Warm Temperature Increments Strengthen the Crosstalk between Roots and Soil in the Rhizosphere of Soybean Seedlings
Abstract
:1. Introduction
2. Results
2.1. In Situ Determination of Root Enzyme Activity
2.1.1. Determination of the β-Glucosidase Source
2.1.2. Enzyme Activity Increased along the Taproot from the Root Base to the Root Tip
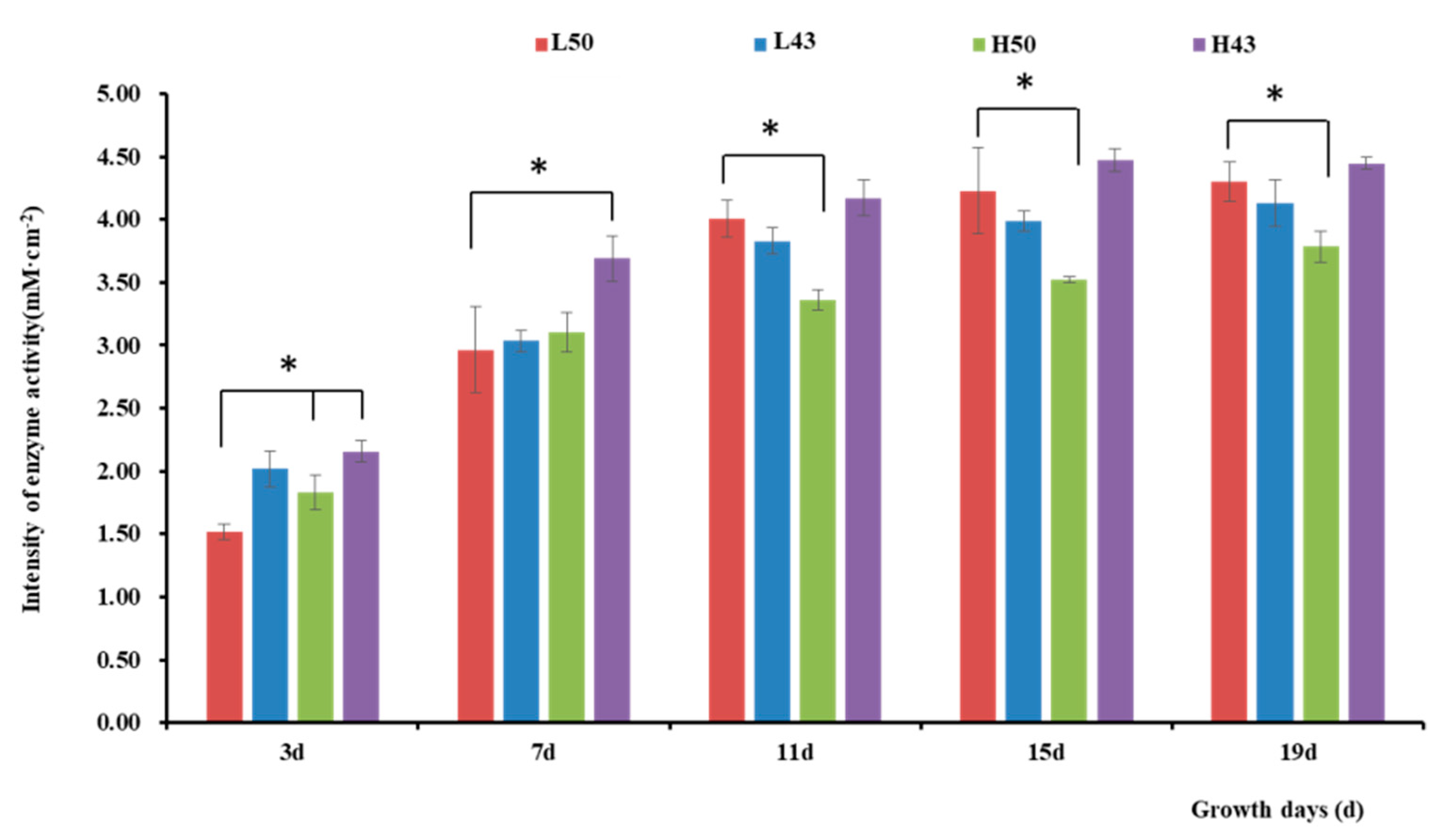
2.1.3. The Change in Enzyme Activity Strength along the Lateral Root System of Soybeans
2.1.4. Exploration of Enzyme Kinetics in Soybean Rhizosphere and Non-Rhizosphere Soil
2.2. Rhizosphere Soil Microbial Diversity
2.2.1. Depth Assessment of Soil Sample Sequencing
2.2.2. Changes in Soil Microbial Community Richness and Diversity in the Soybean Rhizosphere
2.2.3. Composition of the Soybean Rhizosphere Soil Microbial Community
2.3. Soil Total Organic Carbon Determination
3. Discussions
3.1. The Important Role of Roots in Plant Growth
3.2. Effect of Temperature on Rhizosphere Enzymatic Activity
3.3. Soil Microbial Community Structure
3.4. Soil Total Organic Carbon
3.5. Summary of the Impact of Warm Environmental Temperature on the Rhizosphere in Soybean Seedling Roots
4. Materials and Methods
4.1. Plant Materials
4.2. Method for Root Growth in the Root Cassette
4.3. Soybean Seeding Growing Conditions
4.4. Soil Enzyme Activity In Situ Measurement
4.4.1. Enzyme Spectrum Analysis and UV Imaging
4.4.2. Processing and Analysis of Enzyme Spectrum Images
4.4.3. Extraction of Soil Microbial Genomic DNA
4.4.4. Determination of Organic Carbon
4.4.5. Enzyme Kinetics Determination
4.4.6. Data Processing and Analysis
5. Conclusions
Author Contributions
Funding
Data Availability Statement
Acknowledgments
Conflicts of Interest
References
- Rogers, E.D.; Monaenkova, D.; Mijar, M.; Nori, A.; Goldman, D.I.; Benfey, P.N. X-ray computed tomography reveals the response of root system architecture to soil texture. Plant Physiol. 2016, 171, 2028–2040. [Google Scholar] [CrossRef]
- Thierfelder, C.; Mhlanga, B. Short-term yield gains or long-term sustainability?—A synthesis of Conservation Agriculture long-term experiments in Southern Africa. Agric. Ecosyst. Environ. 2022, 326, 107812. [Google Scholar] [CrossRef]
- Zhang, G.; Hou, Y.; Zhang, H.; Fan, H.; Wen, X.; Han, J.; Liao, Y. Optimizing planting pattern and nitrogen application rate improves grain yield and water use efficiency for rain-fed spring maize by promoting root growth and reducing redundant root growth. Soil Till. Res. 2022, 220, 105385. [Google Scholar] [CrossRef]
- Yuan, Y.; Zuo, J.; Zhang, H.; Zu, M.; Liu, S. The Chinese medicinal plants rhizosphere: Metabolites, microorganisms, and interaction. Rhizosphere 2022, 22, 100540. [Google Scholar] [CrossRef]
- Song, X.; Razavi, B.S.; Ludwig, B.; Zamanian, K.; Gunina, A. Combined biochar and nitrogen application stimulates enzyme activity and root plasticity. Sci. Total Environ. 2020, 735, 139393. [Google Scholar] [CrossRef]
- Kuzyakov, Y.; Blagodatskaya, E. Microbial hotspots and hot moments in soil: Concept & review. Soil Boil Biochem. 2015, 83, 184–199. [Google Scholar]
- López, J.L.; Fourie, A.; Poppeliers, S.W.; Pappas, N.; Sánchez-Gil, J.J.; Dutilh, B.E. Growth rate is a dominant factor predicting the rhizosphere effect. ISME J. 2023, 17, 1396–1405. [Google Scholar] [CrossRef]
- Bais, H.P.; Park, S.W.; Weir, T.L.; Callaway, R.M.; Vivanco, J.M. How plants communicate using the underground information superhighway. Trends Plant Sci. 2004, 9, 26–32. [Google Scholar] [CrossRef]
- Eisenhauer, N. Aboveground–belowground interactions as a source of complementarity effects in biodiversity experiments. Plant Soil 2012, 351, 1–22. [Google Scholar] [CrossRef]
- Bisseling, T.; Dangl, J.L.; Schulze-Lefert, P. Next-generation communication. Science 2009, 324, 691. [Google Scholar] [CrossRef]
- Huang, A.C.; Jiang, T.; Liu, Y.X.; Bai, Y.C.; Reed, J.; Qu, B.; Goossens, A.; Nützmann, H.W.; Bai, Y.; Osbourn, A. A specialized metabolic network selectively modulates Arabidopsis root microbiota. Science 2019, 364, eaau6389. [Google Scholar] [CrossRef] [PubMed]
- Li, Y.; Chen, Y.; Fu, Y.; Shao, J.; Liu, Y.; Xuan, W.; Xu, G.; Zhang, R. Signal communication during microbial modulation of root system architecture. J. Exp. Bot. 2023, 8, erad263. [Google Scholar] [CrossRef] [PubMed]
- Sun, X.; Ye, Y.; Ma, Q.; Guan, Q.; Jones, D.L. Variation in enzyme activities involved in carbon and nitrogen cycling in rhizosphere and bulk soil after organic mulching. Rhizosphere 2021, 19, 100376. [Google Scholar] [CrossRef]
- Wan, P.; He, R.; Wang, P.; Cao, A. Implementation of different forest management methods in a natural forest: Changes in soil microbial biomass and enzyme activities. FEM 2022, 520, 120409. [Google Scholar] [CrossRef]
- Badalucco, L.; Nannipieri, P. The Rhizosphere: Biochemistry and Organic Substances at the Soil-Plant Interface. Ann. Bot. 2009, 104, ix–x. [Google Scholar]
- Nannipieri, P.; Gianfreda, L. Kinetics of enzyme reactions in soil environments. Struct. Surf. React. Soil Part. 1998, 449–479. [Google Scholar]
- Pathan, S.I.; Ceccherini, M.T.; Hansen, M.A.; Giagnoni, L.; Ascher, J.; Arenella, M.; Sørensen, S.J.; Pietramellara, G.; Nannipieri, P.; Renella, G. Maize lines with different nitrogen use efficiency select bacterial communities with different β-glucosidase-encoding genes and glucosidase activity in the rhizosphere. Biol. Fert. Soils 2015, 51, 995–1004. [Google Scholar] [CrossRef]
- Zhang, Y.; Sun, C.; Chen, L.; Duan, Z. Catalytic potential of soil hydrolases in northeast China under different soil moisture conditions. J. Soil. Sci. Plant Nutr. 2009, 9, 116–124. [Google Scholar] [CrossRef]
- Nanmpieri, P.; Ceccanti, B.; Bianchi, D. Characterization of humus-phosphatase complexes extracted from soil. Soil Boil. Biochem. 1988, 20, 683–691. [Google Scholar] [CrossRef]
- Wallenstein, M.D.; Weintraub, M.N. Emerging tools for measuring and modeling the in-situ activity of soil extracellular enzymes. Soil Boil. Biochem. 2008, 40, 2098–2106. [Google Scholar] [CrossRef]
- Nannipieri, P.; Giagnoni, L.; Renella, G.; Puglisi, E.; Ceccanti, B.; Masciandaro, G.; Fornasier, F.; Moscatelli, M.C.; Marinari, S. Soil enzymology: Classical and molecular approaches. Biol. Fert. Soils 2012, 48, 743–762. [Google Scholar] [CrossRef]
- Uksa, M.; Schloter, M.; Kautz, T.; Athmann, M.; Köpke, U.; Fischer, D. Spatial variability of hydrolytic and oxidative potential enzyme activities in different subsoil compartments. Biol. Fert. Soils 2015, 51, 517–521. [Google Scholar] [CrossRef]
- Ullah, S.; Ai, C.; Huang, S.; Zhang, J.; Jia, L.; Ma, J.; Zhou, W.; He, P. The responses of extracellular enzyme activities and microbial community composition under nitrogen addition in an upland soil. PLoS ONE 2019, 14, e0223026. [Google Scholar] [CrossRef] [PubMed]
- Schmidt, M.W.I.; Torn, M.S.; Abiven, S.; Dittmar, T.; Guggenberger, G.; Janssens, I.A.; Kleber, M.; Kögel-Knabner, I.; Lehmann, J.; Manning, D.A.C. Persistence of soil organic matter as an ecosystem property. Nature 2011, 478, 49–56. [Google Scholar] [CrossRef] [PubMed]
- Długosz, J.; Piotrowska-Długosz, A. Changes in carbon-degrading enzyme activities and microbial biomass content–The effect of soil depth and soil-forming processes. Appl. Soil Ecol. 2022, 180, 104629. [Google Scholar] [CrossRef]
- Turner, B.L.; Hopkins, D.W.; Haygarth, P.M.; Ostle, N. β-Glucosidase activity in pasture soils. Appl. Soil Ecol. 2002, 20, 157–162. [Google Scholar] [CrossRef]
- Gilmore, S.P.; Henske, J.K.; O’Malley, M.A. Driving biomass breakdown through engineered cellulosomes. Bioengineered 2015, 6, 204–208. [Google Scholar] [CrossRef]
- Haddad, S.A.; Lemanowicz, J.; Abd El-Azeim, M.M. Cellulose decomposition in clay and sandy soils contaminated with heavy metals. Int. J. Environ. Sci. Technol. 2019, 16, 3275–3290. [Google Scholar] [CrossRef]
- Lei, Z.; XU, S.; Monreal, C.M.; Mclaughlin, N.B.; Zhao, B.; Liu, J.; Hao, G. Bentonite-humic acid improves soil organic carbon, microbial biomass, enzyme activities and grain quality in a sandy soil cropped to maize (Zea mays L.) in a semi-arid region. J. Integr. Agric. 2022, 21, 208–221. [Google Scholar]
- Ahmed, S.A.; Diffenbaugh, N.S.; Hertel, T.W.; Martin, W.J. Agriculture and trade opportunities for Tanzania: Past volatility and future climate change. Rev. Dev. Econ. 2012, 16, 429–447. [Google Scholar] [CrossRef]
- Waldrop, M.P.; Firestone, M.K. Altered utilization patterns of young and old soil C by microorganisms caused by temperature shifts and N additions. Biogeochemistry 2004, 67, 235–248. [Google Scholar] [CrossRef]
- Zogg, G.P.; Zak, D.R.; Ringelberg, D.B.; White, D.C.; MacDonald, N.W.; Pregitzer, K.S. Compositional and functional shifts in microbial communities due to soil warming. Soil Sci. Soc. Am. J. 1997, 61, 475–481. [Google Scholar] [CrossRef]
- Li, Y.; Zhou, H.; Chen, W.; Wu, Y.; Qiao, L.; Yan, Z.; Liu, B.; Xue, S. Long-term warming does not affect soil ecoenzyme activity and original microbial nutrient limitation on the Qinghai—Tibet Plateau. Soil Ecol. Lett. 2022, 4, 383–398. [Google Scholar] [CrossRef]
- Moorhead, D.L.; Linkins, A.E. Elevated CO2 alters belowground exoenzyme activities in tussock tundra. Plant Soil 1997, 189, 321–329. [Google Scholar] [CrossRef]
- Tscherko, D.; Kandeler, E.; Jones, T.H. Effect of temperature on below-ground N-dynamics in a weedy model ecosystem at ambient and elevated atmospheric CO2 levels. Soil Boil. Biochem. 2001, 33, 491–501. [Google Scholar] [CrossRef]
- Amato, K.R.; Yeoman, C.J.; Kent, A.; Righini, N.; Carbonero, F.; Estrada, A.; Gaskins, H.R.; Stumpf, R.M.; Yildirim, S.; Torralba, M. Habitat degradation impacts black howler monkey (Alouatta pigra) gastrointestinal microbiomes. ISME J 2013, 7, 1344–1353. [Google Scholar] [CrossRef]
- Klose, S.; Tabatabai, M.A. Response of phosphomonoesterases in soils to chloroform fumigation. J. Plant Nutr. Soil Sci. 2002, 165, 429–434. [Google Scholar] [CrossRef]
- Kalyani, D.C.; Reichenbach, T.; Aspeborg, H.; Divne, C. A homodimeric bacterial exo-β-1, 3-glucanase derived from moose rumen microbiome shows a structural framework similar to yeast exo-β-1, 3-glucanases. Enzyme Microb. Technol. 2021, 143, 109723. [Google Scholar] [CrossRef]
- Phukongchai, W.; Kaewpradit, W.; Rasche, F. Inoculation of cellulolytic and ligninolytic microorganisms accelerates decomposition of high C/N and cellulose rich sugarcane straw in tropical sandy soils. Appl. Soil Ecol. 2022, 172, 104355. [Google Scholar] [CrossRef]
- Zhu, X.; Han, Y.; Feng, Y.; Cheng, P.; Peng, Y.; Wang, J.; Cai, J.; Chen, Y. Formation and emission characteristics of intermediate volatile organic compounds (IVOCs) from the combustion of biomass and their cellulose, hemicellulose, and lignin. Atmos. Environ. 2022, 286, 119217. [Google Scholar] [CrossRef]
- Neupane, A.; Bulbul, I.; Wang, Z.; Lehman, R.M.; Nafziger, E.; Marzano, S.Y.L. Long term crop rotation effect on subsequent soybean yield explained by soil and root-associated microbiomes and soil health indicators. Sci. Rep.-UK 2021, 11, 9200. [Google Scholar] [CrossRef] [PubMed]
- Wang, X.; Wang, B.; Gu, W.; Li, J. Effects of Carbon-Based Fertilizer on Soil Physical and Chemical Properties, Soil Enzyme Activity and Soil Microorganism of Maize in Northeast China. Agronomy 2023, 13, 877. [Google Scholar] [CrossRef]
- Phuong, H.T.; Ba, V.N.; Thien, B.N.; Hong, L.T.T. Accumulation and distribution of nutrients, radionuclides and metals by roots, stems and leaves of plants. Nucl. Eng. Technol. 2023, 55, 2650–2655. [Google Scholar] [CrossRef]
- Liao, Z.; Zeng, H.; Fan, J.; Lai, Z.; Zhang, C.; Zhang, F.; Wang, H.; Cheng, M.; Guo, J.; Li, Z. Effects of plant density, nitrogen rate and supplemental irrigation on photosynthesis, root growth, seed yield and water-nitrogen use efficiency of soybean under ridge-furrow plastic mulching. Agric. Water Manag. 2022, 268, 107688. [Google Scholar] [CrossRef]
- Yusefi-Tanha, E.; Fallah, S.; Rostamnejadi, A.; Pokhrel, L.R. Zinc oxide nanoparticles (ZnONPs) as a novel nanofertilizer: Influence on seed yield and antioxidant defense system in soil grown soybean (Glycine max cv. Kowsar). Sci. Total Environ. 2020, 738, 140240. [Google Scholar] [CrossRef] [PubMed]
- Farajollahi, Z.; Eisvand, H.R.; Nazarian-Firouzabadi, F.; Nasrollahi, A.H. Nano-Fe nutrition improves soybean physiological characteristics, yield, root features and water productivity in different planting dates under drought stress conditions. Ind. Crop Prod. 2023, 198, 116698. [Google Scholar] [CrossRef]
- Burns, R.G.; DeForest, J.L.; Marxsen, J.; Sinsabaugh, R.L.; Stromberger, M.E.; Wallenstein, M.D.; Weintraub, M.N.; Zoppini, A. Soil enzymes in a changing environment: Current knowledge and future directions. Soil Boil. Biochem. 2013, 58, 216–234. [Google Scholar] [CrossRef]
- McDaniel, M.D.; Kaye, J.P.; Kaye, M.W. Increased temperature and precipitation had limited effects on soil extracellular enzyme activities in a post-harvest forest. Soil Boil. Biochem. 2013, 56, 90–98. [Google Scholar] [CrossRef]
- Wang, Q.; Chen, L.; Xu, H.; Ren, K.; Xu, Z.; Tang, Y.; Xiao, J. The effects of warming on root exudation and associated soil N transformation depend on soil nutrient availability. Rhizosphere 2021, 17, 100263. [Google Scholar] [CrossRef]
- Zhang, C.; Zhao, X.; Liang, A.; Li, Y.; Song, Q.; Li, X.; Li, D.; Huo, N. Insight into the soil aggregate-mediated restoration mechanism of degraded black soil via biochar addition: Emphasizing the driving role of core microbial communities and nutrient cycling. Environ. Res. 2023, 228, 115895. [Google Scholar] [CrossRef]
- Ma, L.; Yang, L.; Liu, W.; Zhang, Y.; Zhou, Q.; Wu, Z.; He, F. Effects of root exudates on rhizosphere bacteria and nutrient removal in pond-ditch circulation systems (PDCSs) for rural wastewater treatment. Sci. Total Environ. 2021, 785, 147282. [Google Scholar] [CrossRef]
- Peralta, R.M.; Ahn, C.; Gillevet, P.M. Characterization of soil bacterial community structure and physicochemical properties in created and natural wetlands. Sci. Total Environ. 2013, 443, 725–732. [Google Scholar] [CrossRef] [PubMed]
- Song, A.; Zhang, J.; Xu, D.; Wang, E.; Bi, J.; Asante-Badu, B.; Claire-Njyenawe, M.; Sun, M.; Xue, P.; Wang, S.; et al. Keystone microbial taxa drive the accelerated decompositions of cellulose and lignin by long-term resource enrichments. Sci. Total Environ. 2022, 842, 156814. [Google Scholar] [CrossRef] [PubMed]
- Chen, C.; Gan, Z.; Xu, R.; Meng, F. Cellulose-induced shifts in microbial communities and microbial interactions in an anoxic/aerobic membrane bioreactor. J. Water Process Eng. 2021, 42, 102106. [Google Scholar] [CrossRef]
- López-Mondéjar, R.; Voříšková, J.; Větrovský, T.; Baldrian, P. The bacterial community inhabiting temperate deciduous forests is vertically stratified and undergoes seasonal dynamics. Soil Boil. Biochem. 2015, 87, 43–50. [Google Scholar] [CrossRef]
- Wei, Z.; Gu, Y.; Friman, V.P.; Kowalchuk, G.A.; Xu, Y.; Shen, Q.; Jousset, A. Initial soil microbiome composition and functioning predetermine future plant health. Sci. Adv. 2019, 5, eaaw0759. [Google Scholar] [CrossRef] [PubMed]
- Wang, J.; Xu, Y.; Ding, F.; Gao, X.; Li, S.; Sun, L.; An, T.; Pei, J.; Li, M.; Wang, Y.; et al. Process of Plant Residue Transforming into Soil Organic Matter and Mechanism of Its Stabilization: A Review. Acta Pedol. Sin. 2019, 56, 528–540. [Google Scholar]
- Zhang, B.; Chen, Q.; Ding, X.; He, H.; Zhang, X. Research Progress on Accumulation, Turnover and Stabilization of Microbial Residues in Soil. Acta Pedol. Sin. 2022, 59, 1479–1491. [Google Scholar]
- Chen, Y.; Zhang, Y.; Li, C.; Xu, R.; Pei, Z.; Li, F.; Wu, Y.; Chen, F.; Liang, Y.; Li, Z. Linking soil organic carbon dynamics to microbial community and enzyme activities in degraded soil remediation by reductive soil disinfestation. Appl. Soil Ecol. 2023, 189, 104931. [Google Scholar] [CrossRef]
- Nguyen, L.T.T.; Osanai, Y.; Lai, K.; Anderson, I.C.; Bange, M.P.; Tissue, D.T.; Singh, B.K. Responses of the soil microbial community to nitrogen fertilizer regimes and historical exposure to extreme weather events: Flooding or prolonged-drought. Soil Boil. Biochem. 2018, 118, 227–236. [Google Scholar] [CrossRef]
- Partey, S.T.; Zougmore, R.B.; Thevathasan, N.V.; Preziosi, R.F. Effects of plant residue decomposition on soil N availability, microbial biomass and β-glucosidase activity during soil fertility improvement in Ghana. Pedosphere 2019, 29, 608–618. [Google Scholar] [CrossRef]
- Bever, J.D.; Platt, T.G.; Morton, E.R. Microbial population and community Dynamics on plant roots and their Feedbacks on plant communities. Annu. Rev. Microbiol. 2012, 66, 265–283. [Google Scholar] [CrossRef] [PubMed]
- Benitez, M.S.; Ewing, P.M.; Osborne, S.L.; Lehman, R.M. Rhizosphere microbial communities explain positive effects of diverse crop rotations on maize and soybean performance. Soil Boil. Biochem. 2021, 159, 108309. [Google Scholar] [CrossRef]
- Hu, L.; Robert, C.A.M.; Cadot, S.; Zhang, X.; Ye, M.; Li, B.; Manzo, D.; Chervet, N.; Steinger, T.; van der Heijden, M.G.A. Root exudate metabolites drive plant-soil Feedbacks on growth and defense by shaping the Rhizosphere Microbiota. Nat. Commun. 2018, 9, 2738. [Google Scholar] [CrossRef] [PubMed]
- Pineda, A.; Kaplan, I.; Hannula, S.E.; Ghanem, W.; Bezemer, T.M. Conditioning the soil Microbiome through plant–soil Feedbacks suppresses an aboveground insect pest. New Phytol. 2020, 226, 595–608. [Google Scholar] [CrossRef] [PubMed]
- Gfeller, V.; Waelchli, J.; Pfister, S.; Deslandes-Hérold, G.; Mascher, F.; Glauser, G.; Aeby, Y.; Mestrot, A.; AM Robert, C.; Schlaeppi, K. Plant secondary metabolite-dependent plant-soil feedbacks can improve crop yield in the field. eLife 2023, 12, e84988. [Google Scholar] [CrossRef]
- Demoling, F.; Figueroa, D.; Bååth, E. Comparison of factors limiting bacterial growth in different soils. Soil Boil. Biochem. 2007, 39, 2485–2495. [Google Scholar] [CrossRef]
- Spohn, M.; Carminati, A.; Kuzyakov, Y. Soil zymography–a novel in-situ method for mapping distribution of enzyme activity in soil. Soil Boil. Biochem. 2013, 58, 275–280. [Google Scholar] [CrossRef]
- Weisburg, W.G.; Barns, S.M.; Pelletier, D.A.; Lane, D.J. 16S ribosomal DNA amplification for phylogenetic study. J. Bacteriol. 1991, 173, 697–703. [Google Scholar] [CrossRef]
- Lu, L.; Yin, S.; Liu, X.; Zhang, W.; Gu, T.; Shen, Q.; Qiu, H. Fungal networks in yield-invigorating and-debilitating soils induced by prolonged potato monoculture. Soil Boil. Biochem. 2013, 65, 186–194. [Google Scholar] [CrossRef]
- Anderson, M.J. A new method for non-parametric multivariate analysis of variance. Austral. Ecol. 2001, 26, 32–46. [Google Scholar]
- McArdle, B.H.; Anderson, M.J. Fitting multivariate models to community data: A comment on distance-based redundancy analysis. Ecology 2001, 82, 290–297. [Google Scholar] [CrossRef]
- Warton, D.I.; Wright, S.T.; Wang, Y. Distance-based multivariate analyses confound location and dispersion effects. Methods Ecol. Evol. 2012, 3, 89–101. [Google Scholar] [CrossRef]
- Zapala, M.A.; Schork, N.J. Multivariate regression analysis of distance matrices for testing associations between gene expression patterns and related variables. Proc. Natl. Acad. Sci. USA 2006, 103, 19430–19435. [Google Scholar] [CrossRef]











| Time | 0.5 h | 1 h | 2 h | |||||||||
|---|---|---|---|---|---|---|---|---|---|---|---|---|
| Concentration Variety | L-50 | H-50 | L-43 | H-43 | L-50 | H-50 | L-43 | H-43 | L-50 | H-50 | L-43 | H-43 |
| 0 (μmol·L−1) | 0 | 0 | 0 | 0 | 0 | 0 | 0 | 0 | 0 | 0 | 0 | 0 |
| 5 (μmol·L−1) | 0.0536 | 0.1458 | 0.0661 | 0.0355 | 0.0933 | 0.2032 | 0.1009 | 0.0732 | 0.1150 | 0.2466 | 0.1184 | 0.0954 |
| 10 (μmol·L−1) | 0.0855 | 0.1614 | 0.0852 | 0.0620 | 0.1275 | 0.2150 | 0.1132 | 0.0977 | 0.1427 | 0.2508 | 0.1244 | 0.1067 |
| 20 (μmol·L−1) | 0.3254 | 0.3528 | 0.2840 | 0.2559 | 0.3819 | 0.4096 | 0.3225 | 0.2992 | 0.3988 | 0.4520 | 0.3236 | 0.3112 |
| 40 (μmol·L−1) | 0.8950 | 0.7780 | 0.7542 | 0.6848 | 0.9721 | 0.8418 | 0.8130 | 0.7415 | 0.9642 | 0.8574 | 0.8309 | 0.7336 |
| 80 (μmol·L−1) | 2.6377 | 2.1136 | 2.1717 | 2.0530 | 2.7469 | 2.1935 | 2.2540 | 2.1401 | 2.7158 | 2.1779 | 2.2005 | 2.0869 |
| 100 (μmol·L−1) | 3.6003 | 2.8296 | 2.9068 | 2.7595 | 3.7167 | 2.9133 | 2.9383 | 2.8231 | 3.6883 | 2.8542 | 2.8269 | 2.7851 |
| 150 (μmol·L−1) | 9.6033 | 7.3499 | 7.7105 | 7.3137 | 9.7147 | 7.4045 | 7.7377 | 7.3928 | 9.5107 | 7.2302 | 7.6084 | 7.1510 |
| Length (bp) | Count | Percentage (%) |
|---|---|---|
| <200 | 55 | 0.0035 |
| 200–300 | 4347 | 0.2792 |
| 300–400 | 1149 | 0.0738 |
| 400–500 | 1,551,330 | 99.6435 |
| ≥500 | 0 | 0 |
| Soil Sample | No. of OTUs | Chao1 | Shannon Index | Pielous Index |
|---|---|---|---|---|
| Rhizosphere soil | 1556.17 | 1612.94 | 9.3825 (0.25) | 0.89 |
| Non-rhizosphere soil | 1338.58 | 1444 | 9.0875 (0.45) | 0.88 |
| Rhizosphere (‰) | Non-Rhizosphere (‰) | |
|---|---|---|
| Cool-temperature environment | 18.02 ± 0.47 | 16.22 ± 0.28 |
| Warm-temperature environment | 17.45 ± 0.04 | 16.86 ± 0.29 |
Disclaimer/Publisher’s Note: The statements, opinions and data contained in all publications are solely those of the individual author(s) and contributor(s) and not of MDPI and/or the editor(s). MDPI and/or the editor(s) disclaim responsibility for any injury to people or property resulting from any ideas, methods, instructions or products referred to in the content. |
© 2023 by the authors. Licensee MDPI, Basel, Switzerland. This article is an open access article distributed under the terms and conditions of the Creative Commons Attribution (CC BY) license (https://creativecommons.org/licenses/by/4.0/).
Share and Cite
Zhao, W.; Wen, M.; Zhao, C.; Zhang, S.; Dou, R.; Liang, X.; Zhang, X.; Liu, Z.; Jiang, Z. Warm Temperature Increments Strengthen the Crosstalk between Roots and Soil in the Rhizosphere of Soybean Seedlings. Plants 2023, 12, 4135. https://doi.org/10.3390/plants12244135
Zhao W, Wen M, Zhao C, Zhang S, Dou R, Liang X, Zhang X, Liu Z, Jiang Z. Warm Temperature Increments Strengthen the Crosstalk between Roots and Soil in the Rhizosphere of Soybean Seedlings. Plants. 2023; 12(24):4135. https://doi.org/10.3390/plants12244135
Chicago/Turabian StyleZhao, Wanying, Mingxing Wen, Caitong Zhao, Shurui Zhang, Runa Dou, Xuefeng Liang, Xianfeng Zhang, Zhihua Liu, and Zhenfeng Jiang. 2023. "Warm Temperature Increments Strengthen the Crosstalk between Roots and Soil in the Rhizosphere of Soybean Seedlings" Plants 12, no. 24: 4135. https://doi.org/10.3390/plants12244135
APA StyleZhao, W., Wen, M., Zhao, C., Zhang, S., Dou, R., Liang, X., Zhang, X., Liu, Z., & Jiang, Z. (2023). Warm Temperature Increments Strengthen the Crosstalk between Roots and Soil in the Rhizosphere of Soybean Seedlings. Plants, 12(24), 4135. https://doi.org/10.3390/plants12244135

