Influence of Specimen Size on the Compressive Strength of Wood
Abstract
1. Introduction
2. Test Program
2.1. Experimental Design
2.2. Loading and Measurement Plan
3. Experimental Results
3.1. Experimental Phenomenon
3.2. Load–Displacement Curve
3.3. Compressive Strength
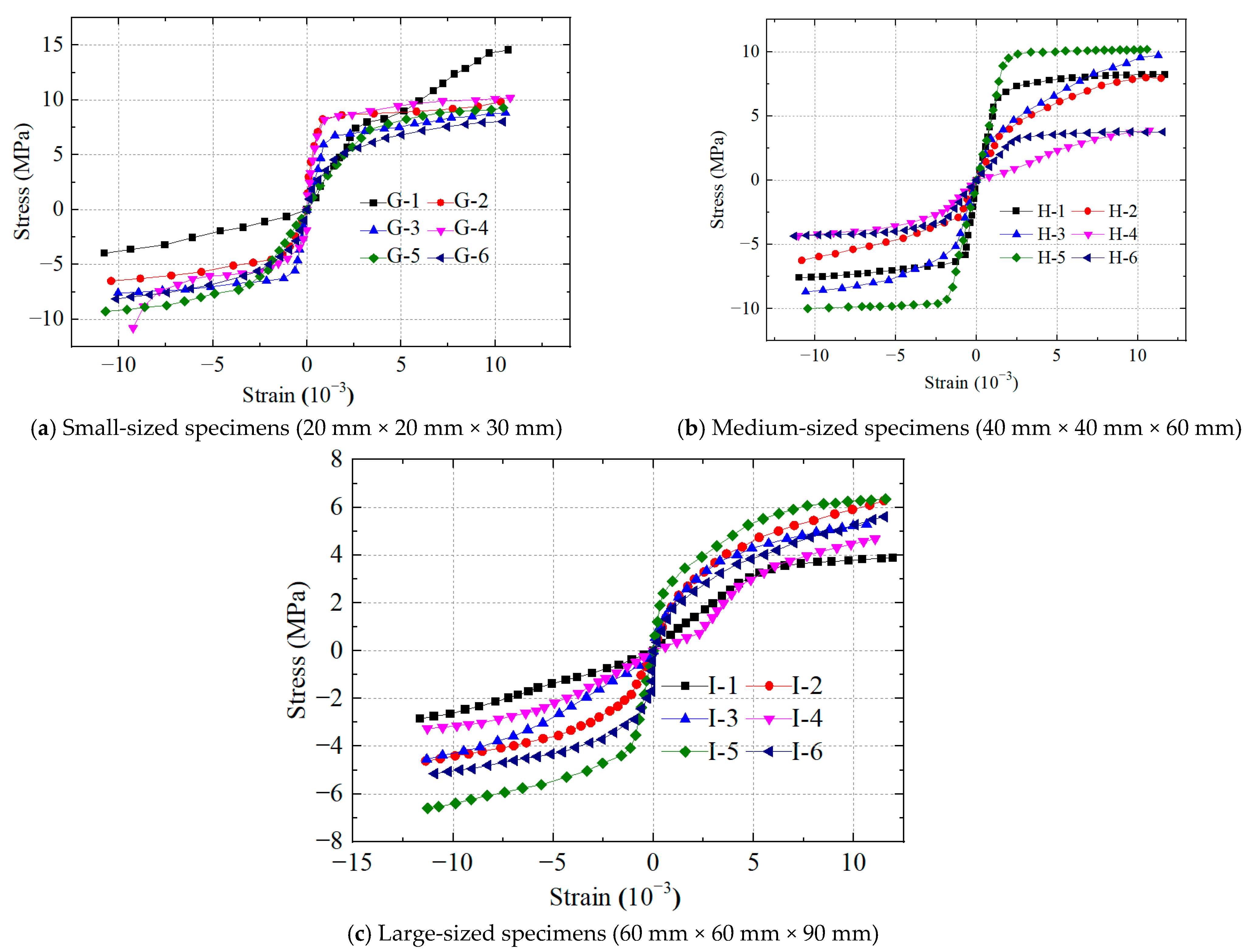
3.4. Stress–Strain Curve
4. Finite Element Analysis
4.1. Finite Element Model
4.2. Finite Element Analysis of Results
5. Conclusions
- The size of the wood specimens has a significant impact on obtaining reasonable and effective compression strength parameters, with the longitudinal specimens being the most affected. The use of the moderate-sized specimens proposed in this paper (40 mm × 40 mm × 60 mm) and large-sized specimens (60 mm × 60 mm × 90 mm) provides more reasonable compression strength parameters.
- It is suggested that the specimen size could be the moderate-sized specimens proposed in this paper (40 mm × 40 mm × 60 mm). Current test methods and technical specifications use small-sized specimens (20 mm × 20 mm × 30 mm) which only reflect the compressive strength parameters of wood within a single growth ring, leading to significant variability.
- Using the moderate-sized (40 mm × 40 mm × 60 mm) camphorwood specimens, mechanical properties for longitudinal, radial, and tangential compression strength, stress–strain relationships (constitutive models) can be used in numerical simulations for camphorwood components and structures, providing more accurate computational results.
Author Contributions
Funding
Data Availability Statement
Conflicts of Interest
References
- Li, Z.; He, M.; Wang, X.; Li, M. Seismic Performance Assessment of Steel Frame Infilled with Prefabricated Wood Shear Walls. J. Constr. Steel Res. 2018, 140, 62–73. [Google Scholar] [CrossRef]
- Thamboo, J.; Navaratnam, S.; Poologanathan, K.; Corradi, M. Experimental Investigation of Timber Samples under Triaxial Compression Conditions. J. Build. Eng. 2022, 57, 104891. [Google Scholar] [CrossRef]
- Gharib, M.; Hassanieh, A.; Valipour, H.; Bradford, M.A. Three-Dimensional Constitutive Modelling of Arbitrarily Orientated Timber Based on Continuum Damage Mechanics. Finite Elem. Anal. Des. 2017, 135, 79–90. [Google Scholar] [CrossRef]
- Valipour, H.; Khorsandnia, N.; Crews, K.; Foster, S. A Simple Strategy for Constitutive Modelling of Timber. Constr. Build. Mater. 2014, 53, 138–148. [Google Scholar] [CrossRef]
- Oudjene, M.; Khelifa, M. Finite Element Modelling of Wooden Structures at Large Deformations and Brittle Failure Prediction. Mater. Des. 2009, 30, 4081–4087. [Google Scholar] [CrossRef]
- Andre, A.; Kliger, R.; Asp, L.E. Compression Failure Mechanism in Small Scale Timber Specimens. Constr. Build. Mater. 2014, 50, 130–139. [Google Scholar] [CrossRef]
- GB/T 1935-2009; Method of Testing in Compressive Strength Parallel to Grain of Wood. Ministry of Construction of the People’s Republic of China: Beijing, China, 2009.
- GB/T 1939-2009; Method of Testing in Compressive Strength Perpendicular to Grain of Wood. Ministry of Construction of the People’s Republic of China: Beijing, China, 2009.
- GB/T 50005-2017; Standard for Design of Timber Structure. Ministry of Housing and Urban-Rural Development of the People’s Republic of China: Beijing, China, 2017.
- Mascia, N.T.; Vanalli, L. Evaluation of the Coefficients of Mutual Influence of Wood through Off-Axis Compression Tests. Constr. Build. Mater. 2012, 30, 522–528. [Google Scholar] [CrossRef]
- Li, L.; Gong, M.; Chui, Y.H.; Schneider, M.; Li, D. Measurement of the Elastic Parameters of Densified Balsam Fir Wood in the Radial-Tangential Plane Using a Digital Image Correlation (DIC) Method. J. Mater. Sci. 2013, 48, 7728–7735. [Google Scholar] [CrossRef]
- Yang, N.; Zhang, L.; Qin, S.J. A Nonlinear Constitutive Model for Characterizing Wood under Compressive Load and Its Test Verification. China Civ. Eng. J. 2017, 50, 80–88. [Google Scholar]
- Kong, Y.; Liu, W.; Cheng, X.; Lu, W. Experimental Study on Parallel-to-Grain Compressive Strength of Structural Douglas Fir Wood Exposed to Elevated Temperatures. J. Huazhong Univ. Sci. Technol. 2019, 47, 44–49. [Google Scholar] [CrossRef]
- Gonnerman, H.F. Effect of Size and Shape of Test Specimen on Compressive Strength of Concrete; Structural Materials Research Laboratory, 1925; Available online: https://api.semanticscholar.org/CorpusID:210755492 (accessed on 27 February 2024).
- Issa, M.A.; Issa, M.A.; Islam, M.S.; Chudnovsky, A. Size Effects in Concrete Fracture–Part II: Analysis of Test Results. Int. J. Fract. 2000, 102, 25–42. [Google Scholar] [CrossRef]
- Yi, S.-T.; Yang, E.-I.; Choi, J.-C. Effect of Specimen Sizes, Specimen Shapes, and Placement Directions on Compressive Strength of Concrete. Nucl. Eng. Des. 2006, 236, 115–127. [Google Scholar] [CrossRef]
- Che, Y.; Ban, S.L.; Cui, J.Y.; Chen, G.; Song, Y.P. Effect of Specimen Shape and Size on Compressive Strength of Concrete. Adv. Mater. Res. 2011, 163, 1375–1379. [Google Scholar] [CrossRef]
- Saridemir, M. Effect of Specimen Size and Shape on Compressive Strength of Concrete Containing Fly Ash: Application of Genetic Programming for Design. Mater. Des. 2014, 56, 297–304. [Google Scholar] [CrossRef]
- Abdullah, A. Effects of Specimen Sizes and Loading Rates on Compressive Strength of Concrete. Mater. Today Proc. 2021, 46, 1783–1786. [Google Scholar] [CrossRef]
- Schlotzhauer, P.; Nelis, P.A.; Bollmus, S.; Gellerich, A.; Militz, H.; Seim, W. Effect of Size and Geometry on Strength Values and Moe of Selected Hardwood Species. Wood Mater. Sci. Eng. 2017, 12, 149–157. [Google Scholar] [CrossRef]
- Akter, S.T.; Serrano, E.; Bader, T.K. Numerical Modelling of Wood under Combined Loading of Compression Perpendicular to the Grain and Rolling Shear. Eng. Struct. 2021, 244, 112800. [Google Scholar] [CrossRef]
- Rodrigues, E.F.C.; De Araujo, V.A.; Cavalheiro, R.S.; Marini, L.J.; Almeida, J.P.B.; Azevedo, A.R.G.; Oliveira, L.B.; Lahr, F.A.R.; dos Santos, H.F.; Christoforo, A.L. Influence of Growth Rings Position of Wood on the Determination of Its Shear Strength Parallel to Grain. J. Mater. Res. Technol. 2023, 24, 9765–9779. [Google Scholar] [CrossRef]
- Yue, K.; Li, X.; Jiao, X.; Wu, P.; Song, X. Strength Grading of Chinese Poplar Wood for Structural Use Following Thermal Modification. Polym. Test. 2023, 123, 108032. [Google Scholar] [CrossRef]
- Weibull, W.A. Statistical Theory of the Strength of Materials. Proc. R. Swed. Inst. Eng. Res. 1939, 151, 1–45. Available online: https://searchworks.stanford.edu/view/1150953 (accessed on 27 February 2024).
- Shekarchia, M.; Vatani Oskoueib, A.; Raftery, G.M. Flexural Behavior of Timber Beams Strengthened with Pultruded Glass Fiber Reinforced Polymer Profiles. Compos. Struct. 2020, 241, 112062. [Google Scholar] [CrossRef]
- Chen, Y.; Zhang, C. Stability Analysis of Pultruded Basalt Fiber-Reinforced Polymer (BFRP) Tube under Axial Compression. Compos. Struct. 2024, 327, 117660. [Google Scholar] [CrossRef]
- Zhang, C.; Chen, Y.; Dou, M. Axial Compression Behaviour and Modelling of Pultruded Basalt-Fibre-Reinforced Polymer (BFRP) Tubes. Buildings 2023, 13, 1397. [Google Scholar] [CrossRef]

















| Specimen Size | Compressive Strength (MPa) | Average Compressive Strength (MPa) (Coefficient of Variation) | Elastic Modulus | ||
|---|---|---|---|---|---|
| Small-sized | 16.43 | 29.93 | 33.40 (0.281) | E (MPa) | 11,600 |
| 35.80 | 36.08 | 0.48 | |||
| 38.68 | 43.45 | 0.44 | |||
| Medium-sized | 23.88 | 29.05 | 29.59 (0.109) | E (MPa) | 11,010 |
| 29.86 | 31.39 | 0.49 | |||
| 29.76 | 33.61 | 0.48 | |||
| Large-sized | 24.19 | 25.66 | 27.48 (0.085) | E (MPa) | 10,040 |
| 27.48 | 27.94 | 0.48 | |||
| 28.72 | 30.89 | 0.42 | |||
| Specimen Size | Compressive Strength (MPa) | Average Compressive Strength (MPa) (Coefficient of Variation) | Elastic Modulus | ||
|---|---|---|---|---|---|
| Small-sized | 4.88 | 5.18 | 6.03 (0.376) | E (MPa) | 2390 |
| 6.85 | 5.43 | 0.65 | |||
| 8.73 | 5.13 | 0.11 | |||
| Medium-sized | 3.14 | 5.09 | 7.05 (0.382) | E (MPa) | 2470 |
| 6.13 | 8.93 | 0.63 | |||
| 8.95 | 10.08 | 0.11 | |||
| Large-sized | 3.95 | 5.52 | 6.27 (0.212) | E (MPa) | 2110 |
| 6.74 | 6.82 | 0.67 | |||
| 6.94 | 7.65 | 0.13 | |||
| Specimen Size | Compressive Strength (MPa) | Average Compressive Strength (MPa) (Coefficient of Variation) | Elastic Modulus | ||
|---|---|---|---|---|---|
| Small-sized | 4.28 | 4.33 | 5.80 (0.296) | E (MPa) | 1200 |
| 5.18 | 5.43 | 0.08 | |||
| 6.85 | 8.75 | 0.34 | |||
| Medium-sized | 3.11 | 3.73 | 6.57 (0.389) | E (MPa) | 1380 |
| 7.11 | 7.57 | 0.06 | |||
| 8.89 | 8.99 | 0.37 | |||
| Large-sized | 3.06 | 3.58 | 4.81 (0.279) | E (MPa) | 1220 |
| 4.54 | 5.19 | 0.06 | |||
| 6.16 | 6.35 | 0.35 | |||
| Coefficient | Specimen Size | ||
|---|---|---|---|
| Small-Sized | Medium-Sized | Large-Sized | |
| 8168.2 | 1478.7 | 3572.6 | |
| 1578.1 | 395.2 | 566.4 | |
| 4.0 | −7.1 | −2.5 | |
| 1197.7 | 913.9 | 791.3 | |
| −1.4 | −0.9 | −0.3 | |
| 1745.2 | 1017.1 | 630.5 | |
| 0.3 | 0.4 | 0.1 | |
| −3065.2 | −3354.7 | −4363.7 | |
| 424.5 | 666.3 | 686.6 | |
| 15.8 | 8.8 | −0.1 | |
| εTty (×10−6) | −1020 | −1160 | −870 |
| εTcy (×10−6) | 1140 | 2010 | 1120 |
| Coefficient | Specimen Size | ||
|---|---|---|---|
| Small-Sized | Medium-Sized | Large-Sized | |
| 401.2 | 491.2 | 195.9 | |
| 158.4 | 77.1 | 51.3 | |
| −5.1 | −3.2 | −2.9 | |
| 906.3 | 494.2 | 303.9 | |
| −0.9 | −0.6 | −1.0 | |
| 529.3 | 233.3 | 213.6 | |
| 3.1 | 0.6 | 1.1 | |
| −1475.3 | −4590.2 | −418.6 | |
| −1598.4 | −1709.1 | −928.0 | |
| 170.1 | 190.4 | 110.7 | |
| εTty (×10−6) | 6.6 | 3.3 | 1.9 |
| εTcy (×10−6) | −560 | −630 | −730 |
| Coefficient | Specimen Size | ||
|---|---|---|---|
| Small-Sized | Medium-Sized | Large-Sized | |
| 310.4 | 376.8 | 289.9 | |
| 77.3 | 64.4 | 56.9 | |
| −3.0 | −3.8 | −1.2 | |
| 373.6 | 254.8 | 159.1 | |
| −0.6 | −0.4 | −0.3 | |
| 600.6 | 184.1 | 158.6 | |
| 0.8 | 0.6 | −0.3 | |
| −1475.3 | −4590.2 | −418.6 | |
| 166.1 | 202.5 | 80.3 | |
| 3.8 | 3.3 | 1.0 | |
| εTty (×10−6) | 3.8 | 3.3 | 1.0 |
| εTcy (×10−6) | −800 | −720 | −850 |
| Specimen | Specimen Direction | Maximum Stress of Simulation (MPa) | Maximum Stress of Experiments (MPa) | Error |
|---|---|---|---|---|
| Small size | longitudinal | 44.81 | 38.60 | 16.1% |
| radial | 54.66 | 65.80 | 17.0% | |
| tangential | 34.46 | 44.60 | 22.7% | |
| Medium size | longitudinal | 32.29 | 29.60 | 9.1% |
| radial | 24.84 | 25.36 | 2.1% | |
| tangential | 24.25 | 23.63 | 2.6% | |
| Large size | longitudinal | 26.41 | 27.90 | 5.3% |
| radial | 21.43 | 23.50 | 8.8% | |
| tangential | 22.80 | 21.78 | 4.7% |
Disclaimer/Publisher’s Note: The statements, opinions and data contained in all publications are solely those of the individual author(s) and contributor(s) and not of MDPI and/or the editor(s). MDPI and/or the editor(s) disclaim responsibility for any injury to people or property resulting from any ideas, methods, instructions or products referred to in the content. |
© 2024 by the authors. Licensee MDPI, Basel, Switzerland. This article is an open access article distributed under the terms and conditions of the Creative Commons Attribution (CC BY) license (https://creativecommons.org/licenses/by/4.0/).
Share and Cite
Zhao, C.; Liu, D.; Zhang, C.; Li, Y.; Wang, Y. Influence of Specimen Size on the Compressive Strength of Wood. Buildings 2024, 14, 1156. https://doi.org/10.3390/buildings14041156
Zhao C, Liu D, Zhang C, Li Y, Wang Y. Influence of Specimen Size on the Compressive Strength of Wood. Buildings. 2024; 14(4):1156. https://doi.org/10.3390/buildings14041156
Chicago/Turabian StyleZhao, Chuan, Degui Liu, Chuntao Zhang, Yanyan Li, and Yuhao Wang. 2024. "Influence of Specimen Size on the Compressive Strength of Wood" Buildings 14, no. 4: 1156. https://doi.org/10.3390/buildings14041156
APA StyleZhao, C., Liu, D., Zhang, C., Li, Y., & Wang, Y. (2024). Influence of Specimen Size on the Compressive Strength of Wood. Buildings, 14(4), 1156. https://doi.org/10.3390/buildings14041156

