Genome-Wide Identification of Height-Related Genes Using Three Maize Dwarfs and RNA-Seq
Abstract
1. Introduction
2. Materials and Methods
2.1. Plant Materials and Phenotype Evaluation
2.2. RNA-Seq Library Construction and Sequencing
2.3. Trimming and Mapping of Reads
2.4. GO and KEGG Enrichment Analysis of DEGs
2.5. Validation of DEGs by Quantitative Real-Time PCR
3. Results
3.1. Characterization of Three Dwarf Mutants in Maize
3.2. Illumina Sequencing and Sequence Read Analysis
3.3. Global Transcriptome Changes in the Three Dwarf Mutants
3.4. GO Enrichment Analysis of the Common DEGs
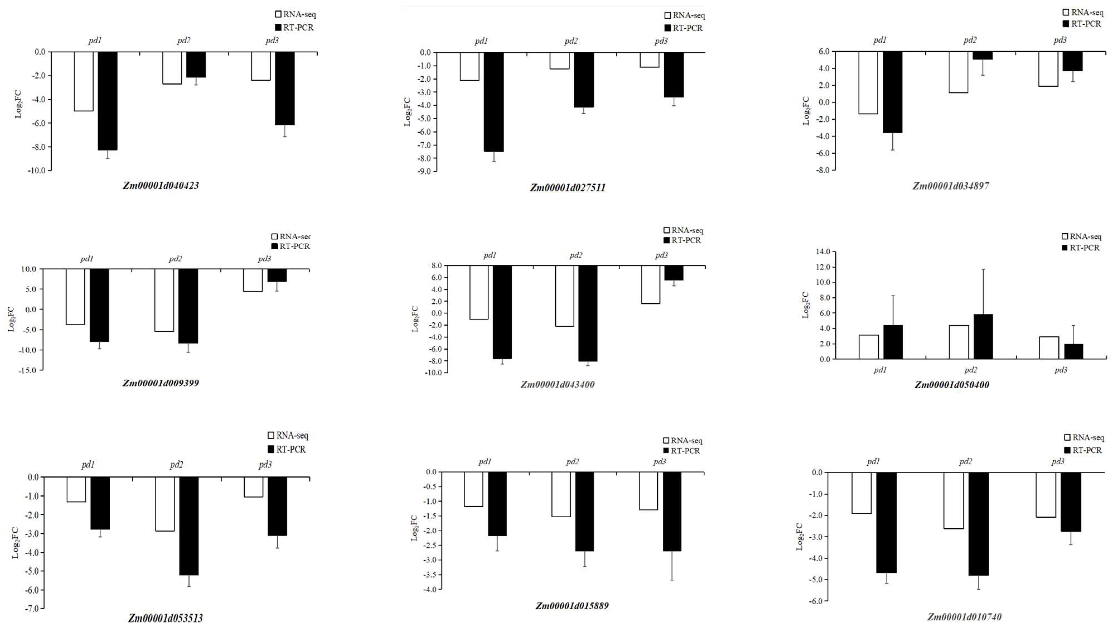
3.5. Validation of RNA-Seq Data by qRT-PCR
4. Discussion
4.1. Experimental Design for the Identification of Plant Height-Related Genes
4.2. Cytokinesis-Related Genes Involved in Plant Height
4.3. DEGs Related to Energy Metabolism
4.4. DEGs Related to Hormone Metabolism Pathways
5. Conclusions
Author Contributions
Funding
Data Availability Statement
Acknowledgments
Conflicts of Interest
References
- Duvick, D.N.; Smith, J.; Cooper, M. Long-term selection on a commercial hybrid maize breeding program. Plant Breed. Rev. 2010, 24, 109–151. [Google Scholar]
- Tang, J.; Teng, W.; Yan, J.; Ma, X.; Meng, Y.; Dai, J.; Li, J. Genetic dissection of plant height by molecular markers using a population of recombinant inbred lines in maize. Euphytica 2007, 155, 117–124. [Google Scholar]
- Hedden, P. The genes of the green revolution. Trends Genet. 2003, 19, 5–9. [Google Scholar] [CrossRef] [PubMed]
- Youssefian, S.; Kirby, E.; Gale, M. Pleiotropic effects of the GA-insensitive Rht dwarfing genes in wheat. 2. effects on leaf, stem, ear and floret growth. Field Crop. Res. 1992, 28, 91–210. [Google Scholar] [CrossRef]
- Flintham, J.; BÖRner, A.; Worland, A.; Gale, M.D. Optimizing wheat grain yield: Effects of Rht (gibberellin-insensitive) dwarfing genes. J. Agric. Sci. 1977, 128, 11–25. [Google Scholar] [CrossRef]
- Peiffer, J.A.; Romay, M.C.; Gore, M.A.; Flint-Garcia, S.A.; Zhang, Z.; Millard, M.J. The genetic architecture of maize height. Genetics 2014, 196, 1337–1356. [Google Scholar] [CrossRef]
- Lawit, S.J.; Wych, H.M.; Xu, D.; Kundu, S.; Tomes, D.T. Maize DELLA proteins dwarf plant8 and dwarf plant9 as modulators of plant development. Plant Cell Physiol. 2010, l51, 1854–1868. [Google Scholar] [CrossRef]
- Bensen, R.J.; Johal, G.S.; Crane, V.C.; Tossberg, J.T.; Schnable, P.S.; Meeley, R.; Briggsav, S.P. Cloning and characterization of the maize An1 gene. Plant Cell 1995, 7, 75–84. [Google Scholar] [PubMed]
- Winkler, R.G.; Helentjaris, T. The maize Dwarf3 gene encodes a cytochrome P450-mediated early step in Gibberellin biosynthesis. Plant Cell 1995, 7, 1307–1317. [Google Scholar]
- Xing, A.; Gao, Y.; Ye, L.; Zhang, W.; Cai, L.; Ching, A.; Llaca, V.; Johnson, B.; Liu, L.; Yang, X.; et al. A rare SNP mutation in Brachytic2 moderately reduces plant height and increases yield potential in maize. J. Exp. Bot. 2015, 66, 3791–3802. [Google Scholar] [CrossRef]
- Teng, F.; Zhai, L.; Liu, R.; Bai, W.; Wang, L.; Huo, D.; Tao, Y.; Zheng, Y.; Zhang, Z. ZmGA3ox2, a candidate gene for a major QTL, qPH3.1, for plant height in maize. Plant J. 2013, 73, 405–416. [Google Scholar] [CrossRef] [PubMed]
- Wang, Y.; Li, J. Molecular basis of plant architecture. Annu. Rev. Plant Biol. 2008, 59, 253–279. [Google Scholar] [CrossRef] [PubMed]
- Kim, D.; Pertea, G.; Trapnell, C.; Pimentel, H.; Kelley, R.; Salzberg, S.L. TopHat2: Accurate alignment of transcriptomes in the presence of insertions, deletions and gene fusions. Genome Biol. 2013, 14, R36. [Google Scholar] [CrossRef] [PubMed]
- Trapnell, C.; Roberts, A.; Goff, L.; Pertea, G.; Kim, D.; Kelley, D.R. Differential gene and transcript expression analysis of RNA-seq experiments with TopHat and Cufflinks. Nat. Protoc. 2012, 7, 562–578. [Google Scholar] [CrossRef] [PubMed]
- Zhou, Y.; Wang, Q.; Zhao, H.; Gong, D.; Sun, C.; Ren, X.; Liu, Z.; He, H.; Qiu, F. Unravelling transcriptome changes between two distinct maize inbred lines using RNA-seq. J. Integr. Agr. 2018, 17, 1574–1584. [Google Scholar] [CrossRef]
- Naoumkina, M.; Thyssen, G.N.; Fang, D.D. RNA-seq analysis of short fiber mutants Ligon-lintless-1 (Li 1) and -2 (Li 2) revealed important role of aquaporins in cotton (Gossypium hirsutum L.) fiber elongation. BMC Plant Biol. 2015, 15, 65. [Google Scholar] [CrossRef] [PubMed]
- Zhou, Z.; Zhang, C.; Zhou, Y.; Hao, Z.; Wang, Z.; Zeng, X.; Di, H.; Li, M.; Zhang, D.; Yong, H.; et al. Genetic dissection of maize plant architecture with an ultra-high density bin map based on recombinant inbred lines. BMC Genom. 2016, 7, 178. [Google Scholar] [CrossRef] [PubMed]
- Martin, M. Cutadapt removes adapter sequences from high-throughput sequencing reads. EMBnet J. 2011, 17, 10–12. [Google Scholar] [CrossRef]
- Trapnell, C.; Williams, B.A.; Pertea, G.; Mortazavi, A.; Kwan, G.; van Baren, M.J.; Salzberg, S.L.; Wold, B.J.; Pachter, L. Transcript assembly and quantification by RNA-Seq reveals unannotated transcripts and isoform switching during cell differentiation. Nat. Biotechnol. 2010, 28, 511–515. [Google Scholar] [CrossRef]
- Anders, S.; Pyl, P.T.; Huber, W. HTSeq-a Python framework to work with high-throughput sequencing data. Bioinformatics 2015, 31, 166–169. [Google Scholar] [CrossRef]
- Young, M.D.; Wakefield, M.J.; Smyth, G.K.; Oshlack, A. Gene ontology analysis for RNA-seq: Accounting for selection bias. Genome Biol. 2010, 11, R14. [Google Scholar] [CrossRef] [PubMed]
- Shinozaki, K.; Yamaguchi-Shinozaki, K.; Seki, M. Regulatory network of gene expression in the drought and cold stress responses. Curr. Opin. Plant Biol. 2003, 6, 410–417. [Google Scholar] [CrossRef] [PubMed]
- Gudimchuk, N.; Roll-Mecak, A. Watching microtubules grow one tubulin at a time. Proc. Natl. Acad. Sci. USA 2019, 116, 7163–7165. [Google Scholar] [CrossRef] [PubMed]
- Sunohara, H.; Kawai, T.; Shimizu-Sato, S.; Sato, Y.; Sato, K.; Kitano, H. A dominant mutation of TWISTED DWARF 1 encoding an alpha-tubulin protein causes severe dwarfism and right helical growth in rice. Genes Genet. Syst. 2009, 84, 209–218. [Google Scholar] [CrossRef] [PubMed]
- Jost, M.; Esfeld, K.; Burian, A.; Cannarozzi, G.; Chanyalew, S.; Kuhlemeier, C.; Assefa, K.; Tadele, Z. Semi-dwarfism and lodging tolerance in tef (Eragrostis tef) is linked to a mutation in the alpha-Tubulin 1 gene. J. Exp. Bot. 2015, 66, 933–944. [Google Scholar] [CrossRef] [PubMed]
- Ching, A.; Dhugga, K.S.; Appenzeller, L.; Meeley, R.; Bourett, T.M.; Howard, R.J.; Rafalski, A. Brittle stalk 2 encodes a putative glycosylphosphatidylinositol-anchored protein that affects mechanical strength of maize tissues by altering the composition and structure of secondary cell walls. Planta 2006, 224, 1174–1184. [Google Scholar] [CrossRef] [PubMed]
- Kong, Y.; Peña, M.; Renna, L.; Avci, U.; Pattathil, S.; Tuomivaara, S.T.; Li, X.; Reite, W.D.; Brandizzi, F.; Hahn, M.G.; et al. Galactose-depleted xyloglucan is dysfunctional and leads to dwarfism in Arabidopsis. Plant Physiol. 2015, 167, 1296–1306. [Google Scholar] [CrossRef] [PubMed]
- Rolland, F.; Baena-Gonzalez, E.; Sheen, J. Sugar sensing and signaling in plants: Conserved and novel mechanisms. Annu. Rev. Plant Biol. 2006, 57, 675–709. [Google Scholar] [CrossRef] [PubMed]
- Ramamoorthy, R.; Vishal, B.; Ramachandran, S.; Kumar, P.P. The OsPS1-F gene regulates growth and development in rice by modulating photosynthetic electron transport rate. Plant Cell Rep. 2018, 37, 377–385. [Google Scholar] [CrossRef]
- Jobson, E.M.; Johnston, R.E.; Oiestad, A.J.; Martin, J.M.; Giroux, M.J. The Impact of the Wheat Rht-B1b semi-dwarfing allele on photosynthesis and seed development under field conditions. Front Plant Sci. 2019, 10, 51. [Google Scholar] [CrossRef]
- Huerta, L.; Forment, J.; Gadea, J.; Fagoaga, C.; Pena, L.; Perez-Amador, M.A.; Garcia-Martinez, J.L. Gene expression analysis in citrus reveals the role of gibberellins on photosynthesis and stress. Plant Cell Environ. 2008, 31, 1620–1633. [Google Scholar] [CrossRef] [PubMed]
- Castorina, G.; Persico, M.; Zilio, M.; Sangiorgio, S.; Carabelli, L.; Consonni, G. The maize lilliputian1 (lil1) gene, encoding a brassinosteroid cytochrome P450 C-6 oxidase, is involved in plant growth and drought response. Ann. Bot. 2018, 122, 227–238. [Google Scholar] [CrossRef] [PubMed]
- Jiang, G.; Xiang, Y.; Zhao, J.; Yin, D.; Zhao, X.; Zhu, L.; Zhai, W. Regulation of inflorescence branch development in rice through a novel pathway involving the pentatricopeptide repeat protein sped1-D. Genetics 2014, 197, 1395–1407. [Google Scholar] [CrossRef] [PubMed]
- Hattori, Y.; Nagai, K.; Furukawa, S.; Song, X.J.; Kawano, R.; Sakakibara, H.; Wu, J.; Matsumoto, T.; Yoshimura, A.; Kitano, H.; et al. The ethylene response factors SNORKEL1 and SNORKEL2 allow rice to adapt to deep water. Nature 2009, 460, 1026–1030. [Google Scholar] [CrossRef] [PubMed]




| Plant Height (cm) | Leaf Area (cm2) | MALT (cm) | TBN | Ear Length (cm) | Ear Diameter (cm) | Ear Height (cm) | |
|---|---|---|---|---|---|---|---|
| pd1 | 117.81 ± 40.15 | 4788.83 ± 139.8 | 22.6 ± 2.22 | 2.18 ± 0.98 | 8.60 ± 1.16 | 3.14 ± 0.62 | 42.54 ± 4.27 | 
| pd2 | 125.14 ± 13.58 | 4420.16 ± 159.36 | 26.5 ± 2.84 | 2.82 ± 1.25 | 10.44 ± 1.49 | 2.75 ± 0.47 | 39.38 ± 3.52 | 
| pd3 | 133.36 ± 4.04 | 4102.39 ± 176.56 | 29.6 ± 2.84 | 2.45 ± 1.04 | 12.20 ± 1.98 | 2.87 ± 0.33 | 73.01 ± 13.13 | 
| WT | 201.80 ± 32.2 | 6820.87 ± 229.79 | 27.6 ± 3.17 | 2.55 ± 0.69 | 12.50 ± 2.09 | 4.31 ± 0.41 | 71.00 ± 12.45 | 
| Category | GO_Accession | Description | Number of DEGs | p Value | ||||
|---|---|---|---|---|---|---|---|---|
| T3 vs. CK | T2 vs. CK | T1 vs. CK | T3 vs. CK | T2 vs. CK | T1 vs. CK | |||
| Biological_process | GO:0000075 | Cell cycle checkpoint | 24 | 22 | 28 | 0.000000461 | 0.0024 | 0.008 | 
| GO:0006091 | Generation of precursor Metabolites and energy | 128 | 148 | 216 | 0.000000686 | 0.00066 | 0.00034 | |
| GO:0006260 | DNA replication | 56 | 52 | 87 | 2.82 × 10−9 | 0.00267 | 1.08 × 10−8 | |
| GO:0006261 | DNA-dependent DNA replication | 50 | 47 | 75 | 6.61 × 10−11 | 0.0000404 | 1.88 × 10−10 | |
| GO:0007049 | Cell cycle | 119 | 113 | 177 | 5.45 × 10−12 | 0.0041 | 0.0000375 | |
| GO:0007346 | Regulation of mitotic cell cycle | 50 | 46 | 66 | 4.47 × 10−9 | 0.000272 | 0.00075 | |
| GO:0009314 | Response to radiation | 82 | 104 | 104 | 1.11 × 10−13 | 4.64 × 10−18 | 0.0007 | |
| GO:0009416 | Response to light stimulus | 79 | 100 | 97 | 2 × 10−14 | 5.46 × 10−19 | 0.00079 | |
| GO:0009628 | Response to abiotic stimulus | 137 | 176 | 230 | 9.24 × 10−10 | 3.28 × 10−13 | 0.000000224 | |
| GO:0009765 | Photosynthesis, light harvesting | 29 | 30 | 29 | 1.32 × 10−14 | 1.43 × 10−12 | 0.00000842 | |
| GO:0009768 | Photosynthesis, light harvesting in photosystem I | 31 | 23 | 23 | 2.49 × 10−11 | 4.4 × 10−10 | 0.0000206 | |
| GO:0015979 | Photosynthesis | 108 | 132 | 121 | 1.58 × 10−40 | 2.54 × 10−50 | 5.25 × 10−19 | |
| GO:0018298 | Protein–chromophore linkage | 23 | 27 | 34 | 0.00000191 | 0.000000286 | 0.000000257 | |
| GO:0019684 | Photosynthesis, light reaction | 58 | 70 | 62 | 1.61 × 10−23 | 8.34 × 10−29 | 6.61 × 10−10 | |
| Cellular_component | GO:0005623 | Cell | 1820 | 2346 | 4064 | 0.00091 | 0.00036 | 1.52 × 10−31 | 
| GO:0009507 | Chloroplast | 407 | 640 | 514 | 1.22 × 10−68 | 1.39 × 10−165 | 1.59 × 10−19 | |
| GO:0009521 | Photosystem | 59 | 71 | 75 | 2.58 × 10−23 | 4.9 × 10−28 | 1.34 × 10−17 | |
| GO:0009522 | Photosystem I | 37 | 41 | 45 | 1.21 × 10−18 | 4.95 × 10−19 | 1.37 × 10−14 | |
| GO:0009523 | Photosystem II | 44 | 53 | 54 | 1.53 × 10−16 | 6.55 × 10−20 | 1.14 × 10−10 | |
| GO:0009532 | Plastid stroma | 126 | 217 | 146 | 4.18 × 10−27 | 2.26 × 10−79 | 0.000000453 | |
| GO:0009534 | Chloroplast thylakoid | 146 | 194 | 153 | 5.56 × 10−55 | 4.79 × 10−83 | 4.06 × 10−20 | |
| GO:0009535 | Chloroplast thylakoid membrane | 123 | 162 | 127 | 1.55 × 10−44 | 8.85 × 10−66 | 1.28 × 10−14 | |
| GO:0009536 | Plastid | 418 | 655 | 533 | 1.94 × 10−69 | 2.33 × 10−166 | 1.93 × 10−20 | |
| GO:0009538 | Photosystem I reaction center | 9 | 9 | 9 | 0.0000102 | 0.00011 | 0.01437 | |
| GO:0009570 | Chloroplast stroma | 122 | 209 | 145 | 7.93 × 10−26 | 7.04 × 10−75 | 0.000000129 | |
| GO:0009579 | Thylakoid | 183 | 249 | 211 | 1.34 × 10−63 | 1.61 × 10−102 | 2.25 × 10−31 | |
| GO:0010287 | Plastoglobule | 26 | 34 | 30 | 4.5 × 10−9 | 1.46 × 10−13 | 0.00032 | |
| GO:0031967 | Organelle envelope | 115 | 171 | 214 | 0.00669 | 9.46 × 10−10 | 0.01933 | |
| GO:0031975 | Envelope | 115 | 171 | 214 | 0.00669 | GO:0031975 | 0.01933 | |
| GO:0031976 | Plastid thylakoid | 146 | 194 | 153 | 5.56 × 10−55 | 4.79 × 10−83 | 4.06 × 10−20 | |
| GO:0031977 | Thylakoid lumen | 13 | 22 | 15 | 0.0000354 | 2.13 × 10−16 | 0.01079 | |
| GO:0031984 | Organelle subcompartment | 188 | 235 | 350 | 0.00000326 | 7.29 × 10−11 | 0.00000505 | |
| GO:0034357 | Photosynthetic membrane | 147 | 198 | 158 | 3.14 × 10−52 | 3 × 10−81 | 1.03 × 10−19 | |
| GO:0042555 | MCM complex | 12 | 10 | 12 | 0.000000555 | 0.0028 | 0.00565 | |
| GO:0042651 | Thylakoid membrane | 135 | 184 | 144 | 3.95 × 10−46 | 8.91 × 10−74 | 4.26 × 10−16 | |
| GO:0043226 | Organelle | 1350 | 1769 | 3003 | 0.00267 | 0.00000434 | 1.93 × 10−22 | |
| GO:0043227 | Membrane-bounded organelle | 1256 | 1675 | 2585 | 0.0000314 | 5.85 × 10−12 | 0.00000556 | |
| GO:0043229 | Intracellular organelle | 1350 | 1768 | 3001 | 0.00206 | 0.0000036 | 1.34 × 10−22 | |
| GO:0043231 | Intracellular membrane-bounded organelle | 1253 | 1671 | 2562 | 0.00000141 | 3.54 × 10−14 | 0.000000543 | |
| GO:0044434 | Chloroplast part | 251 | 402 | 296 | 7.12 × 10−55 | 2.66 × 10−133 | 2.45 × 10−16 | |
| GO:0044435 | Plastid part | 258 | 413 | 299 | 3.86 × 10−57 | 2.15 × 10−138 | 9.43 × 10−16 | |
| GO:0044436 | Thylakoid part | 156 | 212 | 170 | 9.48 × 10−57 | 2.98 × 10−90 | 3.39 × 10−23 | |
| GO:0044464 | Cell part | 1794 | 2318 | 4017 | 0.00493 | 0.00115 | 1.11 × 10−29 | |
| GO:0055035 | Plastid thylakoid membrane | 123 | 162 | 127 | 1.55 × 10−44 | 8.85 × 10−66 | 1.28 × 10−14 | |
| Molecular_function | GO:0004553 | Hydrolase activity, hydrolyzing O-glycosyl compounds | 89 | 105 | 156 | 0.00058 | 0.00468 | 0.00562 | 
| GO:0016168 | Chlorophyll binding | 26 | 29 | 34 | 2.66 × 10−10 | 2.26 × 10−10 | 6.96 × 10−9 | |
| GO:0016798 | Hydrolase activity, acting on glycosyl bonds | 101 | 117 | 173 | 0.0000518 | 0.00168 | 0.00314 | |
| Disclaimer/Publisher’s Note: The statements, opinions and data contained in all publications are solely those of the individual author(s) and contributor(s) and not of MDPI and/or the editor(s). MDPI and/or the editor(s) disclaim responsibility for any injury to people or property resulting from any ideas, methods, instructions or products referred to in the content. | 
© 2024 by the authors. Licensee MDPI, Basel, Switzerland. This article is an open access article distributed under the terms and conditions of the Creative Commons Attribution (CC BY) license (https://creativecommons.org/licenses/by/4.0/).
Share and Cite
Gao, Y.; Ren, H.; Wang, R.; Cheng, D.; Song, Y.; Wen, X.; Zhang, Z.; Chang, J. Genome-Wide Identification of Height-Related Genes Using Three Maize Dwarfs and RNA-Seq. Agronomy 2024, 14, 1598. https://doi.org/10.3390/agronomy14071598
Gao Y, Ren H, Wang R, Cheng D, Song Y, Wen X, Zhang Z, Chang J. Genome-Wide Identification of Height-Related Genes Using Three Maize Dwarfs and RNA-Seq. Agronomy. 2024; 14(7):1598. https://doi.org/10.3390/agronomy14071598
Chicago/Turabian StyleGao, Yang, Haojie Ren, Ruiyu Wang, Danyang Cheng, Yinglu Song, Xin Wen, Zheng Zhang, and Jianzhong Chang. 2024. "Genome-Wide Identification of Height-Related Genes Using Three Maize Dwarfs and RNA-Seq" Agronomy 14, no. 7: 1598. https://doi.org/10.3390/agronomy14071598
APA StyleGao, Y., Ren, H., Wang, R., Cheng, D., Song, Y., Wen, X., Zhang, Z., & Chang, J. (2024). Genome-Wide Identification of Height-Related Genes Using Three Maize Dwarfs and RNA-Seq. Agronomy, 14(7), 1598. https://doi.org/10.3390/agronomy14071598
 
        
 
       