog. Energy 2020, 45, 4223–4243. [Google Scholar] [CrossRef]
- Rehling, B.; Hofbauer, H.; Rauch, R.; Aichernig, C. BioSNG—Process simulation and comparison with first results from a 1-MW demonstration plant. Biomass Convers. Biorefinery 2011, 1, 111–119. [Google Scholar] [CrossRef]
- The Technical Choices for the 12 MW Bio-SNG Demonstration in the Netherlands. Available online: http://www.biosng.com/fileadmin/biosng/user/documents/presentations/The_technical_choices_for_the_12_MW_Bio-Methane_demonstration.pdf (accessed on 6 April 2023).
- Rönsch, S.; Schneider, J.; Matthischke, S.; Schlüter, M.; Götz, M.; Lefebvre, J.; Prabhakaran, P.; Bajohr, S. Review on methanation—From fundamentals to current projects. Fuel 2016, 166, 276–296. [Google Scholar] [CrossRef]
- Bassano, C.; Deiana, P.; Lietti, L.; Visconti, C.G. P2G movable modular plant operation on synthetic methane production from CO2 and hydrogen from renewables sources. Fuel 2019, 253, 1071–1079. [Google Scholar] [CrossRef]
- Gao, J.; Liu, Q.; Gu, F.; Liu, B.; Zhong, Z.; Su, F. Recent advances in methanation catalysts for the production of synthetic natural gas. Rsc Adv. 2015, 5, 22759–22776. [Google Scholar] [CrossRef]
- Gao, J.; Wang, Y.; Ping, Y.; Hu, D.; Xu, G.; Gu, F.; Su, F. A thermodynamic analysis of methanation reactions of carbon oxides for the production of synthetic natural gas. Rsc Adv. 2012, 2, 2358–2368. [Google Scholar] [CrossRef]
- Razzaq, R.; Zhu, H.; Jiang, L.; Muhammad, U.; Li, C.; Zhang, S. Catalytic Methanation of CO and CO2 in Coke Oven Gas over Ni–Co/ZrO2–CeO2. Ind. Eng. Chem. Res. 2013, 52, 2247–2256. [Google Scholar] [CrossRef]
- Habazaki, H.; Yamasaki, M.; Zhang, B.; Kawashima, A.; Kohno, S.; Takai, T.; Hashimoto, K. Co-methanation of carbon monoxide and carbon dioxide on supported nickel and cobalt catalysts prepared from amorphous alloys. Appl. Catal. A Gen. 1998, 172, 131–140. [Google Scholar] [CrossRef]
- Salbrechter, K.; Schubert, T. Combination of b-Fuels and e-Fuels—A Technological Feasibility Study. Energies 2021, 14, 5250. [Google Scholar] [CrossRef]
- Jaffar, M.M.; Nahil, M.A.; Williams, P.T. Methane Production from the Pyrolysis—Catalytic Hydrogenation of Waste Biomass: Influence of Process Conditions and Catalyst Type. Energy Fuels 2019, 33, 7443–7457. [Google Scholar] [CrossRef]
- Luterbacher, J.S.; Fröling, M.; Vogel, F.; Maréchal, F.; Tester, J.W. Hydrothermal Gasification of Waste Biomass: Process Design and Life Cycle Asessment. Environ. Sci. Technol. 2009, 43, 1578–1583. [Google Scholar] [CrossRef] [PubMed]
- Nguyen, T.T.M.; Wissing, L.; Skjøth-Rasmussen, M.S. High temperature methanation: Catalyst considerations. Catal. Today 2013, 215, 233–238. [Google Scholar] [CrossRef]
- Bligaard, T.; Nørskov, J.K.; Dahl, S.; Matthiesen, J.; Christensen, C.H.; Sehested, J. The Brønsted–Evans–Polanyi relation and the volcano curve in heterogeneous catalysis. J. Catal. 2004, 224, 206–217. [Google Scholar] [CrossRef]
- Czekaj, I.; Loviat, F.; Raimondi, F.; Wambach, J.; Biollaz, S.; Wokaun, A. Characterization of surface processes at the Ni-based catalyst during the methanation of biomass-derived synthesis gas: X-ray photoelectron spectroscopy (XPS). Appl. Catal. A Gen. 2007, 329, 68–78. [Google Scholar] [CrossRef]
- Sehested, J. Four challenges for nickel steam-reforming catalysts. Catal. Today 2006, 111, 103–110. [Google Scholar] [CrossRef]
- Zhang, J.; Wang, G.; Xu, S. Simultaneous Tar Reforming and Syngas Methanation for Bio-Substitute Natural Gas. Ind. Eng. Chem. Res. 2018, 57, 10905–10914. [Google Scholar] [CrossRef]
- Yuan, C.; Yao, N.; Wang, X.; Wang, J.; Lv, D.; Li, X. The SiO2 supported bimetallic Ni–Ru particles: A good sulfur-tolerant catalyst for methanation reaction. Chem. Eng. J. 2015, 260, 1–10. [Google Scholar] [CrossRef]
- Xing, W.; Liu, Y.; Zhang, W.; Sun, Y.; Kai, X.; Yang, T. Study on Methanation Performance of Biomass Gasification Syngas Based on a Ni/Al2O3 Monolithic Catalyst. ACS Omega 2020, 5, 28597–28605. [Google Scholar] [CrossRef]
- Shinde, V.M.; Madras, G. CO methanation toward the production of synthetic natural gas over highly active Ni/TiO2 catalyst. AICHE J. 2014, 60, 1027–1035. [Google Scholar] [CrossRef]
- Kamata, H.; Tian, Z.Q.; Izumi, Y.; Choong, C.K.S.; Chang, J.; Schreyer, M.; Chen, L.; Borgna, A. Dispersed and high loading Ni catalyst stabilized in porous SiO2 matrix for substituted natural gas production. Catal. Today 2018, 299, 193–200. [Google Scholar] [CrossRef]
- Ding, M.; Tu, J.; Zhang, Q.; Wang, M.; Tsubaki, N.; Wang, T.; Ma, L. Enhancement of methanation of bio-syngas over CeO2–modified Ni/Al2O3 catalysts. Biomass Bioenergy 2016, 85, 12–17. [Google Scholar] [CrossRef]
- Ding, M.; Tu, J.; Wang, T.; Ma, L.; Wang, C.; Chen, L. Bio-syngas methanation towards synthetic natural gas (SNG) over highly active Al2O3–CeO2 supported Ni catalyst. Fuel Process. Technol. 2015, 134, 480–486. [Google Scholar] [CrossRef]
- Baidya, T.; Cattolica, R.; Seiser, R. Ni-Ru-MgO catalyst with high activity and stability for methanation of syngas and producer gas. Catal. Today 2022, 397–399, 69–80. [Google Scholar] [CrossRef]
- Rönsch, S.; Ortwein, A. Methanisierung von Synthesegasen—Grundlagen und Verfahrensentwicklungen. Chem-Ing-Tech 2011, 83, 1200–1208. [Google Scholar] [CrossRef]
- Lei, Y.; Cant, N.W.; Trimm, D.L. Activity patterns for the water gas shift reaction over supported precious metal catalysts. Catal. Lett. 2005, 103, 133–136. [Google Scholar] [CrossRef]
- Smith, R.J.B.; Loganathan, M.; Shantha, M.S. A Review of the Water Gas Shift Reaction Kinetics. Int. J. Chem. React. Eng. 2010, 8. [Google Scholar] [CrossRef]
- Bukur, D.B.; Todic, B.; Elbashir, N. Role of water-gas-shift reaction in Fischer–Tropsch synthesis on iron catalysts: A review. Catal. Today 2016, 275, 66–75. [Google Scholar] [CrossRef]
- Martínez, I.; Romano, M.C. Flexible sorption enhanced gasification (SEG) of biomass for the production of synthetic natural gas (SNG) and liquid biofuels: Process assessment of stand-alone and power-to-gas plant schemes for SNG production. Energy 2016, 113, 615–630. [Google Scholar] [CrossRef]
- Bartik, A.; Fuchs, J.; Pacholik, G.; Föttinger, K.; Hofbauer, H.; Müller, S.; Benedikt, F. Experimental investigation on the methanation of hydrogen-rich syngas in a bubbling fluidized bed reactor utilizing an optimized catalyst. Fuel Process. Technol. 2022, 237, 107402. [Google Scholar] [CrossRef]
- Ding, W.; Zhang, X.; Zhao, B.; Zhou, W.; Xu, A.; Chen, L.; Sun, L.; Yang, S.; Guan, H.; Xie, X.; et al. TG-FTIR and thermodynamic analysis of the herb residue pyrolysis with in-situ CO2 capture using CaO catalyst. J. Anal. Appl. Pyrol. 2018, 134, 389–394. [Google Scholar] [CrossRef]
- Molino, A.; Braccio, G. Synthetic natural gas SNG production from biomass gasification—Thermodynamics and processing aspects. Fuel 2015, 139, 425–429. [Google Scholar] [CrossRef]
- Haro, P.; Johnsson, F.; Thunman, H. Improved syngas processing for enhanced Bio-SNG production: A techno-economic assessment. Energy 2016, 101, 380–389. [Google Scholar] [CrossRef]
- Dong, X.; Song, M.; Jin, B.; Zhou, Z.; Yang, X. The Synergy Effect of Ni-M (M = Mo, Fe, Co, Mn or Cr) Bicomponent Catalysts on Partial Methanation Coupling with Water Gas Shift under Low H2/CO Conditions. Catalysts 2017, 7, 51. [Google Scholar] [CrossRef]
- Bareschino, P.; Mancusi, E.; Tregambi, C.; Pepe, F.; Urciuolo, M.; Brachi, P.; Ruoppolo, G. Integration of biomasses gasification and renewable-energies-driven water electrolysis for methane production. Energy 2021, 230, 120863. [Google Scholar] [CrossRef]
- Zhang, J.; Fatah, N.; Capela, S.; Kara, Y.; Guerrini, O.; Khodakov, A.Y. Kinetic investigation of carbon monoxide hydrogenation under realistic conditions of methanation of biomass derived syngas. Fuel 2013, 111, 845–854. [Google Scholar] [CrossRef]
- Bai, X.; Wang, S.; Sun, T.; Wang, S. The sintering of Ni/Al2O3 methanation catalyst for substitute natural gas production. React. Kinet. Mech. Catal. 2014, 112, 437–451. [Google Scholar] [CrossRef]
- Sarić, M.; Dijkstra, J.W.; Haije, W.G. Economic perspectives of Power-to-Gas technologies in bio-methane production. J. CO2 Util. 2017, 20, 81–90. [Google Scholar] [CrossRef]
- Gutiérrez-Martín, F.; Rodríguez-Antón, L.M. Power-to-SNG technologies by hydrogenation of CO2 and biomass resources: A comparative chemical engineering process analysis. Int. J. Hydrog. Energy 2019, 44, 12544–12553. [Google Scholar] [CrossRef]
- Giglio, E.; Vitale, G.; Lanzini, A.; Santarelli, M. Integration between biomass gasification and high-temperature electrolysis for synthetic methane production. Biomass Bioenergy 2021, 148, 106017. [Google Scholar] [CrossRef]
- Heath, G.A.; O’Donoughue, P.; Arent, D.J.; Bazilian, M. Harmonization of initial estimates of shale gas life cycle greenhouse gas emissions for electric power generation. Proc. Natl. Acad. Sci. USA 2014, 111, E3167–E3176. [Google Scholar] [CrossRef]
- Skorek-Osikowska, A. Thermodynamic and environmental study on synthetic natural gas production in power to gas approaches involving biomass gasification and anaerobic digestion. Int. J. Hydrog. Energy 2022, 47, 3284–3293. [Google Scholar] [CrossRef]
- Bargiacchi, E.; Candelaresi, D.; Valente, A.; Spazzafumo, G.; Frigo, S. Life Cycle Assessment of Substitute Natural Gas production from biomass and electrolytic hydrogen. Int. J. Hydrog. Energy 2021, 46, 35974–35984. [Google Scholar] [CrossRef]
- Song, G.; Xiao, J.; Yu, Y.; Shen, L. A techno-economic assessment of SNG production from agriculture residuals in China. Energ. Source Part B 2016, 11, 465–471. [Google Scholar] [CrossRef]
- Schubert, M.; Müller, J.B.; Vogel, F. Continuous Hydrothermal Gasification of Glycerol Mixtures: Autothermal Operation, Simultaneous Salt Recovery, and the Effect of K3PO4 on the Catalytic Gasification. Ind. Eng. Chem. Res. 2014, 53, 8404–8415. [Google Scholar] [CrossRef]
- Waldner, M.H.; Vogel, F. Renewable Production of Methane from Woody Biomass by Catalytic Hydrothermal Gasification. Ind. Eng. Chem. Res. 2005, 44, 4543–4551. [Google Scholar] [CrossRef]
- Kruse, A. Hydrothermal biomass gasification. J. Supercrit. Fluids 2009, 47, 391–399. [Google Scholar] [CrossRef]
- Lewandowski, W.M.; Ryms, M.; Kosakowski, W. Thermal Biomass Conversion: A Review. Processes 2020, 8, 516. [Google Scholar] [CrossRef]
- Kirubakaran, V.; Sivaramakrishnan, V.; Nalini, R.; Sekar, T.; Premalatha, M.; Subramanian, P. A review on gasification of biomass. Renew. Sustain. Energy Rev. 2009, 13, 179–186. [Google Scholar] [CrossRef]
- Gassner, M.; Vogel, F.; Heyen, G.; Marechal, F. Optimal process design for the polygeneration of SNG, power and heat by hydrothermal gasification of waste biomass: Thermo-economic process modelling and integration. Energ. Environ. Sci. 2011, 4, 1726–1741. [Google Scholar] [CrossRef]
- Dreher, M.; Johnson, B.; Peterson, A.A.; Nachtegaal, M.; Wambach, J.; Vogel, F. Catalysis in supercritical water: Pathway of the methanation reaction and sulfur poisoning over a Ru/C catalyst during the reforming of biomolecules. J. Catal. 2013, 301, 38–45. [Google Scholar] [CrossRef]
- Peterson, A.A.; Vogel, F.; Lachance, R.P.; Fröling, M.; Antal, J.M.J.; Tester, J.W. Thermochemical biofuel production in hydrothermal media: A review of sub- and supercritical water technologies. Energ. Environ. Sci. 2008, 1, 32–65. [Google Scholar] [CrossRef]
- Vogel, F.D.R.; Waldner, M.H.; Rouff, A.A.; Rabe, S. Synthetic natural gas from biomass by catalytic conversion in supercritical water. Green Chem. 2007, 9, 616–619. [Google Scholar] [CrossRef]
- Yeh, T.M.; Dickinson, J.G.; Franck, A.; Linic, S.; Thompson, L.T.; Savage, P.E. Hydrothermal catalytic production of fuels and chemicals from aquatic biomass. J. Chem. Technol. Biotechnol. 2013, 88, 13–24. [Google Scholar] [CrossRef]
- Üremek Cengiz, N.; Eren, S.; Sağlam, M.; Yüksel, M.; Ballice, L. Influence of temperature and pressure on hydrogen and methane production in the hydrothermal gasification of wood residues. J. Supercrit. Fluids 2016, 107, 243–249. [Google Scholar] [CrossRef]
- Gassner, M.; Vogel, F.; Heyen, G.; Marechal, F. Optimal process design for the polygeneration of SNG, power and heat by hydrothermal gasification of waste biomass: Process optimisation for selected substrates. Energ. Environ. Sci. 2011, 4, 1742–1758. [Google Scholar] [CrossRef]
- Ondze, F.; Ferrasse, J.; Boutin, O.; Ruiz, J.; Charton, F. Process simulation and energetic analysis of different supercritical water gasification systems for the valorisation of biomass. J. Supercrit. Fluids 2018, 133, 114–121. [Google Scholar] [CrossRef]
- Karayıldırım, T.; Sınag, A.; Kruse, A. Char and Coke Formation as Unwanted Side Reaction of the Hydrothermal Biomass Gasification. Chem. Eng. Technol. 2008, 31, 1561–1568. [Google Scholar] [CrossRef]
- Görling, M.; Larsson, M.; Alvfors, P. Bio-methane via fast pyrolysis of biomass. Appl. Energ. 2013, 112, 440–447. [Google Scholar] [CrossRef]
- Yun, H.A.H.; Ramírez-Solís, S.; Dupont, V. Bio-CH4 from palm empty fruit bunch via pyrolysis-direct methanation: Full plant model and experiments with bio-oil surrogate. J. Clean. Prod. 2020, 244, 118737. [Google Scholar] [CrossRef]
- Zhou, H.; Wang, M.; Wang, F. Oxygen-vacancy-mediated catalytic methanation of lignocellulose at temperatures below 200 °C. Joule 2021, 5, 3031–3044. [Google Scholar] [CrossRef]
- Walspurger, S.; Elzinga, G.D.; Dijkstra, J.W.; Sarić, M.; Haije, W.G. Sorption enhanced methanation for substitute natural gas production: Experimental results and thermodynamic considerations. Chem. Eng. J. 2014, 242, 379–386. [Google Scholar] [CrossRef]
- Leimert, J.M.; Neubert, M.; Treiber, P.; Dillig, M.; Karl, J. Combining the Heatpipe Reformer technology with hydrogen-intensified methanation for production of synthetic natural gas. Appl. Energ. 2018, 217, 37–46. [Google Scholar] [CrossRef]
Disclaimer/Publisher’s Note: The statements, opinions and data contained in all publications are solely those of the individual author(s) and contributor(s) and not of MDPI and/or the editor(s). MDPI and/or the editor(s) disclaim responsibility for any injury to people or property resulting from any ideas, methods, instructions or products referred to in the content. |
© 2023 by the authors. Licensee MDPI, Basel, Switzerland. This article is an open access article distributed under the terms and conditions of the Creative Commons Attribution (CC BY) license (https://creativecommons.org/licenses/by/4.0/).






