Translational Chickpea Genomics Consortium to Accelerate Genetic Gains in Chickpea (Cicer arietinum L.)
Abstract
:1. Introduction
2. Materials and Methods
2.1. Marker-Assisted Backcrossing for Drought Tolerance and Fusarium wilt Resistance
2.2. Development of Trait-Associated Markers
2.3. Multi-Location Trials for Promising Chickpea Lines
2.4. Varietal Adoption through Farmer Participatory Varietal Selection (FPVS) Trials
3. Results
3.1. Genomics-Assisted Breeding
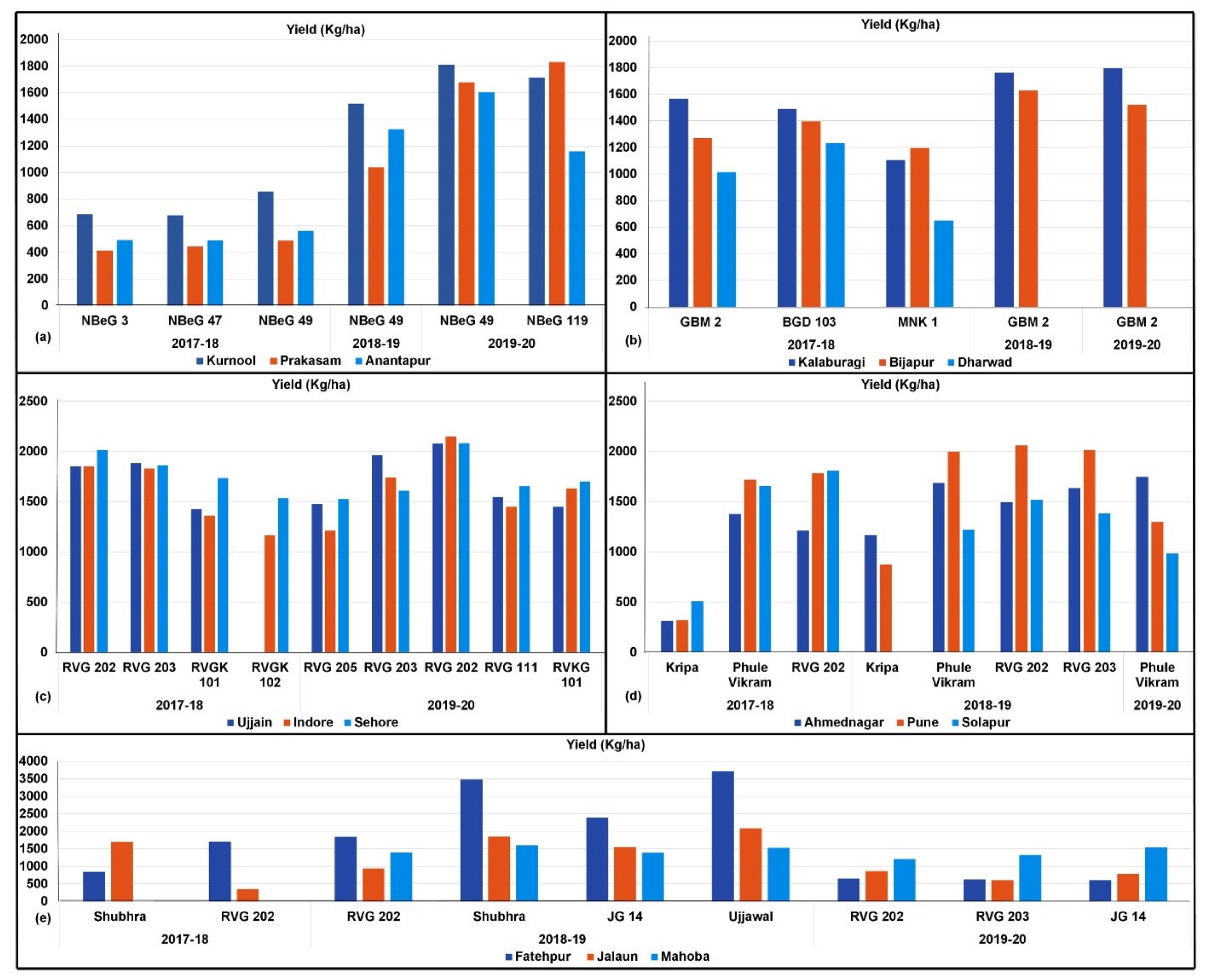
3.2. Mean Performance and Stability of Elite Breeding Lines for Grain Yield in Multi-Location Trials
3.3. Promising Desi Lines for Grain Yield Identified through Multi-Location Trials
3.4. Promising Kabuli Lines for Grain Yield Identified through Multi-Location Trials
3.5. Enhancing Varietal Adoption through FPVS Trials
3.6. Selection of High-Performing Varieties in Different States
4. Conclusions
Supplementary Materials
Author Contributions
Funding
Institutional Review Board Statement
Informed Consent Statement
Data Availability Statement
Acknowledgments
Conflicts of Interest
References
- FAOSTAT. 2020. Available online: http://www.fao.org/faostat/en/#data/QC (accessed on 25 March 2021).
- Sharma, M.; Ghosh, R.; Pande, S. Dry root rot (Rhizoctonia bataticola (Taub.) Butler): An emerging disease of chickpea—Where do we stand. Arch. Phytopathol. Plant Prot. 2015, 48, 797–812. [Google Scholar] [CrossRef]
- Kadiyala, M.D.M.; Kumara, C.D.; Nedumaran, S.D.; Shyam, M.; Gumma, M.K. Agronomic management options for sustaining chickpea yield under climate change scenario. J. Agrometeorol. 2016, 18, 41–47. [Google Scholar]
- Khaliq, A.; Alam, S.; Khan, I.U.; Khan, D.; Naz, S.; Zhang, Y.; Shah, A.A. Integrated control of dry root rot of chickpea caused by Rhizoctonia bataticola under the natural field condition. Biotechnol. Rep. 2020, 25, e00423. [Google Scholar] [CrossRef]
- Thudi, M.; Palakurthi, R.; Schnable, J.C.; Chitikineni, A.; Dreisigacker, S.; Mace, E.; Srivastava, R.K.; Satyavathi, C.T.; Odeny, D.; Tiwari, V.K.; et al. Genomic resources in plant breeding for sustainable agriculture. J. Plant Physiol. 2020, 153351. [Google Scholar] [CrossRef] [PubMed]
- Varshney, R.K.; Song, C.; Saxena, R.K.; Azam, S.; Yu, S.; Sharpe, A.G.; Cannon, S.; Baek, J.; Rosen, B.D.; Tar’an, B.; et al. Draft genome sequence of chickpea (Cicer arietinum) provides a resource for trait improvement. Nat. Biotechnol. 2013, 31, 240–246. [Google Scholar] [CrossRef] [PubMed] [Green Version]
- Thudi, M.; Chitikineni, A.; Liu, X.; He, W.; Roorkiwal, M.; Yang, W.; Jian, J.; Doddamani, D.; Gaur, P.M.; Rathore, A. Recent breeding programs enhanced genetic diversity in both desi and kabuli varieties of chickpea (Cicer arietinum L.). Sci. Rep. 2016, 6, 38636. [Google Scholar] [CrossRef] [Green Version]
- Thudi, M.; Khan, A.W.; Kumar, V.; Gaur, P.M.; Katta, K.; Garg, V.; Roorkiwal, M.; Samineni, S.; Varshney, R.K. Whole genome re-sequencing reveals genome-wide variations among parental lines of 16 mapping populations in chickpea (Cicer arietinum L.). BMC Plant Biol. 2016, 16, 10. [Google Scholar] [CrossRef] [Green Version]
- Varshney, R.K.; Thudi, M.; Roorkiwal, M.; He, W.; Upadhyaya, H.D.; Yang, W.; Bajaj, P.; Cubry, P.; Rathore, A.; Jian, J.; et al. Resequencing of 429 chickpea accessions from 45 countries provides insights into genome diversity, domestication and agronomic traits. Nat. Genet. 2019, 51, 857–864. [Google Scholar] [CrossRef] [Green Version]
- Roorkiwal, M.; Sawargaonkar, S.L.; Chitikineni, A.; Thudi, M.; Saxena, R.K.; Upadhyaya, H.D.; Vales, M.I.; Riera-Lizarazu, O.; Varshney, R.K. Single nucleotide polymorphism genotyping for breeding and genetics applications in chickpea and pigeonpea using the BeadXpress platform. Plant Genome 2013, 6, plantgenome2013.05.0017. [Google Scholar] [CrossRef] [Green Version]
- Roorkiwal, M.; Jain, A.; Kale, S.M.; Doddamani, D.; Chitikineni, A.; Thudi, M.; Varshney, R.K. Development and evaluation of high-density Axiom® Cicer SNP Array for high-resolution genetic mapping and breeding applications in chickpea. Plant Biotechnol. J. 2018, 16, 890–901. [Google Scholar] [CrossRef] [Green Version]
- Varshney, R.K.; Thudi, M.; Nayak, S.N.; Gaur, P.M.; Kashiwagi, J.; Krishnamurthy, L.; Jaganathan, D.; Koppolu, J.; Bohra, A.; Tripathi, S.; et al. Genetic dissection of drought tolerance in chickpea (Cicer arietinum L.). Theor. Appl. Genet. 2014, 127, 445–462. [Google Scholar] [CrossRef]
- Thudi, M.; Upadhyaya, H.D.; Rathore, A.; Gaur, P.M.; Krishnamurthy, L.; Roorkiwal, M.; Nayak, S.N.; Chaturvedi, S.K.; Basu, P.S.; Gangarao, N.V.P.R.; et al. Genetic dissection of drought and heat tolerance in chickpea through genome-wide and candidate gene-based association mapping approaches. PLoS ONE 2014, 9, e96758. [Google Scholar]
- Jaganathan, D.; Thudi, M.; Kale, S.; Azam, S.; Roorkiwal, R.; Gaur, P.M.; Kishor, P.K.; Nguyen, H.; Sutton, T.; Varshney, R.K. Genotyping-by-sequencing based intra-specific genetic map refines a “QTL-hotspot” region for drought tolerance in chickpea. Mol. Genet. 2015, 290, 559–571. [Google Scholar] [CrossRef]
- Kale, S.M.; Jaganathan, D.; Ruperao, P.; Chen, C.; Punna, R.; Kudapa, H.; Thudi, M.; Roorkiwal, M.; Katta, M.A.; Doddamani, D.; et al. Prioritization of candidate genes in “QTL-hotspot” region for drought tolerance in chickpea (Cicer arietinum L.). Sci. Rep. 2015, 5, 15296. [Google Scholar] [CrossRef] [Green Version]
- Soren, K.R.; Madugula, P.; Kumar, N.; Barmukh, R.; Sengar, M.S.; Bharadwaj, C.; Sharma, P.C.; Singh, S.; Bhandari, A.; Singh, J.; et al. Genetic dissection and identification of candidate genes for salinity tolerance using Axiom® CicerSNP Array in chickpea. Int. J. Mol. Sci. 2020, 21, 5058. [Google Scholar] [CrossRef] [PubMed]
- Sabbavarapu, M.M.; Sharma, M.; Chamarthi, S.K.; Swapna, N.; Rathore, A.; Thudi, M.; Gaur, P.M.; Pande, S.; Singh, S.; Kaur, L.; et al. Molecular mapping of QTLs for resistance to fusarium wilt (race 1) and ascochyta blight in chickpea (Cicer arietinum L.). Euphytica 2013, 193, 121–133. [Google Scholar] [CrossRef] [Green Version]
- Garg, T.; Mallikarjuna, B.P.; Thudi, M.; Samineni, S.; Singh, S.; Sandhu, J.S.; Kaur, L.; Singh, I.; Sirari, A.; Basandrai, A.K. Identification of QTLs for resistance to fusarium wilt and ascochyta blight in a recombinant inbred population of chickpea (Cicer arietinum L.). Euphytica 2018, 214, 45. [Google Scholar] [CrossRef] [Green Version]
- Jha, U.C.; Nayyar, H.; Palakurthi, R.; Jha, R.; Valluri, V.; Bajaj, P.; Chitikineni, A.; Singh, N.P.; Varshney, R.K.; Thudi, M. Major QTLs and potential candidate genes for heat stress tolerance identified in chickpea (Cicer arietinum L.). Front. Plant Sci. 2021, 12, 655103. [Google Scholar] [CrossRef] [PubMed]
- Deokar, A.; Sagi, M.; Tar’an, B. Genome-wide SNP discovery for development of high-density genetic map and QTL mapping of ascochyta blight resistance in chickpea (Cicer arietinum L.). Theor. Appl. Genet. 2019, 132, 1861–1872. [Google Scholar] [CrossRef] [PubMed] [Green Version]
- Roorkiwal, M.; Bharadwaj, C.; Barmukh, R.; Dixit, G.P.; Thudi, M.; Gaur, P.M.; Chaturvedi, S.K.; Fikre, A.; Hamwieh, A.; Kumar, S.; et al. Integrating genomics for chickpea improvement: Achievements and opportunities. Theor. Appl. Genet. 2020, 13, 1703–1720. [Google Scholar] [CrossRef] [Green Version]
- SAS Institute Inc. SAS/STAT® 15.1 User’s Guide; SAS Institute Inc.: Cary, NC, USA, 2008. [Google Scholar]
- Yan, W.; Tinker, N.A. Biplot analysis of multi-environment trial data: Principles and applications. Can. J. Plant Sci. 2006, 86, 623–645. [Google Scholar] [CrossRef] [Green Version]
- Varshney, R.K.; Mohan, S.M.; Gaur, P.M.; Chamarthi, S.K.; Singh, V.K.; Srinivasan, S.; Swapna, N.; Sharma, M.; Pande, S.; Singh, S.; et al. Marker-assisted backcrossing to introgress resistance to fusarium wilt race 1 and ascochyta blight in C 214, an elite cultivar of chickpea. Plant Genome 2014, 7, plantgenome2013.10.0035. [Google Scholar] [CrossRef] [Green Version]
- Pratap, A.; Chaturvedi, S.K.; Tomar, R.; Rajan, N.; Malviya, N.; Thudi, M.; Saabale, P.R.; Prajapati, U.; Varshney, R.K.; Singh, N.P. Marker-assisted introgression of resistance to fusarium wilt race 2 in Pusa 256, an elite cultivar of desi chickpea. Mol. Genet. Genom. 2017, 292, 1237–1245. [Google Scholar] [CrossRef] [PubMed] [Green Version]
- Bharadwaj, C.; Tripathi, S.; Soren, K.R.; Thudi, M.; Singh, R.K.; Sheoran, S.; Roorkiwal, M.; Patil, B.S.; Chitikineni, A.; Palakurthi, R.; et al. Introgression of “QTL-hotspot” region enhances drought tolerance and grain yield in three elite chickpea cultivars. Plant Genome 2021, 20076. [Google Scholar] [CrossRef] [PubMed]
- Mannur, D.M.; Babbar, A.; Thudi, M.; Sabbavarapu, M.M.; Roorkiwal, M.; Sharanabasappa, B.Y.; Bansal, V.P.; Jayalakshmi, S.K.; Yadav, S.S.; Rathore, A.; et al. Super Annigeri 1 and improved JG 74: Two fusarium wilt-resistant introgression lines developed using marker-assisted backcrossing approach in chickpea (Cicer arietinum L.). Mol. Breed. 2019, 39, 2. [Google Scholar] [CrossRef] [PubMed] [Green Version]




| Intertek ID | SNP ID | Trait | Sequence * |
|---|---|---|---|
| snpCA0001 | CKAM2210 | Drought | TTAAACTCACTTACCCTCTTTCCTTTCCATTTCCTTTCTTTCAAAATTCTCCTATATCCT[G/T]CTAATACAGATACTTTGCAACCCATTTTTTTTGTCAACAAAGTGTTATTGGGTGAGTTCA |
| snpCA0022 | CKAM2227 | Drought | CGAGGCCCAAATCCAAAACCGGATTCAAATTCATTTTAAATATCCGGTTAAAATCATATG[A/G]TTATAATTTGGTTTATTTATAAACCGGTTGGATAACCACTTATGTTTTATATTTGGATTT |
| snpCA0023 | CKAM2228 | Drought | CATCTGAAGATTATGTGCAGCTTAAGGTGTTGGCGGCAATTCAAGGGGACGCTAGTGTTT[C/G]TAAGGATGACAAAATTGAGCATTTGTTCTTTTCCTTAATGTTTTTTCAAAAACTCTCAAT |
| snpCA0004 | CKAM2179 | Drought | ATGTCTTCGGCTTCCAGATTTGTGTTTGGTGACATGACCGAAGAAAGCTTGAAATGAGCT[G/T]ATAGTGAAGAGCTCACTGCCTTTGATTCACACATATTGAATCTATTTAGAACCTTTCCAA |
| snpCA0006 | CKAM2182 | Drought | AACCACATGAAGAAAATAAATTATGTAAAATGTGTTGTTTCTTCGAATCAACTATGGTAT[C/T]GAGGCTATTCTGGATATCGAAGGGACATAATGAAAGAGAGAGTAGTGGCTTCGAAATGCG |
| snpCA0021 | CKAM2226 | Drought | CGCTATTAAGTACAAAAAATTGTCAAATAGCGGTTATAGCAATCTATAGCGTTGTTGCTT[A/T]GAGGAATATAAATAAACCACTATTTTTCACAATCTGCGATTCACAAAATTGGTATGTATG |
| snpCA0018 | CKAM2223 | Drought | TGAACAAAAACTTCTACGTGATCAGTTTGTCATATTTCACAAAAAAAAAAAAAAGGAATA[A/T]ATGCAATATATGCGGCTCAATTGGATGTTGTAACCATGGATTCTATTGATTAGTGGTCAA |
| snpCA0166 | FW2_30366103 | Fusarium wilt | TTCTATTATATTTTGATACTGTGGAGAATCATAGTCAAATACAATTGATA[C/A]ATACAACTTCAATTGGCCATAGAGGTCAGAGACTTCAAAAACTTTGATGT |
| snpCA0168 | FW2_30366146 | Fusarium wilt | AAATACAATTGATACATACAACTTCAATTGGCCATAGAGGTCAGAGACTT[C/A]AAAAACTTTGATGTCGCAGCTCACATCACTATCACAATCACAATCACAAT |
| State | Center | District | Variety | Number of FPVS Trials | Total FPVS Trials | ||
|---|---|---|---|---|---|---|---|
| 2017–2018 | 2018–2019 | 2019–2020 | |||||
| Andhra Pradesh | RARS-Nandyal | Anantapur, Kurnool and Prakasam | NBeG 47, NBeG 49 and NBeG3 | 30 | 90 | 90 | 210 |
| Karnataka | ARS-Kalaburagi | Bijapur, Dharwad, Gadag and Kalaburagi | GBM 2, BGD103, JAKI 9218 and JG 11 | 20 | 70 | 51 | 141 |
| Madhya Pradesh | RAKCA-Sehore | Indore, Sehore and Ujjain | RVG 202, RVG 203, RVKG 101 RVKG 102, RVG 204, RVG 205 and RVKG111 | 30 | 90 | 90 | 210 |
| Maharashtra | MPKV-Rahuri | Ahmednagar, Pune and Solapur | Phule Vikram, RVG 203, RVG 202 and Kripa | 30 | 98 | 76 | 204 |
| Uttar Pradesh | ICAR-IIPR, Kanpur | Jalaun, Mahoba and Fatehpur | JG 14, Ujjawal, Shubhra and RVG 202 | 25 | 93 | 116 | 234 |
| Effect | Desi Lines | Kabuli Lines |
|---|---|---|
| Variance Components | Variance Components | |
| Environment | 37.94 ** | 52.98 ** |
| Replication (Environment) | 0.37 ** | 0 |
| Block (Environment × Replication) | 0.004 * | 0 |
| Genotype | 0.96 * | 0.73 |
| Environment × Genotype | 8.76 ** | 15.93 ** |
| Residual | 13.96 | 25.28 |
| Desi Lines during 2016–2017 | Andhra Pradesh | Karnataka | Madhya Pradesh | Maharashtra |
|---|---|---|---|---|
| JG 2016-1614 | √ | √ | ||
| IPC 2012-98 | √ | √ | ||
| Kabuli during 2016–2017 | ||||
| ICCX-060010-F3-BP-P17-BP-BP-BP-BP | √ | √ | ||
| IPCK 2013-174 | √ | √ | ||
| SAGL 152225 | √ | |||
| SAGL 152289 | √ | |||
| Desi lines during 2018–2019 | ||||
| IPC 2015-105 | √ | √ | ||
| IPC 2015-120 | √ | √ | ||
| SAGL 152317 | √ | √ | ||
| JG 2016-1614 | √ | √ | ||
| JG 2016-634958 | √ | √ | ||
| JG 2016-921814 | √ | √ | ||
| Kabuli lines during 2018–2019 | ||||
| IPCK 2014-98 | √ | √ | ||
| SAGL 152289 | √ | √ | ||
| ICCX-060010-F3-BP-P6-BP-BP-BP-BP | √ | √ | ||
| State | Year | Variety | Kurnool | Prakasam | Anantapur | Mean |
|---|---|---|---|---|---|---|
| Andhra Pradesh | 2017–2018 | NBeG 3 | 686 | 413 | 492 | 530 |
| NBeG 47 | 679 | 445 | 491 | 538 | ||
| NBeG 49 | 857 | 488 | 561 | 635 | ||
| 2018–2019 | NBeG 49 | 1518 | 1040 | 1326 | 1295 | |
| 2019–2020 | NBeG 49 | 1810 | 1679 | 1606 | 1699 | |
| NBeG 119 | 1716 | 1833 | 1161 | 1503 | ||
| State | Year | Variety | Kalaburagi | Bijapur | Dharwad | Mean |
| Karnataka | 2017–2018 | GBM 2 | 1565 | 1270 | 1016 | 1284 |
| BGD 103 | 1490 | 1395 | 1232 | 1372 | ||
| MNK 1 | 1105 | 1195 | 650 | 983 | ||
| 2018–2019 | GBM 2 | 1763 | 1628 | - | 1696 | |
| 2019–2020 | GBM 2 | 1795 | 1521 | - | 1658 | |
| State | Year | Variety | Ujjain | Indore | Sehore | Mean |
| Madhya Pradesh | 2017–2018 | RVG 202 | 1854 | 1852 | 2014 | 1907 |
| RVG 203 | 1886 | 1830 | 1864 | 1860 | ||
| RVGK 101 | 1429 | 1359 | 1737 | 1508 | ||
| RVGK 102 | - | 1165 | 1537 | 1351 | ||
| 2019–2020 | RVG 205 | 1476 | 1212 | 1528 | 1405 | |
| RVG 203 | 1965 | 1741 | 1610 | 1772 | ||
| RVG 202 | 2080 | 2150 | 2085 | 2105 | ||
| RVG 111 | 1548 | 1450 | 1654 | 1551 | ||
| RVKG 101 | 1450 | 1633 | 1700 | 1594 | ||
| State | Year | Variety | Ahmednagar | Pune | Solapur | Mean |
| Maharashtra | 2017–2018 | Kripa | 315 | 320 | 509 | 381 |
| Phule Vikram | 1380 | 1720 | 1658 | 1586 | ||
| RVG 202 | 1211 | 1785 | 1809 | 1602 | ||
| 2018–2019 | Kripa | 1169 | 875 | - | 1022 | |
| Phule Vikram | 1688 | 2000 | 1222 | 1637 | ||
| RVG 202 | 1495 | 2062 | 1521 | 1693 | ||
| RVG 203 | 1637 | 2015 | 1384 | 1679 | ||
| 2019–2020 | Phule Vikram | 1746 | 1298 | 987 | 1344 | |
| State | Year | Variety | Fatehpur | Jalaun | Mahoba | Mean |
| Uttar Pradesh | 2017–2018 | Shubhra | 850 | 1700 | - | 1275 |
| RVG 202 | 1715 | 350 | - | 1033 | ||
| 2018–2019 | RVG 202 | 1846 | 938 | 1401 | 1395 | |
| Shubhra | 3484 | 1853 | 1608 | 2315 | ||
| JG 14 | 2388 | 1556 | 1392 | 1779 | ||
| Ujjawal | 3718 | 2085 | 1529 | 2444 | ||
| 2019–2020 | RVG 202 | 650 | 869 | 1209 | 909 | |
| RVG 203 | 629 | 610 | 1325 | 855 | ||
| JG 14 | 608 | 786 | 1548 | 980 |
| Effect | Andhra Pradesh (Nandyal) 2017–2018 | Karnataka (Kalaburagi) 2017–2018 | Madhya Pradesh (Sehore) 2017–2018 | Maharashtra (Rahuri) 2017–2018 | Maharashtra (Rahuri) 2018–2019 | Uttar Pradesh (Kanpur) 2017–2018 | Uttar Pradesh (Kanpur) 2018–2019 |
|---|---|---|---|---|---|---|---|
| District | 2.1 | 9.50 ** | 2.02 | 0.81 | 0.79 | 3.3 | 6.77 ** |
| Variety | 7.26 ** | 89.79 ** | 27.47 ** | 0.08 | 0.02 | 3.67 | 0.26 |
| District × Variety | 1.75 | 36.26 ** | 2 | 0.59 | 0.21 | 1.29 | 0.29 |
| Residual | 0.25 | 0.52 | 1.57 | 10.78 | 7.47 | 14.87 | 14.98 |
Publisher’s Note: MDPI stays neutral with regard to jurisdictional claims in published maps and institutional affiliations. |
© 2021 by the authors. Licensee MDPI, Basel, Switzerland. This article is an open access article distributed under the terms and conditions of the Creative Commons Attribution (CC BY) license (https://creativecommons.org/licenses/by/4.0/).
Share and Cite
Palakurthi, R.; Jayalakshmi, V.; Kumar, Y.; Kulwal, P.; Yasin, M.; Kute, N.S.; Laxuman, C.; Yeri, S.; Vemula, A.; Rathore, A.; et al. Translational Chickpea Genomics Consortium to Accelerate Genetic Gains in Chickpea (Cicer arietinum L.). Plants 2021, 10, 2583. https://doi.org/10.3390/plants10122583
Palakurthi R, Jayalakshmi V, Kumar Y, Kulwal P, Yasin M, Kute NS, Laxuman C, Yeri S, Vemula A, Rathore A, et al. Translational Chickpea Genomics Consortium to Accelerate Genetic Gains in Chickpea (Cicer arietinum L.). Plants. 2021; 10(12):2583. https://doi.org/10.3390/plants10122583
Chicago/Turabian StylePalakurthi, Ramesh, Veera Jayalakshmi, Yogesh Kumar, Pawan Kulwal, Mohammad Yasin, Nandkumar Surendra Kute, Chinchole Laxuman, Sharanabasappa Yeri, Anilkumar Vemula, Abhishek Rathore, and et al. 2021. "Translational Chickpea Genomics Consortium to Accelerate Genetic Gains in Chickpea (Cicer arietinum L.)" Plants 10, no. 12: 2583. https://doi.org/10.3390/plants10122583
APA StylePalakurthi, R., Jayalakshmi, V., Kumar, Y., Kulwal, P., Yasin, M., Kute, N. S., Laxuman, C., Yeri, S., Vemula, A., Rathore, A., Samineni, S., Soren, K. R., Mondal, B., Dixit, G. P., Bharadwaj, C., Chaturvedi, S. K., Gaur, P. M., Roorkiwal, M., Thudi, M., ... Varshney, R. K. (2021). Translational Chickpea Genomics Consortium to Accelerate Genetic Gains in Chickpea (Cicer arietinum L.). Plants, 10(12), 2583. https://doi.org/10.3390/plants10122583

