Adsorption of Heavy Metals from Low Concentration Solutions onto Dried Chlamydomonas reinhardtii
Abstract
1. Introduction
2. Materials and Methods
2.1. Materials
2.2. Biosorbent Cultivation and Preparation
2.3. Biosorption Procedure
2.3.1. Dried Cells
2.3.2. Living Cells
2.4. Materials Characterization
3. Results
3.1. Biosorbent Characterization
3.2. Biosorption on Dried Algae
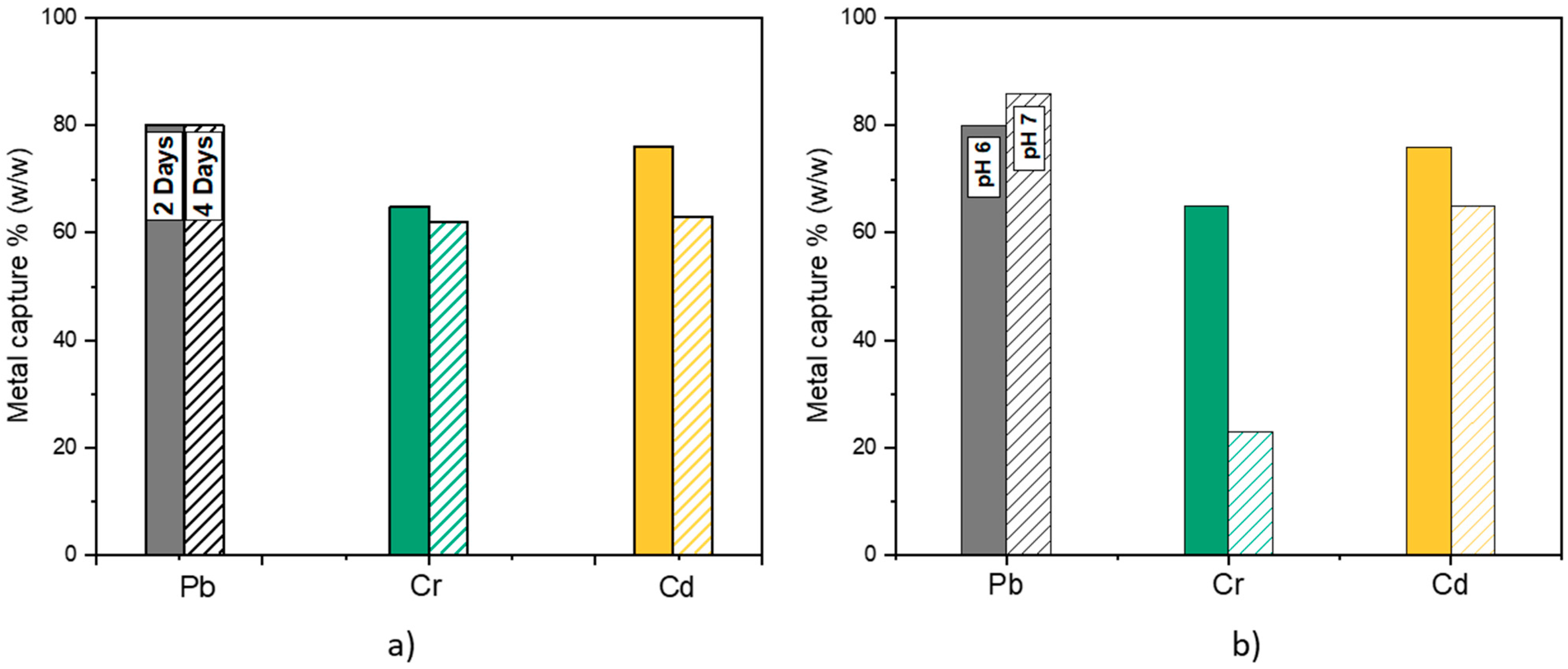
3.2.1. Single-Ion Solutions
3.2.2. Multi-Ion Solutions
3.2.3. Preliminary Comparison of Adsorption to Living and Dried Algae: Cd(II) Case
4. Discussion
4.1. Pb(II) and Cd(II) Ions in Multi-Ion Systems
4.2. Cr(III) Ions in Multi-Ion Systems
4.3. Adsorption to Living and Dried Algae: Cd(II) Case
5. Conclusions and Future Developments
Supplementary Materials
Author Contributions
Funding
Institutional Review Board Statement
Informed Consent Statement
Data Availability Statement
Acknowledgments
Conflicts of Interest
References
- Govind, P. Heavy Metals Causing Toxicity in Animals and Fishes. Res. J. Anim. Vet. Fish. Sci. 2014, 2, 17–23. [Google Scholar]
- Dai, S.; Graham, I.T.; Ward, C.R. A Review of Anomalous Rare Earth Elements and Yttrium in Coal. Int. J. Coal Geol. 2016, 159, 82–95. [Google Scholar] [CrossRef]
- Pinotti, L.; Ottoboni, M.; Giromini, C.; Dell’Orto, V.; Cheli, F. Mycotoxin Contamination in the EU Feed Supply Chain: A Focus on Cereal Byproducts. Toxins 2016, 8, 45. [Google Scholar] [CrossRef] [PubMed]
- Beyersmann, D.; Koster, A.; Buttner, B.; Flessel, P. Model Reactions of Chromium Compounds with Mammalian and Bacterial Cells†. Toxicol. Environ. Chem. 1984, 8, 279–286. [Google Scholar] [CrossRef]
- Lester, J. Heavy Metals in Wastewater and Sludge Treatment Processes; CRC Press: Boca Raton, FL, USA, 1987; Volume 1. [Google Scholar]
- Jaishankar, M.; Tseten, T.; Anbalagan, N.; Mathew, B.B.; Beeregowda, K.N. Toxicity, Mechanism and Health Effects of Some Heavy Metals. Interdiscip. Toxicol. 2014, 7, 60–72. [Google Scholar] [CrossRef]
- Matta, G.; Gjyli, L. Mercury, Lead and Arsenic: Impact on Environment and Human Health. JCPS 2016, 9, 718–725. [Google Scholar]
- Mandotra, S.K.; Upadhyay, A.K.; Ahluwalia, A.S. (Eds.) Algae: Multifarious Applications for a Sustainable World; Springer: Singapore, 2021; ISBN 9789811575174. [Google Scholar]
- Sharma, P.; Kumar, S.; Pandey, A. Bioremediated Techniques for Remediation of Metal Pollutants Using Metagenomics Approaches: A Review. J. Environ. Chem. Eng. 2021, 9, 105684. [Google Scholar] [CrossRef]
- Chan, A.; Salsali, H.; McBean, E. Heavy Metal Removal (Copper and Zinc) in Secondary Effluent from Wastewater Treatment Plants by Microalgae. ACS Sustain. Chem. Eng. 2014, 2, 130–137. [Google Scholar] [CrossRef]
- Kauppila, P.; Liisa Räisänen, M.; Myllyoja, S. Best Environmental Practices in Metal Ore Mining; Finnish Environment Institute: Helsinki, Finland, 2011; ISBN 978-952-11-4188-1. [Google Scholar]
- Gautam, R.K.; Sharma, S.K.; Mahiya, S.; Chattopadhyaya, M.C. Chapter 1. Contamination of Heavy Metals in Aquatic Media: Transport, Toxicity and Technologies for Remediation. In Heavy Metals in Water; Sharma, S., Ed.; Royal Society of Chemistry: Cambridge, UK, 2014; pp. 1–24. ISBN 978-1-84973-885-9. [Google Scholar]
- Northey, S.A.; Mudd, G.M.; Saarivuori, E.; Wessman-Jääskeläinen, H.; Haque, N. Water Footprinting and Mining: Where Are the Limitations and Opportunities? J. Clean. Prod. 2016, 135, 1098–1116. [Google Scholar] [CrossRef]
- Northey, S.A.; Mudd, G.M.; Werner, T.T.; Haque, N.; Yellishetty, M. Sustainable Water Management and Improved Corporate Reporting in Mining. Water Resour. Ind. 2019, 21, 100104. [Google Scholar] [CrossRef]
- World Health Organization. Guidelines for Drinking-Water Quality: Fourth Edition Incorporating the First and Second Addenda. Available online: https://www.who.int/publications/i/item/9789240045064 (accessed on 18 January 2024).
- Fu, F.; Wang, Q. Removal of Heavy Metal Ions from Wastewaters: A Review. J. Environ. Manag. 2011, 92, 407–418. [Google Scholar] [CrossRef]
- Gunatilake, S.K. Methods of Removing Heavy Metals from Industrial Wastewater. Methods 2015, 1, 14. [Google Scholar]
- Fan, D.; Peng, Y.; He, X.; Ouyang, J.; Fu, L.; Yang, H. Recent Progress on the Adsorption of Heavy Metal Ions Pb(II) and Cu(II) from Wastewater. Nanomaterials 2024, 14, 1037. [Google Scholar] [CrossRef] [PubMed]
- Ahmaruzzaman, M. Industrial Wastes as Low-Cost Potential Adsorbents for the Treatment of Wastewater Laden with Heavy Metals. Adv. Colloid Interface Sci. 2011, 166, 36–59. [Google Scholar] [CrossRef] [PubMed]
- Iakovleva, E.; Sillanpää, M. The Use of Low-Cost Adsorbents for Wastewater Purification in Mining Industries. Environ. Sci. Pollut. Res. 2013, 20, 7878–7899. [Google Scholar] [CrossRef] [PubMed]
- Giese, E.C. Biosorption as Green Technology for the Recovery and Separation of Rare Earth Elements. World J. Microbiol. Biotechnol. 2020, 36, 52. [Google Scholar] [CrossRef] [PubMed]
- Lu, M.-M.; Gao, F.; Li, C.; Yang, H.-L. Response of Microalgae Chlorella vulgaris to Cr Stress and Continuous Cr Removal in a Membrane Photobioreactor. Chemosphere 2021, 262, 128422. [Google Scholar] [CrossRef] [PubMed]
- Dirbaz, M.; Roosta, A. Adsorption, Kinetic and Thermodynamic Studies for the Biosorption of Cadmium onto Microalgae Parachlorella sp. J. Environ. Chem. Eng. 2018, 6, 2302–2309. [Google Scholar] [CrossRef]
- Santomauro, G.; Sun, W.-L.; Brümmer, F.; Bill, J. Incorporation of Zinc into the Coccoliths of the Microalga Emiliania Huxleyi. Biometals 2016, 29, 225–234. [Google Scholar] [CrossRef] [PubMed]
- Santomauro, G.; Singh, A.V.; Park, B.; Mohammadrahimi, M.; Erkoc, P.; Goering, E.; Schütz, G.; Sitti, M.; Bill, J. Incorporation of Terbium into a Microalga Leads to Magnetotactic Swimmers. Adv. Biosys. 2018, 2, 1800039. [Google Scholar] [CrossRef]
- Santomauro, G.; Stiefel, M.; Jeurgens, L.P.H.; Bill, J. In Vivo Shaping of Inorganic Functional Devices Using Microalgae. Adv. Biosys. 2020, 4, 1900301. [Google Scholar] [CrossRef] [PubMed]
- Pasqua, G.; Abbate, G.; Forni, C.; Acosta, A.; Baldan, B.; Basile, A.; Caporali, E.; Cozzolino, S.; Felicini, G.P.; Giovi, E.; et al. Botanica Generale e Diversità Vegetale, 4th ed.; Piccin: Padova, Italy, 2019; ISBN 978-88-299-2979-5. [Google Scholar]
- Chojnacka, K.; Marquez-Rocha, F.-J. Kinetic and Stoichiometric Relationships of the Energy and Carbon Metabolism in the Culture of Microalgae. Biotechnology 2003, 3, 21–34. [Google Scholar] [CrossRef]
- Rinanti, A.; Fachrul, M.F.; Hadisoebroto, R.; Desty, S.; Rahmadhania, R.; Widyaningrum, D.A.; Saad, N.A. Heavy metal pollutant sorption in aquatic environment by microalgae consortium. Indones. J. Urban. Environ. Technol. 2021, 5, 51–71. [Google Scholar] [CrossRef]
- Kumar, M.; Singh, A.K.; Sikandar, M. Study of Sorption and Desorption of Cd (II) from Aqueous Solution Using Isolated Green Algae Chlorella vulgaris. Appl. Water Sci. 2018, 8, 225. [Google Scholar] [CrossRef]
- Rinanti, A. Improving biosorption of cu(ii)-ion on artificial wastewater by immobilized biosorbent of tropical microalgae. Geomate 2017, 13, 6–10. [Google Scholar] [CrossRef]
- Cheng, S.Y.; Show, P.-L.; Lau, B.F.; Chang, J.-S.; Ling, T.C. New Prospects for Modified Algae in Heavy Metal Adsorption. Trends Biotechnol. 2019, 37, 1255–1268. [Google Scholar] [CrossRef] [PubMed]
- Fasaei, F.; Bitter, J.H.; Slegers, P.M.; Van Boxtel, A.J.B. Techno-Economic Evaluation of Microalgae Harvesting and Dewatering Systems. Algal Res. 2018, 31, 347–362. [Google Scholar] [CrossRef]
- Salam, K.A. Towards sustainable development of microalgal biosorption for treating effluents containing heavy metals. Biofuel Res. J. 2019, 6, 948–961. [Google Scholar] [CrossRef]
- Tüzün, İ.; Bayramoğlu, G.; Yalçın, E.; Başaran, G.; Çelik, G.; Arıca, M.Y. Equilibrium and Kinetic Studies on Biosorption of Hg(II), Cd(II) and Pb(II) Ions onto Microalgae Chlamydomonas reinhardtii. J. Environ. Manag. 2005, 77, 85–92. [Google Scholar] [CrossRef]
- Ferreira, L.S.; Rodrigues, M.S.; de Carvalho, J.C.M.; Lodi, A.; Finocchio, E.; Perego, P.; Converti, A. Adsorption of Ni2+, Zn2+ and Pb2+ onto Dry Biomass of Arthrospira (Spirulina) Platensis and Chlorella vulgaris. I. Single Metal Systems. Chem. Eng. J. 2011, 173, 326–333. [Google Scholar] [CrossRef]
- Flouty, R.; Estephane, G. Bioaccumulation and Biosorption of Copper and Lead by a Unicellular Algae Chlamydomonas reinhardtii in Single and Binary Metal Systems: A Comparative Study. J. Environ. Manag. 2012, 111, 106–114. [Google Scholar] [CrossRef] [PubMed]
- Cheng, J.; Yin, W.; Chang, Z.; Lundholm, N.; Jiang, Z. Biosorption Capacity and Kinetics of Cadmium(II) on Live and Dead Chlorella vulgaris. J. Appl. Phycol. 2017, 29, 211–221. [Google Scholar] [CrossRef]
- Saavedra, R.; Muñoz, R.; Taboada, M.E.; Vega, M.; Bolado, S. Comparative Uptake Study of Arsenic, Boron, Copper, Manganese and Zinc from Water by Different Green Microalgae. Bioresour. Technol. 2018, 263, 49–57. [Google Scholar] [CrossRef] [PubMed]
- Pradhan, D.; Sukla, L.B.; Mishra, B.B.; Devi, N. Biosorption for Removal of Hexavalent Chromium Using Microalgae Scenedesmus sp. J. Clean. Prod. 2019, 209, 617–629. [Google Scholar] [CrossRef]
- Tunali, M.; Yenigun, O. Biosorption of Ag+ and Nd3+ from Single- and Multi-Metal Solutions (Ag+, Nd3+, and Au3+) by Using Living and Dried Microalgae. J. Mater. Cycles Waste Manag. 2021, 23, 764–777. [Google Scholar] [CrossRef]
- Mohamed, M.S.; Hozayen, W.; Alharbi, R.M.; Ibraheem, B.I.B.M. Adsorptive Recovery of Arsenic (III) Ions from Aqueous Solutions Using Dried Chlamydomonas sp. Heliyon 2022, 8, 20. [Google Scholar] [CrossRef]
- Raji, Z.; Karim, A.; Karam, A.; Khalloufi, S. Adsorption of Heavy Metals: Mechanisms, Kinetics, and Applications of Various Adsorbents in Wastewater Remediation—A Review. Waste 2023, 1, 775–805. [Google Scholar] [CrossRef]
- Xiao, X.; Li, W.; Jin, M.; Zhang, L.; Qin, L.; Geng, W. Responses and Tolerance Mechanisms of Microalgae to Heavy Metal Stress: A Review. Mar. Environ. Res. 2023, 183, 105805. [Google Scholar] [CrossRef] [PubMed]
- Abdelfattah, A.; Ali, S.S.; Ramadan, H.; El-Aswar, E.I.; Eltawab, R.; Ho, S.-H.; Elsamahy, T.; Li, S.; El-Sheekh, M.M.; Schagerl, M.; et al. Microalgae-Based Wastewater Treatment: Mechanisms, Challenges, Recent Advances, and Future Prospects. Environ. Sci. Ecotechnol. 2023, 13, 100205. [Google Scholar] [CrossRef] [PubMed]
- European Commission. EIPPCB Reference Document on the Best Available Techniques for the Surface Treatment of Metals and Plastics; European Commission: Brussels, Belgium, 2006. [Google Scholar]
- European Commission. EIPPCB Reference Document on the Best Available Techniques for the Ceramic Manufacturing Industry; European Commission: Brussels, Belgium, 2007. [Google Scholar]
- European Commission. EIPPCB Reference Document on the Best Available Techniques for the Ferrous Metals Processing Industry; European Commission: Brussels, Belgium, 2022. [Google Scholar]
- European Commission. UE Directive (EU) 2020/2184 of the European Parliament and of the Council of 16 December 2020 on the Quality of Water Intended for Human Consumption (Recast); European Commission: Brussels, Belgium, 2020. [Google Scholar]
- Puigdomenech, I. Hydra-Medusa Software, version 0.1.1; Chemical Equilibrium Diagrams; KTH Royal Institute of Technology: Stockholm, Sweden, 2020. [Google Scholar]
- Barth, A. Infrared Spectroscopy of Proteins. Biochim. Biophys. Acta (BBA)—Bioenerg. 2007, 1767, 1073–1101. [Google Scholar] [CrossRef] [PubMed]
- Dean, A.P.; Nicholson, J.M.; Sigee, D.C. Impact of Phosphorus Quota and Growth Phase on Carbon Allocation in Chlamydomonas reinhardtii: An FTIR Microspectroscopy Study. Eur. J. Phycol. 2008, 43, 345–354. [Google Scholar] [CrossRef]
- Miller, D.H.; Lamport, D.T.A.; Miller, M. Hydroxyproline Heterooligosaccharides in Chlamydomonas. Science 1972, 176, 918–920. [Google Scholar] [CrossRef] [PubMed]
- Adair, W.S.; Apt, K.E. Cell Wall Regeneration in Chlamydomonas: Accumulation of mRNAs Encoding Cell Wall Hydroxyproline-Rich Glycoproteins. Proc. Natl. Acad. Sci. USA 1990, 87, 7355–7359. [Google Scholar] [CrossRef] [PubMed]
- Zheng, H.; Yin, J.; Gao, Z.; Huang, H.; Ji, X.; Dou, C. Disruption of Chlorella vulgaris Cells for the Release of Biodiesel-Producing Lipids: A Comparison of Grinding, Ultrasonication, Bead Milling, Enzymatic Lysis, and Microwaves. Appl. Biochem. Biotechnol. 2011, 164, 1215–1224. [Google Scholar] [CrossRef] [PubMed]
- Romera, E.; González, F.; Ballester, A.; Blázquez, M.L.; Muñoz, J.A. Comparative Study of Biosorption of Heavy Metals Using Different Types of Algae. Bioresour. Technol. 2007, 98, 3344–3353. [Google Scholar] [CrossRef] [PubMed]
- Areco, M.M.; Hanela, S.; Duran, J.; dos Santos Afonso, M. Biosorption of Cu(II), Zn(II), Cd(II) and Pb(II) by Dead Biomasses of Green Alga Ulva Lactuca and the Development of a Sustainable Matrix for Adsorption Implementation. J. Hazard. Mater. 2012, 213–214, 123–132. [Google Scholar] [CrossRef]
- Sulaymon, A.H.; Mohammed, A.A.; Al-Musawi, T.J. Competitive Biosorption of Lead, Cadmium, Copper, and Arsenic Ions Using Algae. Environ. Sci. Pollut. Res. 2013, 20, 3011–3023. [Google Scholar] [CrossRef] [PubMed]
- Harrison, G.I.; Campbell, P.G.C.; Tessier, A. Effects of pH Changes on Zinc Uptake by Chlamydomonas variabilis Grown in Batch Culture. Can. J. Fish. Aquat. Sci. 1986, 43, 687–693. [Google Scholar] [CrossRef]
- Macfie, S.M.; Tarmohamed, Y.; Welbourn, P.M. Effects of Cadmium, Cobalt, Copper, and Nickel on Growth of the Green Alga Chlamydomonas reinhardtii: The Influences of the Cell Wall and pH. Arch. Environ. Contam. Toxicol. 1994, 27, 454–458. [Google Scholar] [CrossRef]
- Melhi, S.; Ullah Jan, S.; Khan, A.A.; Badshah, K.; Ullah, S.; Bostan, B.; Selamoglu, Z. Remediation of Cd (II) Ion from an Aqueous Solution by a Starch-Based Activated Carbon: Experimental and Density Functional Theory (DFT) Approach. Crystals 2022, 12, 189. [Google Scholar] [CrossRef]
- Persson, I.; Lyczko, K.; Lundberg, D.; Eriksson, L.; Płaczek, A. Coordination Chemistry Study of Hydrated and Solvated Lead(II) Ions in Solution and Solid State. Inorg. Chem. 2011, 50, 1058–1072. [Google Scholar] [CrossRef] [PubMed]
- Yuan, X.; Zhang, C. Density Functional Theory Study on the Inner Shell of Hydrated M2+(H2O)1-7 Cluster Ions for M = Zn, Cd and Hg. Comput. Theor. Chem. 2020, 1171, 112666. [Google Scholar] [CrossRef]
- Treadwell, F.P. Chimica Analitica Vol. 1 Analisi Qualitativa, 7th ed.; Dr. Francesco Vallardi: Milano, Italy, 1966. [Google Scholar]
- Crozza, D. Studio dei Meccanismi della Metallotolleranza Nell’organismo Modello Scendenesmus acutus (Chlorophyta—Alghe verdi). Ph.D Thesis, Università della Calabria, Catanzaro, Italy, 2013. [Google Scholar]
- Keller, A.A.; Wang, H.; Zhou, D.; Lenihan, H.S.; Cherr, G.; Cardinale, B.J.; Miller, R.; Ji, Z. Stability and Aggregation of Metal Oxide Nanoparticles in Natural Aqueous Matrices. Environ. Sci. Technol. 2010, 44, 1962–1967. [Google Scholar] [CrossRef]
- Serrão Sousa, V.; Ribau Teixeira, M. Aggregation Kinetics and Surface Charge of CuO Nanoparticles: The Influence of pH, Ionic Strength and Humic Acids. Environ. Chem. 2013, 10, 313–322. [Google Scholar] [CrossRef]













| Ion | Initial Metal Concentration (mg/L) | pH | Contact Time | Dried Algae Adsorption | Living Algae Adsorption | ||
|---|---|---|---|---|---|---|---|
| mg/L | % (w/w) | mg/L | % (w/w) | ||||
| Cd(II) | 0.2 ± 0.002 | 6 | 2 days | 0.151 ± 0.001 | 76 | 0.156 ± 0.001 | 78 |
| 4 days | 0.125 ± 0.001 | 63 | 0.182 ± 0.001 | 91 | |||
| Metal Ion | Single-Metal | Multi-Metals | ||
|---|---|---|---|---|
| Species | Ionic Strength | Species | Ionic Strength | |
| Pb(II) | Pb2+ PbOH+ | 7.23 | Pb2+ PbOH+ | 32.75 |
| Cr(III) | CrOH2+ Cr2O3 | 20.22 | CrOH2+ Cr2O3 | |
| Cd(II) | Cd2+ | 5.34 | Cd2+ | |
Disclaimer/Publisher’s Note: The statements, opinions and data contained in all publications are solely those of the individual author(s) and contributor(s) and not of MDPI and/or the editor(s). MDPI and/or the editor(s) disclaim responsibility for any injury to people or property resulting from any ideas, methods, instructions or products referred to in the content. |
© 2024 by the authors. Licensee MDPI, Basel, Switzerland. This article is an open access article distributed under the terms and conditions of the Creative Commons Attribution (CC BY) license (https://creativecommons.org/licenses/by/4.0/).
Share and Cite
Genduso, M.G.; Guagliano, M.; Finocchio, E.; Cristiani, C.; Dotelli, G.; Santomauro, G. Adsorption of Heavy Metals from Low Concentration Solutions onto Dried Chlamydomonas reinhardtii. Appl. Sci. 2024, 14, 11057. https://doi.org/10.3390/app142311057
Genduso MG, Guagliano M, Finocchio E, Cristiani C, Dotelli G, Santomauro G. Adsorption of Heavy Metals from Low Concentration Solutions onto Dried Chlamydomonas reinhardtii. Applied Sciences. 2024; 14(23):11057. https://doi.org/10.3390/app142311057
Chicago/Turabian StyleGenduso, Maria Giuseppina, Marianna Guagliano, Elisabetta Finocchio, Cinzia Cristiani, Giovanni Dotelli, and Giulia Santomauro. 2024. "Adsorption of Heavy Metals from Low Concentration Solutions onto Dried Chlamydomonas reinhardtii" Applied Sciences 14, no. 23: 11057. https://doi.org/10.3390/app142311057
APA StyleGenduso, M. G., Guagliano, M., Finocchio, E., Cristiani, C., Dotelli, G., & Santomauro, G. (2024). Adsorption of Heavy Metals from Low Concentration Solutions onto Dried Chlamydomonas reinhardtii. Applied Sciences, 14(23), 11057. https://doi.org/10.3390/app142311057

