Featured Application
Mechanical properties and penetration characteristics of mudstone slag-based waterproof composites under cyclic loading.
Abstract
In this study, ground polymers were prepared from mudstone and slag. NaOH and water glass were used as alkaline exciters and mine waste rock aggregate was used as the aggregate for mudstone slag-based waterproof composites (MSWCs). A series of laboratory tests, including a uniaxial compression test, uniaxial cyclic loading and unloading test, scanning electron microscope test, and rock penetration test were conducted for macrostructural and microstructural analysis. The effect of the coupling between the mudstone proportion and the number of uniaxial cyclic loading and unloading tests was investigated. The results showed that it is feasible to use mudstone and slag to synthesize geopolymers, and that MSWCs fulfil the conditions for use as a reconstituted water barrier. The permeability of MSWCs with the different mudstone proportions set in this study fulfils the requirement of being used as a material, and the permeability and uniaxial compressive strength of the MSWCs gradually decreased with increases in the mudstone proportion. Considering the UCS and permeability of the MSWCs, the optimal mudstone proportion of the MSWC is r = 0.6. In this test, cyclic loading and unloading times of 0, 25, 50, and 100 were set, and with an increase of cyclic loading and unloading times, the UCS of the MSWCs showed a tendency of increasing first and then decreasing. In the SEM test, with an increase of cyclic loading and unloading times, microfractures and pores appeared in the MSWCs, which led to a gradual increase in its permeability and a decrease in its waterproofness.
1. Introduction
Open-pit mining has become the preferred choice for coal production bases because of its advantages of large production scale, low mining cost, high resource recovery rate, fast construction speed, and high environmental restoration conditions. However, with the development of open-pit mining, the accumulation of waste rock aggregates formed by mining constitutes an open-pit dump site; the dump site is composed of waste materials produced by mining in the mining area, with water loss without an obvious aquifer and difficulty in carrying out ecological restoration work. Therefore, restoration of the dump site has become the key point restricting the ecological development of the mining area, and reconstructing the aquifer has become the key factor for solving the problem of dump site restoration [1].
With the promotion of green mining, geopolymers can effectively utilize the waste materials in the mining area [2,3]. Compared with traditional Portland cement, geopolymers not only can reduce CO2 emissions [4,5] but also have better mechanical properties [6,7]. Therefore, geopolymers are gradually becoming the best alternative to Portland cement. Tsai [8] found that using fly ash or blast furnace slag can effectively reduce the alkali–silica reactivity of cementitious materials containing FNS fine aggregates. Sun [9] et al. used steel slag to replace crushed stone and made cementitious materials with slag and coarse aggregates, which effectively improved the compressive strength and wear resistance of the cementitious materials and reduced their volume shrinkage.
The raw materials of geopolymers are various industrial solid wastes and waste materials produced in a mining area [10], such as gangue, slag, red mud, and fly ash [11,12,13,14,15]. Geopolymers, because of their excellent mechanical properties and corrosion resistance, have become the development trend of future composite materials. Luo et al. [16] improved the compressive strength and carbonation resistance of concrete by adding different ratios of lithium powder and slag to cement. Mo et al. [17] enhanced the mechanical properties and durability of lightweight aggregate concrete by adding cementitious materials to lightweight aggregate concrete. Using the waste materials produced in a mining area to reconstruct a geopolymer aquifer can effectively reduce the cost and reduce the waste of resources [18].
Mudstone is tightly cemented due to its fine mineral grains and the cement is mud cemented [19,20,21,22]; therefore, mudstone has low porosity [23,24], strong confinement, low permeability [25], and is a natural water barrier [26]. Abandoned mudstone is a by-product of mining production, usually located at the top of the coal seam [27]. In the process of coal mining, abandoned mudstone is usually stripped and discarded at the dump site, and the reuse of abandoned mudstone can effectively reduce the amount of by-products of open-pit mining.
With the progress of industry, the demand for iron in various industries has increased [28], and the production of slag, as a by-product of blast furnace ironmaking [29], has also increased. Slag is usually treated as industrial waste in industrial production [30]. With the development of geopolymers in recent years, slag and mudstone, as typical high-silica–alumina materials, undergo locking reactions in alkaline environments and generate geopolymers [31,32]. Geopolymers, because of their excellent mechanical properties and corrosion resistance, have become the development trend of future composite materials.
Therefore, we studied a new type of waterproof material with mudstone and slag as cementitious materials and waste stone materials as aggregates. A MSWC has enough strength and low permeability to fulfil the requirements of reconstructing the waterproof layer of an open-pit mine dump. Due to the operation of equipment and the transportation of vehicles in the production of the mining area, in this study, according to the actual situation after the restoration of the dump, we conducted uniaxial compression tests, uniaxial cyclic loading and unloading tests, permeability tests, and SEM scanning tests on MSWCs with different mudstone proportions and analysed the change law of the permeability of MSWCs under the influence of different mudstone proportions and different uniaxial cyclic loading and unloading times. The relationship between the macroscopic fracture form and the microscopic structure of MSWCs was studied. Finally, by comprehensively analysing the permeability and uniaxial compressive strength of MSWCs, the optimal mix ratio of MSWC was obtained. This study broadens the development direction of mine solid waste as geopolymers, and has guiding significance for academic development and industrial production.
2. Test Materials and Test Methods
2.1. Test Materials
Mudstone was taken from an open pit coal mine in Inner Mongolia, and the obtained mudstone material was crushed and ground into particles with a diameter of not more than 1 mm. The mudstone powder was placed in a drying oven and dried at 100 degrees Celsius for 24 h. Blast furnace slag powder is an industrial solid waste produced by blast furnace ironmaking, and S95 grade slag powder, mainly composed of CaO and SiO2, was used in this test. The exciter consists of sodium silicate, NaOH, and water, and its modulus is 1.0, which is in the optimal modulus of sodium silicate between 0.8 and 1.2; when the modulus is lower, the reaction effect is not sufficient, and when the modulus is higher, the solution viscosity is too large to affect the reaction. The recycled aggregate was selected from waste rock aggregate discharged from an open-pit mine in Inner Mongolia, whose lithology was sandstone, and it was crushed into particles with a diameter of no more than 1.5 mm. The basic properties of the mudstone, slag, and waste rock aggregate were tested by X-ray diffraction (XRD), and the results are shown in Table 1 below.
Table 1.
Main chemical composition of the mudstone and slag.
2.2. Sample Preparation
The MSWC consists of waste rock aggregate, mudstone powder, slag, water, and activator as shown in Table 2. Mudstone powder, slag powder, and recycled aggregate were placed in a container and mixed well according to the test programme. Appropriate amounts of NaOH, sodium silicate, and water were weighed and placed in another container; during the mixing of the exciters, a lot of heat was generated and the exciters were allowed to stand until room temperature before use. We mixed the cooled exciter with waste rock aggregate, mudstone powder, and slag, and placed the finished slurry in a mould (d = 50 mm, h = 100 mm). The specimens were placed on a vibration table and vibrated until no bubbles were generated. Then, the specimens were placed in a maintenance box (temperature = 20 ± 2 °C, humidity = 95 ± 5%) for seven days. After the curing process, the specimens were taken out and the ends were smoothed in accordance. The overall process of specimen preparation is shown in Figure 1 below. The proportion of each component of the specimen is shown in Figure 2.
Table 2.
Components and proportions of MSWCs.
Figure 1.
Preparation process of MSWC specimens.
Figure 2.
Percentage of MSWC components.
2.3. Test Methods
2.3.1. Uniaxial Cyclic Loading and Unloading Tests of MSWC
The uniaxial cyclic loading and unloading test was carried out by a TATW-2000 Rock Servo Triaxial Test System, which consists of a TATW-2000 Rock Servo Triaxial testing machine and a loading control system, and the main technical indexes of this instrument are shown in Table 3. The test was carried out by isokinetic displacement loading, with a loading rate of 0.5 mm/min, an upper limit of cyclic loading of 2 MPa, and a lower limit of cyclic loading of 0 MPa. The loading process is as shown, and the cyclic loading times were set to 0, 25, 50, and 100 times, respectively. Cyclic damage preparation specimens were used, and each group had 5 specimens, 3 for the uniaxial compression test and 2 for the penetration test.
Table 3.
Main technical specifications of the TATW-2000 rock servo triaxial test system.
2.3.2. Uniaxial Compression Test of MSWCs
The uniaxial compression test was carried out by a TATW-2000 Rock Servo Triaxial Test System, which was used to carry out uniaxial compression tests on the MSWCs with different ratios and after the cyclic loading and unloading damage. The loading rate was 0.5 mm/min, and the specimen was loaded until rupture to obtain the uniaxial compressive strength of the MSWC after cyclic damage.
2.3.3. SEM Scanning Test of MSWCs
The SEM scanning tests of the MSWCs were performed with a VEGA3 Scanning Electron Microscope to verify the reaction mechanism, and the main technical indexes of this instrument are shown in Table 4. The fine structure of the MSWC determines its macroscopic mechanical response characteristics. In order to investigate the influence of the mudstone proportion and the uniaxial cyclic loading and unloading number on the mechanical characteristics of the MSWC, electron microscope scanning was used to observe the MSWC under the action of different mudstone proportions and uniaxial cyclic loading and unloading numbers. MSWC specimen cubes were magnified 500× and 3000× in high vacuum mode.
Table 4.
Main technical specifications of the VEGA3 Scanning Electron Microscope.
2.3.4. Penetration Test of MSWCs
A THMC multi-field coupled seepage test system was used to measure the permeability characteristics of the MSWCs after cyclic loading and unloading damage; the main technical indicators of the instrument are shown in Table 5. A THMC multi-field coupled seepage test system is mainly composed of an oil pump, gas cylinders, and a three-axis pressure chamber, and it conducts permeability tests through the steady-state method, as shown in Figure 3. In order to ensure the safety of the whole process, it is carried out using argon, a temperature of 20 °C, and a pressure chamber peripheral pressure of 2 MPa.
Table 5.
Main technical specifications of the THMC multi-field coupled seepage test system.
Figure 3.
THMC multi-field coupled seepage test system.
3. Results and Discussion
3.1. Changes in Damage to MSWCs after Uniaxial Cyclic Loading and Unloading
Due to the complexity of the working conditions in the mining area, the MSWC has to face the crushing of the transport vehicles and the influence of the continuous work of the construction instruments. Cyclic loading and unloading damage affects the mechanical properties of the material and causes fatigue damage to the material [33]. Therefore, this study applied initial damage to the material by using uniaxial cyclic loading and unloading tests, and studied the influence of the uniaxial cyclic loading and unloading tests on the mechanical properties of the MSWC.
Figure 4 shows the cyclic loading–unloading curves of MSWCs under different cycle numbers. It can be seen that with an increase of cyclic loading–unloading times, the total deformation of the MSWC gradually increases. Due to the increase in the uniaxial cyclic loading–unloading times, the pores inside the MSWC gradually close and new cracks emerge in the test process, resulting in an increase of strain on the MSWC.

Figure 4.
Test curves of uniaxial cyclic loading and unloading with different numbers of times. (a) n = 25. (b) n = 50. (c) n = 100.
Figure 5 shows the stress–strain hysteresis loops generated by the uniaxial cyclic loading and unloading tests in the early and late stages. As shown in Figure 5, with an increase in the number of uniaxial cyclic loading and unloading, the area of the stress–strain hysteresis loop of the MSWC gradually decreases. During the early stage of uniaxial cyclic loading and unloading, the pores inside the MSWC are closed during the uniaxial loading process, resulting in a larger area of the hysteresis loop in the early stage, and with an increase in the number of uniaxial cyclic loading and unloading, the internal pores of the specimen gradually close, thus reducing the area of the stress–strain hysteresis loop of the MSWC in the later stage of the test.
Figure 5.
Stress–strain hysteresis loop curves generated at the beginning and end of uniaxial cyclic loading and unloading tests.
3.2. UCS of MSWCs after Uniaxial Cyclic Loading and Unloading
The uniaxial compressive strength is an important indicator to evaluate the stability of the MSWCs. In order to study the UCS of MSWCs under different cyclic load damage effects, a uniaxial compression test with a loading rate of 0.5 mm/min was carried out. The stress–strain curves of different uniaxial cyclic loading and unloading damage and different proportions were measured.
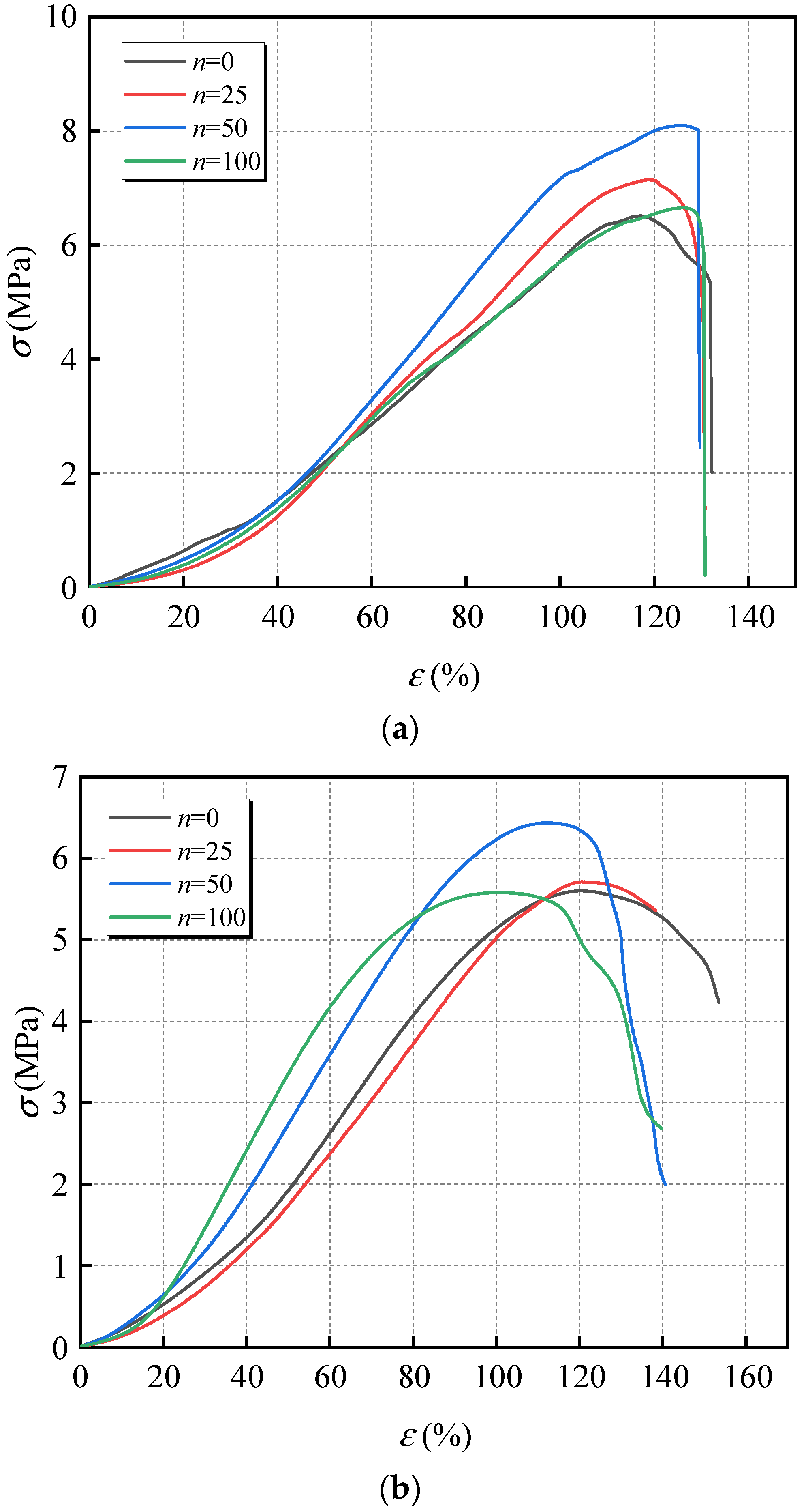
According to Figure 6, it can be seen that the stress–strain curve of the MSWC shows four typical stages: (I) compaction stage. This stage shows a “concave” feature due to the internal pores and cracks of the MSWC specimen gradually closing under the action of uniaxial pressure; (II) elastic deformation stage. This stage is approximately linear. The stress of the MSWC specimen increases rapidly with strain; (III) plastic deformation stage. This stage shows a “convex” feature. In this stage, the internal cracks of the specimen develop rapidly, and the strain increases rapidly; (IV) post-peak stage. In this stage, the cracks further develop, and obvious cracks appear on the test surface, but it still has a certain bearing capacity.

Figure 6.
Effect of mudstone proportion (r) and number of uniaxial cyclic loading and unloading (n) on the axial stress–strain curve of MSWC. (a) r = 0.2. (b) r = 0.4. (c) r = 0.6. (d) r = 0.8.
Figure 6 shows the uniaxial compressive strength of the MSWC after different numbers of uniaxial cyclic loading and unloading. Under different mudstone specific gravity conditions, the stress–strain curves of the MSWC show different characteristics. When n = 0.2 and n = 0.4, the stress–strain curves of MSWC show obvious brittle failure. Under an alkaline environment, the slag reacts faster than the mudstone, the cementitious products are generated faster, and the strength of the MSWC is higher. When n = 0.6 and n = 0.8, the plastic stage of the stress–strain curves of the MSWC occupies a higher proportion, and the specimen shows plastic failure. Due to the slow reaction rate of mudstone under alkaline conditions, the cementitious products are less, and the strength is lower. Therefore, with an increase of mudstone proportion, the uniaxial compressive strength of the MSWC decreases continuously, and the failure mode changes from brittle failure to plastic failure gradually.
Figure 7 shows the uniaxial compressive strength of the MSWC under the same mudstone proportion and different numbers of uniaxial cyclic loading and unloading. With an increase of loading and unloading times, the strength of the MSWC specimens shows a trend of first increasing and then decreasing. When the number of uniaxial cyclic loading and unloading is small, the internal pores of the MSWC gradually close during the cycle, and the uniaxial compressive strength of the MSWC gradually increases; when the number of cycles exceeds 50 times, the MSWC generates new cracks inside due to the increase of uniaxial cyclic loading and unloading times, resulting in a gradual decrease in the MSWC’s strength, and some obvious cracks are also generated on the surface.
Figure 7.
Effect of mudstone proportion on the UCS of MSWC.
To explore the failure modes of MSWC under different mudstone proportions and numbers of uniaxial cyclic loading and unloading, Figure 8 was obtained. Under a low mudstone proportion and low cyclic damage, the cementitious material reacts sufficiently, the specimen damage degree is low, the uniaxial compressive strength of the MSWC is high, the crushing degree is high, and it shows obvious brittle failure; under a high mudstone proportion and high cyclic damage, the cementitious material reacts sufficiently, the specimen damage degree is low, the uniaxial compressive strength of the MSWC is low, the crushing degree is low, the specimen has more fine cracks, the axial deformation after loading increases, and it shows obvious plastic failure. With increases of mudstone proportion and the number of uniaxial cyclic loading and unloading, the MSWC gradually changes from brittle failure to plastic failure.
Figure 8.
Effect of the number of uniaxial cyclic loading and unloading on the UCS of the MSWC.
To explore the failure modes of the MSWC under different mudstone proportions and uniaxial cyclic loading and unloading times, Figure 9 was obtained. Visible cracks depicted by red line, and small cracks depicted by yellow line. Under a low mudstone proportion and low cyclic damage, the slag cementitious material reacts sufficiently, and the specimen damage degree is low, the MSWC uniaxial compressive strength is high, the crushing degree is high, and it shows obvious brittle failure; under a high mudstone proportion and high cyclic damage, the mudstone cementitious material reacts sufficiently, the specimen damage degree is low, the MSWC uniaxial compressive strength is low, the crushing degree is low, the specimen has more fine cracks, the axial deformation increases after loading, and it shows obvious plastic failure. With an increase of mudstone proportion and uniaxial cyclic loading and unloading times, the MSWC gradually changes from brittle failure to plastic failure.
Figure 9.
Effect of the number of cycles (n) and mudstone proportion (r) on the MSWC fracture mode.
By analysing the coupling effect of the uniaxial cyclic loading–unloading times and the mudstone proportions, a three-dimensional surface fitting is performed to obtain the uniaxial compressive strength of the MSWC under different uniaxial cyclic loading–unloading times and mudstone proportions. The results are shown in Figure 10.
Figure 10.
Effect of mudstone proportions and number of uniaxial cyclic loading and unloading on the UCS of the MSWC.
3.3. Micro-Structure Analysis of MSWC after Uniaxial Cyclic Loading and Unloading
This article selected MSWC with a mudstone proportion r = 0.6 for the SEM scanning test, and analysed the microstructure of the MSWC under different uniaxial cyclic loading and unloading times. The microstructure can indirectly reflect the macroscopic properties of the specimen. The mechanical properties and permeability characteristics of the MSWC can be analysed by analysing the microstructure. As shown in Figure 11, due to the development of mudstone cementing material, the MSWC is a dense network structure, which makes MSWCs have good waterproofness, and MSWCs fulfil the low permeability requirement for the reconstruction of mine dumps. For the reconstruction of the water isolation layer of the dump, not only is low permeability required, but also sufficient strength is required to resist external impacts in the face of the complex external environment of the mine area, such as the cyclic driving of vehicles, the cyclic operation of instruments, etc. Therefore, the MSWC has enough strength to ensure the stability of the water isolation layer when facing a load, and the slag cementing material makes the MSWC have enough strength.

Figure 11.
Microstructure of MSWC specimens under different uniaxial cyclic loading and unloading times (n). (a) n = 0. (b) n = 25. (c) n = 50. (d) n = 100.
The MSWC has a dense network structure without cyclic damage, with low permeability and good water isolation, which fulfils the requirements for the reconstruction of the water isolation layer of a mine dump. With an increase in the number of cycles, the MSWC gradually changes from a dense layered structure to a network structure. Under the influence of microcracks and small pores, the permeability of the MSWC increases and the water barrier effect decreases. However, the permeability after damage still fulfils the basic requirements of low permeability, which will be explained in detail in Section 3.4, and this section will not be repeated.
3.4. Permeability of MSWC Uniaxial Cyclic Loading and Unloading
Permeability is a key parameter to measure the permeability performance of soil and rock mass [34,35,36], and it is an important indicator to evaluate the aquitard of the spoil field [37]. In this MSWC permeability test, the inlet pressure decay method was used. Compared with other methods, the inlet pressure decay method has a smaller error, higher accuracy, and more convenient calculation. The calculation formula is shown in (1):
where k is the effective permeability, A is the cross-sectional area of the sample, μ is the gas viscosity coefficient, V0 is the volume of the buffer cylinder, h is the height of the sample, Pmean is the average pressure in the buffer cylinder, ΔP is the pressure change at the inlet end, Δt is the test time, and P0 is the atmospheric pressure. When the permeability of MSWC is less than 10−13, the MSWC fulfils the basic conditions for use as a water barrier.
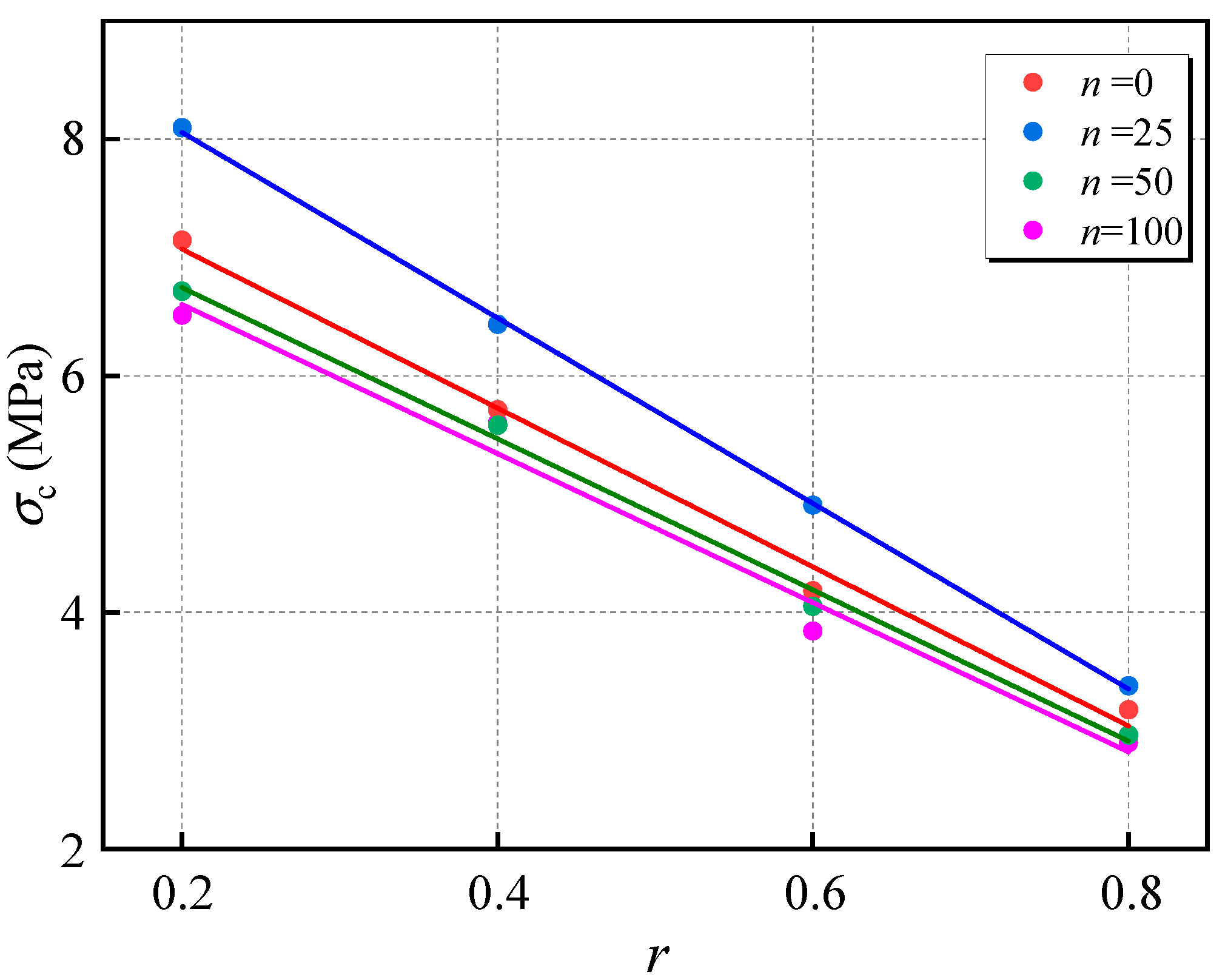
The permeability of the MSWC with different mudstone proportions is shown in Figure 12. As the mudstone proportion increases, the permeability of the MSWC gradually decreases, and its water-blocking ability gradually increases. Because the mudstone cementing material has stronger water-blocking ability than the slag cementing material, as the mudstone proportion further increases, the uniaxial compressive strength of the MSWC will decrease, but due to the complexity of the mining environment, the reconstructed water-blocking layer not only needs to have a low permeability, but also needs to have sufficient uniaxial compressive strength. Therefore, comprehensively considering the water-blocking ability and uniaxial compressive strength of the MSWC, the optimal ratio of mudstone proportion is r = 0.6 for a reconstructed water-blocking layer.
Figure 12.
Effect of mudstone proportion on the permeability of MSWCs.
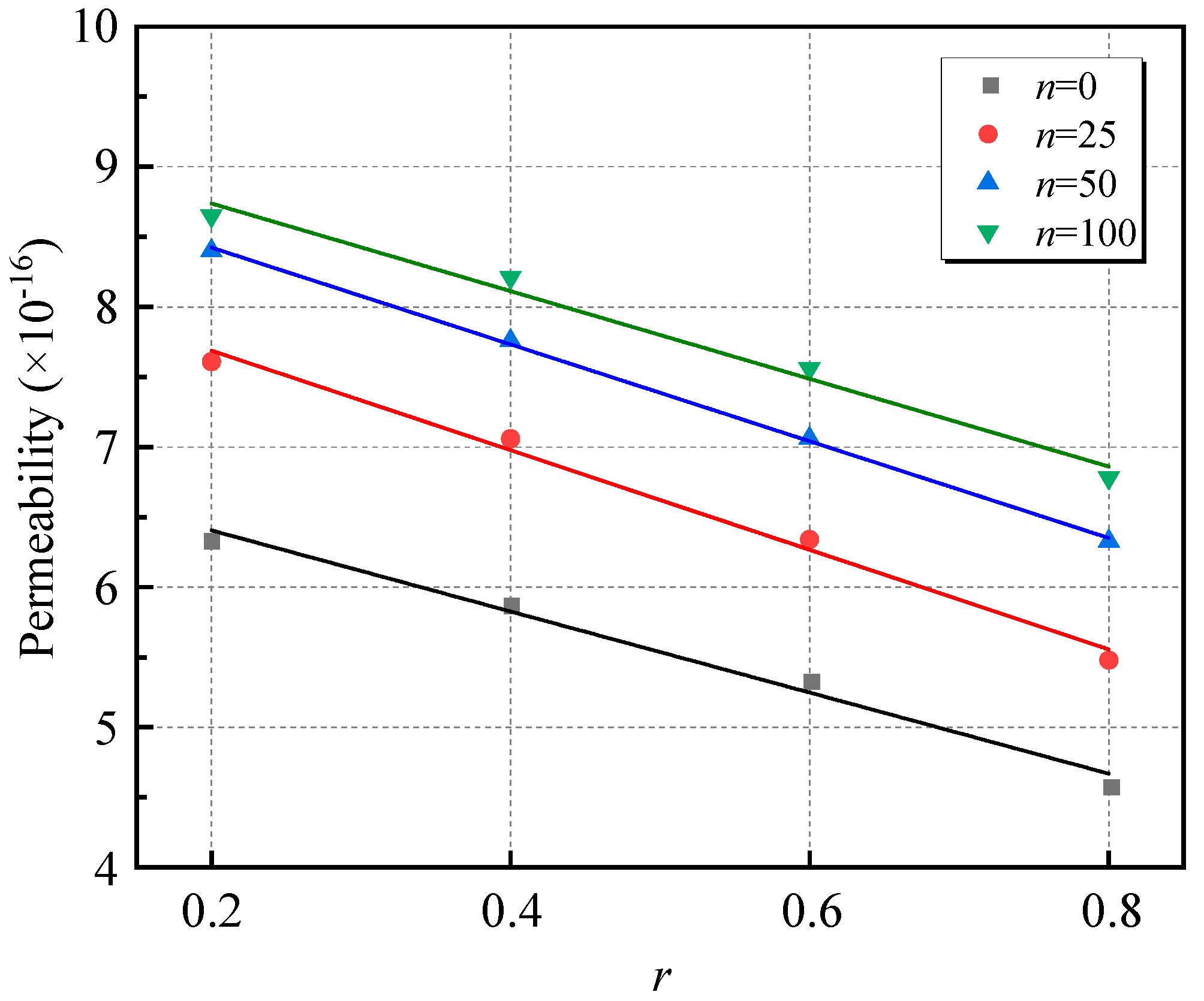
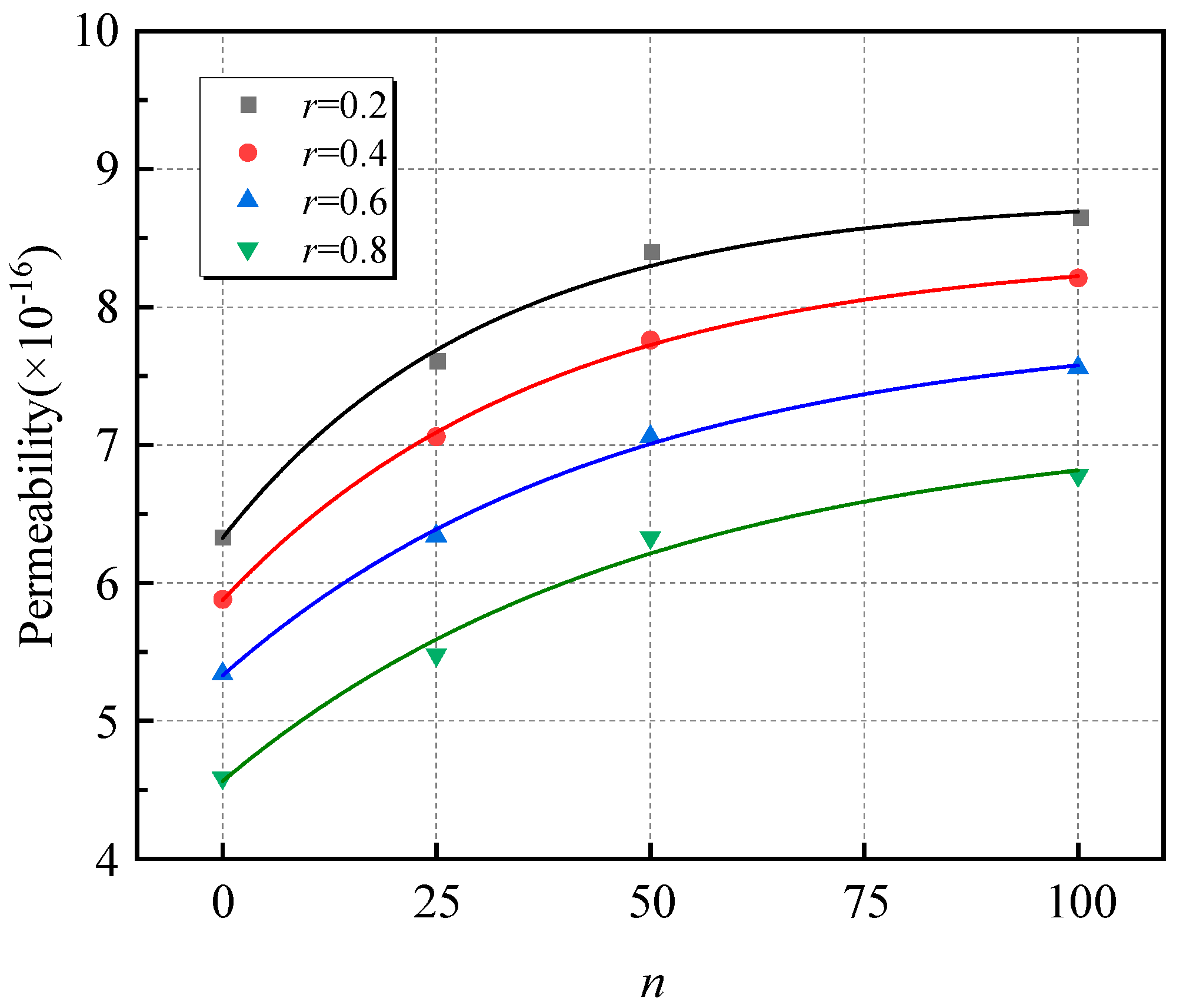
Figure 13 shows the permeability of the MSWC under different uniaxial cyclic loading and unloading times. As the uniaxial cyclic loading and unloading times increase, the permeability of the MSWC overall shows an increasing trend. Due to the continuous increase of the uniaxial cyclic loading and unloading times, the growth trend of the MSWC permeability gradually slows down, and when the cycle times exceed 100, its permeability growth gradually slows down. Therefore, when the uniaxial cyclic loading and unloading times exceed 100 times, the growth trend of the MSWC permeability slows down, which fulfils the condition of being a long-term water-blocking layer for a mine dump site in engineering applications.
Figure 13.
Effect of the number of uniaxial cyclic loading and unloading on the permeability of MSWCs.
3.5. Prospects of MSWC
Traditional water barrier layers are mostly composed of silicate cement materials, which produce a large amount of CO2 during the production process, accounting for 8% of the total global CO2 emissions, causing great damage to the environment. The raw materials of MSWC production are mostly solid waste produced in mining areas, which can effectively reduce resource waste and do not produce CO2 during the production process, which is in line with the development requirements of green mining and is conducive to the sustainable development of mining areas.
With the development of green mining, how to solve the problem of soil and water loss in mining areas has become the key restricting the future reforestation and reclamation of mining areas. A mine soil dump is composed of broken stones and cannot retain water. Restructuring the water barrier layer can prevent water loss and ensure the water required for reclamation. Traditional water barrier materials are mostly cement products, which will produce a large amount of greenhouse gases, while geopolymers can fully utilize the solid waste in mining areas and produce no greenhouse gases during their production process. The emergence of new geopolymers promotes the sustainable development of the mining industry and realizes green coal mining.
4. Conclusions
This article used mudstone and slag as cementitious materials and waste rock materials produced by mining areas as an aggregate, and generated geopolymer composite materials under alkaline activator conditions. Uniaxial compression tests, uniaxial cyclic loading and unloading tests, SEM scanning tests, and permeability tests were carried out on the MSWCs with different mudstone proportions. The effects of the mudstone proportion and uniaxial cyclic loading and unloading times on the mechanical properties, permeability, and microstructure of the MSWCs were studied. According to the research results, the following conclusions can be drawn:
- The MSWCs have qualified uniaxial compressive strength and low permeability, which fulfils the basic requirements of being a water barrier layer for a spoil disposal site, proving that mudstone and slag can be used as cementitious materials to construct artificial water barrier layers in mining areas.
- The failure modes of MSWC specimens changed from brittle failures to plastic failures with an increasing percentage of mudstone and number of uniaxial cyclic loading and unloading.
- Based on the proportion of mudstone and the number of uniaxial cyclic loading and unloading as variables, a coupling model of uniaxial compressive strength of the MSWC is established. With an increase of mudstone proportion, the uniaxial compressive strength of the MSWC gradually decreases; and with an increase of uniaxial cyclic loading and unloading times, the uniaxial compressive strength of the MSWC shows a trend of increasing first and then decreasing, and the uniaxial compressive strength reaches a maximum at about 50 cycles.
- The microstructure of the MSWCs showed that mudstone cementitious material develops relatively slowly and has strong plastic characteristics, low uniaxial compressive strength, and low permeability; while slag cementitious material develops relatively fast and has strong resistance to deformation, high uniaxial compressive strength, and low permeability.
- When the mudstone proportion is 0.6, the MSWC has strong uniaxial compressive strength and low permeability, which fulfils the requirements of reconstructing a water barrier layer for a spoil disposal site in a mining area.
Author Contributions
Conceptualization, Y.C. (Yanlong Chen); Data curation, Y.C. (Yuanguang Chen), Y.Z., J.Z. and T.C.; Funding acquisition, Y.C. (Yanlong Chen); Methodology, Y.C. (Yuanguang Chen); Supervision, Y.C. (Yuanguang Chen); Writing—original draft, Y.C. (Yuanguang Chen); Writing—review and editing, Y.C. (Yuanguang Chen), Y.C. (Yanlong Chen), Y.Z., J.Z. and T.C. All authors have read and agreed to the published version of the manuscript.
Funding
This work was financially supported by the National Key R&D Program of China (2022YFC2903902) and the National Natural Science Foundation of China (51974295).
Institutional Review Board Statement
Not applicable.
Informed Consent Statement
Not applicable.
Data Availability Statement
The data presented in this study are available in the article.
Conflicts of Interest
The authors declare no conflicts of interest.
References
- Ruan, Y.; Jamil, T.; Hu, C.; Gautam, B.P.; Yu, J. Microstructure and mechanical properties of sustainable cementitious materials with ultra-high substitution level of calcined clay and limestone powder. Constr. Build. Mater. 2022, 314, 125416. [Google Scholar] [CrossRef]
- Ramanathan, S.; Tuen, M.; Suraneni, P. Influence of supplementary cementitious material and filler fineness on their reactivity in model systems and cementitious pastes. Mater. Struct. 2022, 55, 136. [Google Scholar] [CrossRef]
- Madani, H.; Ramezanianpour, A.A.; Shahbazinia, M.; Ahmadi, E. Geopolymer bricks made from less active waste materials. Constr. Build. Mater. 2020, 247, 118441. [Google Scholar] [CrossRef]
- Wu, M.; Zhang, Y.; Liu, G.; Wu, Z.; Yang, Y.; Sun, W. Experimental study on the performance of lime-based low carbon cementitious materials. Constr. Build. Mater. 2018, 168, 780–793. [Google Scholar] [CrossRef]
- Liu, Z.; Hansen, W. Aggregate and slag cement effects on autogenous shrinkage in cementitious materials. Constr. Build. Mater. 2016, 121, 429–436. [Google Scholar] [CrossRef]
- Zhuang, W.; Li, S.; Yu, Q. The effect of supplementary cementitious material systems on dynamic compressive properties of ultra-high performance concrete paste. Constr. Build. Mater. 2022, 321, 126361. [Google Scholar] [CrossRef]
- Wang, H.; Hou, P.; Li, Q.; Adu-Amankwah, S.; Chen, H.; Xie, N.; Zhao, P.; Huang, Y.; Wang, S.; Cheng, X. Synergistic effects of supplementary cementitious materials in limestone and calcined clay-replaced slag cement. Constr. Build. Mater. 2021, 282, 122648. [Google Scholar] [CrossRef]
- Choi, Y.C.; Choi, S. Alkali–silica reactivity of cementitious materials using ferro-nickel slag fine aggregates produced in different cooling conditions. Constr. Build. Mater. 2015, 99, 279–287. [Google Scholar] [CrossRef]
- Sun, X.; Li, Y.; Wei, X.; Yu, J.; Wang, M. High contents of steel slag in the road concrete: Hydration mechanism, mechanical property and durability performance. Constr. Build. Mater. 2023, 400, 132703. [Google Scholar] [CrossRef]
- Liu, Y.; Su, Y.; Xu, G.; Chen, Y.; You, G. Research Progress on Controlled Low-Strength Materials: Metallurgical Waste Slag as Cementitious Materials. Materials 2022, 15, 727. [Google Scholar] [CrossRef]
- Zhang, N.; Tang, B.; Liu, X. Cementitious activity of iron ore tailing and its utilization in cementitious materials, bricks and concrete. Constr. Build. Mater. 2021, 288, 123022. [Google Scholar] [CrossRef]
- Guo, Z.; Jiang, T.; Zhang, J.; Kong, X.; Chen, C.; Lehman, D.E. Mechanical and durability properties of sustainable self-compacting concrete with recycled concrete aggregate and fly ash, slag and silica fume. Constr. Build. Mater. 2020, 231, 117115. [Google Scholar] [CrossRef]
- Cheng, X.; Long, D.; Zhang, C.; Gao, X.; Yu, Y.; Mei, K.; Zhang, C.; Guo, X.; Chen, Z. Utilization of red mud, slag and waste drilling fluid for the synthesis of slag-red mud cementitious material. J. Clean. Prod. 2019, 238, 117902. [Google Scholar] [CrossRef]
- Tsai, C.; Huang, R.; Lin, W.; Wang, H. Mechanical and cementitious characteristics of ground granulated blast furnace slag and basic oxygen furnace slag blended mortar. Mater. Des. 2014, 60, 267–273. [Google Scholar] [CrossRef]
- Pan, Z.; Li, D.; Yu, J.; Yang, N. Properties and microstructure of the hardened alkali-activated red mud–slag cementitious material. Cem. Concr. Res. 2003, 33, 1437–1441. [Google Scholar] [CrossRef]
- Luo, X.; Huang, X.; Liu, Y.; Tao, J.; Xiao, S.; Peng, B. Performance characterization and optimization of cement-lithium powder-grain slag composite cementitious materials. Constr. Build. Mater. 2023, 409, 133851. [Google Scholar] [CrossRef]
- Mo, K.H.; Ling, T.; Alengaram, U.J.; Yap, S.P.; Yuen, C.W. Overview of supplementary cementitious materials usage in lightweight aggregate concrete. Constr. Build. Mater. 2017, 139, 403–418. [Google Scholar] [CrossRef]
- Zhu, H.; Wen, C.; Wang, Z.; Li, L. Study on the Permeability of Recycled Aggregate Pervious Concrete with Fibers. Materials 2020, 13, 321. [Google Scholar] [CrossRef]
- Zha, H.; Fu, H.; Chen, C.; Yang, J.; Wang, H.; Zhu, X.; Yuan, D.; Jia, C. The use of eco-friendly lignin as a cementitious material to improve the engineering properties of disintegrated carbonaceous mudstone. Constr. Build. Mater. 2022, 359, 129456. [Google Scholar] [CrossRef]
- Yang, G.; Chen, Y.; Liu, X.; Yang, R.; Zhang, Y.; Zhang, J. Stability analysis of a slope containing water-sensitive mudstone considering different rainfall conditions at an open-pit mine. Int. J. Coal Sci. Technol. 2023, 10, 64. [Google Scholar] [CrossRef]
- Li, X.; Liu, X.; Tan, Y.; Chen, A.; Wang, H.; Wang, X.; Yang, S. Rheological mechanical properties and its constitutive relation of soft rock considering influence of clay mineral composition and content. Int. J. Coal Sci. Technol. 2023, 10, 48. [Google Scholar] [CrossRef]
- Sun, C.; Li, G.; Gomah, M.E.; Xu, J.; Rong, H. Experimental investigation on the nanoindentation viscoelastic constitutive model of quartz and kaolinite in mudstone. Int. J. Coal Sci. Technol. 2021, 8, 925–937. [Google Scholar] [CrossRef]
- Yang, Y.; Aplin, A.C. Influence of lithology and compaction on the pore size distribution and modelled permeability of some mudstones from the Norwegian margin. Mar. Pet. Geol. 1998, 15, 163–175. [Google Scholar] [CrossRef]
- Huang, Y.; Zhao, A.; Guo, W.; Yang, W.; Zhang, T. Experimental study on groutability and reconstructability of broken mudstone and their relationship. Arab. J. Geosci. 2020, 13, 774. [Google Scholar] [CrossRef]
- Pan, Z.; Cheng, L.; Lu, Y.; Yang, N. Hydration products of alkali-activated slag–red mud cementitious material. Cem. Concr. Res. 2002, 32, 357–362. [Google Scholar] [CrossRef]
- Iyare, U.C.; Blake, O.O.; Frash, L.P.; Carey, J.W.; Jones, D.; Ramjarrie, K. Water-Weakening Effects on the Failure Behavior of Mudstones. Rock Mech. Rock Eng. 2023, 56, 9171–9185. [Google Scholar] [CrossRef]
- Dessouki, M.; Hathon, L.; Myers, M. Permeability and porosity modelling for resedimented mudrocks—Applications for compaction dominated mudrock systems. Mar. Pet. Geol. 2021, 128, 104945. [Google Scholar] [CrossRef]
- Aghaeipour, A.; Madhkhan, M. Effect of ground granulated blast furnace slag (GGBFS) on RCCP durability. Constr. Build. Mater. 2017, 141, 533–541. [Google Scholar] [CrossRef]
- Guo, W.; Zhao, Q.; Sun, Y.; Xue, C.; Bai, Y.; Shi, Y. Effects of various curing methods on the compressive strength and microstructure of blast furnace slag-fly ash-based cementitious material activated by alkaline solid wastes. Constr. Build. Mater. 2022, 357, 129397. [Google Scholar] [CrossRef]
- Ramanathan, S.; Croly, M.; Suraneni, P. Comparison of the effects that supplementary cementitious materials replacement levels have on cementitious paste properties. Cem. Concr. Compos. 2020, 112, 103678. [Google Scholar] [CrossRef]
- Aziz, I.H.; Abdullah, M.M.A.B.; Mohd Salleh, M.A.A.; Azimi, E.A.; Chaiprapa, J.; Sandu, A.V. Strength development of solely ground granulated blast furnace slag geopolymers. Constr. Build. Mater. 2020, 250, 118720. [Google Scholar] [CrossRef]
- Liu, L.; Yao, Y.; Zhang, L. Study on properties and soil solidification mechanism of alkali—activated cementitious materials. Mater. Today Commun. 2023, 37, 107556. [Google Scholar] [CrossRef]
- Xu, Y.; Zhang, H.; Schlangen, E.; Luković, M.; Aavija, B. Cementitious cellular composites with auxetic behavior. Cem. Concr. Compos. 2020, 111, 103624. [Google Scholar] [CrossRef]
- Shen, X.; Li, L.; Wang, Y. Simple Fully Automatic Testing Method of Seepage Indices for Low-Permeability Materials. Water 2021, 13, 477. [Google Scholar] [CrossRef]
- Lv, G.; He, C.; Du, X.; Li, Y. Simulation Study on Hydrological Process of Soil Cracks in Open-Pit Coal Mine Dump. Water 2022, 14, 2302. [Google Scholar] [CrossRef]
- Liu, X.; Wei, J.; Wei, G.; Wu, C.; Liu, C.; Ni, X. Combined control of fluid adsorption capacity and initial permeability on coal permeability. Int. J. Coal Sci. Technol. 2022, 9, 85. [Google Scholar] [CrossRef]
- Nazari, S.; Hassanlourad, M.; Chavoshi, E.; Mirzaii, A.; Tamagnini, C. Experimental Investigation of Unsaturated Silt-Sand Soil Permeability. Adv. Civ. Eng. 2018, 2018, 4946956. [Google Scholar] [CrossRef]
Disclaimer/Publisher’s Note: The statements, opinions and data contained in all publications are solely those of the individual author(s) and contributor(s) and not of MDPI and/or the editor(s). MDPI and/or the editor(s) disclaim responsibility for any injury to people or property resulting from any ideas, methods, instructions or products referred to in the content. |
© 2023 by the authors. Licensee MDPI, Basel, Switzerland. This article is an open access article distributed under the terms and conditions of the Creative Commons Attribution (CC BY) license (https://creativecommons.org/licenses/by/4.0/).















