Evaluation of Essential Oils and Extracts of Rose Geranium and Rose Petals as Natural Preservatives in Terms of Toxicity, Antimicrobial, and Antiviral Activity
Abstract
1. Introduction
2. Materials and Methods
2.1. Essential Oils and Extracts
2.2. Gas Chromatography-Mass Spectrometry
2.3. Liquid Chromatography-Mass Spectrometry
2.4. Mutagenicity Assay
2.5. Antibacterial Assay
2.6. Antifungal Assay
2.7. Antiviral Assay
2.8. Life Span Assay
3. Results
3.1. Chemical Analysis
3.2. Antimutagenesis
3.3. Antibacterial Activity
3.4. Antifungal Activity
3.5. Antiviral Activity
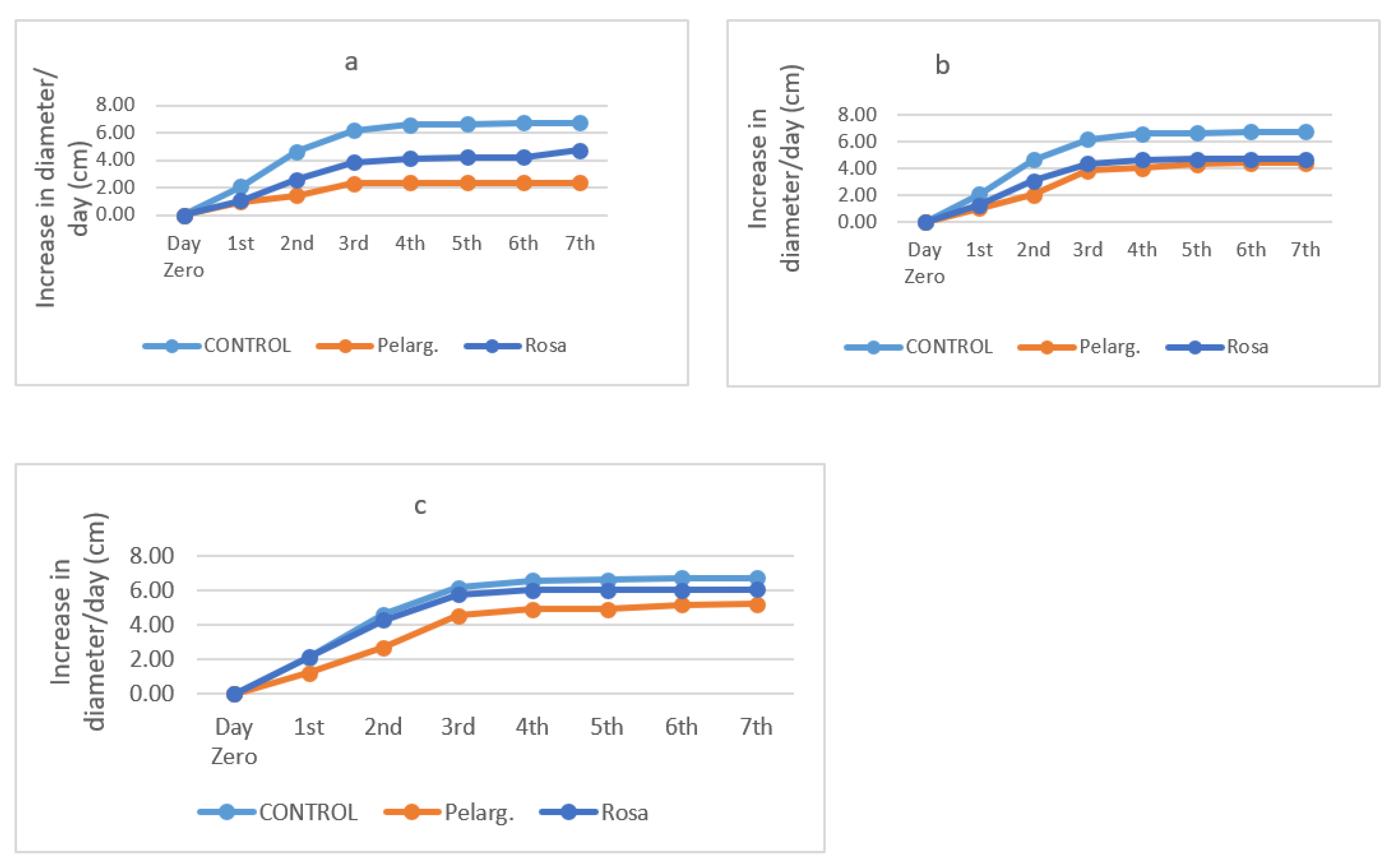
3.6. Life Span
4. Discussion
Author Contributions
Funding
Institutional Review Board Statement
Informed Consent Statement
Data Availability Statement
Conflicts of Interest
References
- Swamy, M.K.; Sinniah, U.R. A comprehensive review on the phytochemical constituents and pharmacological activities of Pogostemon cablin Benth: An aromatic medicinal plant of industrial importance. Molecules 2015, 20, 8521–8547. [Google Scholar] [CrossRef]
- Arumugam, G.; Swamy, M.K.; Sinniah, U.R. Plectranthus amboinicus (Lour.) Spreng: Botanical, phytochemical, pharmacological and nutritional significance. Molecules 2016, 21, 369. [Google Scholar] [CrossRef]
- Sudipta, K.M.; Lokesh, P.; Rashmi, W.; Vijay, R.; Ssn, K. Phytochemical screening and in vitro antimicrobial activity of Bougainvillea spectabilis flower extracts. Int. J. Phytomedicine 2012, 4, 375–379. [Google Scholar]
- Swamy, M.K.; Akhtar, M.S.; Sinniah, U.R. Antimicrobial Properties of Plant Essential Oils against Human Pathogens and Their Mode of Action: An Updated Review. Evid. Based Complementary Altern. Med. 2016. [Google Scholar] [CrossRef] [PubMed]
- Oliveira, M.; Usall, J.; Vinas, I.; Anguera, M.; Gatius, F.; Abadias, M. Microbiological quality of fresh lettuce from organic and conventional production. Food Microbiol. 2010, 27, 679–684. [Google Scholar] [CrossRef] [PubMed]
- Wetzel, K.; Lee, J.; Lee, C.S.; Binkley, M. Comparison of microbial diversity of edible flowers and basil grown with organic versus conventional methods. Can. J. Microbiol. 2010, 56, 943–951. [Google Scholar] [CrossRef] [PubMed]
- Moore-Neibel, K.; Gerber, C.; Patel, J.; Friedman, M.; Ravishankar, S. Antimicrobial activity of lemongrass oil against Salmonella enterica on organic leafy greens. J. Appl. Microbiol. 2011, 112, 485–492. [Google Scholar] [CrossRef]
- Pandey, A.K.; Kumar, P.; Singh, P.; Tripathi, N.N.; Bajpai, V.K. Essential Oils: Sources of Antimicrobials and Food Preservatives. Front. Microbiol. 2017, 7, 2161. [Google Scholar] [CrossRef]
- Akhtar, B.D.; Azam, T. Antimicrobial activity of essential oils extracted from medicinal plants against the pathogenic microorganisms: A review. Biol. Sci. Pharm. Res. 2014, 2, 1–7. [Google Scholar]
- Anupama, G.; Netravathi, D.K.; Avinash, M. Essential oils: A novel source for food preservation. J. Pharmacogn. Phytochem. 2019, 8, 2098–2101. [Google Scholar]
- Mohanka, R.; Priyanka, A.M.J. Plant Extract as natural food preservative against spoilage Fungi from processed food. Int. J. Curr. Microbiol. Appl. Sci. 2014, 3, 91–98. [Google Scholar]
- Kang, H.Y.; Na, S.S.; Kim, Y.K. Effects of oral care with essential oil on improvement in oral health status of hospice patients. J. Korean Acad. Nurs. 2010, 40, 473–481. [Google Scholar] [CrossRef]
- Benelli, G.; Pavela, R.; Canale, A.; Cianfaglione, K.; Ciaschetti, G.; Conti, F.; Nicoletti, M.; Senthil-Nathan, S.; Mehlhorn, H.; Maggi, F. Acute larvicidal toxicity of five essential oils (Pinus nigra, Hyssopus officinalis, Satureja montana, Aloysia citrodora and Pelargonium graveolens) against the filariasis vector Culex quinquefasciatus: Synergistic and antagonistic effects. Parasitol. Int. 2017, 66, 166–171. [Google Scholar] [CrossRef] [PubMed]
- Ćavar, S.; Maksimović, M. Antioxidant activity of essential oil and aqueous extract of Pelargonium graveolens L’Her. Food Control 2012, 23, 263–267. [Google Scholar] [CrossRef]
- Akbari, M.; Kazerani, H.R.; Kamrani, A.; Mohri, M. A preliminary study on some potential toxic effects of Rosa damascena Mill. Iran. J. Vet. Res. 2013, 14, 232–236. [Google Scholar]
- Nunes, H.S.; Miguel, M.G. Rosa damascena essential oils: A brief review about chemical composition and biological properties. Trends Phytochem. Res. 2017, 1, 111–128. [Google Scholar]
- Mohaddese, M. Rosa damascena as holy ancient herb with novel applications. J. Tradit. Complementary Med. 2016, 6, 10–16. [Google Scholar]
- Viuda-Martos, M.; Mohamady, M.A.; Fernández-López, J.; Abd ElRazik, K.A.; Omer, E.A.; Pérez-Alvarez, J.A.; Sendra, E. In vitro antioxidant and antibacterial activities of essentials oils obtained from Egyptian aromatic plants. Food Control 2011, 22, 1715–1722. [Google Scholar] [CrossRef]
- Sharopov, F.S.; Zhang, H.; Setzer, W.N. Composition of geranium (Pelargonium graveolens) essential oil from Tajikistan. Am. J. Essent. Oils Nat. Prod. 2014, 2, 13–16. [Google Scholar]
- Van Den Dool, H.; Kratz, P.D. A generalization of the retention index system including linear temperature programmed gas liquid partition chromatography. J. Chromatogr. 1963, 11, 463–471. [Google Scholar] [CrossRef]
- Adams, R.P. Identification of Essential Oil Components by Gas Chromatography/Mass Spectrometry, 4th ed.; Allured Publishing Corporation: Carol Stream, IL, USA, 2012. [Google Scholar]
- National Institute of Standards and Technology. NIST WebBook. Available online: http://webbook.nist.gov/chemistry/ (accessed on 20 December 2020).
- Mortelmans, K.; Zeiger, E. The Ames Salmonella/microsome mutagenicity assay. Fundamental and Molecular Mechanisms of Mutagenesis. Mutat. Res. 2000, 455, 29–60. [Google Scholar] [CrossRef]
- Taherkhani, T.; Zakaria, R.A.; Taherkhani, M. Mutagenic and Anti-mutagenic properties of the essential oil of Jurinea leptoloba DC by Ames Test. Cumhuriyet University Faculty of Science. Sci. J. (CSJ) 2015, 36, 1682–1687. [Google Scholar]
- Hughes, T.J.; Simmons, D.M.; Monteith, L.G.; Claxton, L.D. Vaporization technique to measure mutagenic activity of volatile organic chemicals in the Ames/Salmonella assay. Environ. Mutagenesis 1987, 9, 421–441. [Google Scholar] [CrossRef]
- Isono, K.; Yourno, J. Chemical carcinogens as frameshift mutagens: Salmonella DNA sequence sensitive to mutagenesis by polycyclic carcinogens. Proc. Natl. Acad. Sci. USA 1974, 71, 1612–1617. [Google Scholar] [CrossRef] [PubMed]
- Barnes, W. Base-sequence analysis of His+ revertants of the hiG46 missense mutation in Salmonella typhimurium. Environ. Mutagenesis 1982, 4, 297. [Google Scholar]
- Saderi, H.; Abbasi, M. Evaluation of anti-adenovirus activity of some plants from Lamiaceae family grown in Iran in cell culture. Afr. J. Biotechnol. 2011, 10, 17546–17550. [Google Scholar]
- Araki, A.; Noguchi, T.; Kato, F.; Matsushima, T. Improved method for mutagenicity testing of gaseous compounds by using a gas sampling bag. Mutat. Res. 1994, 307, 335–344. [Google Scholar] [CrossRef]
- Simmon, V.F.; Kauhanen, K.; Tardiff, R.G. Mutagenic activities of chemicals identified in drinking water. In Progress in Genetic Toxicology; Scott, D., Bridges, B.A., Sobels, F.H., Eds.; Elsevier/North-Holland: Amsterdam, The Netherlands, 1977; pp. 249–258. [Google Scholar]
- Zeiger, E.; Anderson, B.; Haworth, S.; Lawlor, T.; Mortelmans, K. Salmonella mutagenicity tests: V. Results from the testing of 311 chemicals. Environ. Mol. Mutagenesis 1992, 19 (Suppl. 21), 1–141. [Google Scholar] [CrossRef]
- Hengstler, J.G.; Oesch, F. Ames Test. In Encyclopedia of Genetics; Brenner, S., Miller, J., Eds.; Academic Press: New York, NY, USA, 2001; pp. 51–54. [Google Scholar]
- Oliveira, N.D.M.S.; Resende, M.R.; Morales, D.A.; de Ragão Umbuzeiro, G.; Boriollo, M.F.G. In vitro mutagenicity assay (Ames test) and phytochemical characterization of seeds oil of Helianthus annuus Linné (sunflower). Toxicol. Rep. 2016, 3, 733–739. [Google Scholar] [CrossRef]
- Vaughan, D.J.; Baptista, J.A.; Perdomo, G.R.; Krepinsky, J.J. The involvement of dimethyl sulfoxide in a bacteriotoxic response of the Ames assay tester strains TA98 and TA100. Mutat. Res. 1989, 226, 39–42. [Google Scholar] [CrossRef]
- Erdemgil, F.Z.; Ilhan, S.; Korkmaz, F.; Kaplan, C.; Mercangöz, A.; Arfan, M.; Ahmad, S. Chemical Composition and Biological Activity of the Essential Oil of Perovskia atriplicifolia From Pakistan. Pharm. Biol. 2007, 45, 324–331. [Google Scholar] [CrossRef]
- Maron, D.M.; Ames, B.N. Revised method for the Salmonella mutagenicity test. Mutat. Res. 1983, 113, 173–215. [Google Scholar] [CrossRef]
- Mudyiwa, M.; Muredzi, P.; Nyati, H. Isolation of Citric acid Producing Asp. Niger Strains; LAP Lambert Academic Publishing: Chisinau, Republic of Moldova, 2013. [Google Scholar]
- Toscano-Garibay, J.D.; Arriaga-Alba, M.; Sánchez-Navarrete, J.; Mendoza-García, M.; Flores-Estrada, J.J.; Moreno-Eutimio, M.A.; Espinosa-Aguirre, J.J.; González-Ávila, M.; Ruiz-Pérez, N.J. Antimutagenic and antioxidant activity of the essential oils of Citrus sinensis and Citrus latifolia. Sci. Rep. 2017, 7, 11479. [Google Scholar] [CrossRef] [PubMed]
- Humphries, R.M.; Abbott, A.N.; Hindler, J.A. Understanding and addressing CLSI breakpoint revisions: A primer for clinical laboratories. J. Clin. Microbiol. 2019, 57, e00203-19. [Google Scholar] [CrossRef] [PubMed]
- Barel, A.O.; Paye, M.; Maibach, H.I. Handbook of Cosmetic Science and Technology, 2nd ed.; CRC Press: Boca Raton, FL, USA, 2005; Chapter 64, Test Organisms. [Google Scholar]
- Rijal, N. Potato Dextrose Agar (PDA): Principle, composition and colony characteristics. Med. Microbiol. Guide Cult. Media Used Microbiol. 2015. Available online: https://microbeonline.com/potato-dextrose-agar-pda-principle-composition-colony-characteristics/ (accessed on 15 April 2021).
- Jeddou, K.B.; Benchennouf, A.; Jancheva, M.; Grigorakis, S.; Lydakis-Simantiris, N. Seasonal variation effects on essential oil contend and composition of Pelargonium graveolens cultivated in Greece, Crete. In Proceedings of the International Conference “Climate Changing Agriculture”, Chania, Greece, 29 August–2 September 2017; pp. 146–150. [Google Scholar]
- Verma, R.S.; Verma, R.K.; Yadav, A.K.; Chauhan, A. Changes in the essential oil composition of rose-scented geranium (Pelargonium graveolens L’Herit. ex Ait.) due to date of transplanting under hill conditions of Uttarakhand. Indian J. Nat. Prod. Resour. 2010, 1, 367–370. [Google Scholar]
- Abd El-Wahab, A.; Toaima, M.; Hamed, S. Effect of different planting locations in Egypt on volatile oil of geranium (Pelargonium graveolens L.) plant. J. Basic Appl. Res. 2016, 2, 522–533. [Google Scholar]
- Verma, R.S.; Padalia, R.C.; Chauhan, A.; Singh, A.; Yadav, A.K. Volatile constituents of essential oil and rosewater of damask rose (Rosa damascena Mill.) cultivars from North Indian hills. Nat. Prod. Res. 2011, 25, 1577–1584. [Google Scholar] [CrossRef]
- Karami, A.; Jandoust, S. Comparison Scent Compound Emitted from Flowers of Damask Rose and Persian Musk Rose. Med. Aromat. Plants 2016, 5, 4. [Google Scholar] [CrossRef]
- Koksall, N.; Aslancan, H.; Sadighazadi, S.; Kafkas, E. Chemical investigation on Rose damascena Mill. volatiles; Effect of storage and drying condition. Acta Sci. Pol. Hortorum Cultus 2015, 14, 105–114. [Google Scholar]
- Misra, A.; Sharma, S.; Singh, A.; Patra, N.K. Influence of topographical and edaphic factors on rose. Flower. Qual. Quant. 2002, 33, 2771–2780. [Google Scholar]
- Kumar, N.; Bhandari, P.; Singh, B.; Bari, S.S. Antioxidant activity and ultra-performance LC-electrospray ionization-quadrupole time-of-flight mass spectrometry for phenolics-based fingerprinting of Rose species: Rosa damascena, Rosa bourboniana and Rosa brunonii. Food Chem. Toxicol. 2009, 47, 361–367. [Google Scholar] [CrossRef] [PubMed]
- Riffault, L.; Destandau, E.; Pasquier, L.; André, P.; Elfakir, C. Phytochemical analysis of Rosa hybrida cv. ‘Jardin de Granville’ by HPTLC, HPLC-DAD and HPLC-ESI-HRMS: Polyphenolic fingerprints of six plant organs. Phytochemistry 2014, 99, 127–134. [Google Scholar] [CrossRef] [PubMed]
- Schieber, A.; Mihalev, K.; Berardini, N.; Mollov, P.; Carle, R. Flavonol Glycosides from Distilled Petals of Rosa damascena Mill. Z. Für Nat. C 2005, 60, 379–384. [Google Scholar] [CrossRef] [PubMed]
- Cai, Y.Z.; Xing, J.; Sun, M.; Zhan, Z.Q.; Corke, H. Phenolic Antioxidants (Hydrolyzable Tannins, Flavonols, and Anthocyanins) Identified by LC-ESI-MS and MALDI-QIT-TOF MS from Rosa chinensis Flowers. J. Agric. Food Chem. 2005, 53, 9940–9948. [Google Scholar] [CrossRef] [PubMed]
- Abdel-Hameed, E.S.S.; Bazaid, S.A.; Salman, M.S. Characterization of the Phytochemical Constituents of Taif Rose and Its Antioxidant and Anticancer Activities. BioMed Res. Int. 2013, 2013, 13. [Google Scholar] [CrossRef]
- Mohsen, E.; Younis, I.Y.; Farag, M.A. Metabolites profiling of Egyptian Rosa damascena Mill. flowers as analyzed via ultra-high-performance liquid chromatography-mass spectrometry and solid-phase microextraction gas chromatography-mass spectrometry in relation to its anti-collagenase skin effect. Ind. Crop. Prod. 2020, 155, 112818. [Google Scholar]
- Al-Sayed, E.; Martiskainen, O.; el-Din, S.H.S.; Sabra, A.N.A.; Hammam, O.A.; El-Lakkany, N.M. Protective effect of Pelargonium graveolens against carbon tetrachloride-induced hepatotoxicity in mice and characterization of its bioactive constituents by HPLC–PDA–ESI–MS/MS analysis. Med. Chem. Res. 2015, 24, 1438–1448. [Google Scholar] [CrossRef]
- Graça, V.C.; Dias, M.I.; Barros, L.; Calhelha, R.C.; Santos, P.F.; Ferreira, I.C. Fractionation of the more active extracts of Geranium molle L.: A relationship between their phenolic profile and biological activity. Food Funct. 2018, 9, 2032. [Google Scholar] [CrossRef]
- Graça, V.C.; Barros, L.; Calhelha, R.C.; Dias, M.I.; Ferreira, I.C.; Santos, P.F. Bio-guided fractionation of extracts of Geranium robertianum L.: Relationship between phenolic profile and biological activity. Ind. Crop. Prod. 2017, 108, 543–552. [Google Scholar] [CrossRef]
- Ulusoy, S.; Boşgelmez-Tınaz, G.; Seçilmiş-Canbay, H. Tocopherol, Carotene, Phenolic Contents and Antibacterial Properties of Rose Essential Oil, Hydrosol and Absolute. Curr. Microbiol. 2009, 59, 554–558. [Google Scholar] [CrossRef] [PubMed]
- Shohayeb, M.; Abdel-Hameed, E.S.S.; Bazaid, S.A.; Maghrabi, I. Antibacterial and Antifungal Activity of Rosa damascena MILL. Essential Oil, Different Extracts of Rose Petals. Glob. J. Pharmacol. 2014, 8, 1–7. [Google Scholar]
- Etschmann, M.; Bluemke, W.; Sell, D.; Schrader, J. Biotechnological production of 2-phenylethanol. Appl. Microbiol. Biotechnol 2002, 59, 1–8. [Google Scholar]
- Lira, M.H.P.D.; Andrade Júnior, F.P.D.; Moraes, G.F.Q.; Macena, G.D.S.; Pereira, F.D.O.; Lima, I.O. Antimicrobial activity of geraniol: An integrative review. J. Essent. Oil Res. 2020, 32, 187–197. [Google Scholar] [CrossRef]
- Guimarães, A.C.; Meireles, L.M.; Lemos, M.F.; Guimarães, M.C.C.; Endringer, D.C.; Fronza, M.; Scherer, R. Antibacterial Activity of Terpenes and Terpenoids Present in Essential Oils. Molecules 2019, 24, 2471. [Google Scholar] [CrossRef]
- Hsouna, A.B.; Hamdi, N. Phytochemical composition and antimicrobial activities of the essential oils and organic extracts from Pelargonium graveolens growing in Tunisia. Lipids Health Dis. 2012, 11, 167. [Google Scholar] [CrossRef]
- Džamić, A.M.; Soković, M.D.; Ristić, M.S.; Grujić, S.M.; Mileski, K.S.; Marin, P.D. Chemical composition, antifungal and antioxidant activity of Pelargonium graveolens essential oil. J. Appl. Pharm. Sci. 2014, 4, 1–5. [Google Scholar]
- Ma, L.; Yao, L. Antiviral Effects of Plant-Derived Essential Oils and Their Components: An Updated Review. Molecules 2020, 25, 2627. [Google Scholar] [CrossRef]
- Farhadi, F.; Khameneh, B.; Iranshahi, M.; Iranshahy, M. Antibacterial activity of flavonoids and their structure-activity relationship: An update review. Phytother. Res. 2019, 33, 13–40. [Google Scholar] [CrossRef]
- Taiwo, F.O.; Oyedeji, O.; Osundahunsi, M.T. Antimicrobial and Antioxidant Properties of kaempferol-3-O-glucoside and 1-(4-Hydroxyphenyl)-3-phenylpropan-1-one Isolated from the Leaves of Annona muricata (Linn.). J. Pharm. Res. Int. 2019, 26, 1–13. [Google Scholar] [CrossRef]
- Achika, J.I.; Ayo, R.G.; Oyewale, A.O.; Habila, J.D. Flavonoids with antibacterial and antioxidant potentials from the stem bark of Uapaca heudelotti. Heliyon 2020, 6, e03381. [Google Scholar] [CrossRef]
- Ali, I.B.E.; Tajini, F.; Boulila, A.; Jebri, M.A.; Boussaid, M.; Messaoud, C.; Sebaï, H. Bioactive compounds from Tunisian Pelargonium graveolens (L’Hér.) essential oils and extracts: α-amylase and acetylcholinesterase inhibitory and antioxidant, antibacterial and phytotoxic activities. Ind. Crop. Prod. 2020, 158, 112951. [Google Scholar] [CrossRef]
- Zakaryan, H.; Arabyan, E.; Oo, A.; Zandi, K. Flavonoids: Promising natural compounds against viral infections. Arch. Virol. 2017, 162, 2539–2551. [Google Scholar] [CrossRef]
- Gansukh, E.; Nile, A.; Kim, D.H.; Oh, J.W.; Nile, S.H. New insights into antiviral and cytotoxic potential of quercetin and its derivatives—A biochemical perspective. Food Chem. 2021, 1, 127508. [Google Scholar] [CrossRef] [PubMed]
- Kai, H.; Obuchi, M.; Yoshida, H.; Watanabe, W.; Tsutsumi, S.; Park, Y.K.; Matsuno, K.; Yasukawa, K.; Kurokawa, M. In vitro and in vivo anti-influenza virus activities of flavonoids and related compounds as components of Brazilian propolis (AF-08). J. Funct. Foods 2014, 8, 214–223. [Google Scholar] [CrossRef]
- Chiow, K.H.; Phoon, M.C.; Putti, T.; Tan, B.K.; Chow, V.T. Evaluation of antiviral activities of Houttuynia cordata Thunb. extract, quercetin, quercetrin and cinanserin on murine coronavirus and dengue virus infection. Asian Pac. J. Trop. Med. 2016, 9, 1–7. [Google Scholar] [CrossRef]
- Solnier, J.; Fladerer, J.P. Flavonoids: A complementary approach to conventional therapy of COVID-19? Phytochem. Rev. 2020. [Google Scholar] [CrossRef] [PubMed]
- Chen, C.H.; Chou, T.W.; Cheng, L.H.; Ho, C.W. In vitro anti-adenoviral activity of five Allium plants. J. Taiwan Inst. Chem. Eng. 2011, 42, 228–232. [Google Scholar] [CrossRef]


| Components | AIexp a | AΙtheor b | % Peak Area/IS Area | |
|---|---|---|---|---|
| Pelargonium graveolens | Rosa damascena | |||
| α–pinene | 929 | 932 | 0.19 ± 0.02 | nd |
| cis–linalool oxide (fr) | 1069 | 1067 | 0.21 ± 0.08 | nd |
| trans–linalool oxide (fr) | 1085 | 1084 | 0.17 ± 0.03 | nd |
| linalool | 1092 | 1095 | 2.93 ± 0.17 | 3.32 ± 0.17 |
| cis–rose oxide | 1108 | 1106 | 0.84 ± 0.06 | nd |
| phenyl ethyl alcohol | 1117 | 1107 | nd | 40.03 ± 0.13 |
| trans–rose oxide | 1125 | 1122 | 0.29 ± 0.01 | nd |
| menthone | 1150 | 1148 | 0.41 ± 0.06 | nd |
| isomenthone | 1163 | 1158 | 3.02 ± 0.09 | 0.41 ± 0.06 |
| α–terpineol | 1195 | 1186 | 0.16 ± 0.00 | 0.74 ± 0.01 |
| methyl chavicol (estragole) | 1205 | 1195 | nd | 0.59 ± 0.00 |
| citronellol | 1228 | 1223 | 26.73 ± 1.65 | 19.89 ± 0.34 |
| neral | 1239 | 1235 | 0.17 ± 0.00 | nd |
| geraniol | 1254 | 1249 | 10.1 ± 0.17 | 27.8 ± 0.90 |
| citronellyl formate | 1274 | 1271 | 3.96 ± 0.01 | 0.76 ± 0.27 |
| geranyl formate | 1300 | 1298 | 1.05 ± 0.06 | nd |
| citronellyl acetate | 1352 | 1350 | 0.14 ± 0.00 | nd |
| α–copaene | 1371 | 1374 | 0.33 ± 0.07 | nd |
| β–bourbonene | 1380 | 1387 | 0.81 ± 0.03 | nd |
| geranyl acetate | 1383 | 1379 | 0.16 ± 0.02 | nd |
| β–elemene | 1393 | 1389 | nd | 1.10 ± 0.00 |
| vanillin | 1399 | 1393 | 7.06 ± 1.79 | nd |
| Ε–caryophyllene | 1414 | 1417 | 1.12 ± 1.25 | 0.82 ± 0.00 |
| aromadendrene | 1439 | 1439 | 0.31 ± 0.07 | nd |
| citronellyl propanoate | 1442 | 1444 | 0.22 ± 0.01 | nd |
| allo–aromadendrene | 1456 | 1458 | nq | nd |
| geranyl propanoate | 1473 | 1476 | 0.46 ± 0.05 | nd |
| γ–muurolene | 1477 | 1480 | nd | 0.28 ± 0.05 |
| E-β-ionone | 1489 | 1487 | nd | 0.50 ± 0.26 |
| α–muurolene | 1501 | 1500 | 0.14 ± 0.00 | 0.28 ± 0.04 |
| γ–cadinene | 1509 | 1513 | 0.16 ± 0.00 | nd |
| δ–cadinene | 1519 | 1522 | 0.74 ± 0.48 | nd |
| citronellyl butanoate | 1526 | 1530 | 0.39 ± 0.01 | nd |
| α–agarofuran | 1540 | 1548 | 0.30 ± 0.14 | nd |
| geranyl butanoate | 1559 | 1562 | 0.49 ± 0.05 | nd |
| spathulenol | 1573 | 1577 | nq | nd |
| caryophyllene oxide | 1578 | 1582 | 0.24 ± 0.00 | nd |
| phenyl ethyl tiglate | 1584 | 1584 | 0.34 ± 0.03 | nd |
| 10–epi–γ–eudesmol | 1614 | 1622 | 3.28 ± 0.38 | nd |
| γ–eudesmol | 1632 | 1630 | 0.25 ± 0.00 | nd |
| 4a-hydroxy-dihydro agarofuran | 1643 | 1651 | 0.28 ± 0.00 | nd |
| geranyl tiglate | 1700 | 1696 | 0.74 ± 0.15 | nd |
| hexadecanoic acid | 1961 | 1959 | 0.65 ± 0.00 | nd |
| number of components | 39 | 13 | ||
| total identified | 67.98 ± 5.15 | 96.47 ± 0.43 | ||
| Peak | Rt (min) | Negative Ionization (m/z) | Positive Ionization (m/z) | M.W. | Molecular Formula | Tentative Identification | C (μg/mL) |
|---|---|---|---|---|---|---|---|
| 1 | 1.8 | 179[M - H]− 215[M + Cl]− 217[M + K - 2H]− | 203[M + Na]+ 383[2M + Na]+ | 180 | C6H12O6 | Hexose 52 | 5.3 ± 0.4 |
| 2 | 1.9 | 341[M - H]− 683[2M - H]− 161 [M - H - 180 (hexose)]− | 365[M + Na]+ | 342 | C15H18O9 | Caffeoyl hexoside 49 | nq |
| 3 | 25.4 | 609[M - H]− 301[Quercetin - H]− | 611[M + H]+ 325[M + H + K]2+ 633[M + Na]+ | 610 | C27H30O16 | Rutin (Quercetin 3-O-rutinoside) st | nq |
| 4 | 25.9 | 463[M - H]− 928[2M - H]− 300[Quercetin - 2H]− | 465[M + H]+ 487[M + Na]+ 952[2M + Na]+ | 464 | C21H20O12 | Quercetin-3-O-hexoside 48,49,50 | 7.0 ± 0.3 |
| 5 | 26.4 | 463[M - H]− 928[2M - H]− 301[Quercetin - H]− | 465[M + H]+ 487[M + Na]+ 952[2M + Na]+ | 464 | C21H20O12 | Quercetin-3-O-glucoside st | 7.4 ± 0.2 |
| 6 | 27.9 | 593[M - H]− 285[Kaempferol - H]− | 595[M + H]+ 317[M + H+K]2+ 617[M + Na]+ | 594 | C27H30O15 | Kaempferol disaccharide 48,50 | nq |
| 7 | 28.1 | 447[M - H]− 896[2M - H]− 285[Kaempferol - H]− | 449[M + H]+ 471[M + Na]+ 920[2M + Na]+ | 448 | C21H20O11 | Kaempferol hexoside 48,49,50 | 14.7 ± 1.5 |
| 8 | 28.5 | 609[M - H]− | 611[M + H]+ 325[M + H+K]2+ 633[M + Na]+ | 610 | C27H30O16 | Quercetin disaccharide 50 | nq |
| 9 | 28.9 | 433[M - H]− | 435[M + H]+ 457[M + Na]+ | 434 | C20H18O11 | Quercetin-3-O-arabinoside 51 | nq |
| 10 | 29.3 | 447[M - H]− 896[2M - H]− 285[M - H - 163 (hexose)]− | 449[M + H]+ 471[M + Na]+ 920[2M + Na]+ | 448 | C21H20O11 | Kaempferol-3-O-glucoside 49,51 | 89.0 ± 0.5 |
| 11 | 31.5 | 435[M - H]− | 459[M + Na]+ 238[M + H + K]2+ | 436 | Unknown | nq | |
| 12 | 31.7 | 417[M - H]− | 419[M + H]+ 441[M + Na]+ 895[2M + Na]+ | 418 | C20H18O10 | Kaempferol pentoside 49,50,51 | nq |
| 13 | 33.1 | 593[M - H]− 285 [Kaempferol - H]− | 595[M + H]+ 317[M + H + K]2+ 617[M + Na]+ | 594 | C27H30O15 | Kaempferol disaccharide (Kaempferol -O-pentose -O-glucuronic acid) 48,49,50,51 | 19.7 ± 1.5 |
| 14 | 33.9 | 417[M - H]− 836[2M - H]− 285[M - H - 133 (pentose)]− | 419[M + H]+ 441[M + Na]+ | 418 | C20H18O10 | Kaempferol pentoside 49,51 | nq |
| 15 | 35.9 | 431 [M - H]− 863 [2M - H]− | 433[M + H]+ 455[M + Na]+ 888 [2M + Na]+ | 432 | C21H20O10 | Kaempferol deoxyhexoside 50 | 17.5 ± 1.5 |
| 16 | 40.8 | 635[M - H]− 593[Kaempferol disaccharide - H]− | 637[M + H]+ 659[M + Na]+ 338 [M + H + K]+ | 636 | C29H32O16 | Kaempferol acetyldisaccharide 50 | nq |
| 17 | 41.7 | 593 [M - H]− | 595[M + H]+ 617 [M + Na]+ | 594 | C27H30O15 | Kaempferol disaccharide (Kaempferol-O-hexose-O-deoxyhexose) 50,53 | nq |
| 18 | 44.7 | 285 [M - H]− | 287 [M + H]+ | 286 | C15H10O6 | Kaempferol st | nq |
| Peak | Rt (min) | Negative Ionization (m/z) | Positive Ionization (m/z) | M.W. | Molecular Formula | Tentative Identification | C (μg/mL) |
|---|---|---|---|---|---|---|---|
| 1 | 23.2 | 595[M - H]− 462[M - H - 132]− 445[M - H -132 -H2O]− 300[quercetin - H]− | 597[M + H]+ 619 [M + Na]+ | 596 | C26H28O16 | Quercetin-3-O-pentosyl hexoside 54 | 15.7 ± 0.2 |
| 2 | 25 | 609[M - H]- 301[quercetin]− 300[quercetin - H]− 179 | 611[M + H]+ 325[M + H+K]2+ 633 [M + Na]+ | 610 | C27H30O16 | Quercetin-3-O-rhamnoside hexoside 54,55,56,57 | nq |
| 3 | 25.5 | 463[M - H]− 927[2M - H]− 316[Myricetin - 2H]− 317[Myricetin - H]− 287, 179 | 465[M + H]+ 487[M + Na]+ 951 [2M + Na]+ | 464 | C21H20O12 | Myricetin-3-O-rhamnoside 54 | nq |
| 4 | 25.8 | 463[M - H]− 927[2M - H]− 301[quercetin - H]− 300[quercetin - 2H]−179 | 465[M + H]+ 487[M + Na]+ 951 [2M + Na]+ | 464 | C21H20O12 | Quercetin-3-O-galactoside 54 | 13.9 ± 1.2 |
| 5 | 26.3 | 463[M - H]− 927[2M - H]− 301[quercetin - H]− 255, 179 | 465[M + H]+ 487[M + Na]+ 951 [2M + Na]+ | 464 | C21H20O12 | Quercetin-3-O-glucoside st | 17.7 ± 0.3 |
| 6 | 27.9 | 433[M - H]− 867[2M - H]− 300[quercetin - H]− 255 | 435[M + H]+ 457[M + Na]+ 891 [2M + Na]+ | 434 | C20H18O11 | Quercetin 3-O- pentoside 54 | 3.8 ± 0.6 |
| 7 | 28 | 447[M - H]− 895[2M - H]− 285 [M - H - 163]− | 449[M + H]+ 471[M + Na]+ 919 [2M + Na]+ | 448 | C21H20O11 | Kaempferol 3-O-glucoside 54,55 | 4.7 ± 0.0 |
| 8 | 29.3 | 447[M-H]− 895 [2M-H]− | 449[M + H]+ 471[M + Na]+ 919[2M + Na]+ | 448 | C21H20O11 | Kaempferol 3-O-galactoside 52 | nq |
| 9 | 30.6 | 417 [M - H]− | 419[M + H]+ 441 [M + Na]+ | 418 | C20H18O10 | Kaempferol 3-O- pentoside 54 | nq |
| 10 | 24.9 | 507[M + Formic Acid - H]− | 485 [M + Na]+ | 462 | C21H18O12 | Scutelarein-7-O-β-glucuronide 58 | nq |
| 11 | 40.1 | 313 [M - H]− | 315[M + H]+ 651 [2M + Na]+ | 314 | C17H14O6 | Cirsimaritin 58 | nq |
| EOs | NEG CONTROL | Pelargonium graveolens (5%) | Rosa damascena (5%) | POS CONTROL |
|---|---|---|---|---|
| ΤA98 | Nontoxic | Nontoxic | Nontoxic | Toxic |
| ΤA100 | Nontoxic | Nontoxic | Nontoxic | Toxic |
| Extract | NEG CONTROL | Pelargonium graveolens (90%) | Rosa damascena (90%) | POS CONTROL |
| ΤA98 | Nontoxic | Nontoxic | Nontoxic | Toxic |
| ΤA100 | Nontoxic | Nontoxic | Nontoxic | Toxic |
| Essential Oils | E. coli | S. aureus | Salmonella spp. |
|---|---|---|---|
| Pelargonium graveolens (100%) | 85% | 55% | 51% |
| Pelargonium graveolens (50%) | 29% | 34% | 31% |
| Pelargonium graveolens (5%) | - | 6% | 13% |
| Rosa damascena (100%) | 65% | 42% | 86% |
| Rosa damascena (50%) | 36% | 40% | 73% |
| Rosa damascena (5%) | 2% | 28% | 22% |
| Extracts | |||
| Pelargonium graveolens (90%) | 68% | 40% | 42% |
| Pelargonium graveolens (50%) | 59% | 28% | 33% |
| Pelargonium graveolens (25%) | 46% | 14% | 17% |
| Rosa damascena (90%) | 74% | 68% | 86% |
| Rosa damascena (50%) | 57% | 43% | 65% |
| Rosa damascena (25%) | 35% | 37% | 45% |
| Essential Oil | Effect on Cell Line A549 | Extract | Effect on Cell Line A549 |
|---|---|---|---|
| Pelargonium graveolens 100% | Cytotoxic | Pelargonium graveolens 100% | Non-cytotoxic |
| Pelargonium graveolens 5% | Noncytotoxic | Pelargonium graveolens 90% | Non-cytotoxic |
| Rosa damascena 100% | Cytotoxic | Rosa damascena 100% | Non-cytotoxic |
| Rosa damascena 5% | Noncytotoxic | Rosa damascena 90% | Non-cytotoxic |
| Essential Oil 5% | AdV109 PFU/mL | AdV 108 PFU/mL | AdV107 PFU/mL | AdV106 PFU/mL | AdV105 PFU/mL | Adv104 PFU/mL |
|---|---|---|---|---|---|---|
| Pelargonium graveolens | + | + | + | + | + | + |
| Rosa damascena | - | - | + | + | + | + |
| Extract | ||||||
| Pelargonium graveolens 90% | - | + | + | + | + | + |
| Pelargonium graveolens 50% | - | + | + | + | + | + |
| Pelargonium graveolens 25% | - | - | + | + | + | + |
| Rosa damascena 90% | + | + | + | + | + | + |
| Rosa damascena 50% | + | + | + | + | + | + |
| Rosa damascena 25% | + | + | + | + | + | + |
Publisher’s Note: MDPI stays neutral with regard to jurisdictional claims in published maps and institutional affiliations. |
© 2021 by the authors. Licensee MDPI, Basel, Switzerland. This article is an open access article distributed under the terms and conditions of the Creative Commons Attribution (CC BY) license (https://creativecommons.org/licenses/by/4.0/).
Share and Cite
Androutsopoulou, C.; Christopoulou, S.D.; Hahalis, P.; Kotsalou, C.; Lamari, F.N.; Vantarakis, A. Evaluation of Essential Oils and Extracts of Rose Geranium and Rose Petals as Natural Preservatives in Terms of Toxicity, Antimicrobial, and Antiviral Activity. Pathogens 2021, 10, 494. https://doi.org/10.3390/pathogens10040494
Androutsopoulou C, Christopoulou SD, Hahalis P, Kotsalou C, Lamari FN, Vantarakis A. Evaluation of Essential Oils and Extracts of Rose Geranium and Rose Petals as Natural Preservatives in Terms of Toxicity, Antimicrobial, and Antiviral Activity. Pathogens. 2021; 10(4):494. https://doi.org/10.3390/pathogens10040494
Chicago/Turabian StyleAndroutsopoulou, Chrysa, Spyridoula D. Christopoulou, Panagiotis Hahalis, Chrysoula Kotsalou, Fotini N. Lamari, and Apostolos Vantarakis. 2021. "Evaluation of Essential Oils and Extracts of Rose Geranium and Rose Petals as Natural Preservatives in Terms of Toxicity, Antimicrobial, and Antiviral Activity" Pathogens 10, no. 4: 494. https://doi.org/10.3390/pathogens10040494
APA StyleAndroutsopoulou, C., Christopoulou, S. D., Hahalis, P., Kotsalou, C., Lamari, F. N., & Vantarakis, A. (2021). Evaluation of Essential Oils and Extracts of Rose Geranium and Rose Petals as Natural Preservatives in Terms of Toxicity, Antimicrobial, and Antiviral Activity. Pathogens, 10(4), 494. https://doi.org/10.3390/pathogens10040494

