Two-Dimensional Vortex Solitons in Spin-Orbit-Coupled Dipolar Bose–Einstein Condensates
Abstract
1. Introduction
2. The Model of SOC BEC with Dipole-Dipole Interactions
- (i)
- For , , the system corresponds to a spinor SOC BEC with pure DDI.
- (ii)
- For , , , the system corresponds to a spinor SOC BEC with DDI and ZS.
- (iii)
- For , , , the system corresponds to a spinor SOC BEC with DDI, ZS and contact nonlinearity.
3. Semi-Vortices in Spinor SOC BEC with Pure DDI
3.1. Symmetric Vortex Solitons
3.2. Asymmetric Vortex Soliton
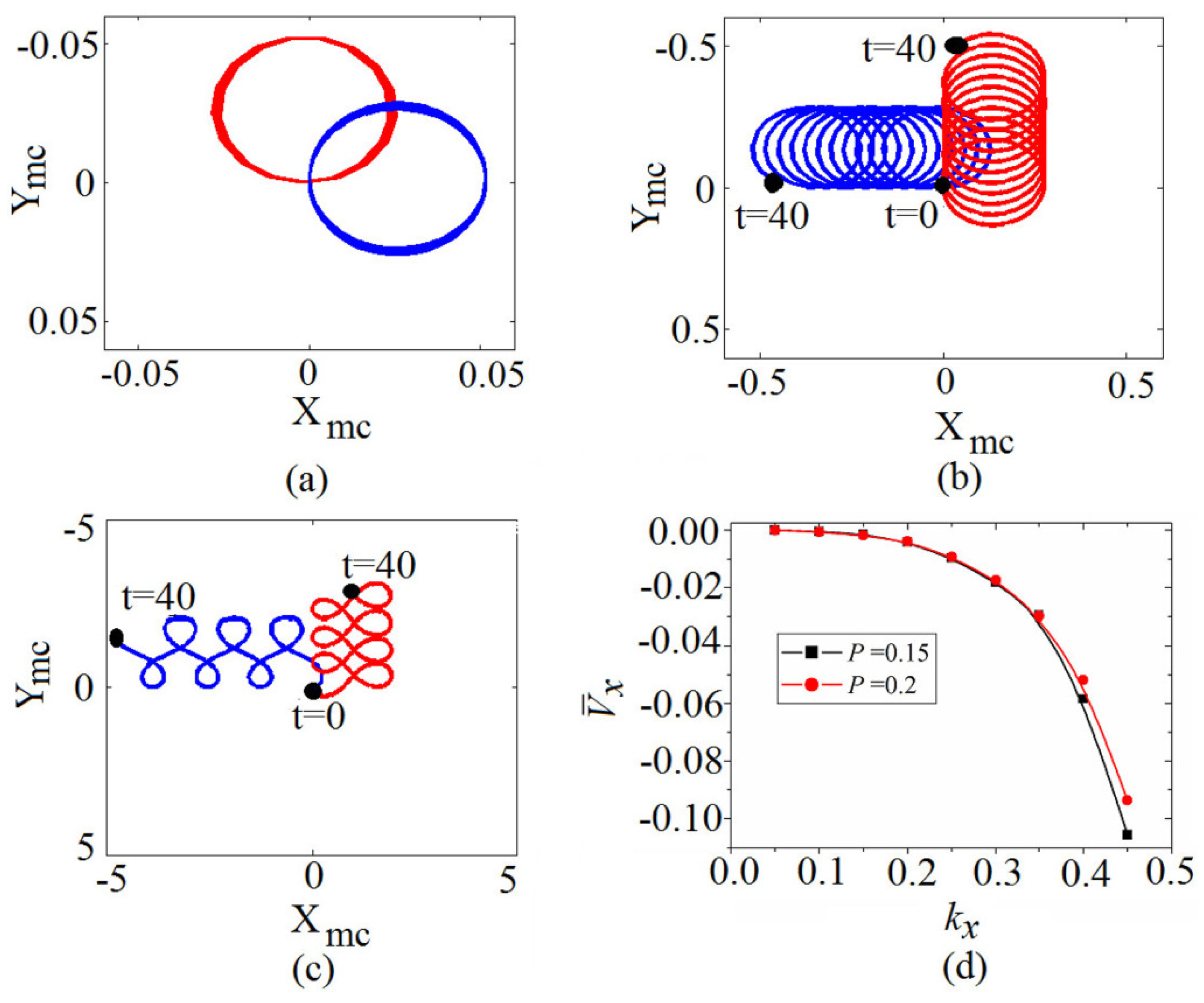
3.3. Mobility of the SVS and AVS
- For k smaller than a depinning threshold , the SVS will be pinned to move in a circle trajectory (see Figure 3a) and is isotropic in both directions x and y.
- For , the SVS is depinned and move with a negative effective mass (i.e., opposite the direction of the kick) in a spiral trajectory (see Figure 3b), but still isotropic in both directions.
- For where is another threshold larger than , the SVS will undergo a more complex “lacy” trajectory and become anisotropic (see Figure 3c).
4. Semi-Vortices in Spinor SOC BEC with DDI and ZS
4.1. Shape Control of the SVS by ZS
4.2. Inverted SVS with
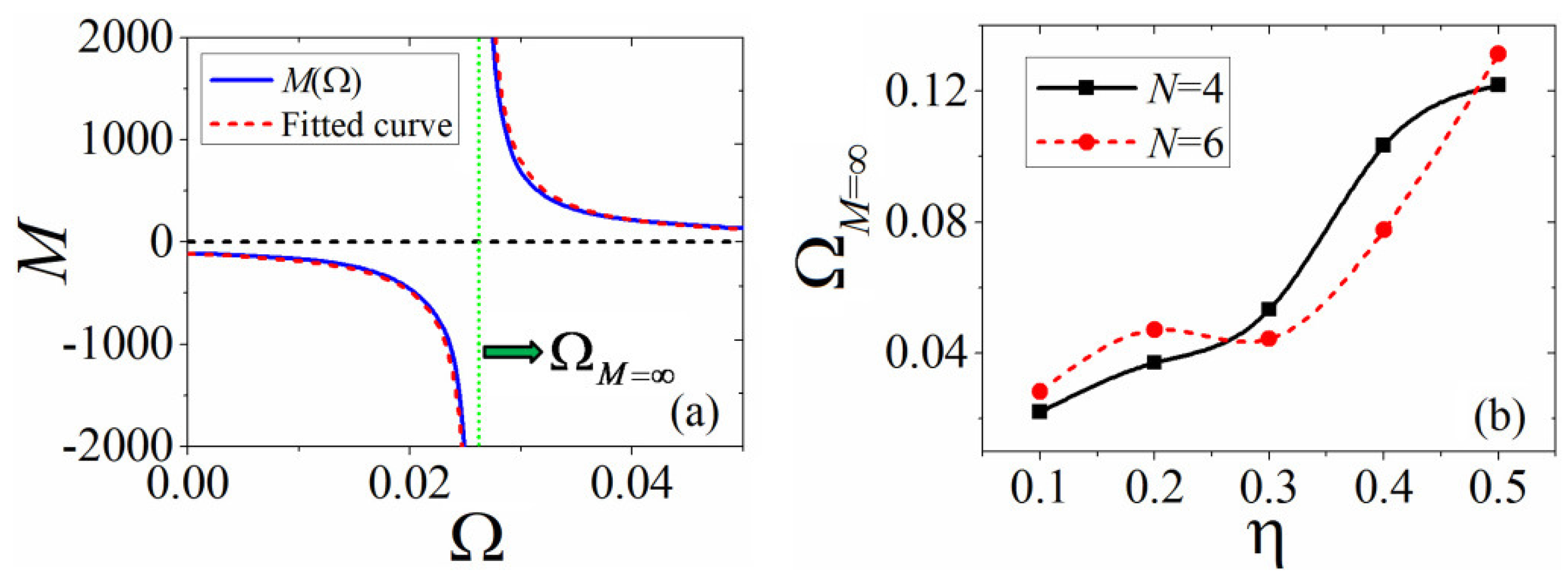
4.3. Mobility and Effective Mass Controlled by ZS
- For , the SVS possesses a negative effective mass, and it will move in the opposite directions of the kick. This is in accordance with results in Section 3.3, where .
- For , the effective mass of SVS diverges to infinity, and the soliton will be pinned to move in a circular trajectory, similar to the motion shown in Panel (a) of Figure 3, which can be regarded as the immobility of the soliton.
- For , the SVS possesses a positive effective mass, and it will move along the directions of the kick.
- For , the effective mass approaches the total norm , since it becomes a usual single-component soliton.
5. Gap Solitons in Spinor SOC BEC
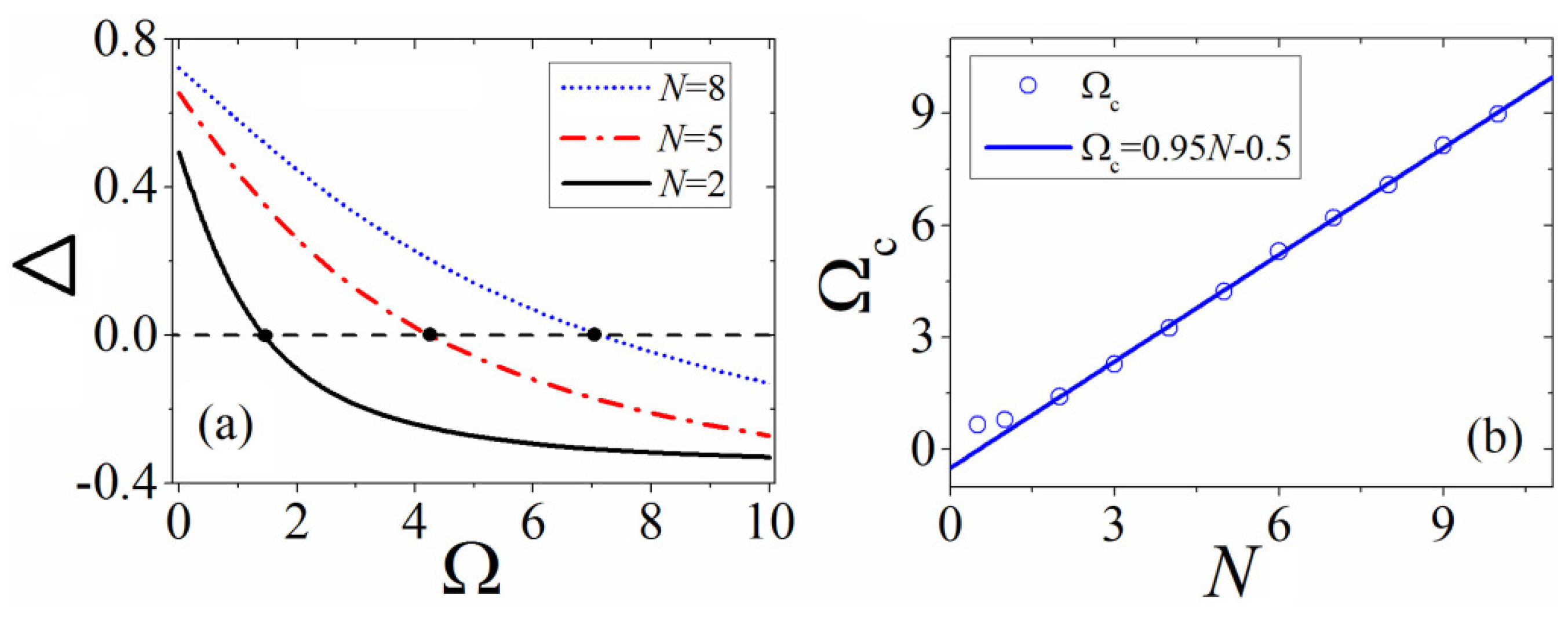
5.1. Isotropic and Anisotropic Families of the Gap Soliton
5.2. Mobility of the Gap Soliton
5.3. Effects of Contact Nonlinearity
6. Conclusions
Author Contributions
Funding
Conflicts of Interest
References
- Malomed, B.A.; Mihalache, D.; Wise, F.; Torner, L. Spatiotemporal optical solitons. J. Opt. B 2005, 7, R53. [Google Scholar] [CrossRef]
- Desyatnikov, A.S.; Kivshar, Y.S.; Torner, L. Optical vortices and vortex solitons. Prog. Opt. 2005, 47, 291–391. [Google Scholar]
- Kivshar, Y.S.; Agrawal, G.P. Optical Solitons: From Fibers to Photonic Crystals; Academic Press: San Diego, CA, USA, 2003. [Google Scholar]
- Griffin, A.; Snoke, D.W.; Stringari, S. Bose-Einstein Condensation; Cambridge University Press: New York, NY, USA, 1995. [Google Scholar]
- Bauer, D.M.; Lettner, M.; Vo, C.; Rempe, G.; Dürr, S. Control of a magnetic Feshbach resonance with laser light. Nat. Phys. 2009, 5, 339–342. [Google Scholar] [CrossRef]
- Yan, M.; DeSalvo, B.J.; Ramachandhran, B.; Pu, H.; Killian, T.C. Controlling Condensate Collapse and Expansion with an Optical Feshbach Resonance. Phys. Rev. Lett. 2013, 110, 123201. [Google Scholar] [CrossRef] [PubMed]
- Fibich, G.; Papanicolaou, G. Self-focusing in the perturbed and unperturbed nonlinear Schrödinger equation in critical dimension. SIAM J. Appl. Math. 1999, 60, 183–240. [Google Scholar] [CrossRef]
- Bergé, L. Wave collapse in physics: principles and applications to light and plasma waves. Phys. Rep. 1998, 303, 259–370. [Google Scholar] [CrossRef]
- Kuznetsov, E.A.; Dias, F. Bifurcations of solitons and their stability. Phys. Rep. 2011, 507, 43. [Google Scholar] [CrossRef]
- Torruellas, W.E.; Wang, Z.; Hagan, D.J.; VanStryland, E.W.; Stegeman, G.I.; Torner, L.; Menyuk, C.R. Observation of Two-Dimensional Spatial Solitary Waves in a Quadratic Medium. Phys. Rev. Lett. 1995, 74, 5036. [Google Scholar] [CrossRef] [PubMed]
- Liu, X.; Beckwitt, K.; Wise, F. Two-dimensional optical spatiotemporal solitons in quadratic media. Phys. Rev. E 2000, 62, 1328. [Google Scholar] [CrossRef]
- Quiroga-Teixeiro, M.; Michinel, H. Stable azimuthal stationary state in quintic nonlinear optical media. J. Opt. Soc. Am. B 1997, 14, 2004–2009. [Google Scholar] [CrossRef]
- Mihalache, D.; Mazilu, D.; Crasovan, L.-C.; Towers, I.; Buryak, A.V.; Malomed, B.A.; Torner, A.; Torres, J.P.; Lederer, F. Stable Spinning Optical Solitons in Three Dimensions. Phys. Rev. Lett. 2002, 88, 073902. [Google Scholar] [CrossRef] [PubMed]
- Mihalache, D.; Mazilu, D.; Crasovan, L.-C.; Towers, I.; Malomed, B.A.; Buryak, A.V.; Torner, L.; Lederer, F. Stable three-dimensional spinning optical solitons supported by competing quadratic and cubic nonlinearities. Phys. Rev. E 2002, 66, 016613. [Google Scholar] [CrossRef] [PubMed]
- Falcaõ-Filho, E.L.; de Araujo, C.B.; Boudebs, G.; Leblond, H.; Skarka, V. Robust Two-Dimensional Spatial Solitons in Liquid Carbon Disulfide. Phys. Rev. Lett. 2013, 110, 013901. [Google Scholar] [CrossRef] [PubMed]
- Gao, X.; Zeng, J. Two-dimensional matter-wave solitons and vortices in competing cubic-quintic nonlinear lattices. Front. Phys. 2018, 13, 130501. [Google Scholar] [CrossRef]
- Fleischer, J.W.; Segev, M.; Efremidis, N.K.; Christodoulides, D.N. Observation of two-dimensional discrete solitons in optically induced nonlinear photonic lattices. Nature 2003, 422, 147–150. [Google Scholar] [CrossRef] [PubMed]
- Terhalle, B.; Richter, T.; Law, K.J.H.; Göries, D.; Rose, P.; Alexander, T.J.; Kevrekidis, P.G.; Desyatnikov, A.S.; Krolikowski, W.; Kaiser, F.; et al. Observation of double-charge discrete vortex solitons in hexagonal photonic lattices. Phys. Rev. A 2009, 79, 043821. [Google Scholar] [CrossRef]
- Minardi, S.; Eilenberger, F.; Kartashov, Y.V.; Szameit, A.; Röpke, U.; Kobelke, J.; Schuster, K.; Bartelt, H.; Nolte, S.; Torner, L.; et al. Three-Dimensional Light Bullets in Arrays of Waveguides. Phys. Rev. Lett. 2010, 105, 263901. [Google Scholar] [CrossRef] [PubMed]
- Cerda-Méndez, E.A.; Sarkar, D.; Krizhanovskii, D.N.; Gavrilov, S.S.; Biermann, K.; Skolnick, M.S.; Santos, P.V. Exciton-Polariton Gap Solitons in Two-Dimensional Lattices. Phys. Rev. Lett. 2013, 111, 146401. [Google Scholar] [CrossRef] [PubMed]
- Garanovich, I.L.; Longhi, S.; Sukhorukov, A.A.; Kivshar, Y.S. Light propagation and localization in modulated photonic lattices and waveguides. Phys. Rep. 2012, 518, 1–79. [Google Scholar] [CrossRef]
- Lederer, F.; Stegeman, G.I.; Christodoulides, D.N.; Assanto, G.; Segev, M.; Silberberg, Y. Discrete solitons in optics. Phys. Rep. 2008, 463, 1–126. [Google Scholar] [CrossRef]
- Morsch, O.; Oberthaler, M. Dynamics of Bose-Einstein condensates in optical lattices. Rev. Mod. Phys. 2006, 78, 179–215. [Google Scholar] [CrossRef]
- Eiermann, B.; Anker, T.; Albiez, M.; Taglieber, M.; Treutlein, P.; Marzlin, K.-P.; Oberthaler, M.K. Bright Bose-Einstein Gap Solitons of Atoms with Repulsive Interaction. Phys. Rev. Lett. 2004, 92, 230401. [Google Scholar] [CrossRef] [PubMed]
- Peccianti, M.; Conti, C.; Assanto, G.; de Luca, A.; Umeton, C. Routing of anisotropic spatial solitons and modulational instability in liquid crystals. Nature 2004, 432, 733–737. [Google Scholar] [CrossRef] [PubMed]
- Ghofraniha, N.; Conti, C.; Ruocco, G.; Trillo, S. Shocks in Nonlocal Media. Phys. Rev. Lett. 2007, 99, 043903. [Google Scholar] [CrossRef] [PubMed]
- Armaroli, A.; Trillo, S.; Fratalocchi, A. Suppression of transverse instabilities of dark solitons and their dispersive shock waves. Phys. Rev. A 2009, 80, 053803. [Google Scholar] [CrossRef]
- Maucher, F.; Henkel, N.; Saffman, M.; Królikowski, W.; Skupin, S.; Pohl, T. Rydberg-Induced Solitons: Three-Dimensional Self-Trapping of Matter Waves. Phys. Rev. Lett. 2011, 106, 170401. [Google Scholar] [CrossRef] [PubMed]
- Raghunandan, M.; Mishra, C.; Lakomy, K.; Pedri, P.; Santos, L.; Nath, R. Two-dimensional bright solitons in dipolar Bose-Einstein condensates with tilted dipoles. Phys. Rev. A 2015, 92, 013637. [Google Scholar] [CrossRef]
- Huang, J.S.; Jiang, X.D.; Chen, H.Y.; Fan, Z.W.; Pang, W.; Li, Y.Y. Quadrupolar matter-wave soliton in two-dimensional free space. Front. Phys. 2015, 10, 1–7. [Google Scholar] [CrossRef]
- Li, Y.; Liu, J.; Pang, W.; Malomed, B.A. Matter-wave solitons supported by field-induced dipole-dipole repulsion with a spatially modulated strength. Phys. Rev. A 2013, 88, 053630. [Google Scholar] [CrossRef]
- Li, Y.-Y.; Fan, Z.-W.; Luo, Z.-H.; Liu, Y.; He, H.-X.; Lv, J.-T.; Xie, J.-N.; Huang, C.-Q.; Tan, H.-S. Cross-symmetry breaking of two-component discrete dipolar matter-wave solitons. Front. Phys. 2017, 12, 124206. [Google Scholar] [CrossRef]
- Li, Y.; Pang, W.; Xu, J.; Lee, C.; Malomed, B.A.; Santos, L. Long-range transverse Ising model built with dipolar condensates in two-well arrays. New J. Phys. 2017, 19, 013030. [Google Scholar] [CrossRef]
- Li, Y.; Liu, J.; Pang, W.; Malomed, B.A. Lattice soliton with quadrupolar intersite interaction. Phys. Rev. A 2013, 88, 063635. [Google Scholar] [CrossRef]
- Chen, G.; Liu, Y.; Huang, H. Mixed-mode solitons in quadrupolar BECs with spin-orbit coupling. Commun. Nonlinear Sci. Numer. Simul. 2017, 48, 318–325. [Google Scholar] [CrossRef]
- Zhong, R.; Huang, N.; Li, H.; He, H.; Lü, J.; Huang, C. Matter-wave solitons supported by quadrupole quadrupole interactions and anisotropic discrete lattices. Int. J. Mod. Phys. B 2018, 32, 1850107. [Google Scholar] [CrossRef]
- Xu, Y.; Zhang, Y.; Wu, B. Bright solitons in spin-orbit-coupled Bose-Einstein condensates. Phys. Rev. A 2013, 87, 013614. [Google Scholar] [CrossRef]
- Xu, Y.; Zhang, Y.; Zhang, C. Bright solitons in a two-dimensional spin-orbit-coupled dipolar Bose-Einstein condensate. Phys. Rev. A 2015, 92, 013633. [Google Scholar] [CrossRef]
- Xu, X.-Q.; Han, J.H. Spin-Orbit Coupled Bose-Einstein Condensate Under Rotation. Phys. Rev. Lett. 2011, 107, 200401. [Google Scholar] [CrossRef] [PubMed]
- Sinha, S.; Nath, R.; Santos, L. Trapped Two-Dimensional Condensates with Synthetic Spin-Orbit Coupling. Phys. Rev. Lett. 2011, 107, 270401. [Google Scholar] [CrossRef] [PubMed]
- Zhou, X.-F.; Zhou, J.; Wu, C.J. Vortex structures of rotating spin-orbit-coupled Bose-Einstein condensates. Phys. Rev. A 2011, 84, 063624. [Google Scholar] [CrossRef]
- Sakaguchi, H.; Li, B. Vortex lattice solutions to the Gross-Pitaevskii equation with spin-orbit coupling in optical lattices. Phys. Rev. A 2013, 87, 015602. [Google Scholar] [CrossRef]
- Kartashov, Y.V.; Konotop, V.V.; Abdullaev, F.K. Gap Solitons in a Spin-Orbit-Coupled Bose-Einstein Condensate. Phys. Rev. Lett. 2013, 111, 060402. [Google Scholar] [CrossRef] [PubMed]
- Lobanov, V.E.; Kartashov, Y.V.; Konotop, V.V. Fundamental, Multipole and Half-Vortex Gap Solitons in Spin-Orbit Coupled Bose-Einstein Condensates. Phys. Rev. Lett. 2014, 112, 180403. [Google Scholar] [CrossRef] [PubMed]
- Beličev, P.; Gligorić, G.; Petrović, J.; Maluckov, A.; Hadzievski, L.; Malomed, B.A. Composite localized modes in discretized spin-orbit-coupled Bose-Einstein condensates. J. Phys. B 2015, 48, 065301. [Google Scholar] [CrossRef]
- Zhang, Y.P.; Xu, Y.; Busch, T. Gap solitons in spin-orbit-coupled Bose-Einstein condensates in optical lattices. Phys. Rev. A 2015, 91, 043629. [Google Scholar] [CrossRef]
- Achilleos, V.; Frantzeskakis, D.J.; Kevrekidis, P.G.; Pelinovsky, D.E. Matter-Wave Bright Solitons in Spin-Orbit Coupled Bose-Einstein Condensates. Phys. Rev. Lett. 2013, 110, 264101. [Google Scholar] [CrossRef] [PubMed]
- Salasnich, L.; Malomed, B.A. Localized modes in dense repulsive and attractive Bose-Einstein condensates with spin-orbit and Rabi couplings. Phys. Rev. A 2013, 87, 063625. [Google Scholar] [CrossRef]
- Sakaguchi, H.; Li, B.; Malomed, B.A. Creation of two-dimensional composite solitons in spin-orbit-coupled self- attractive Bose-Einstein condensates in free space. Phys. Rev. E 2014, 89, 032920. [Google Scholar] [CrossRef] [PubMed]
- Sakaguchi, H.; Malomed, B.A. Discrete and continuum composite solitons in Bose-Einstein condensates with the Rashba spin-orbit coupling in one and two dimensions. Phys. Rev. E 2014, 90, 062922. [Google Scholar] [CrossRef] [PubMed]
- Salasnich, L.; Cardoso, W.B.; Malomed, B.A. Localized modes in quasi-two-dimensional Bose-Einstein condensates with spin-orbit and Rabi couplings. Phys. Rev. A 2014, 90, 033629. [Google Scholar] [CrossRef]
- Malomed, B.A. Creating solitons by means of spin-orbit coupling. Europhys. Lett. 2018, 122, 36001. [Google Scholar] [CrossRef]
- Liu, S.; Liao, B.; Kong, J.; Chen, P.; Lü, J.; Li, Y.; Huang, C.; Li, Y. Anisotropic Semi Vortices in Spinor Dipolar Bose Einstein Condensates Induced by Mixture of Rashba Dresselhaus Coupling. J. Phys. Soc. Jpn. 2018, 87, 094005. [Google Scholar] [CrossRef]
- Kartashov, Y.M.; Malomed, B.A.; Konotop, V.V.; Lobanov, V.E.; Torner, L. Stabilization of solitons in bulk Kerr media by dispersive coupling. Opt. Lett. 2015, 40, 1045–1048. [Google Scholar] [CrossRef] [PubMed]
- Huang, H.; Lyu, L.; Xie, M.; Luo, W.; Chen, Z.; Luo, Z.; Huang, C.; Fu, S.; Li, Y. Spatiotemporal solitary modes in a twisted cylinder waveguide shell with the self-focusing Kerr nonlinearity. Commun. Nonlinear Sci. Numer. Simulat. 2019, 67, 617–626. [Google Scholar] [CrossRef]
- Zhong, R.; Chen, Z.; Huang, C.; Luo, Z.; Tan, H.; Malomed, B.A.; Li, Y. Self-trapping under the two-dimensional spin-orbit-coupling and spatially growingrepulsive nonlinearity. Front. Phys. 2018, 13, 130311. [Google Scholar] [CrossRef]
- Huang, C.; Ye, Y.; Liu, S.; He, H.; Pang, W.; Malomed, B.A.; Li, Y. Excited states of two-dimensional solitons supported by spin-orbit coupling and field-induced dipole-dipole repulsion. Phys. Rev. A 2018, 97, 013636. [Google Scholar] [CrossRef]
- Jiang, X.; Fan, Z.; Chen, Z.; Pang, W.; Li, Y.; Malomed, B.A. Two-dimensional solitons in dipolar Bose-Einstein Condensates with spin-orbit coupling. Phy. Rev. A 2016, 93, 023633. [Google Scholar] [CrossRef]
- Liao, B.; Li, S.; Huang, C.; Luo, Z.; Pang, W.; Tan, H.; Malomed, B.A.; Li, Y. Anisotropic semivortices in dipolar spinor condensates controlled by Zeeman splitting. Phy. Rev. A 2017, 96, 043613. [Google Scholar] [CrossRef]
- Li, Y.; Liu, Y.; Fan, Z.; Pang, W.; Fu, S.; Malomed, B.A. Two-dimensional dipolar gap solitons in free space with spin-orbit coupling. Phy. Rev. A 2017, 95, 063613. [Google Scholar] [CrossRef]
- Lin, Y.J.; Jiménez-García, K.; Spielman, I.B. Spin-orbit-coupled Bose-Einstein condensates. Nature 2011, 471, 83–86. [Google Scholar] [CrossRef] [PubMed]
- Deng, Y.; Cheng, J.; Jing, H.; Sun, C.-P.; Yi, S. Spin-Orbit-Coupled Dipolar Bose-Einstein Condensates. Phys. Rev. Lett. 2012, 108, 125301. [Google Scholar] [CrossRef] [PubMed]
- Wu, Z.; Zhang, L.; Sun, W.; Xu, X.; Wang, B.; Ji, S.; Deng, Y.; Chen, S.; Liu, X.; Pan, J. Realization of two-dimensional spin-orbit coupling for Bose-Einstein condensates. Science 2016, 354, 83–88. [Google Scholar] [CrossRef] [PubMed]
- Sinha, S.; Santos, L. Cold Dipolar Gases in Quasi-One- Dimensional Geometries. Phys. Rev. Lett. 2007, 99, 140406. [Google Scholar] [CrossRef] [PubMed]
- Cuevas, J.; Malomed, B.A.; Kevrekidis, P.G.; Frantzeskakis, D.J. Solitons in quasi-one-dimensional Bose-Einstein condensates with competing dipolar and local interactions. Phys. Rev. A 2009, 79, 053608. [Google Scholar] [CrossRef]
- Chiofalo, L.M.; Succi, S.; Tosi, P.M. Ground state of trapped interacting Bose-Einstein condensates by an explicit imaginary-time algorithm. Phys. Rev. E 2000, 62, 7438–7444. [Google Scholar] [CrossRef]
- Yang, J.; Lakoba, T.I. Accelerated imaginary-time evolution methods for the computation of solitary waves. Stud. Appl. Math. 2008, 120, 265–292. [Google Scholar] [CrossRef]
- Li, Y.; Luo, Z.; Liu, Y.; Chen, Z.; Huang, C.; Fu, S.; Tan, H.; Malomed, B.A. Two-dimensional solitons and quantum droplets supported by competing self- and cross-interactions in spin- orbit-coupled condensates. New J. Phys. 2017, 19, 113043. [Google Scholar] [CrossRef]
- Eggleton, B.J.; Slusher, R.E.; de Sterke, C.M.; Krug, P.A.; Sipe, J.E. Bragg Grating Solitons. Phys. Rev. Lett. 1996, 76, 1627. [Google Scholar] [CrossRef] [PubMed]
- Mandelik, D.; Morandotti, R.; Aitchison, J.S.; Silberberg, Y. Gap Solitons in Waveguide Arrays. Phys. Rev. Lett. 2004, 92, 093904. [Google Scholar] [CrossRef] [PubMed]
- Ostrovskaya, E.A.; Abdullaev, J.; Fraser, M.D.; Desyatnikov, A.S.; Kivshar, Y.S. Self-Localization of Polariton Condensates in Periodic Potentials. Phys. Rev. Lett. 2013, 110, 170407. [Google Scholar] [CrossRef] [PubMed]
- Kartashov, Y.V.; Konotop, V.V. Solitons in Bose-Einstein Condensates with Helicoidal Spin-Orbit Coupling. Phys. Rev. Lett. 2017, 118, 190401. [Google Scholar] [CrossRef] [PubMed]
- Zhu, X.; Li, H.; Shi, Z. Defect matter-wave gap solitons in spin-orbit-coupled Bose-Einstein condensates in Zeeman lattices. Phys. Lett. A 2016, 380, 3253–3257. [Google Scholar] [CrossRef]
- Campbell, D.L.; Juzeliūnas, G.; Spielman, I.B. Realistic Rashba and Dresselhaus spin-orbit coupling for neutral atoms. Phys. Rev. A 2011, 84, 025602. [Google Scholar] [CrossRef]
- Giovanazzi, S.; Görlitz, A.; Pfau, T. Tuning the Dipolar Interaction in Quantum Gases. Phys. Rev. Lett. 2002, 89, 130401. [Google Scholar] [CrossRef] [PubMed]
- Papp, S.B.; Pino, J.M.; Wieman, C.E. Tunable Miscibility in a Dual-Species Bose-Einstein Condensate. Phys. Rev. Lett. 2008, 101, 040402. [Google Scholar] [CrossRef] [PubMed]
- Zhang, P.; Naidon, P.; Ueda, M. Independent Control of Scattering Lengths in Multicomponent Quantum Gases. Phys. Rev. Lett. 2009, 103, 133202. [Google Scholar] [CrossRef] [PubMed]
- Wang, F.; Li, X.; Xiong, D.; Wang, D. A double species 23Na and 87Rb Bose-Einstein condensate with tunable miscibility via an interspecies Feshbach resonance. J. Phys. B At. Mol. Opt. Phys. 2016, 49, 015302. [Google Scholar] [CrossRef]
- Sakaguchi, H.; Malomed, B.A. One- and two-dimensional gap solitons in spin-orbit-coupled systems with Zeeman splitting. Phys. Rev. A 2018, 97, 013607. [Google Scholar] [CrossRef]
- Yang, J.; Malomed, B.A.; Kaup, D.J. Embedded Solitons in Second-Harmonic-Generating Systems. Phys. Rev. Lett. 1999, 83, 1958–1961. [Google Scholar] [CrossRef]
- Yang, J. Fully localized two-dimensional embedded solitons. Phys. Rev. A 2010, 82, 053828. [Google Scholar] [CrossRef]
- Schmitt, M.; Wenzel, M.; Böttcher, F.; Ferrier-barbut, I.; Pfau, T. Self-bound droplets of a dilute magnetic quantum liquid. Nature 2016, 539, 259–262. [Google Scholar] [CrossRef] [PubMed]










© 2018 by the authors. Licensee MDPI, Basel, Switzerland. This article is an open access article distributed under the terms and conditions of the Creative Commons Attribution (CC BY) license (http://creativecommons.org/licenses/by/4.0/).
Share and Cite
Pang, W.; Deng, H.; Liu, B.; Xu, J.; Li, Y. Two-Dimensional Vortex Solitons in Spin-Orbit-Coupled Dipolar Bose–Einstein Condensates. Appl. Sci. 2018, 8, 1771. https://doi.org/10.3390/app8101771
Pang W, Deng H, Liu B, Xu J, Li Y. Two-Dimensional Vortex Solitons in Spin-Orbit-Coupled Dipolar Bose–Einstein Condensates. Applied Sciences. 2018; 8(10):1771. https://doi.org/10.3390/app8101771
Chicago/Turabian StylePang, Wei, Haiming Deng, Bin Liu, Jun Xu, and Yongyao Li. 2018. "Two-Dimensional Vortex Solitons in Spin-Orbit-Coupled Dipolar Bose–Einstein Condensates" Applied Sciences 8, no. 10: 1771. https://doi.org/10.3390/app8101771
APA StylePang, W., Deng, H., Liu, B., Xu, J., & Li, Y. (2018). Two-Dimensional Vortex Solitons in Spin-Orbit-Coupled Dipolar Bose–Einstein Condensates. Applied Sciences, 8(10), 1771. https://doi.org/10.3390/app8101771
