Abstract
The aim of this paper is to test the usefulness of a new approach based on partial feedback linearization to control the Pendubot. The control problem stated in the article is to stabilize the Pendubot in the upright position. In particular, properties of the closed-loop system and the zero dynamics are investigated and illustrated by results of simulations. Next, the performance of a hybrid-like controller in the case of input saturation is evaluated by conduction extensive simulation trails. The experimental results suggest that the considered control methodology can be successfully applied for a real system.
  1. Introduction
Acrobot and Pendubot are well-known fundamental examples of under-actuated mechanical systems moving in the presence of gravity. Although their kinematic structures are relatively simple, still they can be considered as important benchmark systems which are of great importance for the development of nonlinear control strategies.
Basically, a standard approach to stabilize both systems at an unstable equilibrium requires design of two controllers for the task of swing-up (when the robot hangs down or is far from equilibrium pose) and the balancing task around the equilibrium point, respectively []. In particular, the swing-up problem can be viewed as a challenging problem in non-linear control. Many solutions to it are based on partial feedback linearization, starting from fundamental works of Spong and Block [,,,]. Other approaches take advantage of an energy based control and the passivity properties of the system [,], or a fuzzy logic control []. Among others a model orbit stabilization [], or virtual holonomic constrains are proposed to swing up the Pendubot as well. Recently, an extended state observer based active disturbance rejection control scheme was applied to the Pendubot system for a trajectory tracking tasks in the presence of uncertain dynamics []. On the other hand, the stabilization task near the equilibrium pose are mainly supported by linear controllers including LQR-based feedbacks [,,].
The considered topics also cover essential aspects related to under-actuated robots, which are constantly being developed, bringing new values or detailing the problem of control of such systems [,,].
Recently, in [] a new insight to control of under-actuated systems is proposed. The presented approach is based on finding the largest feedback linearizable subsystem for mechanical systems that are not fully feedback linearizable. Although in the mentioned paper the selection of a partially linearizing output that renders the zero dynamics asymptotically stable is thoroughly supported by mathematical formulas developed for double inverted pendulum with one actuator (Acrobot and Pendubot), no attempt is done to apply the discussed concept for a constructive design of a controller for these benchmark systems. Consequently, any simulation or experimental verification has not been reported yet. In this paper, however, authors attempt to fill this gap and extend preliminary results discussed in [] for the Pendubot. Authors are also interested in a possible application of such an algorithm for the physically existing robot.
An important issue of the linearization approach using state and feedback transformations discussed in [] is the existence of singular points. Due to this obstruction, a feasible state space is constrained and a feedback cannot be designed in a global way. In the case of Pendubot, a severe linearization constraint comes from the requirement that the system should be in a moving phase. Thus, it is impossible to use this approach directly to stabilize the Pendubot at an equilibrium. In this paper, in order to overcome these limitations we propose a hybrid controller which is supported by a simple linear feedback. Then we consider the performance of closed-loop system based on numerical analysis. In particular, we search for admissible states of the Pendubot for which the hybrid algorithm ensures the convergence to the equilibrium point and makes this point asymptotically stable.
The paper is organized as follows. Section 2 describes the mathematical model for the Pendubot system, together with constrains imposed on the model. In Section 3, the analyzed control algorithms along with the state transformation for the stabilization task is introduced. Section 4 describes the simulation results together with experimental validation of analysed algorithms, while the Section 5 gives final remarks.
2. Model
The Pendubot is a connection of  rigid bodies coupled in a tree structure, supported on ground via an actuated frictionless revolute joint. Both links have non-zero mass and the revolute joint connecting them is unactuated. As a result, the system has one degree of under-actuation (2 DOF with 1 independent actuator).
In Figure 1, a standard pendulum structure is depicted. The reference frame is attached at the pivot point, and coordinates are indicated as . In order to establish system dynamics one can define Lagrangian , while  denotes the kinetic energy, with D being a positive definite inertia matrix, and V is the potential energy. Next, taking into account the actuation on the system one obtains
      
      
        
      
      
      
      
    
      with . The mathematical model of the system dynamics thus takes the following standard form
      
      
        
      
      
      
      
    
      where corresponding entries of  satisfy
      
      
        
      
      
      
      
    
      while , , , , ,
      
      
        
      
      
      
      
    
      
        
      
      
      
      
    , g =  and  is the control input.
 
      
    
    Figure 1.
      Two link inverted pendulum, with one actuator—Pendubot.
  
3. Control Problem
The aim of the work is to examine the usability of a new hybrid controller to stabilize the Pendubot around its top unstable position, taking into account the limitations and constraints resulting from physical and technical properties of a real robot. The investigated controller can be represented by
      
      
        
      
      
      
      
    
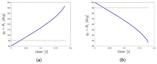
      where  and  stand for two various feedbacks. The first one denoted by  is based on the formalism presented in []. Its task is to bring the system state near the equilibrium point. Thus, it acts similarly to other swing-up controllers investigated in [,,]. The aforementioned swing-up like motion produced by the closed-loop system is depicted in Figure 2, for an exemplary trial where no input saturation is imposed. One can observe that the robot tends to the equilibrium pose, but cannot achieve it due to the fundamental limitations, described more carefully in Section 3.1.2.
 
      
    
    Figure 2.
      Swing-up-like motion: the dotted lines indicate the assumed coordinates values where the system should be stabilized.
  
To overcome these constraints the second feedback, denoted by , is applied when the system state is in a prescribed set containing the equilibrium—cf. Section 3.2. This linear feedback is designed to keep the system at the equilibrium pose.
3.1. Control Algorithm Based on Partial Linearization
The application of method discussed in [] to control the Pendubot can be briefly characterized as follows. At first, rewrite Equation (2) in the following form:
      
        
      
      
      
      
    
        where , , , , where ,  are entries of Equations (4) and (5), respectively, and apply the feedback transformation according to []. The overall robot dynamics model after this transformation can be represented by
        
      
        
      
      
      
      
    
        where:  After introducing the following new state variables
        
      
        
      
      
      
      
    
        where , and transforming (8) into normal form, one obtains equivalent dynamics defined by
        
      
        
      
      
      
      
    
        where , , , .
Now, in order to find a control u we look for such an output function h that maximally linearizes dynamics  (10). According to [] it is possible to select function  for which system (10) has relative degree equal three for , where
        
      
        
      
      
      
      
    
        defines a set of regular points where the linearization is possible (In the paper we take advantage of the notation , commonly used in non-linear control theory, to express Lie derivatives). Equivalently, it can be stated that for any  the system (11) is part-linearizable with the following 3-dimensional linear controllable subsystem
        
      
        
      
      
      
      
    
        with
        
      
        
      
      
      
      
    
        being a new set of states and  being a new input.
Recalling the proposition of function h considered in [] we slightly modify it by subtracting a constant offset as follows
        
      
        
      
      
      
      
    
        where  denotes the desired coordinate. Then computing
        
      
        
      
      
      
      
    
        one can conclude that the set (13) in the considered case is represented by
        
      
        
      
      
      
      
    
Remark 1. 
 From (18) it follows that any equilibrium point of (11) is not a regular point since zero velocities  imply that . It is also noteworthy that the expression (17) obtained for the selected function h can be conveniently represented as follows
      
        
      
      
      
      
    where  and . As a result, the set of regular point  can be alternatively specified for .
Assuming that , one can still use the following feedback , where
        
      
        
      
      
      
      
    
        to obtain linear system (14). As a result, applying the following feedback
        
      
        
      
      
      
      
    
        where  is a gain scaling factor, one can expect that trajectory  converges to a vicinity of the point determined by .
3.1.1. Zero Dynamics
Here we move on to the analysis of the zero dynamics of the system assuming that . From (16) one has . Next, recalling that  and  one can conclude that  and , respectively. Under these conditions one obtains the following first order zero dynamics
          
      
        
      
      
      
      
    
          where  denotes the solution of the first equation in (9) for .
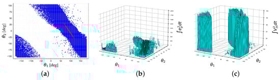
Since Equation (22) cannot be solved analytically, one can use numerical methods to analyze trajectories of the system on the zero dynamics. Such example results are illustrated in Figure 3, taking into account positive and negative velocity .
 
      
    In both cases, one can observe that the trajectory  goes through the required point determined by . Although this a desirable effect, the system cannot be stabilized at this point. It corresponds to the regularity condition since at the equilibrium velocity  and the zero dynamics cannot be longer maintained.
3.1.2. Avoiding of Singular Points
One of the limitations of analyzed method from Section 3.1 is a fact that the singular points occur, i.e., when  in (19) goes to zero, the  in (20) becomes unbounded. Hence, implementing the feedback (20) the inversion of term  has to be computed. Since the inversion can be made trivially only for  one can use the following robust inversion schemes
          
      
        
      
      
      
      
    
          and
          
      
        
      
      
      
      
    
          while  is a design parameter.
For illustration of this issue Figure 4 depicts a plot of (19) during one exemplary simulation trial.
 
      
    
    Figure 4.
      Decoupling matrix——during an exemplary simulation trial. The green part of the plot indicates when the swing-up controller is enabled.
  
It can be easily noticed that (19) changes its sign many times in the given time horizon. Based on simulation results it was observed that application of this robust inversion makes it possible to enlarge the region of attraction of the analyzed algorithm and improves its performance. However, it violates locally the linearization procedure proposed by [].
3.2. Linear Controller
Since the control approach discussed in Section 3.1 does not guarantee stabilization of the closed-loop system at the chosen equilibrium the overall control strategy based on a hybrid approach (6) will be used. For this purpose, firstly a set of feasible initial conditions for which the controller (20) applied for system (11) brings the robot state near the equilibrium point should be obtained.
Secondly, recalling that the linear approximation of dynamics (11) established at the equilibrium point provides a controllable linear system [], it is possible to locally stabilize (11) at this point using the following linear feedback
        
      
        
      
      
      
      
    
        where  and  stand for the reference state and the controller gains, respectively. The selection of gains K should be made appropriately and can refer to pole-placement strategy, LQR approach, and others.
4. Simulation and Experimental Results
This section provides simulation results of implementing control method (6) to the system in a form of (11), and moreover some preliminary experimental results. The aim of presented simulations is to check the performance of the controller applied for the stabilization of Pendubot in the upright equilibrium pose. Another purpose is to verify the convergence area for the closed-loop system, which means that the set of initial conditions are going to be checked to see whether they are appropriate to stabilize the robot under certain boundary conditions. This means that one wants to see how far the Pendubot can be moved away from the equilibrium pose, to be stabilized. In simulations it was assumed that the desired stabilization pose was the upright position for which the angles  and  were equal  and 0, respectively.
4.1. Characteristics of the Laboratory Pendubot-Like System
In simulations the robot parameters (Table 1) was selected in order to adapt them to the physically existing mechanism, i.e., to the double inverted pendulum presented in Figure 5.
 
       
    
    Table 1.
    Robot parameters.
  
 
      
    
    Figure 5.
      Experimental test-bed: (a) original plant, (b) used plant.
  
The considered robot is a modified construction of Quanser’s—rotary double inverted pendulum [] (Figure 5a). The analyzed experimental system consists of the main unit (Quanser’s rotary servo base unit), including the DC motor, planetary gearbox, potentiometer, encoder, tachometer, and double pendulum module. With respect to the original rotary double inverted pendulum system, the analyzed plant has been devoid of the “first” rotary arm, so that the drive shaft is directly connected to the shorter arm of the double pendulum. As a result, we obtain an implementation of a Pendubot robot—a double pendulum with a motor attached to the first rotary joint (Figure 5b).
4.2. Simulation Procedure
In the research considered in this paper in order to establish  gains the following cost function J, dependent on state and control signal, is defined
        
      
        
      
      
      
      
    
        where Q and R are the weight matrices for states and inputs, respectively. The optimal K-gains () were obtained for the linear approximation of Equation (10) at the equilibrium point with , and .
In the conducted simulations we compare different approaches for the swing-up motion. The purpose of this comparison is to check properties of the control scheme investigated in Section 3.1 with other well known algorithms based on collocated and non-collocated linearization []. To facilitate the description, we use the following nomenclature:
- Algorithm 1— is defined using the collocated linearization;
- Algorithm 2— is defined using the non-collocated linerization;
- Algorithm 3— is defined based on the maximum partial linearization approach described in this paper.
It is essential to emphasize that the controllers were verified in the presence of the input saturation. Namely, it was assumed that the maximal motor input voltage is equal to . Thus, each algorithm was checked whether it would be capable of controlling the robot presented in Section 4.1.
To determine the convergence area of each analyzed method, a series of tests were conducted. As some properties cannot be deduced analytically, one can use some other techniques, such as those based on sampling-based methods.
It was assumed that the set of initial configuration conditions are defined in a discrete domain and specified by a 2D grid. The ranges of  and  are selected from  to 180 degrees and from  to 105 degrees (the second range results from physical constrains, as the second joint cannot be deflected more than  degrees), respectively. The spacial resolution of the grid is set to  (the resolution is chosen based on preliminary simulation studies in order to achieve a compromise between the required accuracy and the duration of simulation experiments). Each cell of the grid corresponds to the initial condition  applied for each simulation trial. The trial was being taken as successful while the root of the sum of both angle errors (error between actual and desired angle) was smaller than  within simulation time s or less.
In order to obtain objective comparative data the following two criteria are taken into account: the integral of square of error in transient state
        
      
        
      
      
      
      
    
        and the integral of square of control signal (computed based on motor input voltage over time),
        
      
        
      
      
      
      
    
        which can be considered as an indicator of the energy used by the algorithm [].
In addition, parameters of the controllers were optimized. For each pair of initial condition defined by the grid 100 iterations were performed with randomly chosen values of gains. To be more detailed, proportional, and derivative coefficients were considered for Algorithms 1 and 2, while positive parameter  was adjusted for Algorithm 3, see (21). By this, one can look for a near-optimal choice of regulator gains, which provides the best performance for the given initial condition. Taking into account all cells of the grid almost 2 million simulation trials were conducted with respect to each algorithm.
The performed simulations allows one to find a region of initial (starting) positions (Figure 6a, Figure 7a and Figure 8a) that leads to a stable upright position. In these figures, the blue cells indicate the successful trials, while the blank cells indicate the initial conditions that leads to failure (robot collapses). Red cells mean the case when only linear feedback acts, i.e., when the robot is in the vicinity of equilibrium pose and a switching to partial linearizing controller does not take place (authors assume that it happens in some arbitrary chosen error tunnel), or there is no possibility to partially linearize considered system, as the singular point occurs. The performance factors were recorded for all successive trails and the smallest value of energy criterion V (total energy consumption over trial) and the smallest value of  for each initial condition were computed based on 100 trials. The obtained results are depicted in Figure 6b, Figure 7b and Figure 8b and Figure 6c, Figure 7c and Figure 8c. From the criterion (27) one can try to evaluate how the real robot is going to be driven without taking the control effort into considerations. For example, it gives some insight if swing-up motions going to be wide, extensive and long lasting (high criterion value), or the motion is going to be “fast and short”, causing a rapid approach to desired pose (small criterion value). On the basis of the obtained results, one is able to determine which region of conditions is more or less demanding in terms of energy, which is useful in practical implementation on the test-bed.
 
      
    
    Figure 6.
      Algorithm 1: (a) convergence area, (b) , (c) .
  
 
      
    
    Figure 7.
      Algorithm 2: (a) convergence area, (b) , (c) .
  
 
      
    
    Figure 8.
      Algorithm 3: (a) convergence area, (b) , (c) .
  
Comparing the convergence areas, it can be found that for the considered system subject to a limited control input the Algorithm 3 makes it possible to extend the set of feasible conditions, however, the energy factor is increased in comparison to other tested controllers.
As a summary of simulation trails one can also consider Table 2 where mean and standard deviation of values (27) and (28) obtained for the considered methods are compared. The distributions of V and  for the discussed algorithms are depicted in Figure 9, Figure 10 and Figure 11.
 
       
    
    Table 2.
    Control law comparison.
  
 
      
    
    Figure 9.
      Algorithm 1—distributions of performance factors (histograms): (a) , (b) .
  
 
      
    
    Figure 10.
      Algorithm 2—distributions of performance factors (histograms): (a) , (b) .
  
 
      
    
    Figure 11.
      Algorithm 3—distributions of performance factors (histograms): (a) , (b) .
  
4.3. Experimental Results
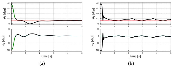
In order to consider properties of Algorithm 3 in more real-life scenarios, experimental work using the setup described in Section 4.1 was conducted. To see how the algorithm drives the robot to the reference upright position one of the successful trails marked in Figure 8a was chosen. The exemplary initial condition was selected as  and . The results of the experiment is compared with those obtained in simulations in Figure 12 and Figure 13. Taking into account the recorder angular trajectories and the voltage input signals one can state that the numerical simulations and experiments present a similar response of the closed-loop system. In particular, it can be observed that the swing-up controller is enabled only in an initial control period while the stabilization at the desired point is ensured by the LQR feedback.
 
      
    
    Figure 12.
      Algorithm 3—Angular positions—(a) simulation (the green part of the curve indicates when the swing-up controller is active), (b) experiment.
  
 
      
    
    Figure 13.
      Algorithm 3—voltage control input—(a) simulation (the green part of the curve indicates when the swing-up controller is active), (b) experiment.
  
5. Conclusions
The main objective of this paper is to evaluate properties of the new control approach designed for the Pendubot. The conducted research based on simulations and experiments complements theoretical works obtained in [] and gives an insight of their application in robotics. The results reported in this paper allows one to state that the concept of the maximal feedback linearization can be successfully employed for the design of a hybrid controller which makes it possible to support the stabilization of the system at the equilibrium. One can also conclude that the application of this linearization technique with respect to the Pendubot is challenging due to the presence of singular points as well as the input saturation. Hence, the underlying controller based on the maximal partial linearization approach cannot be seen as an overall recipe for stabilizing a double inverted pendulum with one actuation. Basically, the algorithm does not guarantee that trajectories of the closed-loop system do not reach singularities. In this paper, however, switching techniques are used to cope with these difficulties. Alternatively, one could employ tracking of feasible reference trajectories avoiding the singular points. This concept will be explored in future works.
Author Contributions
Conceptualization, P.P. and D.P.; methodology, P.P. and D.P.; validation, P.P. and P.B.; formal analysis, P.P., P.B. and D.P.; resources, P.P. and P.B.; writing–original draft preparation, P.P., P.B. and D.P.; writing—review and editing, P.P., P.B. and D.P. All authors have read and agreed to the published version of the manuscript.
Funding
This work was supported by the Poznan University of Technology under the grant No. 0211/SBAD/0121.
Acknowledgments
We would like to pay our gratitude and our respects to our long term scientific supervisor and colleague Krzysztof Kozłowski who contributed to the initiation of this research project and passed away in May 2021.
Conflicts of Interest
The authors declare no conflict of interest.
References
- Fantoni, I.; Lozano, R.; Spong, M. Energy based control of the Pendubot. IEEE Trans. Autom. Control 2000, 45, 725–729. [Google Scholar] [CrossRef] [Green Version]
- Spong, M.W. The swing up control problem for the Acrobot. IEEE Control Syst. Mag. 1995, 15, 49–55. [Google Scholar] [CrossRef] [Green Version]
- Spong, M.W. Partial feedback linearization of underactuated mechanical systems. In Proceedings of the IEEE/RSJ International Conference on Intelligent Robots and Systems (IROS’94), Munich, Germany, 12–16 September 1994; Volume 1, pp. 314–321. [Google Scholar]
- Xin, X.; Kaneda, M. New analytical results of the energy based swinging up control of the Acrobot. In Proceedings of the 2004 43rd IEEE Conference on Decision and Control (CDC) (IEEE Cat. No.04CH37601), Nassau, Bahamas, 14–17 December 2004; Volume 1, pp. 704–709. [Google Scholar] [CrossRef]
- Spong, M.; Block, D. The Pendubot: A mechatronic system for control research and education. In Proceedings of the 1995 34th IEEE Conference on Decision and Control, New Orleans, LA, USA, 13–15 December 1995; Volume 1, pp. 555–556. [Google Scholar] [CrossRef]
- Åström, K.; Furuta, K. Swinging up a pendulum by energy control. Automatica 2000, 36, 287–295. [Google Scholar] [CrossRef] [Green Version]
- Li, J.H. Dual fuzzy PD control of DSP-based pendubot. In Proceedings of the 2011 8th Asian Control Conference (ASCC), Kaohsiung, Taiwan, 15–18 May 2011; pp. 641–646. [Google Scholar]
- Orlov, Y.; Aguilar, L.; Acho, L. Model Orbit Robust Stabilization (MORS) of Pendubot with Application to Swing up Control. In Proceedings of the 44th IEEE Conference on Decision and Control, Seville, Spain, 15 December 2005; pp. 6164–6169. [Google Scholar] [CrossRef]
- Ramírez-Neria, M.; Sira-Ramírez, H.; Garrido-Moctezuma, R.; Luviano-Juárez, A.; Gao, Z. Active Disturbance Rejection Control for Reference Trajectory Tracking Tasks in the Pendubot System. IEEE Access 2021, 9, 102663–102670. [Google Scholar] [CrossRef]
- Toan, T.V.; Ha, T.T.; Do, T.V. Hybrid control for swing up and balancing pendubot system: An experimental result. In Proceedings of the 2017 International Conference on System Science and Engineering (ICSSE), Ho Chi Minh City, Vietnam, 21–23 July 2017; pp. 450–453. [Google Scholar] [CrossRef]
- Sellami, S.; Mamedov, S.; Khusainov, R. A ROS-based swing up control and stabilization of the Pendubot using virtual holonomic constraints. In Proceedings of the 2020 International Conference Nonlinearity, Information and Robotics (NIR), Innopolis, Russia, 3–6 December 2020; pp. 1–5. [Google Scholar] [CrossRef]
- Xu, T.; Fan, J.; Fang, Q.; Wang, S.; Zhu, Y.; Zhao, J. A Novel Virtual Sensor for Estimating Robot Joint Total Friction Based on Total Momentum. Appl. Sci. 2019, 9, 3344. [Google Scholar] [CrossRef] [Green Version]
- Deng, M.; Kubota, S. Nonlinear Control System Design of an Underactuated Robot Based on Operator Theory and Isomorphism Scheme. Axioms 2021, 10, 62. [Google Scholar] [CrossRef]
- Kozłowski, K.; Pazderski, D.; Parulski, P.; Bartkowiak, P. Stabilization of a 3-Link Pendulum in Vertical Position. In Advanced, Contemporary Control; Bartoszewicz, A., Kabzinski, J., Kacprzyk, J., Eds.; Springer International Publishing: Cham, Switzerland, 2020; pp. 651–662. [Google Scholar]
- Li, S.; Moog, C.; Respondek, W. Maximal feedback linearization and its internal dynamics with applications to mechanical systems on R4. Int. J. Robust Nonlinear Control 2019, 29, 2639–2659. [Google Scholar] [CrossRef]
- Bartkowiak, P. Control of 2 DOF Planar Underactuated Manipulator. Master’s Thesis, Poznan University of Technology, Poznań, Poland, 2019. (In Polish). [Google Scholar]
- Xin, X.; Kaneda, M.; Oki, T. The Swing Up Control for the Pendubot Based on Energy Control Approach. IFAC Proc. Vol. 2002, 35, 461–466. [Google Scholar] [CrossRef] [Green Version]
- Khalil, H. Nonlinear Systems; Prentice Hall: Upper Saddle River, NJ, USA, 1996. [Google Scholar]
- Quanser. Rotary Double Inverted Pendulum. Available online: www.quanser.com/products/rotary-double-inverted-pendulum/ (accessed on 18 August 2021).
- Abdel-Malek, K.; Arora, J. Human Motion Simulation: Predictive Dynamics; Academic Press in an Imprint of Elsevier: Waltham, MA, USA; San Diego, CA, USA; London, UK, 2013. [Google Scholar]
| Publisher’s Note: MDPI stays neutral with regard to jurisdictional claims in published maps and institutional affiliations. | 
© 2021 by the authors. Licensee MDPI, Basel, Switzerland. This article is an open access article distributed under the terms and conditions of the Creative Commons Attribution (CC BY) license (https://creativecommons.org/licenses/by/4.0/).
