Abstract
With the increasing research of deep learning in the EEG field, it becomes more and more important to fully extract the characteristics of EEG signals. Traditional EEG signal classification prediction neither considers the topological structure between the electrodes of the signal collection device nor the data structure of the Euclidean space to accurately reflect the interaction between signals. Graph neural networks can effectively extract features of non-Euclidean spatial data. Therefore, this paper proposes a feature selection method for epilepsy EEG classification based on graph convolutional neural networks (GCNs) and long short-term memory (LSTM) cells. While enriching the input of LSTM, it also makes full use of the information hidden in the EEG signals. In the automatic detection of epileptic seizures based on neural networks, due to the strong non-stationarity and large background noise of the EEG signal, the analysis and processing of the EEG signal has always been a challenging research. Therefore, experiments were conducted using the preprocessed Boston Children’s Hospital epilepsy EEG dataset, and input it into the GCN-LSTM model for deep feature extraction. The GCN network built by the graph convolution layer learns spatial features, then LSTM extracts sequence information, and the final prediction is performed by fully connected and softmax layers. The introduced method has been experimentally proven to be effective in improving the accuracy of epileptic EEG seizure detection. Experimental results show that the average accuracy of binary classification on the CHB-MIT dataset is 99.39%, and the average accuracy of ternary classification is 98.69%.
1. Introduction
In recent years, brain–computer interface (BCI) has become one of the hot spots in medical and academic research [1]. It refers to new technologies that establish connections between the brain and external devices to enable information exchange. It is widely used because of its high time resolution, easy collection, portability, and safety. Therefore, the 10–20 EEG system is widely used internationally to efficiently collect EEG information. EEG signals originate from the potential differences generated by the activity of brain neurons and contain rich and complex activity information. The principle of EEG is to record spontaneous, event-related, stimulus-induced EEG signals on a time scale to reveal changes in different brain activities [2].
Epilepsy is a chronic, non-communicable disease caused by paroxysmal, abnormal, super-synchronous electrical activity of brain neurons. It affects people of all ages and is one of the most common neurological diseases in the world. Currently, there are approximately 50 million epilepsy patients worldwide, of whom approximately 15 million are children [3]. The clinical manifestations of epilepsy are diverse and complex due to differences in the origin and conduction methods of abnormal electrical activity in the brain. Recurrent epileptic seizures may have a lasting negative impact on the patient’s mental and cognitive functions and even threaten the patient’s life. When employing traditional deep learning models for EEG-based seizure detection, there exist several limitations. On one hand, these models often fail to adequately extract spatial information along the channel dimension. For instance, convolutional neural networks (CNNs) lose partial spatial information during the process of transforming the collected data into a two-dimensional format. They may even completely discard spatial information of the channel dimension altogether, as exemplified by recurrent neural networks (RNNs) [4], which simply concatenate the data into one-dimensional representations. To address these issues, an increasing body of neuroscience research has underscored the importance of considering the dynamics of brain networks [5,6]. Some studies have consequently focused on extracting graphically-related features between channels, such as adjacency matrices and distance correlations. Given that the data acquired by each electrode possess a graph-structured relationship on the scalp, the graph structure information inherent in each channel is fed into graph neural networks (GNNs) [7] as part of the feature set. This approach can be viewed as a structural characterization of brainwaves. For example, Jia, M. [8], by treating EEG signals as graph structures, using the graph convolution layer of a GCN to extract node features, the pooling layer to summarize the abstract node features, and the fully connected layer for classification, achieves efficient information fusion and feature extraction; Tang, S. [9] proposed a method based on self-supervised graph neural networks, which represents the spatiotemporal dependencies in EEG by constructing two EEG graph structures (electrode geometry and dynamic brain connectivity). However, epilepsy data not only have graphical structural features (such as the spatial relationship between electrodes) but also contain time series information (such as the change of epileptic signals over time). A small number of studies have focused on extracting non-Euclidean features related to graphs between channels and Euclidean features related to time of EEG signals. For example, a dynamic functional connectivity neural network for epileptic seizure prediction using multi-channel EEG signals is innovative in that it combines graph convolutional networks (GCNs) and convolutional neural networks (CNNs) to extract non-Euclidean and Euclidean features and enhances model performance by introducing intra-group loss and inter-group loss. Our study proposes a method that combines a graph convolutional network (GCN) with a long short-term memory (LSTM) network. The spatial features include the interdependencies between the electrical signals recorded in the epileptic seizure area learned by a GCN, and the temporal features include the correlation between the EEG signals before and after the epileptic seizure learned by LSTM. In this method, we perform computational fusion on the extracted time-frequency domain features and find relatively important features for predicting epileptic seizures by analyzing the feature importance.
The main contributions of this paper are as follows:
- (1)
- The GCN-LSTM model proposed in this paper consists of multiple layers of graph convolutional networks (GCNs) and long short-term memory (LSTM) units, enabling it to learn features at different levels. At the electrode level of the signal acquisition device, the GCN learns spatial features at various hierarchical depths. Along the time axis, the LSTM network learns temporal sequence features, integrating spatial features with temporal ones to identify highly discriminative features for epilepsy detection.
- (2)
- The performance of the epilepsy seizure detection framework GCN-LSTM proposed in this article was verified using the epilepsy dataset of Boston Children’s Hospital. Compared with several existing models, the framework presented in this paper yields superior results, demonstrating the robust detection capability of the proposed network in the realm of epilepsy EEG recognition.
- (3)
- By analyzing the feature importance, we found the features that have a greater impact on epileptic seizure prediction.
2. Related Work
With the continuous development of AI technology and research exploring AI applications [10,11], deep learning has achieved great success in areas such as imaging, videos, speech, and text. Deep learning combines the two steps of feature extraction and classification in traditional machine learning. Usually, the more training data, the better learning performance can be obtained, and it is also gradually applied to EEG spike detection. As the first deep learning model applied to EEG epileptic seizure prediction, the convolutional neural network (CNN) [12,13] is groundbreaking for subsequent research work. In the study of EEG signals, the main work can be divided into three parts: data preprocessing, feature extraction, and feature classification [14]. In the data preprocessing part, the main work focuses on data filtering and normalization. The main function of filtering is to eliminate noise mainly coming from power line signals and the surrounding environment. In addition, the most critical technology is feature extraction and feature classification. Currently, there have been some studies on EEG feature extraction and classification. After the EEG signal is normalized, feature extraction can be performed from multiple angles of the EEG signal, including the time domain, frequency domain, and graph. After feature extraction, the feature data can be input into the classification model. Different models have different performance in processing features. Among them, recurrent neural networks have higher processing capabilities for time series information, and convolutional neural networks have higher processing capabilities for Euclidean space data. Graph neural networks are good at processing non-Euclidean spatial data structures.
Golmohammadi M et al. [15,16] employed Linear Frequency Cepstral Coefficients (LFCCs) in various experiments, utilizing a linear frequency scale that represents an improvement over the classical Mel Frequency Cepstral Coefficients (MFCCs). MFCCs, commonly used for extracting frequency content of audio signals, have undergone adjustments in some studies and have been applied in the context of EEG seizure detection. Researchers [17,18] employed EEG signals to compute spectrograms via short-time Fourier transform (STFT) or power spectral density (PSD) for seizure identification tasks. Gasparini [19] and Singh [20], among others, utilized Continuous Wavelet Transform (CWT) or Discrete Wavelet Transform (DWT) to extract frequency-domain features of EEG signals, characterizing them in terms of power, energy, etc. With respect to individual and age-related variations in EEG data, certain studies [21] normalized the raw EEG signals to the interval [0, 1], whereas others [22] adopted Z-score normalization to set the mean of the data to zero and the variance to one, enhancing the robustness of models employed in subsequent seizure detection tasks. In the research work of Abbasi et al. [23], Hurst exponential and Autoregressive Moving Average (ARMA) features were extracted from EEG signals and configured for the LSTM architecture with a single-layer memory cell and a double-layer memory cell. After normalizing the features, the dual-layer LSTM approach provided the highest accuracy and proved to be computationally efficient on GPUs. In Experiment [24], an effective framework based on deep spatiotemporal neural networks, known as ConvLSTM, was developed for detecting seizures from EEG signals. The proposed model commenced by selecting standard 19-channel EEG data, resampling them at 256 Hz, and subsequently dividing these signals into three time frames. Subsequently, the segmented data were fed as input to the ConvLSTM model to distinguish epileptic patients from normal subjects. Sabarivani et al. [25] employed DWT analysis with a DB4 mother wavelet to decompose raw EEG signal data. Following feature extraction and selection, 12 eigenvalues were chosen as inputs to an SVM model for classifying healthy controls, seizure-free, and seizure-active subjects. Liu et al. [26] initially transformed EEG signals into three distinct forms: scalograms, spectrograms, and time-domain images. Classification of these images using a pre-trained GoogleNet network achieved an accuracy of 85%. Subsequently, time-domain images were combined separately with spectrogram and scalogram EEG signals, and detection was performed using a CNN.
3. Proposed Method
3.1. System Model
This paper presents a GCN-LSTM framework for EEG-based epilepsy seizure detection. The proposed GCN-LSTM model comprises four modules: a graph construction module, a graph convolution module, an LSTM-based temporal information processing module, and a classification module. The specific model architecture is shown in Figure 1.
Figure 1.
GCN-LSTM consists of four modules: a graph building block, a graph convolution block, LSTM module and Prediction block. The output of this model is a predictive label with probability.
Firstly, it is necessary to process raw data into a graph data structure acceptable to graph neural networks, which involves constructing a graph with three key components: nodes, features, and edges. The nodes represent the channels in the collected data, and the edges represent the adjacency relationship between the channels. In practical operations, time-frequency features are extracted from the raw data, and the graph’s connectivity is defined based on the Pearson matrix. When the value exceeds 0.8, it is typically assumed that these two variables exhibit high correlation, implying a correlation between features of this channel and the existence of a connection relationship. Consequently, we can define the edge relationship between two channels and obtain the graph’s adjacency matrix and degree matrix through channels. Early research directly multiplied the adjacency matrix A with the feature matrix H: , where l represents the l layer and W represents the weight parameter, without considering the self-influence of nodes. Simultaneously, the adjacency matrix A remains unnormalized, leading to nodes with more neighboring nodes exerting greater influence on other nodes. Subsequent studies have addressed this issue. Based on the adjacency matrix and degree matrix, it is straightforward to derive the graph’s Laplacian matrix. The calculation formula is , where L denotes the Laplacian matrix, D represents the degree matrix, and A stands for the adjacency matrix.
However, the issue of excessive influence due to each node possessing numerous adjacent points persists. To address this, the Laplacian matrix is optimized as follows: . Here, , where I represents the identity matrix, and the graph convolution process becomes . Following the symmetric normalization of the Laplacian matrix, the graph convolutional kernel can be derived through the process of feature decomposition as demonstrated in Section 3.3: , where is the Chebyshev polynomial of order k, is the corresponding coefficient (the parameter iteratively updated in training), and is the diagonal matrix of the eigenvalues of re-scaled, and the reason for this shift transformation is that the input of the Chebyshev polynomial is between [−1,1]. with the convolutional kernel matrix containing the weight information of each node’s neighboring nodes. After undergoing two graph convolutions and a dimension increase, the result of the convolution is processed using MaxPool2d maximum pooling. MaxPool2d maximum pooling represents the maximum pooling layer designed for two-dimensional input feature maps. Compared with the fixed pooling operation, the adaptive pooling operation, AdaptiveAvgPool2d, average pooling can dynamically adjust the size of the feature map to adapt to input feature maps of different sizes and different network structures. For the second convolution, AdaptiveAvgPool2d average pooling is applied following the activation of the function using Relu. Subsequently, this is fed into an LSTM network for feature extraction, with the probability value predicted by the Softmax output being utilized.
3.2. Dataset and Preprocessing
3.2.1. Dataset Description
The database was collected from Boston Children’s Hospital and included EEG recordings of pediatric patients with intractable epileptic seizures. Recipients were monitored for up to several days after antiepileptic drug discontinuation to characterize their seizures and evaluate their eligibility for surgical intervention.
Records of 23 cases are collected from 22 recipients (5 males, 3 to 22 years old; 17 females, 1.5 to 19 years old). Case chb21 is obtained from the same female receiver 1.5 years after case chb01. Each case (chb01, chb02, etc.) contains 9 to 42 consecutive edf files from a single subject. In most cases, the edf files contain only one hour of digitized EEG signals. However, the files of chb10 are two hours, and the files of chb04, chb06, chb07, chb09, and chb23 are four hours. Occasionally, files with seizures are shorter.
All signals are sampled at a rate of 256 samples per second with 16-bit resolution. Most files contain 23 EEG signals (24 or 26 in some cases). These recordings use the International 10–20 EEG electrode position and nomenclature system. The EEG data of chb01 is shown in Figure 2.
Figure 2.
Visualization of Boston Children’s Hospital dataset (Part chb01).
3.2.2. Dataset Preprocessing
We used the preprocessed CHB-MIT dataset [27]. The preprocessing process of this dataset includes the following four steps: (1) identify epileptic seizures from a single patient; (2) extract average seizure data and pre-seizure data from the edf file; (3) merge all data of 24 patients into one dataset; and (4) EEG contains 96 channels of data, of which 23 channels are required, namely FP1-F7, F7-T7, T7-P7, P7-O1, FP1-F3, F3-C3, C3-P3, P3-O1, FP2-F4, F4-C4, C4-P4, P4-O2, FP2-F8, F8-T8, T8-P8, P8-O2, FZ-CZ, CZ-PZ, P7-T7, T7-FT9, FT9-FT10, FT10-T8, and T8-P8. Only the important 23 channels are retained, excluding signals such as EGC.
3.2.3. Feature Extraction
In our model, our fragment sampling adopts the method of [12,17], that is, 50% overlapping sampling of the data is performed to obtain the sampled data , where f is the sampling frequency, and then this fragment is used for feature extraction. In terms of the five extracted time-domain features, the average describes the amplitude of the EEG data, and the average formula is as follows: . To avoid inaccuracies of the average value due to the occurrence of its waveform integral area of 0, the rectified average value is used as follows: . To describe the stability of the data, the standard deviation feature is used as , and the peak-to-peak value describes the difference between peak and valley: .
The cross frequency is used to show the frequency of the EEG data and the time-domain features are . As for frequency domain features, based on time-domain frequency energy conservation, . By simplification, the power spectrum is obtained as . Since our sampling is not continuous, the discrete Fourier transform is adopted. The power spectral density is then given as . When k is taken in the interval [0, 127], the power spectral density feature of the 128 samples is obtained. Combined with the frequency bands present in epileptic EEG, such as wave (0.5–4 Hz), wave (4–7 Hz), wave (7–15 Hz), wave (15–31 Hz), and wave (>31 Hz), the average power spectral density of these five bands is . Fourier transform can only solve the frequency of EEG signal but not the time period of corresponding frequency. Short-time Fourier transform can solve this problem. However, since its principle is based on adding a window mechanism to divide the EEG data on the basis of Fourier transform, the problem of window length selection also arises. If the window length is too short, the frequency resolution will be reduced due to too few data points. If it is too long, the time resolution will be reduced, and it will degenerate into a Fourier transform. Fortunately, the wavelet transform can solve this problem well. Similar to Fourier transform, in the transformation process, the wavelet function multiplies the signal function, and then the product is integrated as . Here, the mother wavelet function is given by , in which controls the phase of the wavelet function; s controls the frequency of the wavelet function; and controls the energy conservation before and after the transformation. When s is taken in the interval [2, 128], the energy of the 127 sampled data is obtained as a feature , and the average energy of the five bands is calculated to obtain . Combined with the time domain feature, the time frequency domain feature is obtained as follows: . The input structure of the graph convolutional neural network is , in which R represents dimension space; C is the number of channels; T is the time period, and F is the number of features.
3.2.4. Graph Construction
In frequency-domain convolution of a graph, spatial topological information needs to be built into the graph data based on the collection locations of electrodes in different parts of the brain, so three parts of the graph need to be constructed: nodes, features, and edges. For EEG signals, the nodes of the graph are the channel dimensions of the EEG signal; the features are the data collected by the electrodes and the edges indicate the connection status between the nodes of the graph. Since the EEG collection points are similar to a sphere in the brain, and the distance between each collection point and its adjacent nodes is not the same, the weights of its adjacent nodes are different. The correlation features between nodes cannot be well extracted using simple convolution, so the Pearson correlation coefficient (PCC) matrix is used to describe the connection relationship between channels. Treat each channel as a set of vectors, calculate the PCC between the two vectors, and generate a correlation coefficient matrix. Based on PCC, a weighted adjacency matrix is established, and its calculation formula is as follows:
where abs () represents the absolute value function and cov() is the covariance, i.e., .
In order to investigate the localization of seizure onset zone with epilepsy propagation networks based on graph convolutional networks, the experiment [28] processed the combination of high-frequency oscillation propagation networks and seizure propagation network through unsupervised and semi-supervised graph convolutional networks. The confidence coefficient of each electrode being located in the seizure onset zone was obtained, and electrodes closely related to the pathogenic epileptogenic network were located. In this article, EEG data are used to verify the correlation between the channels in the seizure area using a PCC matrix. It is evident from Figure 3 that FP1-F7, FP1-F3, FP2-F4, and FP2-F8 showed relatively distinct correlations at the same time, with an average value of 0.85 in the correlation matrix, while the rest were only 0.26. According to the relationship between Pearson values and correlation, when is greater than 0.8, it can be considered that two variables are highly correlated; when , it can be considered that two variables are moderately correlated; when , it can be considered that two variables are weakly correlated; when is less than 0.3, it can be considered that two variables are essentially uncorrelated. In this case, refers to . As can be seen from the electrode collection positions in Figure 3, the four channels are adjacent in physical space.
Figure 3.
Schematic diagram of peripheral electrode of epilepsy signal. (a) Raw EEG signal; (b) Correlation matrix.
At 10 s, abnormal brain electrical fluctuations appeared near these four channels, as shown in Figure 4. Therefore, extracting the topology of the location will help us extract the characteristics of the information.
Figure 4.
International 10–20 EEG position naming system.
The graph construction framework is based on time-frequency feature extraction. As shown in part 1 and part 2 of Figure 5. Part 1 is to convert the feature vector into the nodes of the graph; part 2 is to calculate the Pearson correlation matrix between each node and then obtain the adjacency matrix of the graph based on the nodes. Finally, the graph G = (V,E,X) is obtained. Among them, the feature extraction part is to preprocess the multi-channel EEG signal and then extract the features of the segmented raw data.
Figure 5.
Graph-building module framework.
In this experiment, features are extracted from both the time domain and the frequency domain. In the time domain, the data collected over a period of time are analyzed. The features extracted will include mean value, rectified mean value, standard deviation, peak-to-peak value, and cross frequency. In the frequency domain, feature extraction is performed from two aspects: power spectral density (PSD) and wavelet transform (CWT). Finally, the time-domain features and frequency-domain features are integrated into the input layer of the graph convolutional neural network.
3.3. Deep Learning Framework
3.3.1. Graph Convolution Module
Spatial convolution and frequency-domain convolution are the two main forms of graph convolutional neural networks. Similar to convolutional neural networks, spatial convolution is a convolution operation directly defined in space. However, the way to find nodes changes from adjacent relationships in Euclidean space to adjacency matrices in non-Euclidean space, which does not require graph theory. As shown in Figure 6a, there exists a graph structure containing 6 nodes , and the convolution operation of non-European structures can be completed by using the spatial domain convolution on the graph as shown in the first part of Figure 6. This simple graph convolutional network consists of an input layer and two graph convolutional layers. The second part of Figure 6 marks the feature propagation path when node A is the target node of the last layer. It can be seen that nodes synthesize information from nodes according to the adjacency matrix of graph structure in the first part of Figure 6a, and similarly, nodes synthesize information from nodes , respectively. In summary, the propagation formula of graph neural networks based on spatial convolution can be summarized as follows:
where h represents the graph convolution layer of the spatial convolution; v represents v nodes; l represents layer l; represents the adjacent nodes of node v; and represents edges of nodes v and u. The propagation of the entire network mainly involves two functions, and , denoting the state transfer function and state confluence function of layer l, respectively.
Figure 6.
Structure of spatial convolutional neural network.
Although graph spatial convolution looks similar to ordinary convolutional neural networks and is more intuitive, it lacks theoretical verification on the one hand and needs to be applied to data structures with known graph structures. As the topological relationship between electrodes of epileptic EEG acquisition devices is artificially defined and not unique, the second convolution method is adopted in this study, namely frequency domain convolution, which uses the Fourier transform of the graph to perform convolution operations. The paper [29] presents the propagation rules for graph convolution networks:
Here, is an undirected graph G with self-connections; I is the identity matrix; is the diagonal matrix of , that is, , is the trainable parameter matrix of the layer l; is the transformation matrix of layer l; and is the activation function. Then, GCN is analyzed by using spectral convolution, and the Laplace operator matrix of graph G is defined as , and after normalization, it becomes , and feature decomposition . U is orthogonal eigenvector matrix, and is diagonal matrix of corresponding features.
For an input signal, the graph Fourier transform is as follows:
The inverse Fourier transform is
The convolution operation on the graph is defined as the product of signal X and filter in the Fourier domain:
The operator ⊙ is the convolution operation of the corresponding position of the matrix; is the diagonal matrix of spectral filter coefficients, that is, the convolution kernel. Directly calculating the above equation requires a large amount of computation and time. Therefore, Defferrard et al. [30] proposed that the diagonal matrix of spectral filter coefficients can be approximated by the Chebyshev polynomial as K:
In the above equation, represents the maximum eigenvalue of L; is the vector of Chebyshev coefficients, and the Chebyshev polynomial is defined as ial is, . The graph convolution process is as follows:
Here, is the normalized Laplacian matrix. The EEG signal is processed into graph data through the graph construction module, and then it is input into graph convolution module for feature extraction.
In this study, each 21s long EEG wave is detected, and under a 50% overlap rate of 2s segmentation, a total of 20 2s long fragments are obtained; that is, , , . Because our model was able to process each time period individually and then summarize it, our graph neural network input can be expressed as follows: , , in which corresponds to the features in each time period. After the initial graph convolution, we perform an average pooling on each two adjacent features obtained to halve the number of input features of the convolutional layer of the next graph. The graph convolutional neural network structure is shown in Figure 7, and the model parameters are shown in Table 1.
Figure 7.
Graph convolutional neural network structure.
Table 1.
Graph convolutional neural network parameters.
3.3.2. LSTM Timing Sequence Processing Module
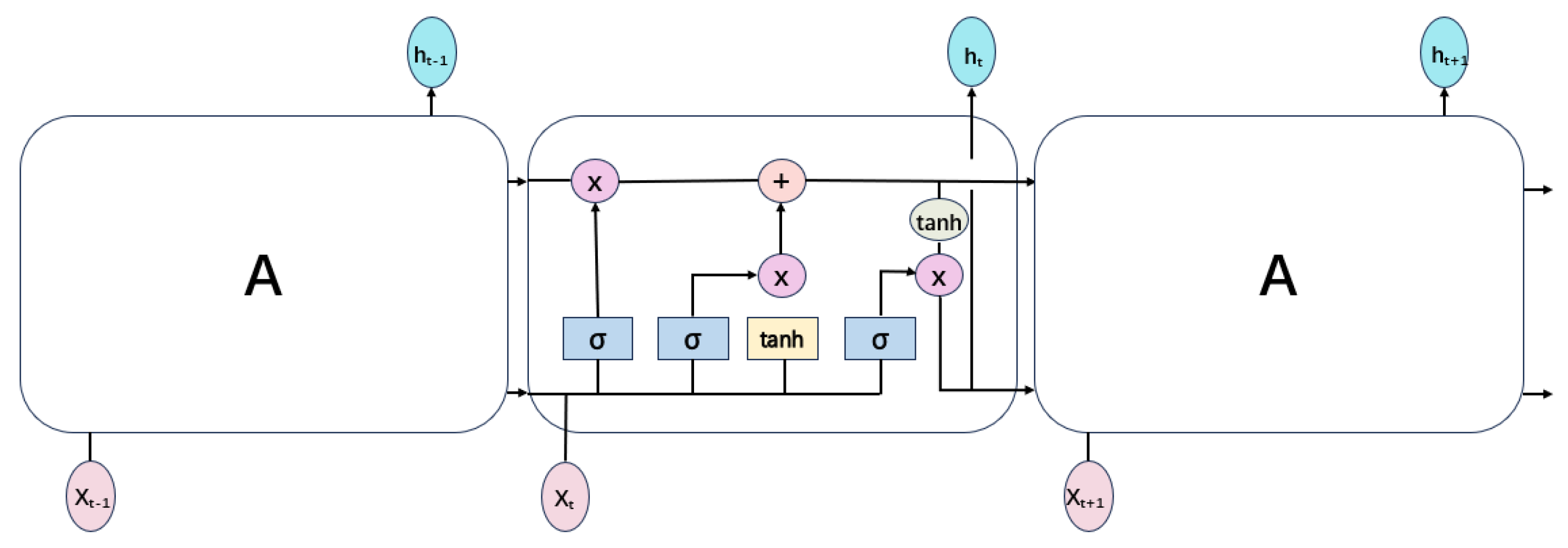
LSTM is a variant of the recurrent neural network (RNN). When the input and output of the training sample are uncertain, that is, when the sample dimensions are not unique, DNNs (deep neural networks) and CNNs often cannot achieve ideal results, and RNNs are a time series-based neural network model used to train data with continuous and varying lengths. Samples such as continuous speech or continuous text based on time series can achieve better results. However, RNNs can only handle short-term dependencies and cannot handle long-term dependencies. For example, when sentences are long, gradients accumulated at the end of the sequence tend to disappear or explode. Therefore, LSTM came into being, which makes many changes to RNN while maintaining the overall recurrent structure. Three gates are added to control the behavior of the recurrent unit, namely the input gate, forget gate, and output gate [31]. The input gate is used to control the receiving input of information; the forgetting gate is used to control the state of the cyclic unit before forgetting; the output gate is used to control the generation of output. Use Sigmoid to normalize the input to the interval [0, 1], where 0 represents completely giving up information and 1 represents completely receiving information. The LSTM structure is shown in Figure 8.
Figure 8.
LSTM recurrent cell structures.
Where is the cell state at time t and is the network input at time t. Specifically, a timestep from LSTM is calculated as follows:
where is the value of forgetting gate; is the value of the input gate; is the cell state candidate; is the cell state; is the value of output gate; is the value of hidden layer state, and W and b are weights and biases. For LSTM, as long as the form of data input is designed, several layers of neural network cells can be directly stacked. In this paper, the features are extracted through a GCN, and then the dimension of output features can be changed by using linear function. The complete structure of LSTM is shown in Table 2. After the input layer, three layers of the long- and short-term memory cell with a feature number of 512 are stacked, and then the feature output at the last moment is extracted. The predictive probability distribution of the model is obtained through a full connection layer and the output layer.
Table 2.
Structure of long- and short-term memory neural networks.
Softmax is expressed as follows:
in which is the output category, that is n. The loss function uses the common L2 regularized cross entropy:
where is the label book; n is the output class; and m is the number of samples. Here, we dichotomize to take n as 2.
4. Experiments and Result Analysis
4.1. Evaluation Index and Algorithm
The experiment was evaluated by a number of indicators, including accuracy, specificity, sensitivity, the receiver operating characteristic curve (ROC curve), and area under the ROC curve (AUC). The training process of GCN-LSTM is shown in Algorithm 1:
| Algorithm 1 The training process of GCN-LSTM |
| Input: A labeled training data set , the maximum number of training epochs T, the initial adjacency Matrix A, regularization coefficient Output: The learned adjacency matrix A, the model parameter for GCN-LSTM and the predicted label y’
|
In this section, the effectiveness and superiority of the proposed model are evaluated on the dataset described in the experiments. Based on the epilepsy EEG dataset from previous studies, a large number of comparative experiments are conducted and the three evaluation indicators of accuracy (ACC), specificity (Spe), and sensitivity (Sen) are used to evaluate the model to verify our theory and the proposed method. The specific calculation method is as follows:
where TP denotes positive samples predicted as positive; TN denotes negative samples predicted as negative; FP denotes negative samples predicted as positive; and FN denotes positive samples predicted as negative.
4.2. Experimental Result and Comparison
In this experiment, we used binary classification and ternary classification methods, divided the dataset into a training set and a test set, and then used five-fold cross validation to divide the training set into k parts, one of which was used for validation each time, and the remaining k − 1 parts were used for training. The results of each fold are shown in Figure 9. The loss function on the test set was less than 0.051 after 175 iterations, as shown in Figure 10. The accuracy rates reached 99.39% and 98.69%, respectively.
Figure 9.
Five-fold cross validation results for each fold.
Figure 10.
The loss of each fold of the test set.
The ROC curve, also known as “Recipient Operating Characteristic Curve” or sensitivity curve, is mainly used to evaluate the accuracy of X in predicting Y. It was initially used in the military field and is now more commonly used in the medical field. The ROC curve reflects the relationship between sensitivity and specificity. The horizontal X-axis represents 1—specificity, also known as false positive rate (FPR). The closer it is to zero, the higher the accuracy is. The vertical Y-axis represents sensitivity, also known as true positive rate (TPR), and the larger it is, the better the accuracy is.
According to the position of the curve, the whole graph is divided into two parts, with the area under the curve (AUC) in the lower part representing the prediction accuracy. The higher the AUC value is, the larger the area under the curve is. The larger the area is, the larger the true positive is and the smaller the false positive is, which indicates a higher prediction accuracy. The closer the curve is to the upper left corner (with smaller X and larger Y), the higher the prediction accuracy is. The ROC of each fold of the five-fold cross validation is shown in Figure 11.
Figure 11.
ROC for each fold.
In addition, we analyze in detail the impact of different hyperparameters (such as learning rate, number of hidden layers, or graph convolution depth) on model performance. As shown in Table 3.
Table 3.
Model performance with different parameters.
In medical applications, especially in epilepsy detection, understanding which factors contribute to prediction is crucial for clinicians to trust and adopt the model. Therefore, we use heatmaps to visualize feature importance, as shown in Figure 12.
Figure 12.
Visualization of feature importance.
We analyze the features in order. Lines 1–128 are , lines 129–255 are , lines 256, 257, 258, 259, and 260 are the time features (, , , , ), lines 261–265 are , and the last five lines represent .
The results show that power spectral density features, corrected mean, and standard deviation have a significant impact on epilepsy prediction. These findings provide an important reference for further optimizing epilepsy prediction models.
On the CHB dataset, we compared the performance of various models in epilepsy binary classification, where the binary classification refers to the division of epileptic EEG into seizures and preictal periods, and the ternary classification refers to interictal, preictal, and ictal periods. In addition, we used the accuracy (Acc), specificity (Spe), and sensitivity (Sen) commonly used in machine learning as three indicators to evaluate model performance. The comparison with some models is shown in Table 4:
Table 4.
Comparison of experimental performance of different frames on CHB-MIT dataset [32] (The numbers in parentheses represent the number of categories).
As can be seen from Table 4, the accuracy of our model is significantly improved compared with other studies in the same field. The algorithm is compared with various algorithms on the CHB-MIT dataset and achieves an average accuracy of 99.39% and 98.69% in binary and ternary classification of CHB-MIT, respectively. In addition, high accuracy is achieved in most channels, which shows that our model has a high classification ability.
The experiments we conducted showed that the actual running time of the model is 145 min, and the number of parameters is 3.776 M.
5. Conclusions
The method effectively extracts the spatial topological relationship of EEG electrodes by applying a GCN and trains the long-term temporal features of EEG data by subsequently applying LSTM. By segmenting the experimental data and training the model accordingly, our model achieved an average accuracy of 99.39% and 98.69% in binary and ternary classification, respectively, which is highly accurate in existing studies. This shows that our proposed GCN-LSTM model has a good effect on epileptic seizure prediction. Therefore, classifying or predicting the seizure or onset region of this type of disease through deep learning technology will promote the development of AI in the direction of personalized medicine [37], which also provides a direction for our future scientific research in this field.
Although our model achieved very high scores in terms of AUC, we must note that the model was trained on limited samples. Specifically, the main reason for the small sample size is that we want to capture the characteristics of longer time segments in our study, so the length of each sample is 20s. In order to ensure that each sample can contain enough information, we chose a longer time segment, which resulted in a relatively small number of usable samples. Since no independent patient data were set aside as a test set, but all data were mixed, this may have affected the objectivity and generalization ability of the model evaluation to some extent. Although the current AUC results are encouraging, we still need to be cautious and increase the sample size in future studies and use independent patient data for testing to more accurately evaluate the performance and stability of the model.
In addition, since the CHB-MIT dataset used in the proposed method focuses on pediatric patients, it is necessary to conduct extensive testing on EEG data from different sources, populations, or age groups. At the same time, under the premise of maintaining ethical standards, to fully realize the potential of machine learning in healthcare, it is necessary to follow ethical frameworks, continuous monitoring, multidisciplinary governance, education, and regulatory compliance [38]. With this premise, our experimental results and comparison with previous studies show that the proposed method is effective and reliable.
Author Contributions
Conceptualization, Z.K.; methodology, S.L.; software, S.L.; validation, J.Z.; formal analysis, Y.L.; investigation, L.W.; resources, J.Z.; data curation, Z.K.; writing—original draft preparation, S.L.; writing—review and editing, Z.K.; visualization, Y.L.; supervision, Z.K.; project administration, L.W.; funding acquisition, Z.K. All authors have read and agreed to the published version of the manuscript.
Funding
This research was funded by Natural Science Foundation of Jilin Province (20230401092YY), Science and Technology Research Project of Jilin Provincial Department of Education (JJKH20230680KJ) and Jilin Provincial Department of Science and Technology (YDZJ202303CGZH010).
Institutional Review Board Statement
Not applicable.
Informed Consent Statement
Not applicable, a publicly available database was used.
Data Availability Statement
The data used in this study are available in open access on Physionet. The download link is https://physionet.org/content/chbmit/1.0.0/ (accessed on 1 January 2023).
Conflicts of Interest
The authors declare no conflicts of interest.
References
- Santhanam, G.; Ryu, S.I.; Yu, B.M.; Afshar, A.; Shenoy, K.V. A high-performance brain–computer interface. Nature 2006, 442, 195–198. [Google Scholar] [CrossRef] [PubMed]
- Niedermeyer, E.; da Silva, F.L. Electroencephalography: Basic principles, clinical applications, and related fields. Neurology 2006, 67, 2092. [Google Scholar]
- Guerrini, R. Epilepsy in children. Lancet 2006, 367, 499–524. [Google Scholar] [CrossRef] [PubMed]
- Elman, J.L. Finding Structure in Time. Cogn. Sci. 1990, 14, 179–211. [Google Scholar] [CrossRef]
- Bassett, D.S.; Sporns, O. Network neuroscience. Nat. Neurosci. 2017, 20, 353–364. [Google Scholar] [CrossRef]
- Lv, J.; Nguyen, V.T.; van der Meer, J.; Breakspear, M.; Guo, C.C. N-way decomposition: Towards linking concurrent eeg and fmri analysis during natural stimulus. In Proceedings of the 20th International ConferenceMedical Image Computing and Computer Assisted Intervention (MICCAI 2017), Quebec City, QC, Canada, 11–13 September 2017; pp. 382–389. [Google Scholar]
- Scarselli, F.; Gori, M.; Tsoi, A.C.; Hagenbuchner, M.; Monfardini, G. The Graph Neural Network Model. IEEE Trans. Neural Netw. 2009, 20, 61–80. [Google Scholar] [CrossRef]
- Jia, M.; Liu, W.; Duan, J.; Chen, L.; Chen, C.L.P.; Wang, Q.; Zhou, Z. Efficient graph convolutional networks for seizure prediction using scalp EEG. Front. Neurosci. 2022, 16, 967116. [Google Scholar] [CrossRef]
- Tang, S.; Dunnmon, J.; Saab, K.; Zhang, X.; Huang, Q.; Dubost, F.; Rubin, D.L.; Lee-Messer, C. Self-Supervised Graph Neural Networks for Improved Electroencephalographic Seizure Analysis. arXiv 2021, arXiv:2104.08336. [Google Scholar]
- Ge, J.; Xu, G.; Zhang, Y.; Lu, J.; Chen, H.; Meng, X. Joint Optimization of Computation, Communication and Caching in D2D-Assisted Caching-Enhanced MEC System. Electronics 2023, 12, 3249. [Google Scholar] [CrossRef]
- Ge, J.; Xu, G.; Lu, J.; Xu, C.; Sheng, Q.Z.; Zheng, X. FedAGA: A federated learning framework for enhanced inter-client relationship learning. Knowl.-Based Syst. 2024, 286, 111399. [Google Scholar] [CrossRef]
- Acharya, U.R.; Oh, S.L.; Hagiwara, Y.; Tan, J.H.; Adeli, H. Deep convolutional neural network for the automated detection and diagnosis of seizure using EEG signals. Comput. Biol. Med. 2018, 100, 270–278. [Google Scholar] [CrossRef] [PubMed]
- Golmohammadi, M.; Ziyabari, S.; Shah, V.; de Diego, S.L.; Obeid, I.; Picone, J. Deep architectures for automated seizure detection in scalp EEGs. arXiv 2017, arXiv:1712.09776. [Google Scholar]
- Chaddad, A.; Wu, Y.; Kateb, R.; Bouridane, A. Electroencephalography Signal Processing: A Comprehensive Review and Analysis of Methods and Techniques. Sensors 2023, 23, 6434. [Google Scholar] [CrossRef] [PubMed]
- Golmohammadi, M.; Ziyabari, S.; Shah, V.; Von Weltin, E.; Campbell, C.; Obeid, I.; Picone, J. Gated recurrent networks for seizure detection. In Proceedings of the IEEE Signal Processing in Medicine and Biology Symposium (SPMB), Philadelphia, PA, USA, 2–3 December 2017; pp. 1–5. [Google Scholar]
- Golmohammadi, M.; Harati Nejad Torbati, A.H.; Lopez de Diego, S.; Obeid, I.; Picone, J. Automatic analysis of EEGs using big data and hybrid deep learning architectures. Front. Hum. Neurosci. 2019, 13, 76. [Google Scholar] [CrossRef]
- Hu, W.; Cao, J.; Lai, X.; Liu, J. Mean amplitude spectrum based epileptic state classification for seizure prediction using convolutional neural networks. J. Ambient. Intell. Humaniz. Comput. 2023, 14, 15485–15495. [Google Scholar] [CrossRef]
- Yuan, Y.; Xun, G.; Ma, F.; Suo, Q.; Xue, H.; Jia, K.; Zhang, A. A novel channel-aware attention framework for multi-channel eeg seizure detection via multi-view deep learning. In Proceedings of the IEEE EMBS International Conference on Biomedical & Health Informatics (BHI), Las Vegas, NV, USA, 4–7 March 2018; pp. 206–209. [Google Scholar]
- Gasparini, S.; Campolo, M.; Ieracitano, C.; Mammone, N.; Ferlazzo, E.; Sueri, C.; Tripodi, G.G.; Aguglia, U.; Morabito, F.C. Information theoretic-based interpretation of a deep neural network approach in diagnosing psychogenic non-epileptic seizures. Entropy 2018, 20, 43. [Google Scholar] [CrossRef]
- Singh, N.; Dehuri, S. Usage of deep learning in epileptic seizure detection through EEG signal. In Proceeding of the Nanoelectronics, Circuits and Communication Systems (NCCS), Ranchi, India, 27–29 November 2019; pp. 219–228. [Google Scholar]
- Wen, T.; Zhang, Z. Deep convolution neural network and autoencoders-based unsupervised feature learning of EEG signals. IEEE Access 2018, 6, 25399–25410. [Google Scholar] [CrossRef]
- Avcu, M.T.; Zhang, Z.; Chan, D.W.S. Seizure detection using least EEG channels by deep convolutional neural network. In Proceedings of the IEEE International Conference on Acoustics, Speech and Signal Processing (ICASSP), Brighton, UK, 12–17 May 2019; pp. 1120–1124. [Google Scholar]
- Abbasi, M.U.; Rashad, A.; Basalamah, A.; Tariq, M. Detection of epilepsy seizures in neo-natal EEG using LSTM architecture. IEEE Access 2019, 7, 179074–179085. [Google Scholar] [CrossRef]
- Tawhid, M.N.A.; Siuly, S.; Li, T. A convolutional long short-term memory-based neural network for epilepsy detection from EEG. IEEE Trans. Instrum. Meas. 2022, 71, 1–11. [Google Scholar] [CrossRef]
- Shen, M.; Wen, P.; Song, B.; Li, Y. An EEG based real-time epilepsy seizure detection approach using discrete wavelet transform and machine learning methods. Biomed. Signal Process. Control 2022, 77, 103820. [Google Scholar] [CrossRef]
- Sabarivani, A.; Ramadevi, R. Retracted: Detection and classification of epilepsy using hybrid convolutional neural network. Concurr. Eng. 2022, 30, 253–261. [Google Scholar] [CrossRef]
- Deepa, B.; Ramesh, K. Preprocessed CHB-MIT Scalp EEG Database. 2021. Available online: https://ieee-dataport.org/open-access/preprocessed-chb-mit-scalp-eeg-database (accessed on 1 January 2023). [CrossRef]
- Liu, X.; Hu, L.; Wang, S.; Shen, J. Localization of seizure onset zone with epilepsy propagation networks based on graph convolutional network. Biomed. Signal Process. Control 2022, 74, 103489. [Google Scholar] [CrossRef]
- Kipf, T.N.; Welling, M. Semi-supervised classification with graph convolutional networks. arXiv 2016, arXiv:1609.02907. [Google Scholar]
- Defferrard, M.; Bresson, X.; Vandergheynst, P. Convolutional neural networks on graphs with fast localized spectral filtering. In Proceedings of the Advances in Neural Information Processing Systems, Barcelona, Spain, 5–10 December 2016; Volume 29. [Google Scholar]
- Che, C.; Wang, H.; Fu, Q.; Ni, X. Combining Multiple Deep Learning Algorithms for Prognostic and Health Management of Aircraft. Aerosp. Sci. Technol. 2019, 94, 105423. [Google Scholar] [CrossRef]
- Shoeb, A.H. Application of Machine Learning to Epileptic Seizure Onset Detection and Treatment. Ph.D. Thesis, Massachusetts Institute of Technology, Cambridge, MA, USA, 2009. [Google Scholar]
- Yao, X.; Li, X.; Ye, Q.; Huang, Y.; Cheng, Q.; Zhang, G.Q. A robust deep learning approach for automatic classification of seizures against non-seizures. Biomed. Signal Process. Control 2021, 64, 102215. [Google Scholar] [CrossRef]
- Craley, J.; Johnson, E.; Venkataraman, A. Integrating Convolutional Neural Networks And Probabilistic Graphical Modeling For Epileptic Seizure Detection In Multichannel Eeg. In Proceedings of the 26th International Conference Information Processing in Medical Imaging, Hong Kong, China, 2–7 June 2019; Volume 11492, pp. 291–303. [Google Scholar]
- Cao, J.; Zhu, J.; Hu, W.; Kummert, A. Epileptic signal classification with deep EEG features by stacked CNNs. IEEE Trans. Cogn. Dev. Syst. 2019, 12, 709–722. [Google Scholar] [CrossRef]
- Chen, X.; Zheng, Y.; Niu, Y.; Li, C. Epilepsy Classification for Mining Deeper Relationships Between EEG Channels Based on GCN. In Proceedings of the International Conference on Computer Vision, Image and Deep Learning (CVIDL), Nanchang, China, 15–17 May 2020; pp. 701–706. [Google Scholar]
- Serrano, D.R.; Luciano, F.C.; Anaya, B.J.; Ongoren, B.; Kara, A.; Molina, G.; Ramirez, B.I.; Sánchez-Guirales, S.A.; Simon, J.A.; Tomietto, G.; et al. Artificial Intelligence (AI) Applications in Drug Discovery and Drug Delivery: Revolutionizing Personalized Medicine. Pharmaceutics 2024, 16, 1328. [Google Scholar] [CrossRef]
- Sharma, A.K.; Sharma, R. Navigating the Ethical Landscape: Implementing Machine Learning in Smart Healthcare Informatics. Indian J. Community Health 2024, 36, 149–152. [Google Scholar] [CrossRef]
Disclaimer/Publisher’s Note: The statements, opinions and data contained in all publications are solely those of the individual author(s) and contributor(s) and not of MDPI and/or the editor(s). MDPI and/or the editor(s) disclaim responsibility for any injury to people or property resulting from any ideas, methods, instructions or products referred to in the content. |
© 2024 by the authors. Licensee MDPI, Basel, Switzerland. This article is an open access article distributed under the terms and conditions of the Creative Commons Attribution (CC BY) license (https://creativecommons.org/licenses/by/4.0/).











