Comparison of Different Machine Learning Algorithms for the Prediction of the Wheat Grain Filling Stage Using RGB Images
Abstract
:1. Introduction
2. Results
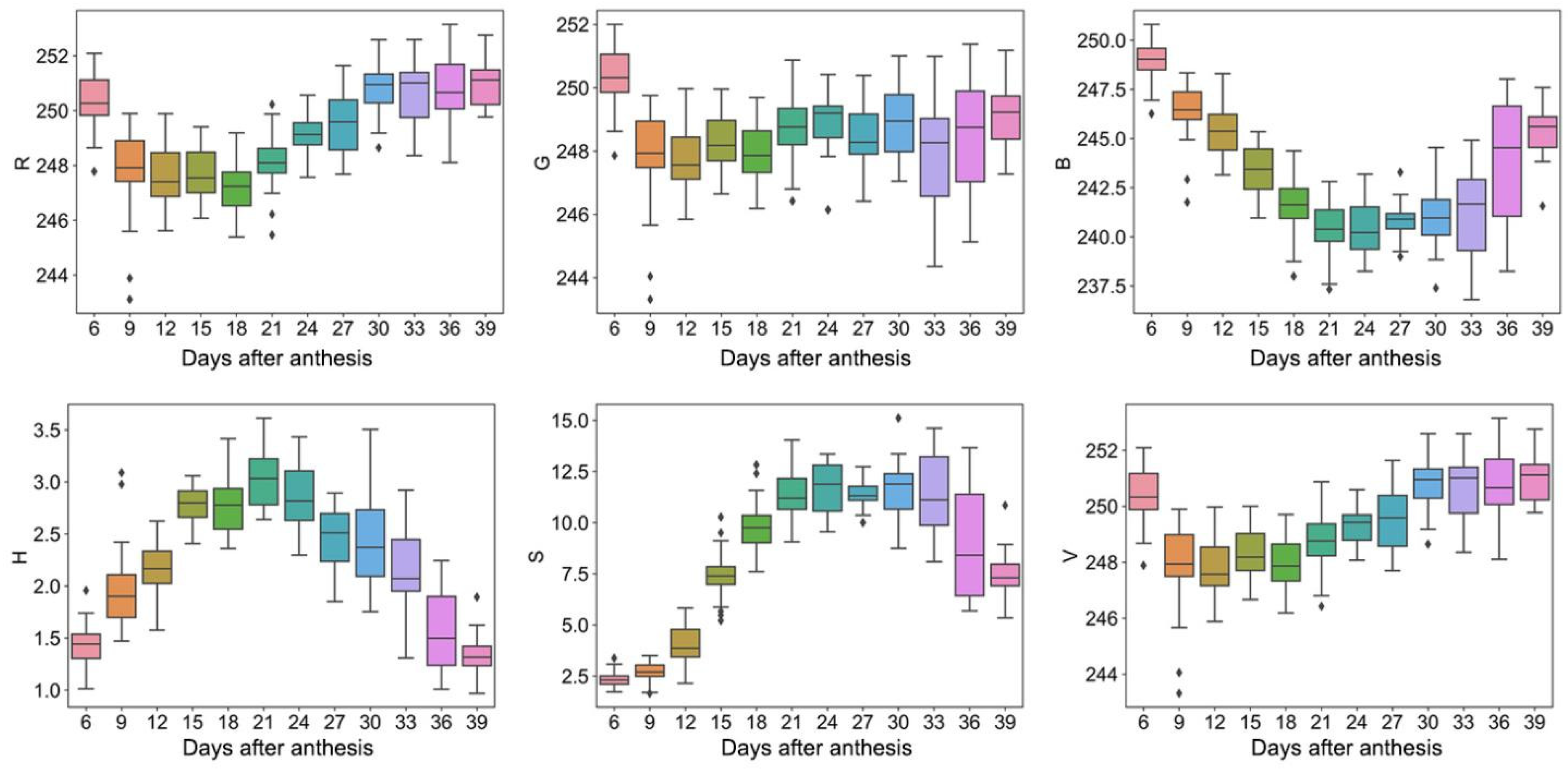
2.1. Grain Filling Dynamics of Color, Shape, and Texture Traits
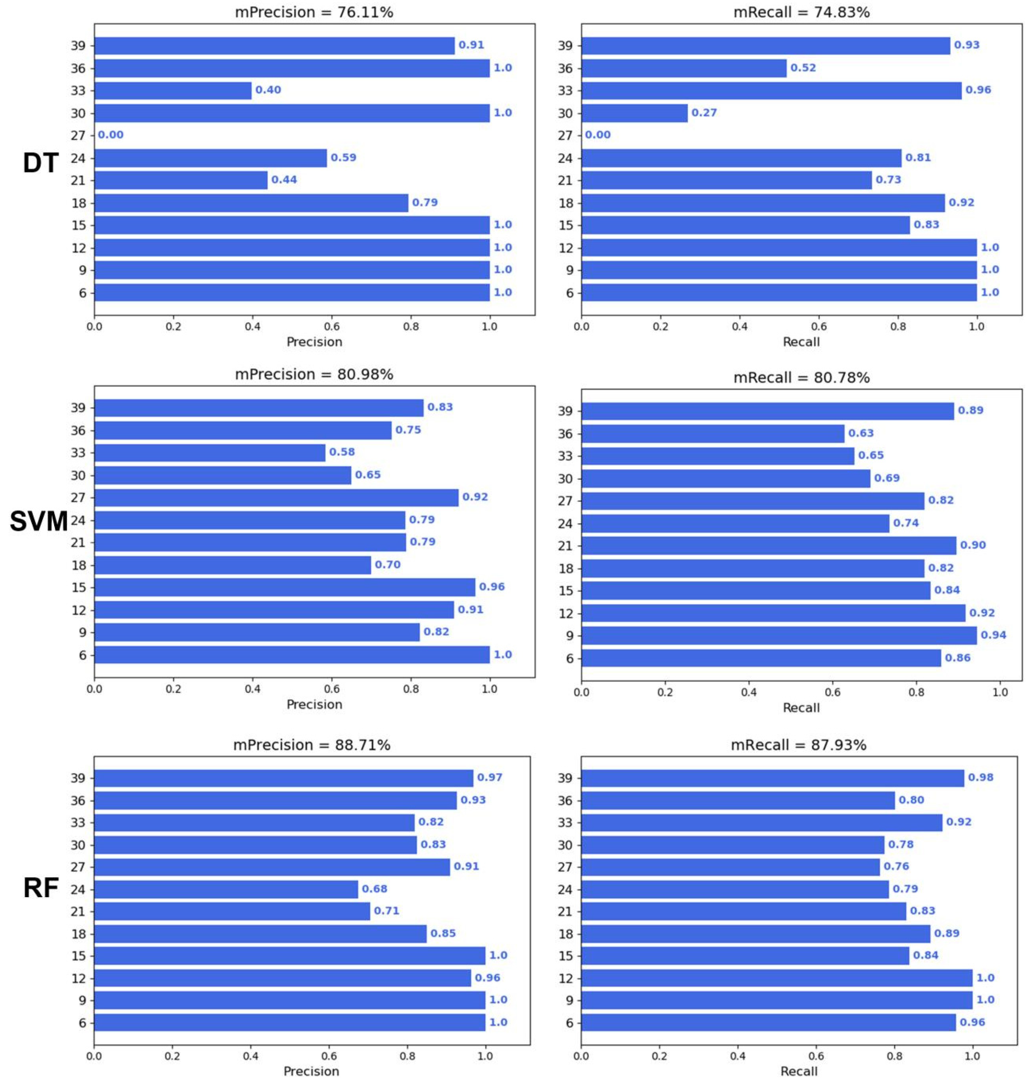
2.2. Machine Learning Performance for Predicting DAA
2.3. Deep Learning Performance for Predicting DAA
2.4. Few-Shot Learning Performance for Predicting DAA
3. Materials and Methods
3.1. Plant Material and Growth Conditions
3.2. RGB Image Acquisition and Processing
3.3. Dataset Construction
3.3.1. Dataset for Traditional Machine Learning
3.3.2. Dataset for Deep Learning
3.3.3. Dataset for Few-Shot Learning
3.4. Model Construction
3.5. Model Evaluation
4. Discussion
5. Conclusions
Supplementary Materials
Author Contributions
Funding
Data Availability Statement
Acknowledgments
Conflicts of Interest
References
- Kumar, S.B.; Prabhasankar, P. Low glycemic index ingredients and modified starches in wheat based food processing: A review. Trends Food Sci. Technol. 2014, 35, 32–41. [Google Scholar] [CrossRef]
- Xie, Q.; Mayes, S.; Sparkes, D.L. Carpel size, grain filling, and morphology determine individual grain weight in wheat. J. Exp. Bot. 2015, 66, 6715–6730. [Google Scholar] [CrossRef] [PubMed]
- Djanaguiraman, M.; Narayanan, S.; Erdayani, E.; Prasad, P.V.V. Effects of high temperature stress during anthesis and grain filling periods on photosynthesis, lipids and grain yield in wheat. BMC Plant Biol. 2020, 20, 268. [Google Scholar] [CrossRef] [PubMed]
- Sofield, I.; Evans, L.; Cook, M.; Wardlaw, I. Factors influencing the rate and duration of grain filling in wheat. Funct. Plant Biol. 1977, 4, 785–797. [Google Scholar] [CrossRef]
- Ullah, A.; Nadeem, F.; Nawaz, A.; Siddique, K.H.M.; Farooq, M. Heat stress effects on the reproductive physiology and yield of wheat. J. Agron. Crop Sci. 2022, 208, 1–17. [Google Scholar] [CrossRef]
- Bhullar, S.; Jenner, C. Effects of temperature on the conversion of sucrose to starch in the developing wheat endosperm. Funct. Plant Biol. 1986, 13, 605–615. [Google Scholar] [CrossRef]
- Yang, X.-S.; Liang, Z.-Y.; Li, H.; Shen, W.-N.; Li, M.-X.; Xi, Y.-J.; Wang, Z.-L.; Liu, S.-D. Analysis on Genetic Model of Grain Characteristics in Common Wheat by Mixed Inheritance Model of Major Genes Plus Polygenes. J. Triticeae Crops 2013, 33, 1119–1127. [Google Scholar]
- Patrício, D.I.; Rieder, R. Computer vision and artificial intelligence in precision agriculture for grain crops: A systematic review. Comput. Electron. Agric. 2018, 153, 69–81. [Google Scholar] [CrossRef]
- Breseghello, F.; Sorrells, M.E. QTL analysis of kernel size and shape in two hexaploid wheat mapping populations. Field Crops Res. 2007, 101, 172–179. [Google Scholar] [CrossRef]
- Majumdar, S.; Jayas, D. Classification of bulk samples of cereal grains using machine vision. J. Agric. Eng. Res. 1999, 73, 35–47. [Google Scholar] [CrossRef]
- Zhu, J.; Li, H.; Rao, Z.; Ji, H. Identification of slightly sprouted wheat kernels using hyperspectral imaging technology and different deep convolutional neural networks. Food Control 2023, 143, 109291. [Google Scholar] [CrossRef]
- Neethirajan, S.; Jayas, D.S.; White, N. Detection of sprouted wheat kernels using soft X-ray image analysis. J. Food Eng. 2007, 81, 509–513. [Google Scholar] [CrossRef]
- Li, Q.; Jin, S.; Zang, J.; Wang, X.; Sun, Z.; Li, Z.; Xu, S.; Ma, Q.; Su, Y.; Guo, Q.; et al. Deciphering the contributions of spectral and structural data to wheat yield estimation from proximal sensing. Crop J. 2022, 10, 1334–1345. [Google Scholar] [CrossRef]
- Liu, S.; Jin, X.; Nie, C.; Wang, S.; Yu, X.; Cheng, M.; Shao, M.; Wang, Z.; Tuohuti, N.; Bai, Y.; et al. Estimating leaf area index using unmanned aerial vehicle data: Shallow vs. deep machine learning algorithms. Plant Physiol 2021, 187, 1551–1576. [Google Scholar] [CrossRef] [PubMed]
- Tu, K.; Wen, S.; Cheng, Y.; Xu, Y.; Pan, T.; Hou, H.; Gu, R.; Wang, J.; Wang, F.; Sun, Q. A model for genuineness detection in genetically and phenotypically similar maize variety seeds based on hyperspectral imaging and machine learning. Plant Methods 2022, 18, 1–17. [Google Scholar] [CrossRef] [PubMed]
- Sun, Z.; Li, Q.; Jin, S.; Song, Y.; Xu, S.; Wang, X.; Cai, J.; Zhou, Q.; Ge, Y.; Zhang, R.; et al. Simultaneous prediction of wheat yield and grain protein content using multitask deep learning from time-series proximal sensing. Plant Phenomics 2022, 2022, 9757948. [Google Scholar] [CrossRef] [PubMed]
- Taghavi Namin, S.; Esmaeilzadeh, M.; Najafi, M.; Brown, T.B.; Borevitz, J.O. Deep phenotyping: Deep learning for temporal phenotype/genotype classification. Plant Methods 2018, 14, 66. [Google Scholar] [CrossRef]
- Zhong, F.; Chen, Z.; Zhang, Y.; Xia, F. Zero-and few-shot learning for diseases recognition of Citrus aurantium L. using conditional adversarial autoencoders. Comput. Electron. Agric. 2020, 179, 105828. [Google Scholar] [CrossRef]
- Liang, X. Few-shot cotton leaf spots disease classification based on metric learning. Plant Methods 2021, 17, 114. [Google Scholar] [CrossRef]
- Li, Y.; Chao, X. Semi-supervised few-shot learning approach for plant diseases recognition. Plant Methods 2021, 17, 68. [Google Scholar] [CrossRef]
- Zhao, C.; Liu, B.; Piao, S.; Wang, X.; Lobell, D.B.; Huang, Y.; Huang, M.; Yao, Y.; Bassu, S.; Ciais, P.; et al. Temperature increase reduces global yields of major crops in four independent estimates. Proc. Natl. Acad. Sci. USA 2017, 114, 9326–9331. [Google Scholar] [CrossRef] [PubMed]
- Liu, D.; Yu, J. Otsu method and K-means. In Proceedings of the 2009 Ninth International Conference on Hybrid Intelligent Systems, Shenyang, China, 12–14 August 2009. [Google Scholar]
- Lake, B.M.; Salakhutdinov, R.; Tenenbaum, J.B. Human-level concept learning through probabilistic program induction. Science 2015, 350, 1332–1338. [Google Scholar] [CrossRef] [PubMed]
- Tsai, C.-F.; Hsu, Y.-F.; Yen, D.C. A comparative study of classifier ensembles for bankruptcy prediction. Appl. Soft Comput. 2014, 24, 977–984. [Google Scholar] [CrossRef]
- Argüeso, D.; Picon, A.; Irusta, U.; Medela, A.; San-Emeterio, M.G.; Bereciartua, A.; Alvarez-Gila, A. Few-Shot Learning approach for plant disease classification using images taken in the field. Comput. Electron. Agric. 2020, 175, 105542. [Google Scholar] [CrossRef]
- Shewry, P.R.; Underwood, C.; Wan, Y.; Lovegrove, A.; Bhandari, D.; Toole, G.; Mills, E.C.; Denyer, K.; Mitchell, R.A. Storage product synthesis and accumulation in developing grains of wheat. J. Cereal Sci. 2009, 50, 106–112. [Google Scholar] [CrossRef]
- Shewry, P.R.; Mitchell, R.A.; Tosi, P.; Wan, Y.; Underwood, C.; Lovegrove, A.; Freeman, J.; Toole, G.A.; Mills, E.C.; Ward, J.L. An integrated study of grain development of wheat (cv. Hereward). J. Cereal Sci. 2012, 56, 21–30. [Google Scholar] [CrossRef]
- Liaw, A.; Wiener, M. Classification and Regression by randomForest. R News 2002, 23, 18–22. [Google Scholar]
- Mortazi, A.; Bagci, U. Automatically designing CNN architectures for medical image segmentation. In Proceedings of the Machine Learning in Medical Imaging: 9th International Workshop, MLMI 2018, Held in Conjunction with MICCAI 2018, Granada, Spain, 16 September 2018. [Google Scholar]
- Han, K.; Xiao, A.; Wu, E.; Guo, J.; Xu, C.; Wang, Y. Transformer in transformer. In Proceedings of the Neural Information Processing Systems, Online, 6–14 December 2021; Volume 34, pp. 15908–15919. [Google Scholar]
- Moutik, O.; Sekkat, H.; Tigani, S.; Chehri, A.; Saadane, R.; Tchakoucht, T.A.; Paul, A. Convolutional neural networks or vision transformers: Who will win the race for action recognitions in visual data? Sensors 2023, 23, 734. [Google Scholar] [CrossRef]
- Li, Y.; Chao, X. ANN-based continual classification in agriculture. Agriculture 2020, 10, 178. [Google Scholar] [CrossRef]








| Network Architecture | mPrecision | mRecall | F1-Score | Model Size (MB) |
|---|---|---|---|---|
| HRnet18 | 0.9781 | 0.9767 | 0.9774 | 74.37 |
| Densenet121 | 0.9758 | 0.9750 | 0.9754 | 27.15 |
| Inception v3 | 0.9522 | 0.9483 | 0.9502 | 83.51 |
| VGG 16 | 0.9424 | 0.9400 | 0.9412 | 512.36 |
| Resnet18 | 0.9633 | 0.9600 | 0.96165 | 42.73 |
| Resnet50 | 0.9850 | 0.9854 | 0.9852 | 90.07 |
| Resnet101 | 0.9749 | 0.9733 | 0.9741 | 162.82 |
| ViT | 0.9903 | 0.9900 | 0.9901 | 146.01 |
Disclaimer/Publisher’s Note: The statements, opinions and data contained in all publications are solely those of the individual author(s) and contributor(s) and not of MDPI and/or the editor(s). MDPI and/or the editor(s) disclaim responsibility for any injury to people or property resulting from any ideas, methods, instructions or products referred to in the content. |
© 2023 by the authors. Licensee MDPI, Basel, Switzerland. This article is an open access article distributed under the terms and conditions of the Creative Commons Attribution (CC BY) license (https://creativecommons.org/licenses/by/4.0/).
Share and Cite
Song, Y.; Sun, Z.; Zhang, R.; Min, H.; Li, Q.; Cai, J.; Wang, X.; Zhou, Q.; Jiang, D. Comparison of Different Machine Learning Algorithms for the Prediction of the Wheat Grain Filling Stage Using RGB Images. Plants 2023, 12, 4043. https://doi.org/10.3390/plants12234043
Song Y, Sun Z, Zhang R, Min H, Li Q, Cai J, Wang X, Zhou Q, Jiang D. Comparison of Different Machine Learning Algorithms for the Prediction of the Wheat Grain Filling Stage Using RGB Images. Plants. 2023; 12(23):4043. https://doi.org/10.3390/plants12234043
Chicago/Turabian StyleSong, Yunlin, Zhuangzhuang Sun, Ruinan Zhang, Haijiang Min, Qing Li, Jian Cai, Xiao Wang, Qin Zhou, and Dong Jiang. 2023. "Comparison of Different Machine Learning Algorithms for the Prediction of the Wheat Grain Filling Stage Using RGB Images" Plants 12, no. 23: 4043. https://doi.org/10.3390/plants12234043
APA StyleSong, Y., Sun, Z., Zhang, R., Min, H., Li, Q., Cai, J., Wang, X., Zhou, Q., & Jiang, D. (2023). Comparison of Different Machine Learning Algorithms for the Prediction of the Wheat Grain Filling Stage Using RGB Images. Plants, 12(23), 4043. https://doi.org/10.3390/plants12234043

