Cytogenetic and Biochemical Responses of Wheat Seeds to Proton Irradiation at the Bragg Peak
Abstract
:1. Introduction
2. Results
2.1. Plant Growth Parameters
2.2. Cytogenetic Investigation Results
2.3. Photosynthesis Pigments
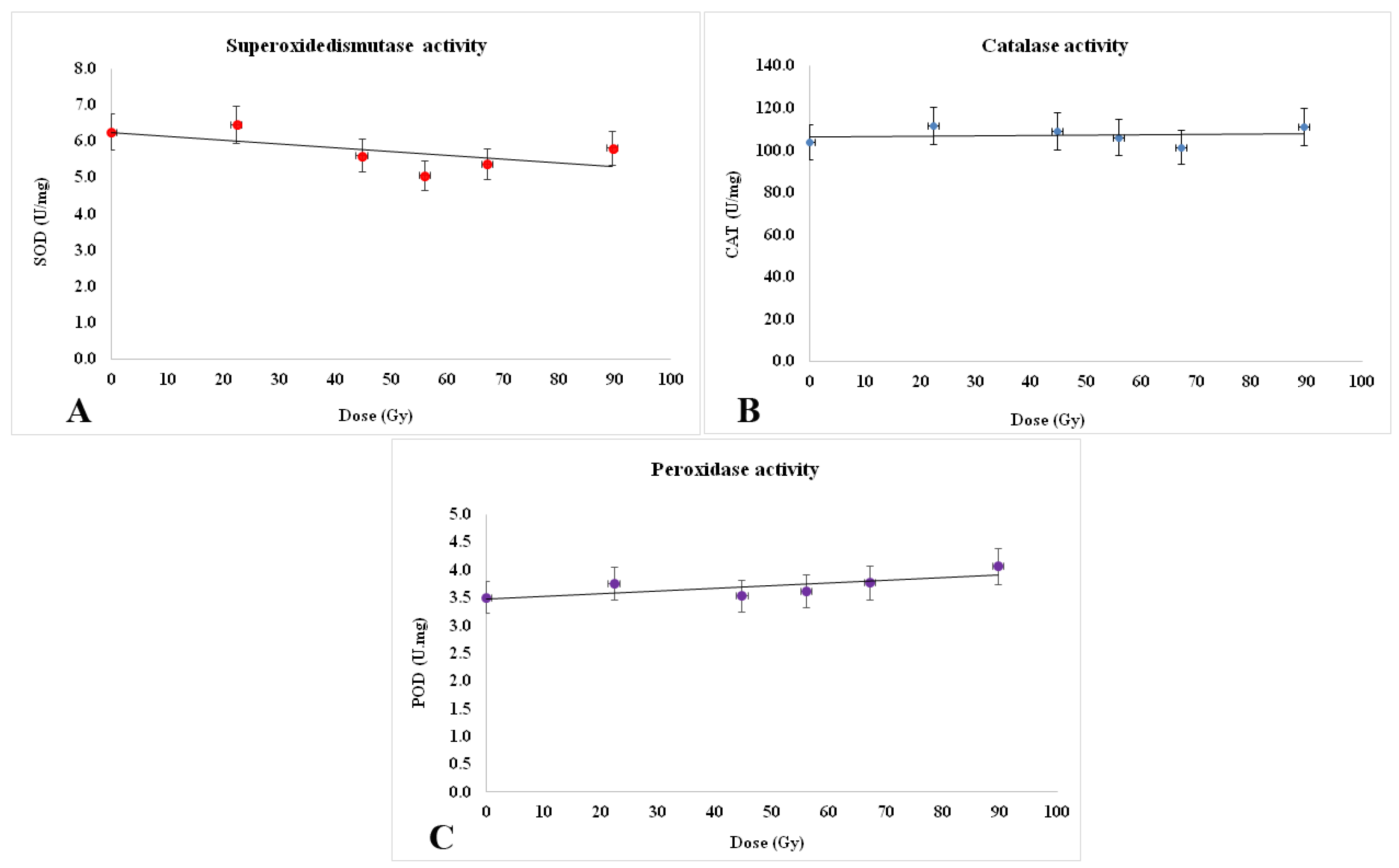
2.4. Antioxidant Enzymes
2.5. MDA Content and Non-Enzymatic Antioxidants
3. Discussion
3.1. Plant Growth Parameters
3.2. Cytogenetic Changes
3.3. Photosynthetic Pigments
3.4. Antioxidant Defense Systems
4. Materials and Methods
4.1. Experimental Design of Plant Material and Growing Conditions
4.2. Proton Irradiation at the Bragg Peak
4.3. Growth Conditions
4.4. Plant Growth Parameters
4.5. Cytogenetic Analysis
4.6. Photosynthetic Pigments Analysis
4.7. Antioxidant Defense System
4.7.1. Antioxidant Enzymes Activities
Preparation of Enzyme Extracts
4.7.2. MDA and Non-Enzymatic Antioxidant
4.8. The Soluble Protein Assay
4.9. Statistical Analysis
5. Conclusions
Author Contributions
Funding
Data Availability Statement
Conflicts of Interest
References
- Belli, M.; Indovina, L. The response of living organisms to low radiation environment and its implications in radiation protection. Front. Public. Health 2020, 15, 601711. [Google Scholar] [CrossRef] [PubMed]
- Newhauser, W.D.; Zhang, R. The physics of proton therapy. Phys. Med. Biol. 2015, 60, R155–R209. [Google Scholar] [CrossRef] [PubMed]
- Luo, N.; Ragheb, M.; Miley, G.H. Proton bremsstrahlung and its radiation effects in fusion reactors. Fusion Eng. Des. 2010, 85, 39–45. [Google Scholar] [CrossRef]
- Reisz, J.A.; Bansal, N.; Qian, J.; Zhao, W.; Furdui, C.M. Effects of ionizing radiation on biological molecules—Mechanisms of damage and emerging methods of detection. Antioxid. Redox Signal. 2014, 21, 260–292. [Google Scholar] [CrossRef]
- Girdhani, S.; Sachs, R.; Hlatky, L. Biological effcts of proton radiation: What we know and don’t know. Radiat. Res. 2013, 179, 257–272. [Google Scholar] [CrossRef]
- Durante, M.; Formeti, S.C. Radiation-induced chromosomal aberrations and immunotherapy: Micronuceli, cytosolic DNA and interferon-production Pathway. Front. Onc. 2018, 8, 192. [Google Scholar] [CrossRef]
- Bettega, D.; Dubini, S.; Conti, A.M.F.; Pelucchi, T.; Tallone Lombardi, L. Chromosome aberrations induced by protons up to 31 MeV in cultured human cells. Radiat. Environ. Biophys. 1981, 19, 91–100. [Google Scholar] [CrossRef]
- Zagórski, Z.P.; Kornacka, E.M. Ionizing radiation: Friend or foe of the origins of life? Orig. Life Evol. Biosph. 2012, 42, 503–505. [Google Scholar] [CrossRef]
- Steinhauser, G.; Brandl, A.; Johnson, T.E. Comparison of the Chernobyl and Fukushima nuclear accidents: A review of the environmental impacts. Sci. Total Environ. 2014, 470–471, 800–817. [Google Scholar] [CrossRef]
- Arena, C.; De Micco, V.; Macaeva, E.; Quintens, R. Space radiation effects on plant and mammalian cells. Acta Astronaut. 2014, 104, 419–431. [Google Scholar] [CrossRef]
- Møller, A.P.; Mousseau, T.A. Strong effects of ionizing radiation from Chernobyl on mutation rates. Sci. Rep. 2015, 5, 8363. [Google Scholar] [CrossRef] [PubMed]
- Hong, M.J.; Kim, D.Y.; Ahn, J.W.; Kang, S.Y.; Seo, Y.W.; Kim, J.B. Comparison of radiosensitivity response to acute and chronic gamma irradiation in colored wheat. Genet. Mol. Biol. 2018, 41, 611–623. [Google Scholar] [CrossRef] [PubMed]
- Çelik, Ö.; Atak, Ç. Applications of ionizing radiation in mutation breeding. In New Insights on Gamma Rays; Maghraby, A.M., Ed.; IntechOpen: London, UK, 2016. [Google Scholar] [CrossRef]
- Mittler, R. Oxidative stress, antioxidants and stress tolerance. Trends Plant Sci. 2002, 7, 405–410. [Google Scholar] [CrossRef] [PubMed]
- Jan, S.; Parween, T.; Siddiqi, T.O. Effect of gamma radiation on morphological, biochemical, and physiological aspects of plants and plant products. Environ. Rev. 2012, 20, 17–39. [Google Scholar] [CrossRef]
- Kumar, V.; Vishwakarma, G.; Chauhan, A.; Shitre, A.; Das, B.K.; Nair, J. Use of proton beam as a novel tool for mutations in rice. Barc Newslett. 2018, 366, 5–9. [Google Scholar]
- Chauhan, A.; Kumar, V.; Iyer, P.R.; Vishwakarma, G.; Nair, J.; Surendran, P. Effect of proton beam irradiation on survival and seedling growth parameters of Indian rice (Oryza sativa L.) variety ‘Indira Barani Dhan 1’. Electron. J. Plant Breed. 2019, 10, 490–499. [Google Scholar] [CrossRef]
- Jo, Y.D.; Kim, J.B. Frequency and spectrum of radiation-induced mutations revealed by whole-genome sequencing analyses of plants. Quant. Beam Sci. 2019, 3, 7. [Google Scholar] [CrossRef]
- Lee, S.W.; Kwon, Y.J.; Baek, I.; Choi, H.I.; Ahn, J.W.; Kim, J.B.; Kang, S.Y.; Kim, S.H.; Jo, Y.D. Mutagenic effect of proton beams characterized by phenotypic analysis and whole genome sequencing in Arabidopsis. Front. Plant Sci. 2021, 28, 752108. [Google Scholar] [CrossRef]
- Wang, J.; Zhang, Y.; Zhou, L.; Yang, F.; Li, J.; Du, Y.; Liu, R.; Li, W.; Yu, L. Ionizing radiation: Effective physical agents for economic crop seed priming and the underlying physiological mechanisms. Int. J. Mol. Sci. 2022, 23, 15212. [Google Scholar] [CrossRef]
- Deoli, N.T.; Hasenstein, K.H. Irradiation effects of MeV protons on dry and hydrated Brassica Rapa Seeds. Life Sci. Space Res. 2018, 19, 24–30. [Google Scholar] [CrossRef]
- Kang, R.; Seo, E.; Park, A.; Kim, W.J.; Kang, B.H.; Lee, J.H.; Kim, S.H.; Kang, S.Y.; Ha, B.K. A comparison of the transcriptomes of cowpeas in response to two different ionizing radiations. Plants 2021, 10, 567. [Google Scholar] [CrossRef] [PubMed]
- Oprica, L.; Shvidkiy, S.; Molokanov, A.; Vochita, G.; Creanga, D. Some effects of proton irradiation in young seedlings of wheat. Rom. J. Phys. 2022, 67, 813. [Google Scholar]
- Oprica, L.; Grigore, M.-N.; Caraciuc, I.; Gherghel, D.; Mihai, C.T.; Vochita, G. Impact of proton beam irradiation on the growth and biochemical indexes of barley (Hordeum vulgare L.) seedlings grown under salt stress. Plants 2020, 18, 1234. [Google Scholar] [CrossRef] [PubMed]
- Lee, Y.-M.; Jo, Y.D.; Lee, H.-J.; Kim, Y.-S.; Kim, D.S.; Kim, J.-B. DNA damage and oxidative stress induced by proton beam in Cymbidium hybrid. Hortic. Environ. Biotechnol. 2015, 56, 240–246. [Google Scholar] [CrossRef]
- Jae-Il, L.; Gendaram, S.; Jong-Seo, C.; Jae-Hong, K.; Tae-Gun, Y.; Min-Yong, L.; Yang, D.-C.; Bae, C.-H. Effects of Proton Beam Irradiation on Germination and Growth of Tobacco and Rice Plants. Korean J. Plant Res. 2005, 18, 462–469. [Google Scholar]
- Kim, S.K.; Choi, H.J.; Kim, K.R.; Kim, H.Y. Properties of starches in Chinese yam, Dioscorea opposita Thunb. irradiated with proton beam. Korean J. Plant Res. 2011, 24, 304–308. [Google Scholar] [CrossRef]
- Kim, S.K.; Park, S.Y.; Kim, K.R.; Shin, J.H.; Kim, S.Y.; Kim, H.Y.; Lee, I.J. Effect of proton beam irradiation on germination, seedling growth, and pasting properties of starch in rice. J. Crop. Sci. Biotechnol. 2012, 15, 305–310. [Google Scholar] [CrossRef]
- Cramer, G.R.; Urano, K.; Delrot, S.; Pezzotti, M.; Shinozaki, K. Effects of abiotic stress on plants: A systems biology perspective. BMC Plant Biol. 2011, 11, 163. [Google Scholar] [CrossRef]
- Wania, S.H.; Kumar, V.; Shriram, V.; Sah, S.K. Phytohormones and their metabolic engineering for abiotic stress tolerance in crop plants. Crop J. 2016, 4, 162–176. [Google Scholar] [CrossRef]
- Katiyar, P.; Pandey, N.; Keshavkant, S. Plant Gamma radiation: A potential tool for abiotic stress mitigation and management of agroecosystem. Stress 2022, 5, 100089. [Google Scholar]
- Irfaq, M.; Nawab, K. A study to determine the proper dose of gamma radiation for inducing beneficial genetic variability in bread wheat (Triticum aestivum L.). Asian J. Plant Sci. 2003, 20, 20. [Google Scholar] [CrossRef]
- Rajput, V.D.; Harish, R.K.S.; Krishan, K.V.; Lav, S.; Quiroz-Figueroa, F.R.; Meena, M.; Vinod, S.G.; Minkina, T.; Sushkova, S.; Mandzhieva, S. Recent developments in enzymatic antioxidant defence mechanism in plants with special reference to abiotic stress. Biology 2021, 26, 267. [Google Scholar] [CrossRef] [PubMed]
- Gill, S.S.; Tuteja, N. Reactive oxygen species and antioxidant machinery in abiotic stress tolerance in crop plants. Plant Physiol. Biochem. 2010, 48, 909–930. [Google Scholar] [CrossRef]
- Im, J.; Kim, W.J.; Kim, S.H.; Ha, B. (a) Effects of proton beam irradiation on seed germination and growth of soybean (Glycine max L. Merr.). J. Korean Phys. Shock. 2017, 71, 752–757. [Google Scholar] [CrossRef]
- Arena, C.; De Micco, V.; Aronne, G.; Pugliese, M.; Virzo De Santo, A.; De Maio, A. Response of Phaseolus vulgaris L. plants to low-let ionizing radiation: Growth and oxidative stress. Acta Astronaut. 2013, 91, 107–114. [Google Scholar] [CrossRef]
- Kiani, D.; Borzouei, A.; Ramezanpour, S.; Soltanloo, H.; Saadati, S. Application of gamma irradiation on morphological, biochemical, and molecular aspects of wheat (Triticum aestivum L.) under different seed moisture contents. Sci. Rep. 2022, 12, 11082. [Google Scholar] [CrossRef]
- Abou-Zeid, H.M.; Abdel–Latif, S.A. Effects of gamma irradiation on biochemical and antioxidant defense system in wheat (Triticum aestivum L.) seedlings. Int. J. Adv. Res. 2014, 2, 287–300. [Google Scholar]
- Ahumada-Flores, S.; Briceño-Zamora, M.F.; García-Montoya, J.A.; López-Cázarez, C.; Pereo-Galvez, A.E.; Parra-Cota, F.I.; de los Santos-Villalobos, S. Gamma radiosensitivity study on wheat (Triticum turgidum ssp. durum). Open Agric. 2020, 5, 558–562. [Google Scholar] [CrossRef]
- Bonciu, E.; Firbas, P.; Fontanetti, C.S.; Wusheng, J.; Karaismailoğlu, M.C.; Liu, D.; Menicucci, F.; Pesnya, D.S.; Popescu, A.; Romanovsky, A.V.; et al. An evaluation for the standardization of the Allium cepa test as cytotoxicity and genotoxicity assay. Caryologia 2018, 71, 191–209. [Google Scholar] [CrossRef]
- Vasilyev, S.A.; Timoshevsky, V.A.; Lebedev, I.N. Aneugenic effect of ionizing radiation in mammalian and human somatic cells. Russ. J. Genet. 2009, 45, 1403–1412. [Google Scholar] [CrossRef]
- Pandey, A.; Kumar, G. Clastogenic and aneugenic responses of supplemental UVB radiation on root meristems of lentil. Int. J. Life Sci. Res. 2016, 4, 1–8. [Google Scholar]
- Andrioli, N.B.; Mudry, M.D. Cytological and cytogenetic effects induced by thiabendazole on Allium cepa root meristems. J. Appl. Genet. 2011, 22, 17–23. [Google Scholar]
- Campo, D.; Samaniego, R.; Giménez-Abián, J.F.; Giménez-Martín, G.; López-Sáez, J.F.; de la Espina, S.M.D.; de la Torre, C. G2 checkpoint targets late replicating DNA. Biol. Cell. 2003, 95, 521–526. [Google Scholar] [CrossRef]
- Smertenko, A.; Assaad, F.; Baluška, F.; Bezanilla, M.; Buschmann, H.; Drakakaki, G.; Hauser, M.T.; Janson, M.; Mineyuki, Y.; Moore, I.; et al. Plant Cytokinesis: Terminology for Structures and Processes. Trends Cell Biol. 2017, 27, 885–894. [Google Scholar] [CrossRef] [PubMed]
- Caillaud, M.C.; Lecomte, P.; Jammes, F.; Quentin, M.; Pagnotta, S.; Andrio, E.; de Almeida Engler, J.; Marfaing, N.; Gounon, P.; Abad, P.; et al. MAP65-3 Microtubule-associated protein is essential for nematode-induced giant cell ontogenesis in Arabidopsis. Plant Cell. 2008, 20, 423–437. [Google Scholar] [CrossRef] [PubMed]
- Kozgunova, E.; Nishina, M.; Goshima, G. Chromosome missegregation causes somatic polyploidization in plants. eLife 2019, 8, e43652. [Google Scholar] [CrossRef] [PubMed]
- Huang, C.J.; Wei, G.; Jie, Y.C.; Xu, J.J.; Zhao, S.Y.; Wang, L.C.; Anjum, S.A. Responses of gas exchange, chlorophyll synthesis and ROS-scavenging systems to salinity stress in two ramies (Boehmeria nivea L.) cultivars. Photosynth 2015, 53, 455–463. [Google Scholar] [CrossRef]
- Huang, P.; Jia, D.; Yuan, Z.; Mei, S.; Ye, Y. Physiological responses of exotic weeds Gaura parviflora to drought stress. J. Northeast Agric. Univ. 2011, 42, 102–106. [Google Scholar]
- Marcu, D.; Damian, G.; Cosma, C.; Cristea, V. Gamma radiation effects on seed germination, growth and pigment content, and ESR study of induced free radicals in maize (Zea mays). J. Biol Phys. 2013, 39, 625–634. [Google Scholar] [CrossRef]
- Im, J.; Ko, J.; Kim, H.; Ha, B. Biochemical responses of soybean (Glycine max L. Merr.) to proton beam irradiation. Plant Breed. Biotechnol. 2017, 5, 97–105. [Google Scholar] [CrossRef]
- Hall, E.J.; Giaccia, A.J. Radiobiology for the Radiologist, 6th ed.; Lippincott Williams & Wilkins: Philadelphia, PA, USA, 2006. [Google Scholar]
- Goodhead, D.T. Mechanisms for the Biological Effectiveness of High-LET Radiations. J. Radiat. Res. 1999, 40, 546. [Google Scholar] [CrossRef] [PubMed]
- Horendeck, D.; Walsh, K.D.; Hirakawa, H.; Fujimori, A.; Kitamura, H.; Kato, T.A. High LET-Like Radiation Tracks at the Distal Side of Accelerated Proton Bragg Peak. Front. Oncol. 2021, 11, 690042. [Google Scholar] [CrossRef] [PubMed]
- Einor, D.; Bonisoli-Alquati, A.; Costantini, D.; Mousseau, T.A.; Moller, A.P. Ionizing radiation, antioxidant response and oxidative damage: A meta-analysis. Sci. Total Environ. 2016, 548–549, 463–471. [Google Scholar] [CrossRef]
- Pospisil, P.; Prasad, A.; Rac, M. Mechanism of the formation of electronically excited species by oxidative metabolic processes: Role of reactive oxygen species. Biomol 2019, 9, 258. [Google Scholar] [CrossRef]
- Georgiou, C.D.; Zisimopoulos, D.; Kalaitzopoulou, E.; Quinn, R.C. Radiation-driven formation of reactive oxygen species in oxychlorine-containing Mars surface analogues. Astrobiology 2017, 17, 319–336. [Google Scholar] [CrossRef]
- Martemucci, G.; Costagliola, C.; Mariano, M.; D’andrea, L.; Napolitano, P.; D’Alessandro, A.G. Free radical properties, source and targets, antioxidant consumption and health. Oxygen 2022, 2, 48–78. [Google Scholar] [CrossRef]
- Leser, M.; Chapman, J.R.; Khine, M.; Pegan, J.; Law, M.; Makkaoui, M.E.; Ueberheide, B.M.; Brenowitz, M. Chemical generation of hydroxyl radical for oxidative ‘Footprinting’. Prot. Pept. Lett. 2019, 26, 61–69. [Google Scholar] [CrossRef]
- Cheignon, C.; Tomas, M.; Bonnefont-Rousselot, D.; Faller, P.; Hureau, C.; Collin, F. Oxidative stress and the amyloid beta peptide in Alzheimer’s disease. Redox Biol. 2018, 14, 450–464. [Google Scholar] [CrossRef]
- Azzam, E.I.; Jay-Gerin, J.-P.; Pain, D. Ionizing radiation-induced metabolic oxidative stress and prolonged cell injury. Cancer Lett. 2012, 327, 48–60. [Google Scholar] [CrossRef]
- Sies, H. Oxidative stress: A concept in redox biology and medicine. Redox Biol. 2015, 4, 180–183. [Google Scholar] [CrossRef]
- Breitenbach, M.; Eckl, P. Introduction to oxidative stress in biomedical and biological research. Biomolecules 2015, 5, 1169–1177. [Google Scholar] [CrossRef] [PubMed]
- Suzuki, N.; Koussevitzky, S.; Mittler, R.O.N.; Miller, G.A.D. ROS and redox signalling in the response of plants to abiotic stress. Plant. Cell Environ. 2012, 35, 259–270. [Google Scholar] [CrossRef] [PubMed]
- Juan, C.A.; de la Lastra, J.M.P.; Plou, F.J.; Pérez-Lebeña, E. The chemistry of reactive oxygen species (ROS) revisited: Outlining their role in biological macromolecules (DNA, lipids and proteins) and induced pathologies. Int. J. Mol. Sci. 2021, 22, 4642. [Google Scholar] [CrossRef] [PubMed]
- Wang, S.; He, G.; Chen, M.; Zuo, T.; Xu, W.; Liu, X. The role of antioxidant enzymes in the ovaries. Oxidative Med. Cell. Longev. 2017, 2017, 4371714. [Google Scholar] [CrossRef] [PubMed]
- Veal, E.; Jackson, T.; Latimer, H. Role/s of ‘antioxidant’ enzymes in ageing. Subcell. Biochem. 2018, 90, 425–450. [Google Scholar] [CrossRef]
- International Atomic Energy Agency. Absorbed Dose Determination in External Beam Radiotherapy: International Code of Practice for Dosimetry Based on Standards of Absorbed Dose to Water; Technical Reports 398; IAEA: Vienna, Austria, 2000; STI/DOC/010/398. [Google Scholar]
- Kubančák, J.; Molokanov, A.G. Measurements of LET spectra of the JINR phasotron radiotherapy proton beam. Issues At. Sci. Technol. 2013, 6, 90–92. [Google Scholar]
- Cornelissen, J.H.C.; Lavorel, S.; Garnier, E.; Dìaz, S.; Buchmann, N.; Gurvich, D.E.; Reich, P.B.; ter Steege, H.; Morgan, H.D.; van der Heijden, M.G.A.; et al. Handbook of protocols for standardized and easy measurements of plant functional traits worldwide. Aust. J. Bot. 2003, 51, 335–380. [Google Scholar] [CrossRef]
- Gamborg, O.L.; Wetter, L.R. Plant Tissue Culture Methods; National Research Council of Canada, Prairie Regional Laboratory: Saskatoon, SK, Canada, 1975. [Google Scholar]
- Singh, R.J. Plant Cytogenetics, 3rd ed.; CRC Press: New York, NY, USA, 2016. [Google Scholar]
- Truta, E.; Vochita, G.; Zamfirache, M.M.; Olteanu, Z.; Rosu, C.M. Copper-induced genotoxic effects in root meristems of Triticum aestivum L. cv. Beti. Carpath. J. Earth Environ. Sci. 2013, 8, 83–92. [Google Scholar]
- Lichtenthaler, H.K. Chlorophyll and carotenoids: Pigments of photosynthetic bio-membranes. In Methods Enzymology; Packer, L., Douce, R., Eds.; Academic Press: London, UK, 1987; Volume 641, pp. 350–382. [Google Scholar]
- Winterbourn, C.C.; Hawkins, R.E.; Brian, M.; Carrell, R.W. The estimation of red cell superoxide dismutase activity. J. Lab. Clin. Med. 1975, 85, 337–341. [Google Scholar]
- Ranieri, A.; Petacco, F.; Castagna, A.; Soldatini, G.F. Redox state and peroxidase system in sunflower plants exposed to ozone. Plant Sci. 2000, 159, 159–167. [Google Scholar] [CrossRef]
- Sinha, A.K. Colorimetric assay of catalase. Anal. Biochem. 1972, 47, 389–394. [Google Scholar] [CrossRef] [PubMed]
- Hodges, D.M.; Delong, J.M.; Forney, C.F.; Prange, R.K. Improving the thiobarbituric acid-reactive-substances assay for estimating lipid peroxidation in plant tissues containing anthocyanin and other interfering compounds. Planta 1999, 207, 604–611. [Google Scholar] [CrossRef]
- Singleton, V.L.; Orthofer, R.; Lamuela-Raventós, R.M. Analysis of total phenols and other oxidation substrates and antioxidants by means of Folin-Ciocalteu reagent. Methods Enzymol. 1999, 9, 152–178. [Google Scholar]
- Bradford, M.M. A rapid and sensitive method for the quantitation of microgram quantities of protein utilizing the principle of protein-dye binding. Anal. Biochem. 1976, 72, 248–254. [Google Scholar] [CrossRef]













Disclaimer/Publisher’s Note: The statements, opinions and data contained in all publications are solely those of the individual author(s) and contributor(s) and not of MDPI and/or the editor(s). MDPI and/or the editor(s) disclaim responsibility for any injury to people or property resulting from any ideas, methods, instructions or products referred to in the content. |
© 2023 by the authors. Licensee MDPI, Basel, Switzerland. This article is an open access article distributed under the terms and conditions of the Creative Commons Attribution (CC BY) license (https://creativecommons.org/licenses/by/4.0/).
Share and Cite
Oprica, L.; Vochita, G.; Grigore, M.-N.; Shvidkiy, S.; Molokanov, A.; Gherghel, D.; Les, A.; Creanga, D. Cytogenetic and Biochemical Responses of Wheat Seeds to Proton Irradiation at the Bragg Peak. Plants 2023, 12, 842. https://doi.org/10.3390/plants12040842
Oprica L, Vochita G, Grigore M-N, Shvidkiy S, Molokanov A, Gherghel D, Les A, Creanga D. Cytogenetic and Biochemical Responses of Wheat Seeds to Proton Irradiation at the Bragg Peak. Plants. 2023; 12(4):842. https://doi.org/10.3390/plants12040842
Chicago/Turabian StyleOprica, Lacramioara, Gabriela Vochita, Marius-Nicușor Grigore, Sergey Shvidkiy, Alexander Molokanov, Daniela Gherghel, Anda Les, and Dorina Creanga. 2023. "Cytogenetic and Biochemical Responses of Wheat Seeds to Proton Irradiation at the Bragg Peak" Plants 12, no. 4: 842. https://doi.org/10.3390/plants12040842
APA StyleOprica, L., Vochita, G., Grigore, M.-N., Shvidkiy, S., Molokanov, A., Gherghel, D., Les, A., & Creanga, D. (2023). Cytogenetic and Biochemical Responses of Wheat Seeds to Proton Irradiation at the Bragg Peak. Plants, 12(4), 842. https://doi.org/10.3390/plants12040842

