Biological Activities of Some Isoquinoline Alkaloids from Fumaria schleicheri Soy. Will.
Abstract
:1. Introduction
2. Results
2.1. Quantification of the Total Alkaloids Content
2.2. Identification and Quantification of Alkaloids from F. schleicheri Extracts by HPLC-DAD
2.3. Antioxidant Activity of the F. schleicheri Extract
2.4. Anti-Cholinesterase Activity of the F. schleicheri Extract
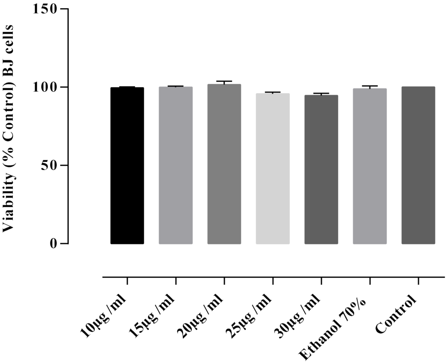
2.5. In Vitro Cytotoxic Activity of the F. schleicheri Extract
3. Discussion
4. Materials and Methods
4.1. Chemicals and Reagents
4.2. Plant Material
4.3. Extraction Technique
4.4. Preparation of Standard Solutions and Sample Preparation for HPLC-DAD
4.5. Quantification of Total Alkaloid Content
4.6. HPLC-DAD Conditions
4.7. Antioxidant Activity Assays
4.8. Anti-Cholinesterase Activity Assays
4.9. Cytotoxic Activity Assessment
4.10. Statistical Analysis
5. Conclusions
Supplementary Materials
Author Contributions
Funding
Institutional Review Board Statement
Informed Consent Statement
Data Availability Statement
Acknowledgments
Conflicts of Interest
References
- Tutin, T.G.; Burges, N.A.; Chater, A.O.; Edmonson, J.R.; Heywood, V.H.; Moore, D.M.; Valentine, D.H.; Walters, S.M.; Webb, D.A. Flora Europaea, Vol. 1 (Psilotaceae to Platanaceae), 2nd ed.; Cambridge University Press: Cambridge, UK, 2010. [Google Scholar]
- Pérez-Gutiérrez, M.A.; Romero-García, A.T.; Salinas, M.J.; Blanca, G.; Carmen Fernández, M.; Suárez-Santiago, V.N. Phylogeny of the Tribe Fumarieae (Papaveraceae s.l.) Based on Chloroplast and Nuclear DNA Sequences: Evolutionary and Biogeographic Implications. Am. J. Bot. 2012, 99, 517–528. [Google Scholar] [CrossRef] [PubMed]
- Pǎltinean, R.; Mocan, A.; Vlase, L.; Gheldiu, A.M.; Crişan, G.; Ielciu, I.; Voştinaru, O.; Crişan, O. Evaluation of Polyphenolic Content, Antioxidant and Diuretic Activities of Six Fumaria Species. Molecules 2017, 22, 639. [Google Scholar] [CrossRef] [PubMed] [Green Version]
- Pǎltinean, R.; Wauters, J.N.; Tits, M.; Frédérich, M.; Angenot, L.; Tǎmaş, M.; Crişan, G. Comparative Morphological Studies on Some Species of the Genus Fumaria. Farmacia 2013, 61, 371–377. [Google Scholar]
- Săvulescu, T. Flora Republicii Populare Române; Editura Academiei R.P.R.: Bucureşti, Romania, 1955; Volume III. [Google Scholar]
- Ciocârlan, V. Flora Ilustrată a României, Pteridophyta et Spermatophyta; Editura Ceres: Bucureşti, Romania, 2000; pp. 579–582. [Google Scholar]
- Goetz, P.; Ghedira, K.; Le Jeune, R. Fumaria officinalis L. (Fumariaceae). Phytotherapie 2009, 7, 221–225. [Google Scholar] [CrossRef]
- Dutta, R.; Sharma, M.K.; Jha, M. A Review on Ethnobotanical, Phytochemistry, Bioactivities and Medicinal Mysteries of Fumaria officinalis (Common Fumitory). EAS J. Pharm. Pharmacol. 2019, 1, 99–105. [Google Scholar] [CrossRef]
- Al-Snafi, A.E. Constituents and Pharmacology of Fumaria officinalis—A Review. IOSR J. Pharm. 2020, 10, 17–25. [Google Scholar]
- Ivanov, I.G.; Vrancheva, R.Z.; Marchev, A.S.; Petkova, N.T.; Aneva, I.Y.; Panteley, D.P.; Georgiev, V.G.; Pavlov, A.I. Antioxidant Activities and Phenolic Compounds in Bulgarian Fumaria Species. Int. J. Curr. Microbiol. Appl. Sci. 2014, 3, 296–306. [Google Scholar]
- Zhang, R.; Guo, Q.; Kennelly, E.J.; Long, C.; Chai, X. Diverse Alkaloids and Biological Activities of Fumaria (Papaveraceae): An Ethnomedicinal Group. Fitoterapia 2020, 146, 104697. [Google Scholar] [CrossRef]
- Pǎltinean, R.; Toiu, A.; Wauters, J.N.; Frédérich, M.; Tits, M.; Angenot, L.; Tǎmaş, M.; Crişan, G. Identification and Determination of Alkaloids in Fumaria Species from Romania. Dig. J. Nanomater. Biostruct. 2013, 8, 817–824. [Google Scholar]
- Khamtache-Abderrahim, S.; Lequart-Pillon, M.; Gontier, E.; Gaillard, I.; Pilard, S.; Mathiron, D.; Djoudad-Kadji, H.; Maiza-Benabdesselam, F. Isoquinoline Alkaloid Fractions of Fumaria officinalis: Characterization and Evaluation of Their Antioxidant and Antibacterial Activities. Ind. Crop. Prod. 2016, 94, 1001–1008. [Google Scholar] [CrossRef]
- Chlebek, J.; Novák, Z.; Kassemová, D.; Šafratová, M.; Kostelník, J.; Malý, L.; Ločárek, M.; Opletal, L.; Hošt’Álková, A.; Hrabinová, M.; et al. Isoquinoline Alkaloids from Fumaria officinalis L. and Their Biological Activities Related to Alzheimer’s Disease. Chem. Biodivers. 2016, 13, 91–99. [Google Scholar] [CrossRef] [PubMed]
- Tsyvunin, V.; Shtrygol, S.Y. Antiepileptic Potential of Fumaria Schleicheri and Ocimun Basilicum Dry Extracts. News Pharm. 2015, 1, 64–68. [Google Scholar] [CrossRef]
- Tsyvunin, V.; Shtrygol, S.; Gorbatch, T.; Shtrygol’, D. Anticonvulsant Activity of Fumaria Schleicheri Dry Extract and Sodium Valproate: Role of Neurotrophin and Cytokine Pathways. Thai J. Pharm. Sci. 2020, 44, 46–51. [Google Scholar]
- Prokopenko, Y.; Tsyvunin, V.; Shtrygol, S.; Georgiyants, V. In Vivo Anticonvulsant Activity of Extracts and Protopine from the Fumaria Schleicheri Herb. Sci. Pharm. 2016, 84, 547–554. [Google Scholar] [CrossRef] [Green Version]
- Tsyvunin, V.; Shtrygol, S.Y.; Gorbatch, T.V. Experimental Investigation of Antiepileptic Potential and Mechanisms of Anticonvulsivant Action of Dry Extract of Fumaria schleicheri. News Pharm. 2015, 341–342. [Google Scholar]
- Tsyvunin, V.; Shtrygol, S.Y.; Prokopenko, Y.S. Neuroprotective Properties of Dry Extracts of Fumaria schleicheri and Ocimum basilicum. Rev. Clin. Pharmacol. Drug Ther. 2013, 11, 66–71. [Google Scholar] [CrossRef] [Green Version]
- Kiryakov, H.G.; Mardirosyan, Z.H.; Panov, P.P. Alkaloids from Fumaria Schleicheri Soy Will. Comptes Rendus L’acad. Bulg. Sci. 1980, 33, 1377–1379. [Google Scholar]
- Radu, A.; Tămaş, M.; Olah, B. Cercetări Asupra Alcaloizilor Din Unele Specii de Fumaria. Farmacia 1979, 26, 1–5. [Google Scholar]
- Kiryakov, H.G.; Mardirossian, Z.H.; Hughes, D.W.; Maclean, D.B. Fumschleicherine, an Alkaloid of Fumaria Schleicheri. Phytochemistry 1980, 19, 2507–2509. [Google Scholar] [CrossRef]
- Adham, A.N.; Naqishbandi, A.M.; Efferth, T. Cytotoxicity and Apoptosis Induction by Fumaria officinalis Extracts in Leukemia and Multiple Myeloma Cell Lines. J. Ethnopharmacol. 2021, 266, 113458. [Google Scholar] [CrossRef]
- Petruczynik, A.; Plech, T.; Tuzimski, T.; Misiurek, J.; Kapron, B.; Misiurek, D.; Szultka-Mlynska, M.; Buszewski, B.; Waksmundzka-Hajnos, M. Determination of Selected Isoquinoline Alkaloids from Mahonia Aquifolia; Meconopsis Cambrica; Corydalis Lutea; Dicentra Spectabilis; Fumaria Officinalis; Macleaya Cordata Extracts by HPLC-DAD and Comparison of Their Cytotoxic Activity. Toxins 2019, 11, 575. [Google Scholar] [CrossRef] [Green Version]
- Chlebek, J.; Doskočil, I.; Hulcová, D.; Breiterová, K.; Šafratová, M.; Havelek, R.; Habartová, K.; Hoštálková, A.; Volštátová, T.; Cahlíková, L. Cytotoxicity of Naturally Occurring Isoquinoline Alkaloids of Different Structural Types. Nat. Prod. Commun. 2016, 11, 753–756. [Google Scholar] [CrossRef] [PubMed] [Green Version]
- Orhan, I.; Sener, B. Acetylcholinesterase Inhibitors from Natural Resources. J. Pharm. Sci. 2003, 28, 51–58. [Google Scholar]
- Dhivya, P.S.; Sobiya, M.; Selvamani, P.; Latha, S. An Approach to Alzheimer’s Disease Treatment with Cholinesterase Inhibitory Activity from Various Plant Species. Int. J. PharmTech Res. 2014, 6, 1450–1468. [Google Scholar]
- Vrancheva, R.Z.; Ivanov, I.G.; Aneva, I.Y.; Dincheva, I.N.; Badjakov, I.K.; Pavlov, A.I. Alkaloid Profiles and Acetylcholinesterase Inhibitory Activities of Fumaria Species from Bulgaria. Zeitschrift Naturforsch.—Sect. C J. Biosci. 2016, 71, 9–14. [Google Scholar] [CrossRef] [PubMed]
- Singh, G.K.; Rai, G.; Chatterjee, S.S.; Kumar, V. Effects of Ethanolic Extract of Fumaria indica L. on Rat Cognitive Dysfunctions. AYU Int. Q. J. Res. Ayurveda 2013, 34, 421–429. [Google Scholar] [CrossRef] [Green Version]
- Vrancheva, R.Z.; Ivanov, I.G.; Aneva, I.Y.; Dincheva, I.N.; Badjakov, I.K.; Pavlov, A.I. GC-MS Based Metabolite Profiling of Five Bulgarian Fumaria Species. J. Biosci. Biotechnol. 2014, 3, 195–201. [Google Scholar]
- Roy, A. A Review on the Alkaloids an Important Therapeutic Compound from Plants. Int. J. Plant Biotechnol. 2017, 3, 9. [Google Scholar]
- Dey, P.; Kundu, A.; Kumar, A.; Gupta, M.; Lee, B.M.; Bhakta, T.; Dash, S.; Kim, H.S. Analysis of Alkaloids (Indole Alkaloids, Isoquinoline Alkaloids, Tropane Alkaloids); Elsevier Inc.: Amsterdam, The Netherlands, 2020. [Google Scholar] [CrossRef]
- Hanganu, D.; Niculae, M.; Ielciu, I.; Olah, N.-K.; Munteanu, M.; Burtescu, R.; Ştefan, R.; Olar, L.; Pall, E.; Andrei, S.; et al. Chemical Profile, Cytotoxic Activity and Oxidative Stress Reduction of Different Syringa vulgaris L. Extracts. Molecules 2021, 26, 3104. [Google Scholar] [CrossRef]
- Ielciu, I.; Sevastre, B.; Olah, N.-K.; Turdean, A.; Chişe, E.; Marica, R.; Oniga, I.; Uifălean, A.; Sevastre-Berghian, A.C.; Niculae, M.; et al. Evaluation of Hepatoprotective Activity and Oxidative Stress Reduction of Rosmarinus officinalis L. Shoots Tincture in Rats with Experimentally Induced Hepatotoxicity. Molecules 2021, 26, 1737. [Google Scholar] [CrossRef]
- Sevastre-Berghian, A.C.; Ielciu, I.; Mitre, A.O.; Filip, G.A.; Oniga, I.; Vlase, L.; Benedec, D.; Gheldiu, A.-M.; Toma, V.A.; Mihart, B.; et al. Targeting Oxidative Stress Reduction and Inhibition of HDAC1, MECP2, and NF-KB Pathways in Rats With Experimentally Induced Hyperglycemia by Administration of Thymus marshallianus Willd. Extracts. Front. Pharmacol. 2020, 11, 581470. [Google Scholar] [CrossRef] [PubMed]
- Sener, B.; Orhan, I. Exploring Turkish Biodiversity: A Rich Source of Chemical Diversity for Drug Leads Discovery. Pure Appl. Chem. 2011, 83, 1699–1707. [Google Scholar] [CrossRef]
- Maiza-Benabdesselam, F.; Chibane, M.; Madani, K.; Max, H.; Adach, S. Determination of Isoquinoline Alkaloids Contents in Two Algerian Species of Fumaria (Fumaria capreolata and Fumaria bastardi). Afr. J. Biotechnol. 2007, 6, 2487–2492. [Google Scholar] [CrossRef]
- Suau, R.; Cabezudo, B.; Rico, R.; López-Romero, J.M.; Nájera, F. Alkaloids from Fumaria sepium and Fumaria agraria. Biochem. Syst. Ecol. 2002, 30, 263–265. [Google Scholar] [CrossRef]
- Păltinean, R.; Toiu, A.; Wauters, J.N.; Frédérich, M.; Tits, M.; Angenot, L.; Tămaş, M.; Crişan, G. Phytochemical Analysis of Fumaria officinalis L. (Fumariaceae). Farmacia 2016, 64, 409–413. [Google Scholar]
- Tuzimski, T.; Petruczynik, A. Application of HPLC-DAD for In Vitro Investigation of Acetylcholinesterase Inhibition Activity of Selected Isoquinoline Alkaloids from Sanguinaria canadensis Extracts. Molecules 2021, 26, 230. [Google Scholar] [CrossRef]
- Ielciu, I.; Hanganu, D.; Păltinean, R.; Vlase, L.; Frédérich, M.; Gheldiu, A.-M.; Benedec, D.; Crişan, G. Antioxidant Capacity and Polyphenolic Content of the Echinocystis Lobata (Michx.) Torr. et A.Gray Flowers. Pak. J. Pharm. Sci. 2018, 31 (Suppl. 2), 677–683. [Google Scholar]
- Ielciu, I.; Mouithys-Mickalad, A.; Franck, T.; Angenot, L.; Ledoux, A.; Păltinean, R.; Cieckiewicz, E.; Etienne, D.; Tits, M.; Crişan, G.; et al. Flavonoid Composition, Cellular Antioxidant Activity and (Myelo)Peroxidase Inhibition of a Bryonia alba L. (Cucurbitaceae) Leaves Extract. J. Pharm. Pharmacol. 2019, 71, 230–239. [Google Scholar] [CrossRef]
- Ielciu, I.; Frederich, M.; Hanganu, D.; Angenot, L.; Olah, N.-K.; Ledoux, A.; Crisan, G.; Păltinean, R. Flavonoid Analysis and Antioxidant Activities of the Bryonia alba L. Aerial Parts. Antioxidants 2019, 8, 108. [Google Scholar] [CrossRef] [Green Version]
- Ledoux, A.; St-Gelais, A.; Cieckiewicz, E.; Jansen, O.; Bordignon, A.; Illien, B.; Di Giovanni, N.; Marvilliers, A.; Hoareau, F.; Pendeville, H.; et al. Antimalarial Activities of Alkyl Cyclohexenone Derivatives Isolated from the Leaves of Poupartia borbonica. J. Nat. Prod. 2017, 80, 1750–1757. [Google Scholar] [CrossRef]
- Babotă, M.; Voştinaru, O.; Păltinean, R.; Mihali, C.; Dias, M.I.; Barros, L.; Ferreira, I.C.F.R.; Mocan, A.; Crişan, O.; Nicula, C.; et al. Chemical Composition, Diuretic, and Antityrosinase Activity of Traditionally Used Romanian Cerasorum stipites. Front. Pharmacol. 2021, 12, 1–11. [Google Scholar] [CrossRef] [PubMed]
- Mocan, A.; Babotă, M.; Pop, A.; Fizeșan, I.; Diuzheva, A.; Locatelli, M.; Carradori, S.; Campestre, C.; Menghini, L.; Sisea, C.R.; et al. Chemical Constituents and Biologic Activities of Sage Species: A Comparison between Salvia officinalis L., S. glutinosa L. and S. transsylvanica (Schur Ex Griseb. & Schenk) Schur. Antioxidants 2020, 9, 480. [Google Scholar] [CrossRef]
- European Directorate for the Quality of Medicines & Health Care. European Pharmacopoeia, 9th ed.; European Directorate for the Quality of Medicines & Health Care: Strasbourg, France, 2017. [Google Scholar]
- Coetzee, D.D.; López, V.; Smith, C. High-Mesembrine Sceletium Extract (TrimesemineTM) Is a Monoamine Releasing Agent, Rather than Only a Selective Serotonin Reuptake Inhibitor. J. Ethnopharmacol. 2016, 177, 111–116. [Google Scholar] [CrossRef] [PubMed]
- Sevastre, B.; Sárpataki, O.; Stan, R.L.; Taulescu, M.; Sevastre-Berghian, A.C.; Olah, N.K.; Furtuna, F.; Hanganu, D.; Hangan, A.C.; Cenariu, M.; et al. Anticancer Activity of Euonymus europaeus Fruits Extract on Human Melanoma Cells. Farmacia 2017, 65, 56–62. [Google Scholar]
- Rugină, D.; Hanganu, D.; Diaconeasa, Z.; Tăbăran, F.; Coman, C.; Leopold, L.; Bunea, A.; Pintea, A. Antiproliferative and Apoptotic Potential of Cyanidin-Based Anthocyanins on Melanoma Cells. Int. J. Mol. Sci. 2017, 18, 949. [Google Scholar] [CrossRef] [Green Version]
- Stan, R.L.; Hangan, A.C.; Dican, L.; Sevastre, B.; Hanganu, D.; Cătoi, C.; Sarpataki, O.; Ionescu, C.M. Comparative Study Concerning Mistletoe Viscotoxins Antitumor Activity. Acta Biol. Hung. 2013, 64, 279–288. [Google Scholar] [CrossRef]




| Sample | Total Alkaloid Content (g Chelidonine/100 g Vegetal Product %) |
|---|---|
| FS1 | 0.52 ± 0.23 b |
| FS2 | 0.60 ± 0.03 b |
| FS3 | 0.86 ± 0.11 a |
| Compound | Retention Time Rt (min) | UV λmax (nm) |
|---|---|---|
| Protopine | 24.79 ± 0.14 | 210, 290 |
| Bicuculline | 22.40 ± 0.04 | 200, 230 |
| Chelidonine | 26.29 ± 0.08 | 200, 290 |
| Stylopine | 27.25 ± 0.10 | 200, 290 |
| Sanguinarine | 29.13 ± 0.03 | 280, 330 |
| Compound (mg/100 g Dry Weight) | FS1 | FS2 | FS3 |
|---|---|---|---|
| Protopine | 191.08 ± 0.56 | 217.49 ± 0.02 | 126.45 ± 0.11 |
| Stylopine | 24.59 ± 0.20 a | <LoQ | 3.55 ± 0.02 b |
| Bicuculline | 67.16 ± 0.55 a | 3.77 ± 0.03 c | 26.84 ± 0.20 b |
| Sanguinarine | 5.61 ± 0.04 a | 2.11 ± 0.03 b | 1.67 ± 0.016 c |
| Chelidonine | <LoQ | <LoQ | <LoQ |
| Sample | DPPH (mg Trollox Equivalents/g Dry Extract) | FRAP (mg Trollox Equivalents/g Dry Extract) |
|---|---|---|
| FS1 | 38.93 ± 0.59 | 68.03 ± 0.46 a |
| FS2 | 32.50 ± 1.35 | 39.30 ± 0.13 c |
| FS3 | 29.07 ± 1.36 | 50.65 ± 0.65 b |
| Sample | AchE Inhibition IC50 (µg/mL) | Galantamine IC50 (µg/mL) |
|---|---|---|
| FS1 | 456.72 ± 50.63 b | 2.00 ± 0.47 |
| FS2 | 381.83 ± 102.90 | |
| FS3 | 349.24 ± 51.42 a |
| Sample | Harvesting Place |
|---|---|
| FS1 | Deva. Hunedoara County |
| FS2 | Târgu Mureş, Mureş county |
| FS3 | Nădăşel, Cluj county |
Publisher’s Note: MDPI stays neutral with regard to jurisdictional claims in published maps and institutional affiliations. |
© 2022 by the authors. Licensee MDPI, Basel, Switzerland. This article is an open access article distributed under the terms and conditions of the Creative Commons Attribution (CC BY) license (https://creativecommons.org/licenses/by/4.0/).
Share and Cite
Păltinean, R.; Ielciu, I.; Hanganu, D.; Niculae, M.; Pall, E.; Angenot, L.; Tits, M.; Mocan, A.; Babotă, M.; Frumuzachi, O.; et al. Biological Activities of Some Isoquinoline Alkaloids from Fumaria schleicheri Soy. Will. Plants 2022, 11, 1202. https://doi.org/10.3390/plants11091202
Păltinean R, Ielciu I, Hanganu D, Niculae M, Pall E, Angenot L, Tits M, Mocan A, Babotă M, Frumuzachi O, et al. Biological Activities of Some Isoquinoline Alkaloids from Fumaria schleicheri Soy. Will. Plants. 2022; 11(9):1202. https://doi.org/10.3390/plants11091202
Chicago/Turabian StylePăltinean, Ramona, Irina Ielciu, Daniela Hanganu, Mihaela Niculae, Emoke Pall, Luc Angenot, Monique Tits, Andrei Mocan, Mihai Babotă, Oleg Frumuzachi, and et al. 2022. "Biological Activities of Some Isoquinoline Alkaloids from Fumaria schleicheri Soy. Will." Plants 11, no. 9: 1202. https://doi.org/10.3390/plants11091202
APA StylePăltinean, R., Ielciu, I., Hanganu, D., Niculae, M., Pall, E., Angenot, L., Tits, M., Mocan, A., Babotă, M., Frumuzachi, O., Tămaş, M., Crişan, G., & Frederich, M. (2022). Biological Activities of Some Isoquinoline Alkaloids from Fumaria schleicheri Soy. Will. Plants, 11(9), 1202. https://doi.org/10.3390/plants11091202

