Evaluation of Overall Seismic Performance of RC Structures and Effectiveness of Seismic Isolation Technology Under Extreme Events: February 6, 2023, Earthquakes
Abstract
1. Introduction
2. Seismicity and Seismotectonic of the Disaster Region
3. Ground Motion Characteristics of 6 February 2023 Earthquakes in Hatay Province
Investigation of Near-Fault Characteristics of Ground Motions in Hatay Province
4. Field Observations in Hatay
4.1. Site Surveys and Damage Observations in Hatay Province
4.1.1. Residential Buildings
4.1.2. Fixed-Base Healthcare Facilities
4.1.3. Seismic Performance of Industrial Facilities
4.1.4. Cultural Heritages
5. Overview of Seismic Design Provisions in Türkiye
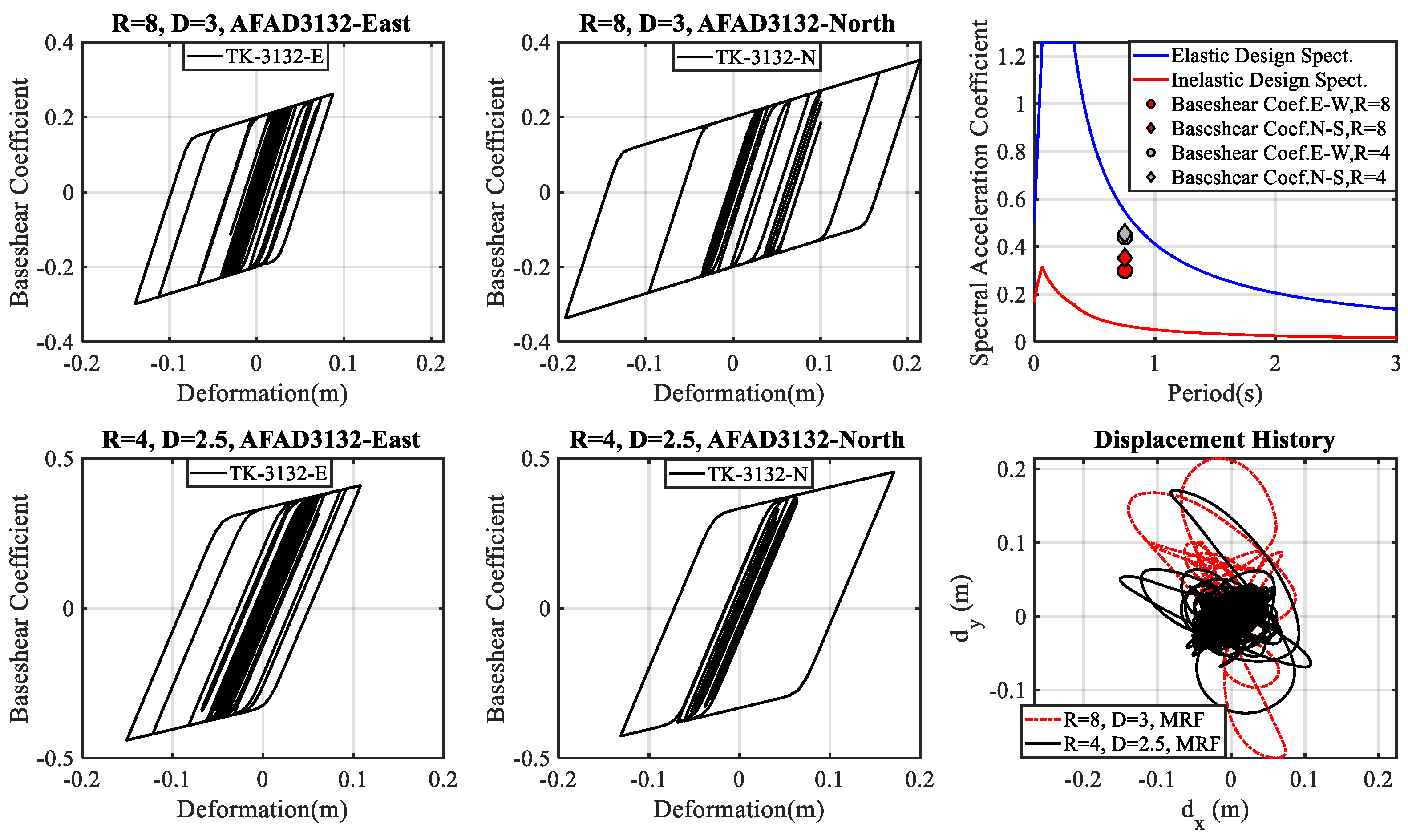
6. Response History Analysis of RC-MRF and SI Buildings
6.1. Bouc–Wen Hysteretic Model for Fixed-Base RC-MRF Structure
6.2. Bouc–Wen Hysteretic Model for Seismically Isolated Structures
7. Discussion
8. Conclusions
Funding
Data Availability Statement
Acknowledgments
Conflicts of Interest
Abbreviations
| AFAD | Turkish Disaster and Emergency Management Authority |
| KOERI | Kandilli Observatory and Earthquake Research Institute |
| SI Buildings | Seismically Isolated Buildings |
| RC | Reinforced Concrete |
| MRF | Moment-Resisting Frame |
| EAF | East Anatolian Fault |
| NAF | North Anatolian Fault |
| TSDC | Turkish Seismic Design Code |
| SDOF | Single Degree of Freedom System |
| MDOF | Multi Degree of Freedom System |
| PGA | Peak Ground Acceleration |
| PGV | Peak Ground Velocity |
| PGD | Peak Ground Displacement |
| ADRS | Acceleration Displacement Response Spectrum |
| EOM | Equation of Motion |
References
- Duman, T.Y.; Emre, Ö. The East Anatolian Fault: Geometry, segmentation and jog characteristics. Geol. Soc. 2013, 372, 495–529. [Google Scholar] [CrossRef]
- Emre, Ö.; Duman, T.Y.; Özalp, S.; Şaroğlu, F.; Olgun, Ş.; Elmacı, H.; Çan, T. Active fault database of Turkey. Bull. Earthq. Eng. 2018, 16, 3229–3275. [Google Scholar] [CrossRef]
- Güvercin, S.E.; Karabulut, H.; Konca, A.Ö.; Doğan, U.; Ergintav, S. Active seismotectonics of the East Anatolian Fault. Geophys. J. Int. 2022, 230, 50–69. [Google Scholar] [CrossRef]
- Şengör, A.M.C.; Görür, N.; Şaroğlu, F. Strike-slip faulting and related basin formation in zone of tectonic escape: Turkey as a case study. In Strike-Slip Deformation, Basin Deformation and Sedi-Mentation; Special Publication; Biddle, K.T., Christie-Blick, N., Eds.; Society of Economic Paleontologists and Mineralogists: Denver, CO, USA, 1985; Volume 37, pp. 227–264. [Google Scholar]
- Soysal, H.; Spaniel, S.; Kolçak, D.; Altınok, Y. Türkiye ve Çevresinin Tarihsel Deprem Kataloğu; Proje No. TBAG 341, İstanbul, 86; TUBITAK: Ankara, Turkey, 1981. (In Turkish) [Google Scholar]
- Ambraseys, N.N. Temporary seismic quiescence: SE Turkey. Geophys. J. Int. 1989, 96, 311–331. [Google Scholar] [CrossRef]
- Ambraseys, N.N.; Melville, C.P. Historical evidence of faulting in eastern Anatolia and northern Syria. Ann. Geophys. 1995, 38, 337–343. [Google Scholar] [CrossRef]
- Ambraseys, N.N. The 12th century seismic paroxysm in the Middle East: A historical perspective. Ann. Geophys. 2004, 47, 733–758. [Google Scholar]
- Ambraseys, N.N. Earthquakes in the Eastern Mediterranean and the Middle East: A Multidisciplinary Study of 2000 Years of Seismicity; Cambridge University Press: Cambridge, UK, 2009; p. 968. ISBN 9780521872928. [Google Scholar]
- Arpat, E.; Şaroğlu, F. Doğu Anadolu Fayı Ile Ilgili Bazı Gözlemler ve Düşünceler; Maden Tetkik ve Arama Enstitüsü: Ankara, Turkey, 1972; pp. 44–50. [Google Scholar]
- Arpat, E.; Şaroğlu, F. Türkiye’deki bazı önemli genç tektonik olaylar. TJK Bül. 1975, 18, 91–101. [Google Scholar]
- Barka, A.; Reilinger, R. Active tectonics of the Eastern Mediterranean region: Deduced from GPS, neotectonic and seismicity data. Ann. Geophys. 1997, 40, 587–610. [Google Scholar] [CrossRef]
- Altindal, A.; Askan, A. Traditional seismic hazard analyses underestimate hazard levels when compared to observations from the 2023 Kahramanmaraş earthquakes. Commun. Earth Env. 2024, 5, 14. [Google Scholar] [CrossRef]
- Di Sarno, L.; Yenidogan, C.; Erdik, M. Field evidence and numerical investigation of the Mw = 7.1 October 23 Van, Tabanli and the Mw > 5.7 November Earthquakes of 2011. Bull. Earthq. Eng. 2013, 11, 313–346. [Google Scholar] [CrossRef]
- AFAD. Preliminary Assessment Report on the 06 February Pazarcık and Elbistan Earthquakes. 2023. Available online: http://www.afad.gov.tr/ (accessed on 5 May 2023).
- Presidency of The Republic of Turkey Presidency of Strategy and Budget. Türkiye Earthquakes Recovery and Reconstruction Assessment (TERRA). Available online: https://www.sbb.gov.tr/wp-content/uploads/2023/03/Turkiye-Recovery-and-Reconstruction-Assessment.pdf (accessed on 1 January 2025).
- Reitman, N.G.; Reitman, N.G.; Briggs, R.W.; Barnhart, W.D.; Hatem, A.E.; Jobe, J.A.T.; DuRoss, C.B.; Gold, R.D.; Mejstrik, J.D.; Collett, C.; et al. Rapid Surface Rupture Mapping from Satellite Data: The 2023 Kahramanmaraş, Turkey (Türkiye), Earthquake Sequence. Seism. Rec. 2023, 3, 289–298. [Google Scholar] [CrossRef]
- Melgar, D.; Taymaz, T.; Ganas, A.; Crowell, B.; Öcalan, T.; Kahraman, M.; Tsironi, V.; Yolsal-Çevikbil, S.; Valkaniotis, S.; Irmak, T.S.; et al. Sub- and Super-Shear Ruptures During the 2023 Mw 7.8 and Mw 7.6 Earthquake Doublet in SE Türkiye. Seismica 2023, 2, 1–10. [Google Scholar] [CrossRef]
- Barbot, S.; Luo, H.; Wang, T.; Hamiel, Y.; Piatibratova, O.; Javed, M.T.; Braitenberg, C.; Gurbuz, G. Slip distribution of the February 6, 2023 Mw 7.8 and Mw 7.6, Kahramanmaraş, Turkey earthquake sequence in the East Anatolian fault zone. Seismica 2023, 2. [Google Scholar] [CrossRef]
- Mai, P.M.; Aspiotis, T.; Aquib, T.A.; Cano, E.V.; Castro-Cruz, D.; Espindola-Carmona, A.; Li, B.; Li, X.; Liu, J.; Matrau, R.; et al. The destructive earthquake doublet of 6 February 2023 in south-central Türkiye and northwestern Syria: Initial observations and analyses. Seism. Rec. 2023, 3, 105–115. [Google Scholar] [CrossRef]
- Turkish Seismic Design Code for Buildings-2018 (TSDC-2018); Turkish Disaster and Emergency Management Authority: Ankara, Turkey, 2018.
- AFAD. Turkish Accelerometric Database and Analysis System. 2023. Available online: https://tadas.afad.gov.tr/ (accessed on 10 February 2025).
- Akkar, S.; Özen, Ö. Effect of Peak Ground Velocity on Deformation Demands for SDOF Systems. Earthq. Eng. Struct. Dyn. 2005, 34, 1551–1571. [Google Scholar] [CrossRef]
- U.S. Geological Survey. Finite Faults. 2023. Available online: https://earthquake.usgs.gov/earthquakes/eventpage/us6000jllz/finite-fault (accessed on 10 May 2023).
- Somerville, P.G. Magnitude scaling of the near fault rupture directivity pulse. Phys. Earth Planet. Inter. 2003, 137, 12. [Google Scholar] [CrossRef]
- Somerville, P.G.; Smith, N.F.; Graves, R.W.; Abrahamson, N.A. Modification of empirical strong ground motion attenuation relations to include the amplitude and duration effects of rupture directivity. Seism. Res. Lett. 1997, 68, 199–222. [Google Scholar] [CrossRef]
- Spudich, P.; Chiou, B.S.; Graves, R.W.; Collins, K.R.; Somerville, P.G. A Formulation of Directivity for Earthquake Sources Using Isochrone Theory; U.S. Geological Survey Open-File Report 2004-1268; US Geological Survey: Reston, VA, USA, 2004; 54p. [Google Scholar]
- Bray, J.D.; Rodriguez-Marek, A. Characterization of Forward-directivity Ground Motions in the Near-fault Region. Soil Dyn. Earthq. Eng. 2004, 24, 815–828. [Google Scholar] [CrossRef]
- Burks, L.S.; Baker, J.W. A predictive model for fling-step in near-fault ground motions based on recordings and simulations. Soil Dyn. Earthq. Eng. 2016, 80, 119–126. [Google Scholar] [CrossRef]
- Makris, N.; Black, C. Evaluation of peak ground velocity as a good intensity measure for near-source ground motions. Eng. Mech. (ASCE) 2004, 130, 1032–1044. [Google Scholar] [CrossRef]
- Bertero, V.V.; Mahin, S.A.; Herrera, R.A. Aseismic design implications of near-fault San Fernando earthquake records. Earthq. Eng. Struct. Dyn. 1978, 6, 31–42. [Google Scholar] [CrossRef]
- Mavreoudis, G.P.; Dong, G.; Papageorgiou, A.S. Near-fault ground motions, and the response of elastic and inelastic single-degree-of-freedom (SDOF) systems. Earthq. Eng. Struct. Dyn. 2004, 33, 1023–1049. [Google Scholar] [CrossRef]
- Hall, J.F.; Heaton, T.H.; Halling, M.W.; Wald, D.J. Near-source Ground Motions and Its Effects on Flexible Buildings. Earthq. Spectra 1995, 11, 569–605. [Google Scholar] [CrossRef]
- Baker, J.W. Quantitative Classification of Near-Fault Ground Motions Using Wavelet Analysis. Bull. Seismol. Soc. Am. 2007, 97, 1486–1501. [Google Scholar] [CrossRef]
- Shahi, S.K.; Baker, J.W. An efficient algorithm to identify strong velocity pulses in multi-component ground motions. Bull. Seismol. Soc. Am. 2014, 104, 2456–2466. [Google Scholar] [CrossRef]
- Ancheta, T.D.; Darragh, R.B.; Stewart, J.P.; Seyhan, E.; Silva, W.J.; Chiou, B.S.J.; Wooddell, K.E.; Graves, R.W.; Kottke, A.R.; Boore, D.M.; et al. PEER NGA-West2 Database; Report No. PEER 2013/03; University of California: Berkeley, CA, USA, 2013. [Google Scholar]
- Si, H.; Midorikawa, S. Distance Attenuation Equations for Maximum Acceleration and Maximum Velocity Considering Fault Type and Ground Conditions. J. Struct. Syst. Archit. Inst. Jpn. 1999, 64, 63–70. [Google Scholar]
- Hisada, Y.; Tanaka, S.; Kurata, M.; Yenidoğan, H.C.; Fukui, H.; Kobayashi, H.; Nagae, T. Near-Fault Strong Motion, Surface Rupture and Building Damage by the 2023 Kahramanmaraş Earthquake. In Proceedings of the 18th World Conference on Earthquake Engineering, Milan, Italy, 30 June–5 July 2024; Volume 1, pp. 1–10. [Google Scholar]
- Yenidoğan, C. 6 Şubat 2023 Depremleri ve Saha Gözlemlerine Dayalı Bina Hasarları Hakkında Ön Değerlendirme. Turk. J. Civ. Eng. 2024, 35, 75–113. [Google Scholar] [CrossRef]
- Yenidoğan, C. Seismic Performance of Base-Isolated and Conventional Hospital Buildings in the February 6, 2023, Earthquakes. In Proceedings of the 18th World Conference on Seismic Isolation (18WCSI), Antalya, Turkey, 6–10 November 2023; Volume 1, pp. 766–777. [Google Scholar]
- Turkish Seismic Design Code (TSDC-1975); Specifications for Buildings to Be Built in Seismic Areas. Ministry of Public Works and Settlement: Ankara, Turkey, 1975.
- Turkish Seismic Design Code (TSC-1997/2007); Specifications for Buildings to Be Built in Seismic Areas. Ministry of Public Works and Settlement: Ankara, Turkey, 1997/2007.
- Bouc, R. Forced vibration of mechanical systems with hysteresis. In Proceedings of the 4th Conference on Non-linear Oscillations, Prague, Czech Republic, 5–9 September 1967. [Google Scholar]
- Wen, Y.K. Method of random vibration of hysteretic systems. J. Eng. Mech. (ASCE) 1976, 102, 249–263. [Google Scholar] [CrossRef]
- Park, Y.J.; Wen, Y.K.; Ang, A.H.S. Random vibration of hysteretic systems under bidirectional ground motions. Earthq. Eng. Struct. Dyn. 1986, 14, 543–557. [Google Scholar] [CrossRef]
- Jangid, R.; Kelly, J. Base isolation for near-fault motions. Earthq. Eng. Struct. Dyn. 2001, 30, 691–707. [Google Scholar] [CrossRef]
- Yenidogan, C. Earthquake-Resilient Design of Seismically Isolated Buildings: A Review of Technology. Vibration 2021, 4, 602–647. [Google Scholar] [CrossRef]
- Yenidoğan, C. Deprem Yalıtımlı ve Ankastre Temelli Betonarme Yapıların Performansının TBDY-2018 Kapsamında Kıyaslamalı Olarak Değerlendirmesi. Dicle Üniversitesi Mühendislik Fakültesi Mühendislik Derg. 2024, 15, 767–781. [Google Scholar] [CrossRef]
- Yenidogan, C.; Erdik, M. Effects of near-field earthquakes on seismically isolated bridges. In Proceedings of the 13th World Conference on Seismic Isolation, Energy Dissipation and Active Vibration Control of Structures-Commemorating JSSI 20th Anniversary, Sendai, Japan, 24–27 September 2013. [Google Scholar]
- Uckan, E.; Yenidogan, C.; Tüzün, C.; Erdik, M. Seismic Isolation Applications and Current Research Practice in Turkey. In Proceedings of the Structural Engineers World Congress, Bangalore, India, 2 November 2007. [Google Scholar]
- Yenidogan, C.; Erdik, M. A Comparative Evaluation of design provisions for seismically isolated buildings. Soil Dyn. Earthq. Eng. 2016, 90, 265–286. [Google Scholar] [CrossRef]
- Yenidogan, C. Karma Deprem Yalıtım Sistemlerinin Deneysel Performans Değerlendirmesi. Dokuz Eylül Üniversitesi Mühendislik Fakültesi Fen Mühendislik Derg. 2021, 23, 767–779. [Google Scholar] [CrossRef]
- Yenidogan, C.; Erdik, M. The State of art in seismic isolation and energy dissipation devices. J. Jpn. Soc. Seism. Isol. (Menshin) 2014, 83, 49–59. [Google Scholar]
- Chopra, A.K. Dynamics of Structures: Theory and Applications to Earthquake Engineering; Pearson: Prentice Hall, NJ, USA, 2001. [Google Scholar]
- Foti, D. Response of frames seismically protected with passive systems in near-field areas. Int. J. Struct. Eng. 2014, 5, 326–345. [Google Scholar] [CrossRef]
- Foti, D.; Ruggiero, F.; Sabbà, M.F.; Lerna, M. A Dissipating Frames for Seismic Retrofitting and Building Energy-Efficiency. Infrastructures 2020, 5, 74. [Google Scholar] [CrossRef]




















































| Data Provider | Number of Records from the = 7.7 Equation | Number of Records from the = 7.6 Equation | Number of Records from the = 6.4 Equation |
|---|---|---|---|
| AFAD | 285 | 320 | 148 |
| KOERI | 21 | 21 1 | 18 |
| Station | Latitude | Longitude | (km) | (km) | (km) | (km) | |
|---|---|---|---|---|---|---|---|
| TK-3115 | 36.16 | 36.55 | 106.86 | 106.86 | 17.37 | 17.36 | 424.00 |
| TK-3116 | 36.21 | 36.62 | 98.74 | 98.74 | 16.49 | 16.48 | 868.00 |
| TK-3123 | 36.16 | 36.21 | 135.85 | 135.85 | 5.24 | 5.20 | 470.00 |
| TK-3124 | 36.17 | 36.24 | 132.96 | 132.96 | 5.11 | 5.08 | 283.00 |
| TK-3125 | 36.13 | 36.24 | 135.04 | 135.04 | 8.41 | 8.39 | 448.00 |
| TK-3126 | 36.14 | 36.22 | 136.42 | 136.42 | 7.33 | 7.30 | 350.00 |
| TK-3129 | 36.13 | 36.19 | 139.24 | 139.24 | 6.50 | 6.48 | 447.00 |
| TK-3131 | 36.16 | 36.19 | 137.81 | 137.81 | 4.07 | 4.03 | 567.00 |
| TK-3132 | 36.17 | 36.21 | 135.96 | 135.96 | 3.96 | 3.91 | 377.00 |
| TK-3133 | 36.57 | 36.24 | 116.12 | 116.12 | 28.58 | 28.58 | 471.00 |
| TK-3134 | 36.20 | 36.83 | 84.39 | 84.39 | 24.65 | 24.64 | 374.00 |
| TK-3135 | 35.88 | 36.41 | 135.61 | 135.61 | 35.87 | 35.86 | 460.00 |
| TK-3136 | 36.25 | 36.12 | 141.12 | 141.12 | 6.07 | 6.04 | 344.00 |
| TK-3137 | 36.49 | 36.69 | 75.46 | 75.46 | 4.27 | 4.23 | 688.00 |
| TK-3138 | 36.51 | 36.80 | 64.88 | 64.88 | 2.02 | 1.93 | 618.00 |
| TK-3139 | 36.41 | 36.58 | 89.12 | 89.12 | 2.26 | 2.18 | 272.00 |
| TK-3140 | 35.95 | 36.08 | 158.76 | 158.76 | 22.72 | 22.71 | 210.00 |
| TK-3141 | 36.22 | 36.37 | 118.35 | 118.35 | 6.18 | 6.15 | 338.00 |
| TK-3142 | 36.37 | 36.50 | 99.37 | 99.37 | 1.52 | 1.40 | 539.00 |
| TK-3143 | 36.56 | 36.85 | 58.33 | 58.33 | 4.04 | 4.00 | 445.00 |
| TK-3144 | 36.49 | 36.76 | 70.16 | 70.16 | 1.66 | 1.55 | 535.00 |
| TK-3145 | 36.41 | 36.65 | 84.17 | 84.17 | 1.03 | 0.84 | 533.00 |
| TK-3147 | 36.06 | 35.90 | 169.86 | 169.86 | 29.24 | 29.23 | 686.52 |
| Station | Comp. | PGA | PGV | PGD | Vmax/Amax | Arias Int. | Char.Int | SI | CAV | Significant |
|---|---|---|---|---|---|---|---|---|---|---|
| Number | (m/s2) | (cm/s) | (cm) | (s) | (m/s) | (Ic) | (cm) | (cm/s) | Dur. (s) | |
| 3112 | East | 0.75 | 10.20 | 14 | 0.14 | 0.10 | 371.08 | 249.24 | 65.72 | 3.80 |
| North | 0.99 | 15.70 | 17.4 | 0.16 | 0.20 | 517.64 | 417.41 | 39.78 | 4.85 | |
| Vertical | 0.86 | 7.10 | 3.3 | 0.08 | 0.06 | 57.21 | 174.59 | 38.84 | 2.25 | |
| 3115 | East | 2.23 | 48.30 | 74 | 0.22 | 1.79 | 5986.60 | 1831.80 | 89.07 | 15.80 |
| North | 2.87 | 41.10 | 30.3 | 0.14 | 3.26 | 3978.20 | 2865.60 | 88.14 | 18.36 | |
| Vertical | 2.13 | 20.10 | 20.8 | 0.09 | 1.28 | 1304.60 | 1423.80 | 90.1 | 8.76 | |
| 3116 | East | 1.61 | 35.00 | 44 | 0.22 | 0.84 | 2724.00 | 1037.70 | 89.95 | 8.92 |
| North | 1.55 | 39.70 | 68.9 | 0.26 | 0.78 | 3872.70 | 978.95 | 93.14 | 9.30 | |
| Vertical | 1.51 | 19.20 | 22.3 | 0.13 | 0.43 | 803.20 | 624.05 | 94.26 | 4.91 | |
| 3123 | East | 5.82 | 98.70 | 92.8 | 0.17 | 7.46 | 28,349.00 | 5333.60 | 69.14 | 42.11 |
| North | 6.52 | 186.80 | 63.7 | 0.29 | 9.26 | 35,523.00 | 6272.70 | 71.76 | 59.98 | |
| Vertical | 8.41 | 52.40 | 17.8 | 0.06 | 4.62 | 5877.10 | 3724.20 | 44.83 | 21.43 | |
| 3124 | East | 6.19 | 97.00 | 89.5 | 0.16 | 7.71 | 40,615.00 | 5467.20 | 75.97 | 40.24 |
| North | 5.69 | 112.30 | 47.1 | 0.20 | 6.19 | 30,290.00 | 4636.50 | 72.97 | 44.17 | |
| Vertical | 5.79 | 42.00 | 22.3 | 0.07 | 3.08 | 4018.60 | 2745.20 | 58.34 | 14.62 | |
| 3125 | East | 10.72 | 102.60 | 95.1 | 0.10 | 7.39 | 21,003.00 | 5293.90 | 39.62 | 28.32 |
| North | 7.73 | 74.60 | 66.1 | 0.10 | 6.32 | 11,551.00 | 4708.10 | 65.58 | 23.43 | |
| Vertical | 10.56 | 63.40 | 25.9 | 0.06 | 6.74 | 3544.90 | 4939.80 | 31.7 | 15.87 | |
| 3126 | East | 10.00 | 92.70 | 88.7 | 0.09 | 11.08 | 22,166.00 | 7176.10 | 69.9 | 28.07 |
| North | 11.78 | 110.20 | 51 | 0.09 | 20.57 | 20,329.00 | 11,413.00 | 73.63 | 39.61 | |
| Vertical | 9.21 | 74.30 | 22.7 | 0.08 | 11.03 | 5189.30 | 7150.20 | 43.36 | 22.23 | |
| 3129 | East | 11.99 | 75.90 | 76.5 | 0.06 | 17.97 | 15,272.00 | 10,312.00 | 62.84 | 32.73 |
| North | 13.52 | 171.30 | 51.3 | 0.13 | 24.71 | 18,009.00 | 13,096.00 | 38.18 | 59.93 | |
| Vertical | 7.17 | 42.60 | 22.4 | 0.06 | 6.54 | 3818.50 | 4834.30 | 59.01 | 17.51 | |
| 3131 | East | 3.55 | 44.90 | 26.2 | 0.13 | 1.70 | 4548.60 | 1762.20 | 70.86 | 23.77 |
| North | 3.55 | 48.00 | 52.2 | 0.14 | 1.36 | 6335.30 | 1484.20 | 58.61 | 20.14 | |
| Vertical | 1.46 | 19.20 | 11.8 | 0.13 | 0.37 | 919.45 | 564.10 | 69.31 | 8.81 | |
| 3132 | East | 5.08 | 52.00 | 67.3 | 0.10 | 4.34 | 11,303.00 | 3554.90 | 72.52 | 26.78 |
| North | 5.01 | 67.40 | 31.7 | 0.13 | 3.66 | 6446.20 | 3128.60 | 67.76 | 32.02 | |
| Vertical | 3.56 | 34.40 | 12.5 | 0.10 | 1.83 | 1986.40 | 1860.20 | 62.44 | 17.60 | |
| 3133 | East | 1.45 | 23.40 | 33.3 | 0.16 | 0.61 | 1966.20 | 812.20 | 88.75 | 9.07 |
| North | 2.22 | 29.20 | 20.3 | 0.13 | 0.92 | 2046.10 | 1113.70 | 89.79 | 14.26 | |
| Vertical | 0.86 | 15.10 | 13.9 | 0.18 | 0.28 | 720.67 | 451.22 | 91.15 | 3.59 | |
| 3134 | East | 1.99 | 39.50 | 66.4 | 0.20 | 1.25 | 5012.10 | 1431.10 | 78.17 | 11.93 |
| North | 2.45 | 39.10 | 41.3 | 0.16 | 1.40 | 4412.10 | 1564.30 | 77.18 | 14.14 | |
| Vertical | 1.23 | 19.10 | 23.2 | 0.16 | 0.52 | 843.70 | 747.04 | 79.78 | 4.72 | |
| 3135 | East | 13.15 | 65.40 | 48.4 | 0.05 | 6.77 | 6116.70 | 4958.40 | 31.79 | 29.19 |
| North | 7.41 | 50.20 | 57.5 | 0.07 | 5.51 | 7514.30 | 4247.40 | 41.52 | 21.80 | |
| Vertical | 5.75 | 37.60 | 16.7 | 0.07 | 2.34 | 1746.00 | 2235.00 | 45.8 | 10.70 | |
| 3136 | East | 3.83 | 54.20 | 48.3 | 0.14 | 3.53 | 7241.90 | 3041.10 | 79.26 | 16.45 |
| North | 5.18 | 51.80 | 35 | 0.10 | 3.85 | 5330.70 | 3248.90 | 75.46 | 22.37 | |
| Vertical | 2.19 | 29.40 | 20 | 0.13 | 1.10 | 1577.60 | 1268.30 | 89.79 | 10.52 | |
| 3137 | East | 6.70 | 76.90 | 54.2 | 0.12 | 3.49 | 10,197.00 | 3095.80 | 64.9 | 22.98 |
| North | 4.29 | 80.90 | 142 | 0.19 | 3.50 | 16,353.00 | 3103.70 | 72.75 | 22.22 | |
| Vertical | 4.48 | 40.90 | 13.9 | 0.09 | 2.18 | 1885.00 | 2172.30 | 73.41 | 14.56 | |
| 3139 | East | 5.04 | 145.30 | 119 | 0.29 | 6.97 | 32,860.00 | 5205.50 | 75.63 | 47.15 |
| North | 5.73 | 155.40 | 120.3 | 0.27 | 8.60 | 34,587.00 | 6091.70 | 73.01 | 51.42 | |
| Vertical | 3.53 | 53.10 | 33.8 | 0.15 | 2.94 | 5258.90 | 2726.60 | 77.83 | 21.60 | |
| 3140 | East | 2.17 | 79.10 | 84 | 0.37 | 2.04 | 21,055.00 | 1975.50 | 91.37 | 20.05 |
| North | 1.94 | 63.30 | 48.2 | 0.33 | 2.29 | 13,703.00 | 2155.30 | 94.47 | 22.71 | |
| Vertical | 1.75 | 29.60 | 17.5 | 0.17 | 0.85 | 3644.20 | 1029.60 | 100.89 | 12.99 | |
| 3141 | East | 8.36 | 123.90 | 107.3 | 0.15 | 15.15 | 20,720.00 | 9072.30 | 70.8 | 41.37 |
| North | 9.92 | 80.60 | 60.9 | 0.08 | 13.26 | 10,860.00 | 8210.60 | 67.14 | 32.62 | |
| Vertical | 6.68 | 41.60 | 39.4 | 0.06 | 6.11 | 2742.80 | 4590.00 | 66.34 | 17.15 | |
| 3142 | East | 7.40 | 76.20 | 98.8 | 0.10 | 5.36 | 13,799.00 | 4162.00 | 77.87 | 22.72 |
| North | 6.51 | 90.50 | 79.8 | 0.14 | 5.28 | 6789.30 | 4115.10 | 68.86 | 23.39 | |
| Vertical | 4.57 | 30.40 | 21.8 | 0.07 | 2.01 | 1027.20 | 1992.10 | 80.27 | 8.60 | |
| 3143 | East | 3.46 | 104.40 | 90.6 | 0.30 | 2.48 | 15,660.00 | 2437.60 | 67.74 | 24.18 |
| North | 3.78 | 124.80 | 125.6 | 0.33 | 2.70 | 14,662.00 | 2597.50 | 66.74 | 28.06 | |
| Vertical | 3.81 | 27.70 | 19.3 | 0.07 | 1.63 | 1331.90 | 1779.20 | 67.76 | 11.40 | |
| 3144 | East | 3.46 | 104.40 | 90.6 | 0.30 | 3.85 | 29,320.54 | 2437.60 | 75.48 | 25.27 |
| North | 3.78 | 124.80 | 125.6 | 0.33 | 3.57 | 20,346.68 | 2597.50 | 71.02 | 28.75 | |
| Vertical | 3.81 | 27.70 | 19.3 | 0.07 | 1.35 | 5053.86 | 1779.20 | 65.96 | 22.17 | |
| 3145 | East | 6.93 | 157.80 | 125.4 | 0.23 | 6.50 | 29,941.00 | 3334.69 | 57.34 | 44.23 |
| North | 5.92 | 116.50 | 125.8 | 0.20 | 3.81 | 15,638.00 | 3147.24 | 63.25 | 25.38 | |
| Vertical | 6.10 | 65.20 | 32 | 0.11 | 3.05 | 5161.80 | 1519.02 | 48.8 | 26.02 | |
| 3146 | East | 3.25 | 54.60 | 70.9 | 0.17 | 3.07 | 6374.50 | 3011.20 | 49.92 | 12.93 |
| North | 4.63 | 42.20 | 51.9 | 0.09 | 4.55 | 4496.00 | 4040.50 | 43.67 | 13.89 | |
| Vertical | 2.73 | 19.30 | 9.4 | 0.07 | 1.73 | 618.45 | 1958.60 | 54.77 | 8.03 | |
| 3147 | East | 0.47 | 24.90 | 34.9 | 0.53 | 0.08 | 2251.40 | 174.90 | 85.61 | 4.07 |
| North | 0.56 | 13.70 | 18.9 | 0.25 | 0.07 | 877.55 | 157.03 | 84.92 | 3.47 | |
| Vertical | 0.28 | 7.80 | 11.6 | 0.27 | 0.04 | 448.63 | 104.75 | 104.85 | 2.82 |
Disclaimer/Publisher’s Note: The statements, opinions and data contained in all publications are solely those of the individual author(s) and contributor(s) and not of MDPI and/or the editor(s). MDPI and/or the editor(s) disclaim responsibility for any injury to people or property resulting from any ideas, methods, instructions or products referred to in the content. |
© 2025 by the author. Licensee MDPI, Basel, Switzerland. This article is an open access article distributed under the terms and conditions of the Creative Commons Attribution (CC BY) license (https://creativecommons.org/licenses/by/4.0/).
Share and Cite
Yenidogan, C. Evaluation of Overall Seismic Performance of RC Structures and Effectiveness of Seismic Isolation Technology Under Extreme Events: February 6, 2023, Earthquakes. Buildings 2025, 15, 990. https://doi.org/10.3390/buildings15060990
Yenidogan C. Evaluation of Overall Seismic Performance of RC Structures and Effectiveness of Seismic Isolation Technology Under Extreme Events: February 6, 2023, Earthquakes. Buildings. 2025; 15(6):990. https://doi.org/10.3390/buildings15060990
Chicago/Turabian StyleYenidogan, Cem. 2025. "Evaluation of Overall Seismic Performance of RC Structures and Effectiveness of Seismic Isolation Technology Under Extreme Events: February 6, 2023, Earthquakes" Buildings 15, no. 6: 990. https://doi.org/10.3390/buildings15060990
APA StyleYenidogan, C. (2025). Evaluation of Overall Seismic Performance of RC Structures and Effectiveness of Seismic Isolation Technology Under Extreme Events: February 6, 2023, Earthquakes. Buildings, 15(6), 990. https://doi.org/10.3390/buildings15060990

