Research on the Mechanism of Flow-Induced Vibration in the Cooling System of a Double Crystal Monochromator
Abstract
1. Introduction
2. Numerical Calculation Model
2.1. Geometric Model and Mesh Model
2.2. One-Way Fluid–Solid Coupling Numerical Simulation Method
2.3. The Boundary Condition Setting of the Calculation
2.3.1. Boundary Conditions of Flow Pulsation
2.3.2. Boundary Conditions for Liquid Nitrogen Boiling Simulation
3. Results and Discussion
3.1. Modal Analysis and Angular Calculation
3.2. Effect of Liquid Nitrogen Pulsation on DCM Stability
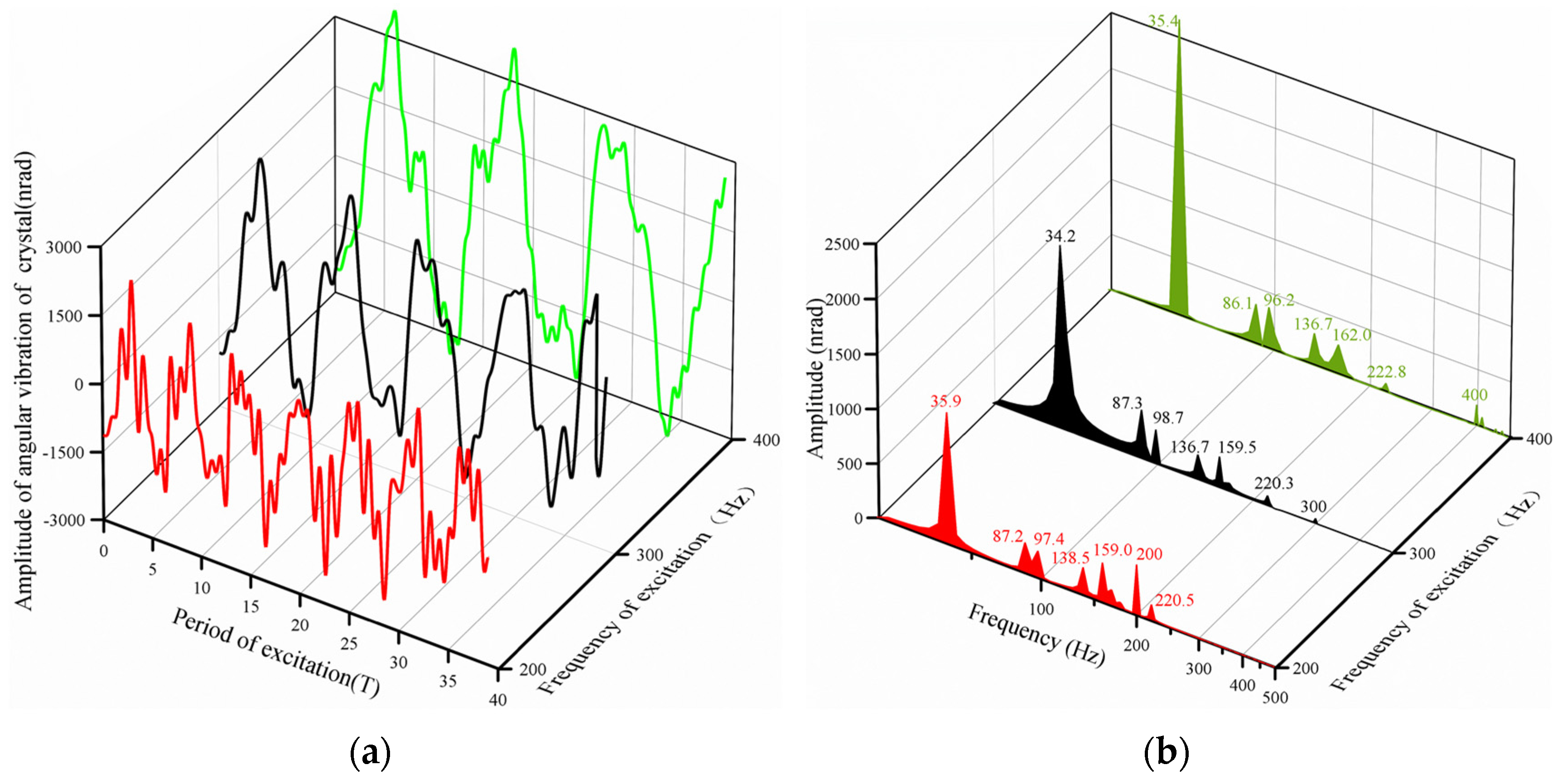
3.2.1. Frequency Impact
3.2.2. Amplitude Influence
3.3. Impact of Liquid Nitrogen Boiling on the Stability of the DCM
3.3.1. Temperature Field Analysis
3.3.2. Gas–Liquid Two-Phase Flow Simulation
3.3.3. Crystal Vibration Response
4. Conclusions
- The fundamental cause of the DCM vibrations induced by pulsating excitation is attributed to pipe resistance. In the design of the cooling system structure, measures can be taken to reduce pipeline resistance or flow velocity, such as choosing smooth pipes, increasing pipe diameter, reducing pipe length, and increasing the curvature of bends.
- There is a linear relationship between the amplitude of velocity pulsation and the amplitude of DCM vibration. It is necessary to design a flow pulsation attenuator to weaken the amplitude of velocity pulsation fundamentally.
- Elevating the modal frequency of the pipeline and ensuring that the excitation frequency is between the low first and second modal frequencies can reduce the amplification factors of low-order modal responses. When the frequency of the velocity pulsation is high, the pressure pulsation caused by the rapid conversion of energy has a significant impact.
- When liquid nitrogen boils under high thermal load conditions, the generated two-phase gas–liquid flow will significantly affect the system’s vibration. Adopting a high-pressure cooling system and utilizing large-radius bends in the piping is recommended to mitigate the adverse effects caused by slug flow.
Author Contributions
Funding
Institutional Review Board Statement
Informed Consent Statement
Data Availability Statement
Acknowledgments
Conflicts of Interest
References
- Sergueev, I.; Döhrmann, R.; Horbach, J.; Heuer, J. Angular Vibrations of cryogenically cooled double-crystal monochromators. J. Synchrotron Radiat. 2016, 23, 1097–1103. [Google Scholar] [CrossRef] [PubMed]
- Yamazaki, H.; Shimizu, Y.; Kimura, H.; Watanabe, S.; Ono, H.; Ishikawa, T. Present status of pin-post water-cooled silicon crystals for monochromators of spring-8 X-ray undulator beamlines. AIP Conf. Proc. 2007, 879, 946–949. [Google Scholar] [CrossRef]
- Yamazaki, H.; Shimizu, Y.; Shimizu, N.; Kawamoto, M.; Kawano, Y.; Senba, Y.; Ohashi, H.; Goto, S. Present status of stability improvement of SPring-8 standard x-ray monochromators. In Proceedings of the SPIE 7077, Advances in X-ray/EUV Optics and Components III, San Diego, CA, USA, 3 September 2008; p. 707719. [Google Scholar] [CrossRef]
- Kristiansen, P.; Johansson, U.; Ursby, T.; Jensen, B. Vibrational stability of a cryocooled horizontal double-crystal monochromator. J. Synchrotron Radiat. 2016, 23, 1076–1081. [Google Scholar] [CrossRef] [PubMed]
- Fan, Y.; Li, Z.; Xu, Z.; Zhang, Q.; Liu, Y.; Wang, J. High-Precision In-Situ Detection Technology for Monochromator Crystal Angle Micro-Vibration. Chin. Opt. 2020, 13, 156–164. (In Chinese) [Google Scholar] [CrossRef]
- Qin, H.; Fan, Y.; Zhang, L.; Jin, L.; He, Y.; Zhu, W. Design and stability performance of a cradle type cryo-cooled monochromator at Shanghai Synchrotron Radiation Facility. Nucl. Instrum. Methods Phys. Res. Sect. A Accel. Spectrometers Detect. Assoc. Equip. 2022, 1027, 166350. [Google Scholar] [CrossRef]
- Granda, M.; Trojan, M.; Taler, D. CFD analysis of steam superheater operation in steady and transient state. Energy 2020, 199, 117423. [Google Scholar] [CrossRef]
- Zhang, M.; Jing, S.; Li, G. Engineering Fluid Mechanics; Xian Jiaotong University Press: Xi’an, China, 2006. (In Chinese) [Google Scholar]
- Chen, W.; Mao, Z.; Tian, W. Water cooling structure design and temperature field analysis of permanent magnet synchronous motor for underwater unmanned vehicle. Appl. Therm. Eng. 2024, 240, 122243. [Google Scholar] [CrossRef]
- Lee, W.H. Pressure Iteration Scheme for Two-Phase Flow Modeling. In Multiphase Transport: Fundamentals, Reactor Safety, Applications; World Scientific Publishing Co.: Singapore, 1980; Volume 1, pp. 407–431. [Google Scholar] [CrossRef]
- Miao, H.; Chen, Y.; Lv, L.; Wang, X.; Xu, G.; Wang, N. Analysis of Flow-Induced Vibration in Heat Exchanger Tubes Based on Bidirectional Fluid-solid coupling. Nucl. Technol. 2018, 41, 80–86. (In Chinese) [Google Scholar]
- Lu, R.; Yuan, J.; Zhu, Y. Numerical Simulation and Experimental Study of Unstable Flow Inside a Waste Heat Discharge Pump. Vib. Impact 2016, 35, 33–38. (In Chinese) [Google Scholar]
- Wang, Y.; Dai, C. Steady-State Full Three-Dimensional Numerical Simulation of Low Specific Speed Centrifugal Pump in Multiphase Flow. J. Agric. Mach. 2009, 40, 89–93. (In Chinese) [Google Scholar]
- Zhong, W.; Tang, Y.; Bu, S. Modeling of Pulsation Characteristics in a Low-Temperature Liquid Nitrogen Pump. Cryog. Eng. 2014, 6, 42–45. (In Chinese) [Google Scholar]
- Liu, X.; Su, G.; Yao, Z.; Yan, Z.; Yu, Y. Numerical Study of Flow Boiling of ADN-Based Liquid Propellant in a Capillary. Materials 2023, 16, 1858. [Google Scholar] [CrossRef] [PubMed]
- Lv, B.; Xu, D.; Wang, W.; Shi, Y.; Xin, J.; Fang, Z.; Li, L. Numerical Simulation of Pulsating Two-Phase Flow in a Single-Circuit Liquid Helium Pulsating Heat Pipe. Low Temp. Eng. 2023, 1, 26–30+49. (In Chinese) [Google Scholar]
- Fu, Y.; Gao, B.; Ni, D.; Zhang, W.; Fu, Y. Study on the Influence of Thermodynamic Effects on the Characteristics of Liquid Nitrogen Cavitating Flow around Hydrofoils. Symmetry 2023, 15, 1946. [Google Scholar] [CrossRef]
- Fan, H.; Diao, Y. Fluid Mechanics; Machinery Industry Press: Beijing, China, 2020. (In Chinese) [Google Scholar]
- Liu, G.; Ma, L.; Liu, J. Handbook of Chemical and Chemical Engineering Properties; Chemical Industry Press: Beijing, China, 2002. (In Chinese) [Google Scholar]
- Duan, J.; Li, C.; Jin, J. Modal Analysis of Tubing Considering the Effect of Fluid–Structure Interaction. Energies 2022, 15, 670. [Google Scholar] [CrossRef]
- Geraldes, R.R.; Caliari, R.; Moreno, G.B.Z.L.; Ruijl, T.; Sanfelici, L.; Saveri Silva, M.; Neto, N.M.S.; Tolentino, H.C.N.; Westfahl, H., Jr. The New High Dynamics DCM for Sirius. In Proceedings of the MEDSI’16, Barcelona, Spain, 11–16 September 2016; pp. 141–146. [Google Scholar] [CrossRef]
- Cheng, Y.D. Structural Vibration Analysis; Jilin University Press: Changchun, China, 2008. (In Chinese) [Google Scholar]
- Wang, L.; Zhang, Y.; Bao, Y.; Ma, T. Numerical study of transient flow characteristics of gas-liquid two-phase flow in inclined upward tube under periodic vibration. Ocean Eng. 2023, 282, 115024. [Google Scholar] [CrossRef]
- Deng, D. Study on the Influence of Rotating Bend on the Flow and Heat Transfer of Liquid Nitrogen in a Vertical U-shaped Tube. Ph.D. Thesis, Shanghai Jiao Tong University, Shanghai, China, 2014. (In Chinese). [Google Scholar]
- Khosroabadi, H.; Alianelli, L.; Porter, D.G.; Collins, S.; Sawhney, K. Cryo-cooled silicon crystal monochromators: A study of power load, temperature and deformation. J. Synchrotron Rad. 2022, 29, 377–385. [Google Scholar] [CrossRef] [PubMed]

















| Case | Number of Elements |
|---|---|
| 1 | 116,958 |
| 2 | 496,368 |
| 3 | 971,722 |
| 4 | 1,701,574 |
| 5 | 4,260,446 |
| Parameter Type | Numerical Value |
|---|---|
| Average flow velocity / | |
| Outlet pressure/Pa | |
| Frequency Hz | |
| Frequency Hz | |
| Amplitude of pulsation | |
| Computing time |
| Parameter Type | Numerical Value |
|---|---|
| Velocity of inlet/ | |
| Temperature of inlet/K | 77.35 |
| Thermal power/W | |
| The initial temperature of liquid nitrogen/K | |
| Global maximum Courant number | 0.5 |
| Minimum time step/s | |
| Maximum time step/s |
Disclaimer/Publisher’s Note: The statements, opinions and data contained in all publications are solely those of the individual author(s) and contributor(s) and not of MDPI and/or the editor(s). MDPI and/or the editor(s) disclaim responsibility for any injury to people or property resulting from any ideas, methods, instructions or products referred to in the content. |
© 2024 by the authors. Licensee MDPI, Basel, Switzerland. This article is an open access article distributed under the terms and conditions of the Creative Commons Attribution (CC BY) license (https://creativecommons.org/licenses/by/4.0/).
Share and Cite
Li, A.; Gong, X.; Bai, Y.; Lu, Q.; Li, S.; Zhang, W.; Chai, K. Research on the Mechanism of Flow-Induced Vibration in the Cooling System of a Double Crystal Monochromator. Appl. Sci. 2024, 14, 2767. https://doi.org/10.3390/app14072767
Li A, Gong X, Bai Y, Lu Q, Li S, Zhang W, Chai K. Research on the Mechanism of Flow-Induced Vibration in the Cooling System of a Double Crystal Monochromator. Applied Sciences. 2024; 14(7):2767. https://doi.org/10.3390/app14072767
Chicago/Turabian StyleLi, Ao, Xuepeng Gong, Yang Bai, Qipeng Lu, Shengchi Li, Wenbo Zhang, and Kewei Chai. 2024. "Research on the Mechanism of Flow-Induced Vibration in the Cooling System of a Double Crystal Monochromator" Applied Sciences 14, no. 7: 2767. https://doi.org/10.3390/app14072767
APA StyleLi, A., Gong, X., Bai, Y., Lu, Q., Li, S., Zhang, W., & Chai, K. (2024). Research on the Mechanism of Flow-Induced Vibration in the Cooling System of a Double Crystal Monochromator. Applied Sciences, 14(7), 2767. https://doi.org/10.3390/app14072767
