Secondary Metabolites of Actinomycetales as Potent Quorum Sensing Inhibitors Targeting Gram-Positive Pathogens: In Vitro and In Silico Study
Abstract
1. Introduction
2. Results
2.1. Screening of Inhibitory Activity of Actinomycetales Metabolites against agr/fsr QS Systems
2.2. Compounds Targeting Both agr and fsr Systems
2.3. Compounds Targeting fsr System
2.3.1. Decatromicins A and B
2.3.2. Okilactomycin
2.3.3. Abyssomicin I
2.3.4. Rishirilide A
2.3.5. Rebeccamycin
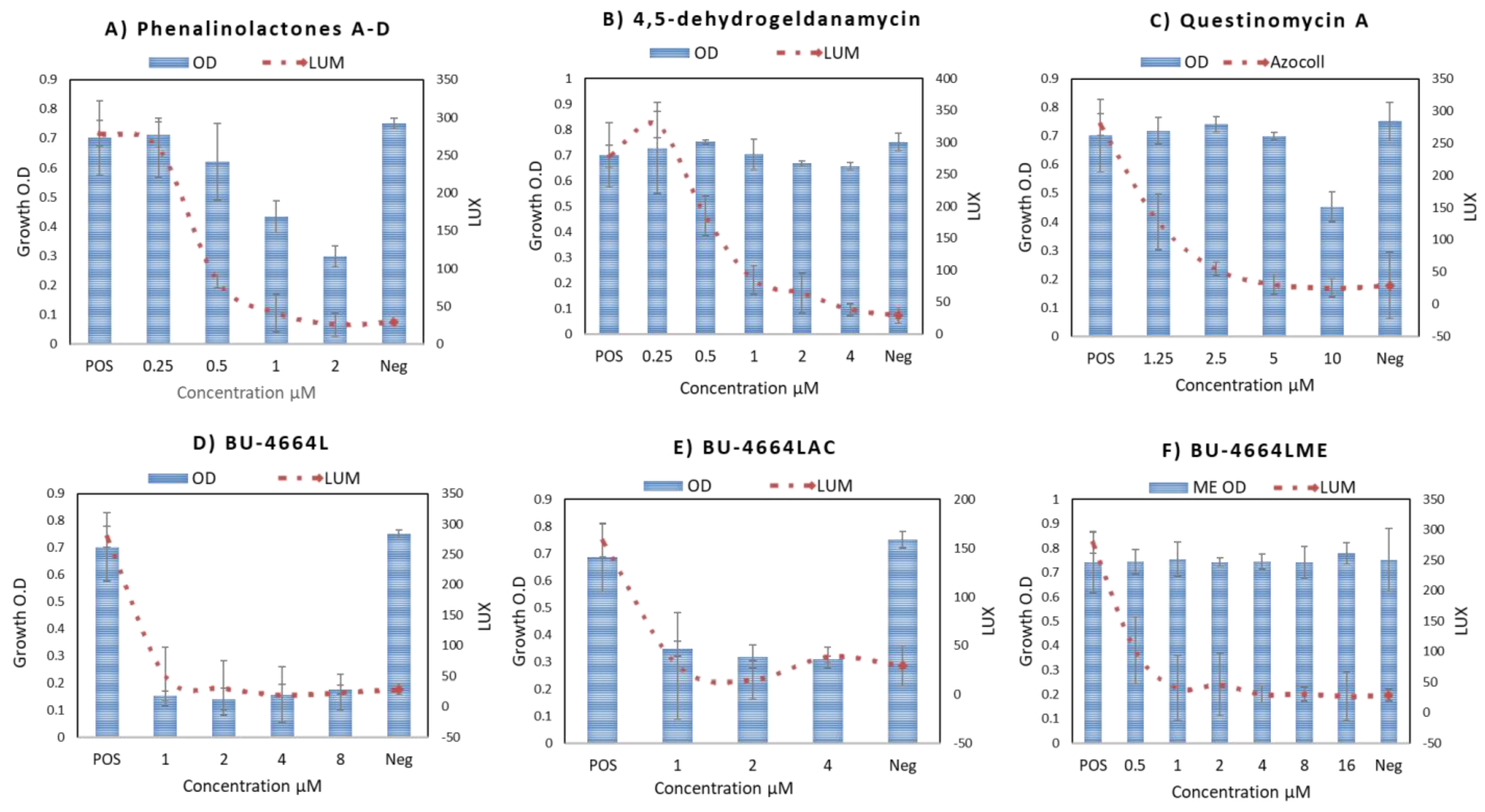
2.4. Compounds Targeting agr System
2.4.1. Phenalinolactones A–D
2.4.2. 4,5-Dehydrogeldanamycin
2.4.3. Questinomycin A
2.4.4. BU–4664L, Me, Ac
2.5. Antihemolytic Activity
2.6. In Silico Molecular Modeling Study
3. Discussion
4. Materials and Methods
4.1. Bacterial Starins and Growth Conditions
4.2. Compound Library
4.3. Screening and Assessment of E. faecalis fsr System Inhibition
4.4. Screening and Assessment of S. aureus agr System Inhibition
4.5. Quantitative Assessment of Anti-Hemolytic Effect
4.6. Molecular Docking Study
4.7. Statistical Analysis
5. Conclusions
Supplementary Materials
Author Contributions
Funding
Institutional Review Board Statement
Informed Consent Statement
Data Availability Statement
Acknowledgments
Conflicts of Interest
References
- Waters, C.M.; Bassler, B.L. Quorum Sensing: Cell-to-Cell Communication in Bacteria. Annu. Rev. Cell Dev. Biol. 2005, 21, 319–346. [Google Scholar] [CrossRef] [PubMed]
- Rutherford, S.T.; Bassler, B.L. Bacterial Quorum Sensing: Its Role in Virulence and Possibilities for Its Control. Cold Spring Harb. Perspect. Med. 2012, 2, a012427. [Google Scholar] [CrossRef] [PubMed]
- Saied, E.; Eid, A.M.; Hassan, S.E.-D.; Salem, S.S.; Radwan, A.A.; Halawa, M.; Saleh, F.M.; Saad, H.A.; Saied, E.M.; Fouda, A. The Catalytic Activity of Biosynthesized Magnesium Oxide Nanoparticles (MgO-NPs) for Inhibiting the Growth of Pathogenic Microbes, Tanning Effluent Treatment, and Chromium Ion Removal. Catalysts 2021, 11, 821. [Google Scholar] [CrossRef]
- Novick, R.P. Autoinduction and Signal Transduction in the Regulation of Staphylococcal Virulence. Mol. Microbiol. 2003, 48, 1429–1449. [Google Scholar] [CrossRef] [PubMed]
- Elghait, M.A. Phenotypic and biochemical characterization of specific virulence determinants regulated by agr quorum sensing system in Staphylococcus aureus. Al Azhar Bull. Sci. 2017, 9, 217–226. [Google Scholar]
- Qin, X.; Singh, K.V.; Weinstock, G.M.; Murray, B.E. Effects of Enterococcus faecalis Fsr Genes on Production of Gelatinase and a Serine Protease and Virulence. Infect. Immun. 2000, 68, 2579–2586. [Google Scholar] [CrossRef]
- Alzahrani, A.Y.; Ammar, Y.A.; Abu-Elghait, M.; Salem, M.A.; Assiri, M.A.; Ali, T.E.; Ragab, A. Development of Novel Indolin-2-One Derivative Incorporating Thiazole Moiety as DHFR and Quorum Sensing Inhibitors: Synthesis, Antimicrobial, and Antibiofilm Activities with Molecular Modelling Study. Bioorg. Chem. 2022, 119, 105571. [Google Scholar] [CrossRef] [PubMed]
- Nakayama, J.; Cao, Y.; Horii, T.; Sakuda, S.; Akkermans, A.D.; de Vos, W.M.; Nagasawa, H. Gelatinase Biosynthesis-Activating Pheromone: A Peptide Lactone That Mediates a Quorum Sensing in Enterococcus faecalis. Mol. Microbiol. 2001, 41, 145–154. [Google Scholar] [CrossRef] [PubMed]
- Gordon, R.J.; Lowy, F.D. Pathogenesis of Methicillin-Resistant Staphylococcus aureus Infection. Clin. Infect. Dis. 2008, 46, S350–S359. [Google Scholar] [CrossRef] [PubMed]
- Otto, M. MRSA Virulence and Spread. Cell Microbiol. 2012, 14, 1513–1521. [Google Scholar] [CrossRef]
- Le, K.Y.; Otto, M. Quorum-Sensing Regulation in Staphylococci—An Overview. Front. Microbiol. 2015, 6, 1174. [Google Scholar] [CrossRef] [PubMed]
- Okba, M.M.; Abdel Baki, P.M.; Abu-Elghait, M.; Shehabeldine, A.M.; El-Sherei, M.M.; Khaleel, A.E.; Salem, M.A. UPLC-ESI-MS/MS Profiling of the Underground Parts of Common Iris Species in Relation to Their Anti-Virulence Activities against Staphylococcusaureus. J. Ethnopharmacol. 2022, 282, 114658. [Google Scholar] [CrossRef] [PubMed]
- Lina, G.; Jarraud, S.; Ji, G.; Greenland, T.; Pedraza, A.; Etienne, J.; Novick, R.P.; Vandenesch, F. Transmembrane Topology and Histidine Protein Kinase Activity of AgrC, the Agr Signal Receptor in Staphylococcus aureus. Mol. Microbiol. 1998, 28, 655–662. [Google Scholar] [CrossRef] [PubMed]
- Selleck, E.M.; Van Tyne, D.; Gilmore, M.S. Pathogenicity of Enterococci. Microbiol. Spectr. 2019, 7. [Google Scholar] [CrossRef]
- Mylonakis, E.; Engelbert, M.; Qin, X.; Sifri, C.D.; Murray, B.E.; Ausubel, F.M.; Gilmore, M.S.; Calderwood, S.B. The Enterococcus faecalis FsrB Gene, a Key Component of the Fsr Quorum-Sensing System, Is Associated with Virulence in the Rabbit Endophthalmitis Model. Infect. Immun. 2002, 70, 4678–4681. [Google Scholar] [CrossRef] [PubMed]
- Prestinaci, F.; Pezzotti, P.; Pantosti, A. Antimicrobial Resistance: A Global Multifaceted Phenomenon. Pathog. Glob. Health 2015, 109, 309–318. [Google Scholar] [CrossRef] [PubMed]
- Bin-Jumah, M.; Abdel-Fattah, A.-F.M.; Saied, E.M.; El-Seedi, H.R.; Abdel-Daim, M.M. Acrylamide-Induced Peripheral Neuropathy: Manifestations, Mechanisms, and Potential Treatment Modalities. Environ. Sci. Pollut. Res. 2021, 28, 13031–13046. [Google Scholar] [CrossRef] [PubMed]
- Rémy, B.; Mion, S.; Plener, L.; Elias, M.; Chabrière, E.; Daudé, D. Interference in Bacterial Quorum Sensing: A Biopharmaceutical Perspective. Front. Pharmacol. 2018, 9, 203. [Google Scholar] [CrossRef] [PubMed]
- Saied, E.M.; El-Maradny, Y.A.; Osman, A.A.; Darwish, A.M.G.; Abo Nahas, H.H.; Niedbała, G.; Piekutowska, M.; Abdel-Rahman, M.A.; Balbool, B.A.; Abdel-Azeem, A.M. A Comprehensive Review about the Molecular Structure of Severe Acute Respiratory Syndrome Coronavirus 2 (SARS-CoV-2): Insights into Natural Products against COVID-19. Pharmaceutics 2021, 13, 1759. [Google Scholar] [CrossRef] [PubMed]
- Yousuf, B.; Adachi, K.; Nakayama, J. Developing Anti-Virulence Chemotherapies by Exploiting the Diversity of Microbial Quorum Sensing Systems. In Biotechnological Applications of Quorum Sensing Inhibitors; Kalia, V.C., Ed.; Springer: Singapore, 2018; pp. 151–208. ISBN 978-981-10-9026-4. [Google Scholar]
- Nassar, O.; Desouky, S.E.; El-Sherbiny, G.M.; Abu-Elghait, M. Correlation between Phenotypic Virulence Traits and Antibiotic Resistance in Pseudomonas Aeruginosa Clinical Isolates. Microb. Pathog. 2022, 162, 105339. [Google Scholar] [CrossRef]
- LaSarre, B.; Federle, M.J. Exploiting Quorum Sensing to Confuse Bacterial Pathogens. Microbiol. Mol. Biol. Rev. 2013, 77, 73–111. [Google Scholar] [CrossRef] [PubMed]
- Defoirdt, T. Quorum-Sensing Systems as Targets for Antivirulence Therapy. Trends Microbiol. 2018, 26, 313–328. [Google Scholar] [CrossRef] [PubMed]
- Desouky, S.E.; Hassan, S.E.; El-gamal, M.S.; Ragab, M.A.; Emam, M. Effect of Salvia egypticae and Foeniculum vulgara extracts on quorum sensing and biofilm formation of methicillin resistant/sensitive Staphylococcus aureus isolates. World J. Pharm. Med. Res. 2017, 3, 466–475. [Google Scholar]
- Cegelski, L.; Marshall, G.R.; Eldridge, G.R.; Hultgren, S.J. The Biology and Future Prospects of Antivirulence Therapies. Nat. Rev. Microbiol. 2008, 6, 17–27. [Google Scholar] [CrossRef] [PubMed]
- Clatworthy, A.E.; Pierson, E.; Hung, D.T. Targeting Virulence: A New Paradigm for Antimicrobial Therapy. Nat. Chem. Biol. 2007, 3, 541–548. [Google Scholar] [CrossRef] [PubMed]
- Baquero, F.; Coque, T.M.; de la Cruz, F. Ecology and Evolution as Targets: The Need for Novel Eco-Evo Drugs and Strategies to Fight Antibiotic Resistance. Antimicrob. Agents Chemother. 2011, 55, 3649–3660. [Google Scholar] [CrossRef] [PubMed]
- Alzahrani, A.Y.; Ammar, Y.A.; Salem, M.A.; Abu-Elghait, M.; Ragab, A. Design, Synthesis, Molecular Modeling, and Antimicrobial Potential of Novel 3-[(1H-Pyrazol-3-Yl)Imino]Indolin-2-One Derivatives as DNA Gyrase Inhibitors. Arch. Pharm. 2022, 355, 2100266. [Google Scholar] [CrossRef] [PubMed]
- Mohamed, A.F.; Abuamara, T.M.M.; Amer, M.E.; Ei-Moselhy, L.E.; Gomah, T.A.; Matar, E.R.; Shebl, R.I.; Desouky, S.E.; Abu-Elghait, M. Genetic and Histopathological Alterations in Caco-2 and HuH-7 Cells Treated with Secondary Metabolites of Marine Fungi. J. Gastrointest. Cancer 2021, 1–16. [Google Scholar] [CrossRef]
- Nakayama, J.; Yokohata, R.; Sato, M.; Suzuki, T.; Matsufuji, T.; Nishiguchi, K.; Kawai, T.; Yamanaka, Y.; Nagata, K.; Tanokura, M.; et al. Development of a Peptide Antagonist against Fsr Quorum Sensing of Enterococcus faecalis. ACS Chem. Biol. 2013, 8, 804–811. [Google Scholar] [CrossRef]
- Banhart, S.; Saied, E.M.; Martini, A.; Koch, S.; Aeberhard, L.; Madela, K.; Arenz, C.; Heuer, D. Improved Plaque Assay Identifies a Novel Anti-Chlamydia Ceramide Derivative with Altered Intracellular Localization. Antimicrob. Agents Chemother. 2014, 58, 5537–5546. [Google Scholar] [CrossRef]
- Gaber, A.; Refat, M.S.; Belal, A.A.M.; El-Deen, I.M.; Hassan, N.; Zakaria, R.; Alhomrani, M.; Alamri, A.S.; Alsanie, W.F.; Saied, E.M. New Mononuclear and Binuclear Cu(II), Co(II), Ni(II), and Zn(II) Thiosemicarbazone Complexes with Potential Biological Activity: Antimicrobial and Molecular Docking Study. Molecules 2021, 26, 2288. [Google Scholar] [CrossRef] [PubMed]
- Daly, S.M.; Elmore, B.O.; Kavanaugh, J.S.; Triplett, K.D.; Figueroa, M.; Raja, H.A.; El-Elimat, T.; Crosby, H.A.; Femling, J.K.; Cech, N.B.; et al. ω-Hydroxyemodin Limits Staphylococcus aureus Quorum Sensing-Mediated Pathogenesis and Inflammation. Antimicrob. Agents Chemother. 2015, 59, 2223–2235. [Google Scholar] [CrossRef] [PubMed]
- Gaber, A.; Alsanie, W.F.; Kumar, D.N.; Refat, M.S.; Saied, E.M. Novel Papaverine Metal Complexes with Potential Anticancer Activities. Molecules 2020, 25, 5447. [Google Scholar] [CrossRef] [PubMed]
- Abdelhameed, R.M.; Abu-Elghait, M.; El-Shahat, M. Engineering Titanium-Organic Framework Decorated Silver Molybdate and Silver Vanadate as Antimicrobial, Anticancer Agents, and Photo-Induced Hydroxylation Reactions. J. Photochem. Photobiol. A Chem. 2022, 423, 113572. [Google Scholar] [CrossRef]
- Nakayama, J.; Tanaka, E.; Kariyama, R.; Nagata, K.; Nishiguchi, K.; Mitsuhata, R.; Uemura, Y.; Tanokura, M.; Kumon, H.; Sonomoto, K. Siamycin Attenuates Fsr Quorum Sensing Mediated by a Gelatinase Biosynthesis-Activating Pheromone in Enterococcus faecalis. J. Bacteriol. 2007, 189, 1358–1365. [Google Scholar] [CrossRef] [PubMed]
- Desouky, S.E.; Shojima, A.; Singh, R.P.; Matsufuji, T.; Igarashi, Y.; Suzuki, T.; Yamagaki, T.; Okubo, K.-I.; Ohtani, K.; Sonomoto, K.; et al. Cyclodepsipeptides Produced by Actinomycetes Inhibit Cyclic-Peptide-Mediated Quorum Sensing in Gram-Positive Bacteria. FEMS Microbiol. Lett. 2015, 362, fnv109. [Google Scholar] [CrossRef]
- Momose, I.; Iinuma, H.; Kinoshita, N.; Momose, Y.; Kunimoto, S.; Hamada, M.; Takeuchi, T. Decatromicins A and B, New Antibiotics Produced by Actinomadura sp. MK73-NF4. I. Taxonomy, Isolation, Physico-Chemical Properties and Biological Activities. J. Antibiot. 1999, 52, 781–786. [Google Scholar] [CrossRef][Green Version]
- Imai, H.; Suzuki, K.; Morioka, M.; Numasaki, Y.; Kadota, S.; Nagai, K.; Sato, T.; Iwanami, M.; Saito, T. Okilactomycin, a Novel Antibiotic Produced by a Streptomyces Species. I. Taxonomy, Fermentation, Isolation and Characterization. J. Antibiot. 1987, 40, 1475–1482. [Google Scholar] [CrossRef]
- Zhang, C.; Ondeyka, J.G.; Zink, D.L.; Basilio, A.; Vicente, F.; Salazar, O.; Genilloud, O.; Dorso, K.; Motyl, M.; Byrne, K.; et al. Discovery of Okilactomycin and Congeners from Streptomyces scabrisporus by Antisense Differential Sensitivity Assay Targeting Ribosomal Protein S4. J. Antibiot. 2009, 62, 55–61. [Google Scholar] [CrossRef]
- Desouky, S.E.; Nishiguchi, K.; Zendo, T.; Igarashi, Y.; Williams, P.; Sonomoto, K.; Nakayama, J. High-Throughput Screening of Inhibitors Targeting Agr/Fsr Quorum Sensing in Staphylococcus aureus and Enterococcus faecalis. Biosci. Biotechnol. Biochem. 2013, 77, 923–927. [Google Scholar] [CrossRef]
- Ibrahim, Y.M.; Abouwarda, A.M.; Nasr, T.; Omar, F.A.; Bondock, S. Antibacterial and Anti-Quorum Sensing Activities of a Substituted Thiazole Derivative against Methicillin-Resistant Staphylococcus aureus and Other Multidrug-Resistant Bacteria. Microb. Pathog. 2020, 149, 104500. [Google Scholar] [CrossRef] [PubMed]
- Sommer, M.O.A.; Munck, C.; Toft-Kehler, R.V.; Andersson, D.I. Prediction of Antibiotic Resistance: Time for a New Preclinical Paradigm? Nat. Rev. Microbiol. 2017, 15, 689–696. [Google Scholar] [CrossRef] [PubMed]
- Høiby, N.; Bjarnsholt, T.; Givskov, M.; Molin, S.; Ciofu, O. Antibiotic Resistance of Bacterial Biofilms. Int. J. Antimicrob. Agents 2010, 35, 322–332. [Google Scholar] [CrossRef] [PubMed]
- Cerqueira, G.M.; Peleg, A.Y. Insights into Acinetobacter Baumannii Pathogenicity. IUBMB Life 2011, 63, 1055–1060. [Google Scholar] [CrossRef] [PubMed]
- Kaplan, J.B.; Izano, E.A.; Gopal, P.; Karwacki, M.T.; Kim, S.; Bose, J.L.; Bayles, K.W.; Horswill, A.R. Low Levels of β-Lactam Antibiotics Induce Extracellular DNA Release and Biofilm Formation in Staphylococcus aureus. mBio 2012, 3, e00198-12. [Google Scholar] [CrossRef]
- Shojima, A.; Nakayama, J. Quorum Sensing in Gram-Positive Bacteria: Assay Protocols for Staphylococcal Agr and Enterococcal Fsr Systems. Methods Mol. Biol. 2014, 1147, 33–41. [Google Scholar] [CrossRef]
- Liu, Y.; Mu, C.; Ying, X.; Li, W.; Wu, N.; Dong, J.; Gao, Y.; Shao, N.; Fan, M.; Yang, G. RNAIII Activates Map Expression by Forming an RNA-RNA Complex in Staphylococcus aureus. FEBS Lett. 2011, 585, 899–905. [Google Scholar] [CrossRef]
- Sidote, D.J.; Barbieri, C.M.; Wu, T.; Stock, A.M. Structure of the Staphylococcus aureus AgrA LytTR Domain Bound to DNA Reveals a Beta Fold with an Unusual Mode of Binding. Structure 2008, 16, 727–735. [Google Scholar] [CrossRef] [PubMed]
- Leonard, P.G.; Bezar, I.F.; Sidote, D.J.; Stock, A.M. Identification of a Hydrophobic Cleft in the LytTR Domain of AgrA as a Locus for Small Molecule Interactions That Inhibit DNA Binding. Biochemistry 2012, 51, 10035–10043. [Google Scholar] [CrossRef]
- Tung, T.T.; Jakobsen, T.H.; Dao, T.T.; Fuglsang, A.T.; Givskov, M.; Christensen, S.B.; Nielsen, J. Fusaric Acid and Analogues as Gram-Negative Bacterial Quorum Sensing Inhibitors. Eur. J. Med. Chem. 2017, 126, 1011–1020. [Google Scholar] [CrossRef]
- Nakayama, J.; Uemura, Y.; Nishiguchi, K.; Yoshimura, N.; Igarashi, Y.; Sonomoto, K. Ambuic Acid Inhibits the Biosynthesis of Cyclic Peptide Quormones in Gram-Positive Bacteria. Antimicrob. Agents Chemother. 2009, 53, 580–586. [Google Scholar] [CrossRef] [PubMed]
- Dürr, C.; Schnell, H.-J.; Luzhetskyy, A.; Murillo, R.; Weber, M.; Welzel, K.; Vente, A.; Bechthold, A. Biosynthesis of the Terpene Phenalinolactone in Streptomyces sp. Tü6071: Analysis of the Gene Cluster and Generation of Derivatives. Chem. Biol. 2006, 13, 365–377. [Google Scholar] [CrossRef] [PubMed]
- Węglarz-Tomczak, E.; Talma, M.; Giurg, M.; Westerhoff, H.V.; Janowski, R.; Mucha, A. Neutral Metalloaminopeptidases APN and MetAP2 as Newly Discovered Anticancer Molecular Targets of Actinomycin D and Its Simple Analogs. Oncotarget 2018, 9, 29365–29378. [Google Scholar] [CrossRef] [PubMed]
- Anizon, F.; Belin, L.; Moreau, P.; Sancelme, M.; Voldoire, A.; Prudhomme, M.; Ollier, M.; Sevère, D.; Riou, J.F.; Bailly, C.; et al. Syntheses and Biological Activities (Topoisomerase Inhibition and Antitumor and Antimicrobial Properties) of Rebeccamycin Analogues Bearing Modified Sugar Moieties and Substituted on the Imide Nitrogen with a Methyl Group. J. Med. Chem. 1997, 40, 3456–3465. [Google Scholar] [CrossRef]
- Hall, C.W.; Mah, T.-F. Molecular Mechanisms of Biofilm-Based Antibiotic Resistance and Tolerance in Pathogenic Bacteria. FEMS Microbiol. Rev. 2017, 41, 276–301. [Google Scholar] [CrossRef] [PubMed]
- Harjai, K.; Kumar, R.; Singh, S. Garlic Blocks Quorum Sensing and Attenuates the Virulence of Pseudomonas Aeruginosa. FEMS Immunol. Med. Microbiol. 2010, 58, 161–168. [Google Scholar] [CrossRef]
- Mohamed, D.I.; Abou-Bakr, D.A.; Ezzat, S.F.; El-Kareem, H.F.A.; Nahas, H.H.A.; Saad, H.A.; Mehana, A.E.; Saied, E.M. Vitamin D3 Prevents the Deleterious Effects of Testicular Torsion on Testis by Targeting MiRNA-145 and ADAM17: In Silico and In Vivo Study. Pharmaceuticals 2021, 14, 1222. [Google Scholar] [CrossRef]
- El Azab, I.H.; Saied, E.M.; Osman, A.A.; Mehana, A.E.; Saad, H.A.; Elkanzi, N.A. Novel N-Bridged Pyrazole-1-Carbothioamides with Potential Antiproliferative Activity: Design, Synthesis, in Vitro and in Silico Studies. Future Med. Chem. 2021, 13, 1743–1766. [Google Scholar] [CrossRef]
- Healey, R.D.; Saied, E.M.; Cong, X.; Karsai, G.; Gabellier, L.; Saint-Paul, J.; Del Nero, E.; Jeannot, S.; Drapeau, M.; Fontanel, S.; et al. Discovery and Mechanism of Action of Small Molecule Inhibitors of Ceramidases. Angew. Chem. Int. Ed. 2022, 61, e202109967. [Google Scholar] [CrossRef]
- Samaha, D.; Hamdo, H.H.; Cong, X.; Schumacher, F.; Banhart, S.; Aglar, Ö.; Möller, H.M.; Heuer, D.; Kleuser, B.; Saied, E.M.; et al. Liposomal FRET Assay Identifies Potent Drug-Like Inhibitors of the Ceramide Transport Protein (CERT). Chem.—Eur. J. 2020, 26, 16616–16621. [Google Scholar] [CrossRef]
- Fayed, E.A.; Eissa, S.I.; Bayoumi, A.H.; Gohar, N.A.; Mehany, A.B.M.; Ammar, Y.A. Design, Synthesis, Cytotoxicity and Molecular Modeling Studies of Some Novel Fluorinated Pyrazole-Based Heterocycles as Anticancer and Apoptosis-Inducing Agents. Mol. Divers. 2019, 23, 165–181. [Google Scholar] [CrossRef] [PubMed]
- Kassem, A.F.; Moustafa, G.O.; Nossier, E.S.; Khalaf, H.S.; Mounier, M.M.; Al-Yousef, S.A.; Mahmoud, S.Y. In Vitro Anticancer Potentiality and Molecular Modelling Study of Novel Amino Acid Derivatives Based on N1,N3-Bis-(1-Hydrazinyl-1-Oxopropan-2-Yl) Isophthalamide. J. Enzym. Inhib. Med. Chem. 2019, 34, 1247–1258. [Google Scholar] [CrossRef]
- Fayed, E.A.; Eldin, R.R.E.; Mehany, A.B.M.; Bayoumi, A.H.; Ammar, Y.A. Isatin-Schiff’s Base and Chalcone Hybrids as Chemically Apoptotic Inducers and EGFR Inhibitors; Design, Synthesis, Anti-Proliferative Activities and in Silico Evaluation. J. Mol. Struct. 2021, 1234, 130159. [Google Scholar] [CrossRef]
- Ibrahim, S.A.; Fayed, E.A.; Rizk, H.F.; Desouky, S.E.; Ragab, A. Hydrazonoyl Bromide Precursors as DHFR Inhibitors for the Synthesis of Bis-Thiazolyl Pyrazole Derivatives; Antimicrobial Activities, Antibiofilm, and Drug Combination Studies against MRSA. Bioorg. Chem. 2021, 116, 105339. [Google Scholar] [CrossRef] [PubMed]
- Fayed, E.A.; Nosseir, E.S.; Atef, A.; El-Kalyoubi, S.A. In Vitro Antimicrobial Evaluation and in Silico Studies of Coumarin Derivatives Tagged with Pyrano-Pyridine and Pyrano-Pyrimidine Moieties as DNA Gyrase Inhibitors. Mol. Divers. 2021, 26, 341–363. [Google Scholar] [CrossRef] [PubMed]
- Fayed, E.A.; Ammar, Y.A.; Saleh, M.A.; Bayoumi, A.H.; Belal, A.; Mehany, A.B.M.; Ragab, A. Design, Synthesis, Antiproliferative Evaluation, and Molecular Docking Study of New Quinoxaline Derivatives as Apoptotic Inducers and EGFR Inhibitors. J. Mol. Struct. 2021, 1236, 130317. [Google Scholar] [CrossRef]









| No. | Compound | S. aureus 8325-4 | E. faecalis OG1RF | ||
|---|---|---|---|---|---|
| Growth | Luciferase | Growth | Gelatinase | ||
| 1 | Abyssomicin I | - | - | - | +++ |
| 2 | Bb47-6-4 | - | - | - | - |
| 3 | Bg32-12c | - | - | - | - |
| 4 | Borrelidin | - | - | - | - |
| 5 | Bu–4664L | - | - | - | - |
| 6 | BU–4664LAc | - | - | - | - |
| 7 | BU–4664LMe | - | +++ | - | + |
| 8 | Chi15a | - | - | - | - |
| 9 | Chi93a | - | - | - | - |
| 10 | Chromone | - | - | - | - |
| 11 | Collismycin | - | - | - | - |
| 12 | Coumarine | - | - | - | - |
| 13 | Decatromicin A | +++ | NA | - | +++ |
| 14 | Decatromicin B | +++ | NA | - | +++ |
| 15 | Dehydrogeldamycin | - | ++ | - | - |
| 16 | Derivative EX1 | - | - | - | - |
| 17 | Derivative EX2 | - | - | - | - |
| 18 | Enterocin | - | - | - | - |
| 19 | Mycolic acid | - | - | - | - |
| 20 | Fistupyrone | - | - | - | - |
| 21 | Furanone | - | - | - | - |
| 22 | Gmku | - | - | - | - |
| 23 | HF599 Maleimide | - | - | - | - |
| 24 | Isi1-1-C | - | - | - | - |
| 25 | Leptomycin A | - | - | - | - |
| 26 | Lupinacidin C | - | - | - | - |
| 27 | Lydicamycin | - | - | - | - |
| 28 | I4,5-Lysolipin | +++ | NA | +++ | NA |
| 29 | Maklamicin | +++ | NA | - | - |
| 30 | Mucidone | - | - | - | - |
| 31 | Myxochelinamide | - | - | - | - |
| 32 | Nocardimicin H | - | - | - | - |
| 33 | Okilactomycin | + | NA | - | +++ |
| 34 | Pseurotin A | - | - | - | - |
| 35 | Phenalinolactones A–D | - | +++ | - | - |
| 36 | Pradimicin S | - | - | - | - |
| 37 | Preussin | - | - | - | - |
| 38 | Pristinamycin IIA | - | - | - | - |
| 39 | Pyridoxatin | - | - | - | - |
| 40 | Questinomycin A | - | ++ | - | - |
| 41 | Radiciccol | - | - | - | |
| 42 | Rakicidin A | ++ | NA | +++ | NA |
| 43 | Rakicidin B | ++ | NA | +++ | NA |
| 44 | Rebeccamycin | - | ± | - | +++ |
| 45 | Rishirilide A | - | - | - | +++ |
| 46 | Sek34 | - | - | - | - |
| 47 | Sek34b | - | - | - | - |
| 48 | Sje059-B | - | - | - | - |
| 49 | Sporogen AO-1 | - | - | - | - |
| 50 | Synerazol | - | + | - | +++ |
| 51 | Ta39s5 | - | - | - | - |
| 52 | Tetrangulol | - | - | - | - |
| 53 | Watasemycin A | - | - | - | - |
| 54 | 291-46 | - | - | - | - |
Publisher’s Note: MDPI stays neutral with regard to jurisdictional claims in published maps and institutional affiliations. |
© 2022 by the authors. Licensee MDPI, Basel, Switzerland. This article is an open access article distributed under the terms and conditions of the Creative Commons Attribution (CC BY) license (https://creativecommons.org/licenses/by/4.0/).
Share and Cite
Desouky, S.E.; Abu-Elghait, M.; Fayed, E.A.; Selim, S.; Yousuf, B.; Igarashi, Y.; Abdel-Wahab, B.A.; Mohammed Alsuhaibani, A.; Sonomoto, K.; Nakayama, J. Secondary Metabolites of Actinomycetales as Potent Quorum Sensing Inhibitors Targeting Gram-Positive Pathogens: In Vitro and In Silico Study. Metabolites 2022, 12, 246. https://doi.org/10.3390/metabo12030246
Desouky SE, Abu-Elghait M, Fayed EA, Selim S, Yousuf B, Igarashi Y, Abdel-Wahab BA, Mohammed Alsuhaibani A, Sonomoto K, Nakayama J. Secondary Metabolites of Actinomycetales as Potent Quorum Sensing Inhibitors Targeting Gram-Positive Pathogens: In Vitro and In Silico Study. Metabolites. 2022; 12(3):246. https://doi.org/10.3390/metabo12030246
Chicago/Turabian StyleDesouky, Said E., Mohammed Abu-Elghait, Eman A. Fayed, Samy Selim, Basit Yousuf, Yasuhiro Igarashi, Basel A. Abdel-Wahab, Amnah Mohammed Alsuhaibani, Kenji Sonomoto, and Jiro Nakayama. 2022. "Secondary Metabolites of Actinomycetales as Potent Quorum Sensing Inhibitors Targeting Gram-Positive Pathogens: In Vitro and In Silico Study" Metabolites 12, no. 3: 246. https://doi.org/10.3390/metabo12030246
APA StyleDesouky, S. E., Abu-Elghait, M., Fayed, E. A., Selim, S., Yousuf, B., Igarashi, Y., Abdel-Wahab, B. A., Mohammed Alsuhaibani, A., Sonomoto, K., & Nakayama, J. (2022). Secondary Metabolites of Actinomycetales as Potent Quorum Sensing Inhibitors Targeting Gram-Positive Pathogens: In Vitro and In Silico Study. Metabolites, 12(3), 246. https://doi.org/10.3390/metabo12030246

