Abstract
It is important to quantify nutrient requirements and optimize fertilization to improve peanut yield and fertilizer use efficiency. In this study, a multi-site field trial was conducted from 2020 to 2021 in the North China Plain to estimate nitrogen (N), phosphorus (P), and potassium (K) uptake and requirements of peanuts, and to evaluate the effects of fertilization recommendations from the regional mean optimal rate (RMOR) on dry matter, pod yield, nutrient uptake, and fertilizer use efficiency. Results show that compared with farmer practice fertilization (FP), optimal fertilization (OPT) based on the RMOR increased peanut dry matter by 6.6% and pod yield by 10.9%. The average uptake rates of N, P, and K were 214.3, 23.3, and 78.4 kg/ha, respectively, with 76.0% N harvest index, 59.8% P harvest index, and 41.4% K harvest index. The OPT treatment increased N, P, and K uptake by 19.3%, 7.3%, and 11.0% compared with FP, respectively. However, the average of yield, nutrition uptake, and harvest indexes of N, P, and K were not significantly affected by fertilization. The peanut required 42.0 kg N, 4.6 kg P, and 15.3 kg K to produce 1000 kg of pods. The OPT treatment significantly improved the N partial factor productivity and N uptake efficiency but decreased the K partial factor productivity and K uptake efficiency. The present study demonstrates that fertilizer recommendations from RMOR improve N use efficiency, and reduce N and P fertilizer application without yield loss in regions with smallholder farmers, and the corresponding estimation of nutrient requirements helps to make peanut fertilization recommendations.
1. Introduction
Peanut is an important oilseed crop, an N2-fixing legume plant with drought tolerance, and a very efficient cash crop with relatively low production input, high yield, and higher price and greater income than other oil crops [1]. The extraction rate of peanut oil is high, and the oil quality is good. Therefore, peanut plantations play an important role in meeting edible oil demand and supporting local economies. China is a major peanut producer, ranking second in planting area after India and first in total production [2]. In 2020, the planting area reached five million hectares, and the total production reached 18 million tons, accounting for more than 20% and 40%, respectively, of the global totals [2]. Nitrogen (N), phosphorus (P), and potassium (K) are essential nutrients for crops. Application of NPK fertilizer can improve crop yield [3].
Although peanut is a legume with the ability to fix atmosphere N, its growth requires adequate N, P, and K nutrients by fertilization [3]. The N fixation by rhizobia can meet 40% to 50% of the N requirement of peanut plants [4]. However, the N fixation level by peanut rhizobia is significantly and negatively correlated with increasing N application [4]. China is the world’s largest consumer of chemical fertilizer [5]. In recent years, unreasonable fertilization in pursuit of higher crop yields has become common, while yield response to fertilization has become lower. Unreasonable fertilizer application not only increases production costs and reduces FUE but also causes environmental pollution [5,6]. Therefore, it is an important challenge for sustainable peanut production to ensure high peanut yield, quality, and FUE through rational fertilization.
In recent decades, studies have attempted to develop various methods to optimize the application rates of chemical fertilizer to solve the associated economic and environmental problems caused by improper application. These techniques of fertilization recommendation were based on soil testing [7], aboveground plant analysis [8], yield–fertilizer rate response modeling [9], digital and information technology [10,11,12], and integrated soil-crop system management [13,14]. Most of these recommended techniques have focused on site-specific optimal nutrient rates and have required field trials, soil samples, plant collection, and laboratory analysis, factors that can be rather time-consuming, labor-intensive, and expensive. Although these methods are useful for precision fertilization, they are rather difficult to implement widely for many smallholders in developing countries including China [15]. Firstly, arable land in these countries/regions is limited, with small sizes and scattered field plots. Secondly, in the rural regions of these areas, there is a lack of testing conditions and technical guidance for agrochemical services, with insufficient testing equipment and technical personnel. Finally, these field sites are highly intensive with two or sometimes three crops planted annually in the same field, and testing is difficult to perform in time to avoid delaying planting.
In the practice of agricultural production, it is critical to establish a simple method for the overall regulation and promotion of the rational application of fertilizer on a regional scale rather than a field scale [16]. Numerous factors affect crop yields, and some are difficult to predict accurately. Therefore, even for the same field, the suitable fertilizer application rate and related parameters obtained from an experiment in one year may not be accurately applied to other years [17]. Accordingly, a very high degree of accuracy is unnecessary to calculate the appropriate fertilizer application rate for obtaining a certain yield. For agricultural production, the determination of a suitable fertilizer application range can basically meet the needs of large-scale production.
A regional mean optimal rate (RMOR) of N fertilizer application has been proposed to resolve this technology gap in Tai Lake Region, China [18]. The purpose of the resolution is to provide a baseline fertilization recommendation for a specific region by determining the RMOR of this region to obtain the maximum total production and economic benefits. The RMOR can be the average of the optimal fertilizer rate obtained from the multi-site trial, and is further used as the fertilization recommendation for the whole region [18]. However, the optimal fertilizer rate can be determined by other methods, such as nutrient requirement to produce unit yield. The method has been proven feasible for crops such as rice, wheat, and oilseed rape; the recommendations have produced increasing yields, income, and nutrient use efficiency and have reduced environmental impacts [19,20]. Adjusting the RMOR for different regions, crop types, and soil conditions can provide a more accurate estimation of the optimal rate of fertilizer applied. However, the effectiveness of this resolution in other regions, crop types (N-fixing crops such as peanut), and nutrients (P and K fertilizer) is unknown.
Here, a two-year period (2020 and 2021) of multi-site field experiments were conducted in the largest peanut-growing area of the North China Plain. The hypothesis is that the ROMR method can maintain peanut yield and FUE while reducing the chemical fertilizer at a regional scale. The overall goals of this study were to quantify (1) N, P, and K uptake and requirements; (2) effects of the RMOR on peanut yield, nutrient uptake, and utilization efficiency; and hence (3) effectiveness of this RMOR method in peanut farming at the county scale.
2. Materials and Methods
2.1. Experimental Site
The field experiments were conducted in 2020 and 2021 in several townships in Zhengyang County (N32°16’-32°47’, E114°12′-114°53′), Henan, China (Figure 1). Both the peanut planting area and production of Zhengyang county rank first among all counties in China. The area is located in the transition region from the north subtropics to the warm temperate zone, and it has a continental monsoon humid climate. The average annual temperature is 15.3 °C, and the average annual precipitation is 935 mm. The monthly temperature and rainfall are shown in Figure 2 [21].
Figure 1.
The geographical locations of experimental field sites. (a) Henan Province is shown as a red background in the China map; (b) the blue border is the Zhengyang County; (c) distribution of experimental field sites in the Zhengyang County.
Figure 2.
The monthly temperature and rainfall in Zhengyang County.
2.2. Field Experiment Design
There were eight field sites in 2020 and five sites in 2021 for the experiment (Figure 1). The planting pattern was summer peanut and winter wheat rotation. The soil type was Alfisol according to the Soil Taxonomy with clay texture and low pH value. The basic soil physiochemical properties are shown in Table 1.
Table 1.
Basic soil physiochemical properties and inputs of chemical fertilizers by the farmers’ practice (FP) at different field sites in 2020 and 2021.
Each field experiment was set up with two treatments, farmers’ practice fertilization (FP) and optimized fertilization (OPT). All management of the FP treatment was determined by farmers based on their practices, and the rate of fertilizer applied was accurately recorded (Table 1). As a management strategy focused technology promotion, the determination of RMOR must be based on other approaches or data. Therefore, for the OPT treatment, the RMOR was determined based on the results of previous studies with similar environment, in which, the optimized amount of fertilizer was determined according to the yield–fertilizer rate response modeling [22]. In brief, a total of 46 field trials including four NPK fertilizer rates were collected. The average value of yield and fertilizer application under the same treatment was obtained. The yield–fertilizer rate response modeling was simulated by quadratic equation (y = ax2 + bx + c, y: yield; x: N, P, or K fertilizer rates). Then the RMOR for NPK fertilizer was calculated at the maximum yield according to the modeling (-b/2a). The fertilizer recommendations were further adjusted by nutrient experts based on local conditions. The N, P, and K fertilizer rates for OPT in 2020 and 2021 were 181.5 kg/ha, 39.3 kg/ha, and 93.4 kg/ha, respectively (Figure S1). The other management measures were completely consistent with the FP treatment. Each treatment was repeated three times in plots of greater than 100 m2.
All peanuts were sown in early June and harvested at the end of September. The peanut varieties were decided by the farmers themselves, and they all used the widely grown varieties of momordica fruit type. Before peanut sowing, soil was plowed and then tilled. The peanuts were planted in ridges with a width of 80 cm at the bottom and 60 cm at the surface. Two rows of peanuts were planted on the ridge surface with a spacing of 20 cm. The overall sowing rate was 225 kg/ha. Ridging, sowing, and fertilizing were completed by mechanized methods performed once. Other management such as weed, pest, and disease control was consistent with FP treatment.
2.3. Sampling and Measurement
At peanut maturity, 2 m2 peanut samples were taken for yield measurement in each plot of all experiment sites. The air-dried sample was weighed and its moisture content was determined, and further converted to the weight with a moisture content of 8%. Meanwhile, five representative plants were taken at random for dry matter (DM) and nutrient measurement. The haulm and pod were cleaned and sterilized at 105 °C for 30 min, then dried at 75 °C. After the plant and pod were dried to a constant weight, the DM weight (plant and pod) was recorded. The dried samples were crushed and passed through a 2 mm sieve for the determination of N, P, and K contents. A 0.2 g sample was digested with H2SO4-H2O2 to obtain a solution. The total N and P contents were determined using a flow injection analyzer (AA3, Seal, Germany), and the K content was determined by a flame photometer [23]. The fatty acid composition of peanut seeds was measured by the gas chromatography.
2.4. Data Processing and Analysis
Taking N as an example, parameters of NHI (N harvest index), RIEN (N reciprocal internal efficiency), PFPN (N fertilizer partial factor productivity), NUpE (N uptake efficiency), and NUtE (N utilization efficiency) were used to evaluate the characteristics of nutrient uptake and utilization [24,25]. The parameters were calculated as follows:
NHI = N uptake in pod/total N uptake
RIEN = total N uptake/pod yield × 1000
PFPN = pod yield/N fertilizer rate
NUpE = total N uptake/N fertilizer rate
NUtE = pod yield/total N uptake
The data were processed by Microsoft Excel 2016 software and graphed by Origin Lab Origin 2018 software. The statistical analysis of data were performed in SPSS 20.0 software. A one-way ANOVA was used for significant tests at p < 0.05.
3. Results
3.1. Dry Matter (DM), Pod Yield (PY), and Harvest Index (HI)
The PY ranged from 1958 kg/ha to 6915 kg/ha and averaged 4879 kg/ha for 13 field sites in 2 years. Compared with the FP treatment, OPT significantly increased PY in six field sites (Figure 3a). The yield increases by the OPT treatment ranged from -784 kg/ha to 1549 kg/ha and averaged 10.9%. The response of DM to different treatments was consistent with PY at 13 sites over 2 years (Figure 3b). Compared with FP, the DM increase in OPT ranged from −1179 kg/ha to 1544 kg/ha with an average rate of 6.6%. The variation range of peanut HI was 39.9%–64.0% with an average of 54.0% (Figure 3c). The peanut HI under OPT increased significantly in three field sites while decreasing significantly in other three field sites. There was no significant change in HI in total between FP and OPT treatments.
Figure 3.
Variations in dry matter (DM, (a)), pod yield (PY, (b)), and harvest index (HI, (c)) of different fertilization treatment at different field sites in 2020 and 2021. FP: farmers’ practice fertilization; OPT: optimized fertilization. A: experiment in 2021; B: experiment in 2022. Tentacle lines on the bars are standard deviation. Asterisks (*) on the bars indicate a significant difference at p < 0.05 between fertilization treatments for the same field site.
3.2. N, P, and K Uptake
There was significant variation in peanut nutrient uptake at different sites (Figure 4). For the two years, total N, P, and K uptake rates were 96.3–364.2, 6.2–42.6, and 23.0–110.3 kg/ha, and averaged 214.3, 23.3, and 78.4 kg/ha, respectively (Figure 4a,c,e). The total N, P, and K uptake rates under OPT were generally higher than in the FP treatment, with increasing rates of 19.3%, 7.3%, and 11.0%, respectively. In general, the N and P uptake rates by peanut straw were lower than for pods, while the K uptake was higher by straw than by pods, with a lower KHI (Figure 4f). The N, P, and K uptake rates were 164.3, 14.0, and 31.8 kg/ha in pods, and 50.0, 9.3, and 46.6 kg/ha in straw, respectively. For these 2 years, the NHI, PHI, and KHI were 61.7%-86.1%, 48.6%-74.7%, and 20.9%-60.7%, respectively, and averaged 76.0%, 59.8%, and 41.4%, respectively (Figure 4b,d,f). Although there were differences between FP and OPT in several field sites, in general, the OPT treatment did not significantly affect nutrient harvest indexes of peanuts in 13 field sites.
Figure 4.
Uptake and nutrient harvest indexes of N (a,b), P (c,d), and K (e,f) in peanuts under different fertilization treatments. FP: farmers’ practice fertilization; OPT: optimized fertilization. A: experiment in 2021; B: experiment in 2022. Tentacle lines on the bars are standard deviation. Asterisks (*) on the bars indicate a significant difference at p < 0.05 between fertilization treatments for the same field site.
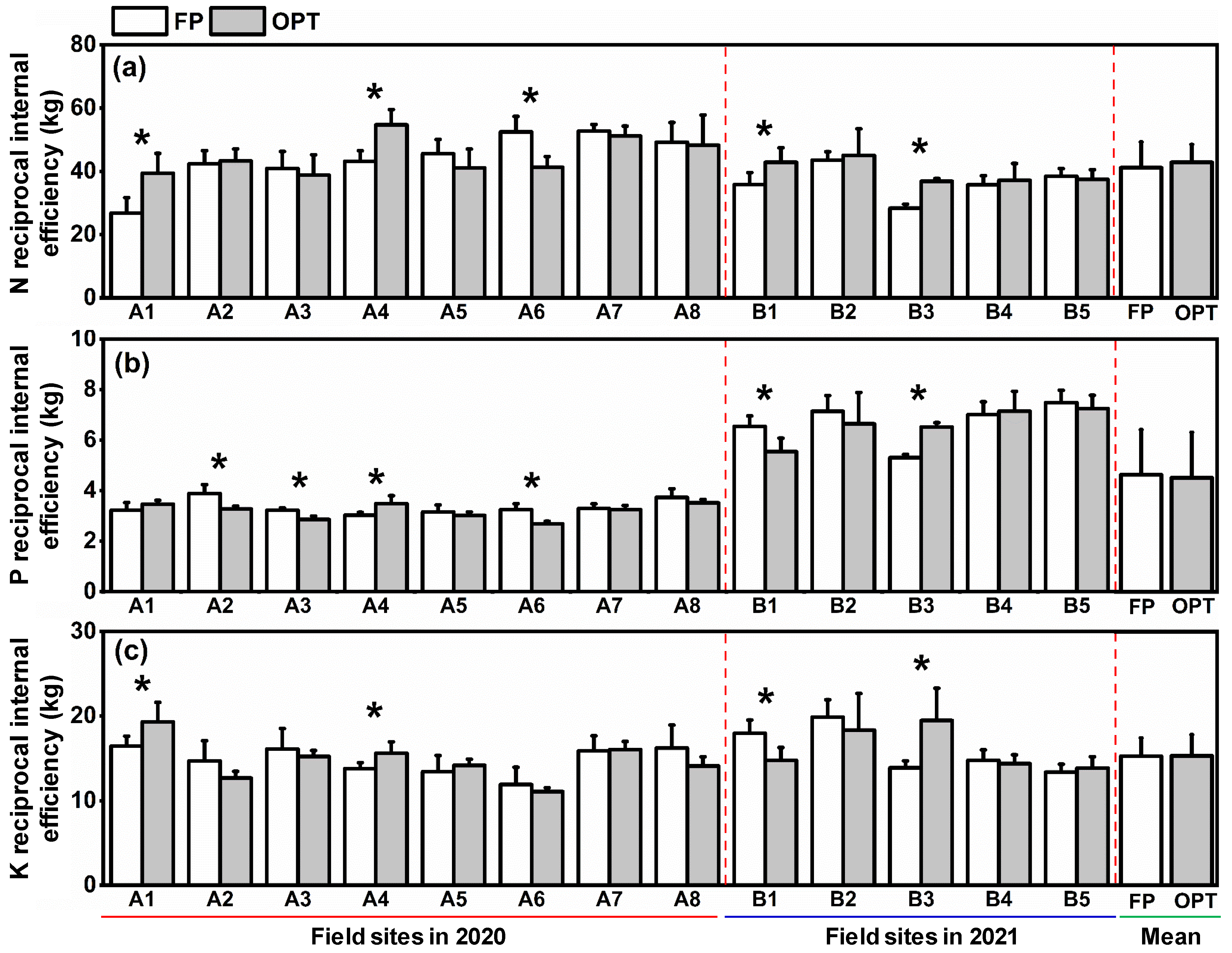
3.3. Reciprocal Internal Efficiency (RIE)
For 13 field sites in the 2 years, the RIE of N (RIEN) averaged 42.0 kg with a range of 26.8–54.7 kg (Figure 5a). The averaged RIEN was 6.9% higher under OPT than under FP. The RIE of P (RIEP) in the 2 years varied from 2.7 kg to 7.5 kg with an average of 4.6 kg (Figure 5b). The RIE of K (RIEK) varied from 11.1 kg to 19.9 kg with an average of 15.3 kg (Figure 5c). There was no significant difference in averaged RIEK or RIEP between FP and OPT treatments.
Figure 5.
Requirements of N (a), P (b), and K (c) to produce 1000 kg pod yield of peanuts (reciprocal internal efficiency (RIE) under different treatments. FP: farmers’ practice fertilization; OPT: optimized fertilization. A: experiment in 2021; B: experiment in 2022. Tentacle lines on the bars are standard deviation. Asterisks (*) on the bars indicate a significant difference at p < 0.05 between fertilization treatments for the same field site.
3.4. Partial Factor Productivity of NPK Fertilizer
Compared with the FP treatment, the average PFPN of OPT increased by 15.1% in 2020 and by 29.8% in 2021 (Figure 6a). The average PFPP of the OPT treatment decreased by 2.4% in 2020 and increased by 3.4% in 2021 compared with FP (Figure 6b). However, the average PFPK of OPT decreased by 23.7% and 31.5% in the 2 years, respectively (Figure 6c).
Figure 6.
Partial factor productivity of N (a), P (b), and K fertilizer (c) under different fertilization treatments. FP: farmers’ practice fertilization; OPT: optimized fertilization. For each boxplot, the top, middle, and bottom solid lines of the box represent the 75% quantile, 50% quantile, and 25% quantile, respectively; the top and bottom horizontal lines outside the box represent the 90% quantile, and 10% quantile, respectively. The square inside the box represents the mean. Blue or red diamonds: data in 2020 or 2021.
3.5. Nutrient Uptake Efficiency
There was a significant variation in NUpE among different field sites (Figure 7a). From 2020 to 2021, the average NUpE of the OPT treatment was increased by 19.3% and 45.2% compared with FP. The average PUpE of OPT decreased by 6.5% in 2020 and increased by 3.4% in 2021 compared with FP (Figure 7b). However, the average KUpE of OPT decreased by 25.5% and 32.2% compared with FP (Figure 7c).
Figure 7.
Uptake efficiency of N (a), P (b), and K (c) in peanuts under different fertilization treatments. FP: farmers’ practice fertilization; OPT: optimized fertilization. For each box plot, the top, middle, and bottom solid lines of the box represent the 75% quantile, 50% quantile, and 25% quantile, respectively; the top and bottom horizontal lines outside the box represent the 90% quantile, and 10% quantile, respectively. The square inside the box represents the mean. Blue or red diamonds: data in 2020 or 2021.
3.6. Nutrient Utilization Efficiency
Compared with FP, the average NUtE for OPT was reduced by 3.8% in 2020 and by 11.7% in 2021 (Figure 8a). The average PUtE for OPT had a 4.8% increase in 2020 but an 11.7% decrease in 2021 compared with FP (Figure 8b). No clear difference in averaged KUtE between FP and OPT treatments was found in the 2 years (Figure 8c).
Figure 8.
N (a), P (b), and K utilization efficiency (c) of peanuts under different fertilization treatments. FP: farmers’ practice fertilization; OPT: optimized fertilization. For each box plot, the top, middle, and bottom solid lines of the box represent the 75% quantile, 50% quantile, and 25% quantile, respectively; the top and bottom horizontal lines outside the box represent the 90% quantile, and 10% quantile, respectively. The square inside the box represents the mean. Blue or red diamonds: data in 2020 or 2021.
3.7. Fatty Acid Composition of Peanut Kernels
In terms of the fatty acid composition of peanut kernels, oleic and linoleic acids accounted for 42.1% and 36.7%, respectively, followed by palmitic acid and stearic acid at 10.7% and 5.0%, respectively (Figure 9a). The ratio of oleic acid to linoleic acid (O/L ratio) was only 1.2 (Figure 9b). In general, the OPT treatment did not significantly affect the fatty acid composition or O/L of peanut kernels compared with FP.
Figure 9.
Fatty acid composition (a) and oleate/linoleate ratio (O/L, (b)) of peanut kernels under different fertilization treatments. FP: farmers’ practice fertilization; OPT: optimized fertilization. For each box plot, the top, middle, and bottom solid lines of the box represent the 75% quantile, 50% quantile, and 25% quantile, respectively; the top and bottom horizontal lines outside the box represent the 90% quantile, and 10% quantile, respectively. The square inside the box represents the mean. Blue or red diamonds: data in 2020 or 2021.
4. Discussion
4.1. Feasibility of Fertilizer Recommendation Based on RMOR
There are some common concerns in developing countries such as small and scatted field sites, lack of test conditions, and lack of technical guidance for agrochemical services [15,26]. The present study demonstrated that the unified fertilization recommendations (i.e., RMOR) can achieve a reduction in chemical fertilizer and N use efficiency without yield loss in peanuts for smallholders in country scale. In these regions, this method has high practical value; the maximum benefit can be obtained, and the fertilizer recommendation is easy to promote. The theoretical basis of the RMOR method is to optimize the fertilizer application in the region scale, thus improving soil condition, the growth characteristics, and nutrient utilization of peanuts [22,27]. In this study, the N and P fertilizer rates according to RMOR were lower than the application rate in peanuts by the farmer practice in this region. Therefore, the simplified method can also save on N and P fertilizer. This is of great practical significance for decreasing the chemical fertilization rate while improving FUE, and thus decreasing the environmental risk, especially in areas with excessive chemical fertilizer consumption [28]. Once the RMOR for a specific crop in a certain region is determined, it can be applied for several years as long as there are no significant changes in climate or cultivation conditions. Therefore, the RMOR can be used as a basis for fertilizer development planning in the region, and as a basis for recommended fertilizer application rates for the crop in different field sites.
4.2. Limitation and Uncertainty
The RMOR is a management strategy for the optimization of regional fertilization, rather than a calculations method. Therefore, the determination of RMOR for a specific region needs to be based on other methods [19]. Meanwhile, applying the RMOR in the entire region, the benefits for individual farmers vary in this study; for some field sites, yields and nutrient efficiency even decrease, though it would not result in a significant yield loss for the region as a whole. The appropriate fertilizer rate for a given crop is affected by diverse factors such as management, soil, climate, and tillage [26,29]. This study showed that even within the same county there was significant variation in peanut yield and nutrient requirement. Therefore, the RMOR and its control range when applied should be delimited according to different conditions in specific regions and field sites and should be determined again with the changes in production environments. Furthermore, the adverse effects of the simplified practice can be decreased when combined with the specific conditions of each field, and then one can make appropriate adjustments of increase or decrease such as according to the soil fertility level, organic fertilizer application, and previous stubble [19,30]. Especially, for counties and regions with high requirements for precision fertilization, adjustment according to the specific situation of the local field and/or the necessary testing is needed to avoid the loss of yield and economic benefits from individual field sites.
4.3. Nutrient Requirements of Peanut
Compared with other studies with large sample sizes, the N requirement to produce 1000 pods in this study was similar to the result of 42.2 kg [25], but slightly lower than in other studies [31,32]; P and K demand was lower than what was estimated across China [31] and in the same region of central north China [32]. Estimation variation in nutrient requirement may be related to differences in planting regions, cultivars, soil conditions, yield level, and tillage [30,33]. Crucsiol et al. [3] demonstrated that N absorption for older cultivars remains high, while newer cultivars were less demanding in N. Xie et al. [25] found that the values of nutrient requirement simulated by modeling were lower than the average observed values, and they explained that the N, P, and K predicted by the model were the optimal nutrient requirements under the conditions of the balanced absorption of N, P, and K. However, high soil nutrient supply and excessive fertilization practices may have resulted in excess nutrient uptake [31]. A large number of studies have demonstrated that crop nutrient uptake positively correlates with yield level, but the yield increase decreases when the yield reaches a certain level [32]. As a result, nutrient requirements per unit yield tended to decrease as yields increased, especially when yields were above 70% of the potential yield [25]. The peanut yield has been strongly promoted in the past few decades in China due to cultivar renewal, adequate fertilization, soil improvement, and other management changes [32]. This means that the nutrient uptake requirements to produce unit pods may be decreasing.
5. Conclusions
The results of multi-site peanut experiments supported the hypothesis that compared with the FP treatment, the OPT treatment based on the RMOR method promoted N use efficiency (PFPN and NUPE), and decreased the nutrient inputs by chemical fertilizer, especially the N and P fertilizers, without the loss of peanut yield and NPK uptake. The NPK nutrient requirements of peanuts are quantified in this study, which is important for the regional recommendation of fertilization based on the RMOR. Therefore, the RMOR method is feasible for NPK fertilizer recommendations for peanut plantations, as it can simultaneously realize the optimization of agronomic, economic, and environmental benefits at a regional scale. The RMOR method can also be generally adopted in countries and regions with widespread smallholder farms. Furthermore, combined with precision fertilization technologies, the RMOR method is promising to realize agronomic and environmental optimization at the field scale.
Supplementary Materials
The following supporting information can be downloaded at: https://www.mdpi.com/article/10.3390/plants12061326/s1, Figure S1: the yield-fertilizer rate response modeling for the RMOR of NPK fertilizer.
Author Contributions
Conceptualization, Y.Z. and J.Y.; methodology, Y.Z., Y.L., and S.Z.; validation, J.H., Y.Y. (Yang Yang), H.Z., and Y.L.; formal analysis, J.Y. and Y.Y. (Youliang Ye); investigation, H.Z. and Y.H.; data curation, Y.Z. and J.Y.; writing—original draft preparation, J.H.; writing—review and editing, Y.Z., X.H., and J.Y.; visualization, J.H.; supervision, J.Y.; project administration, Y.Z. All authors have read and agreed to the published version of the manuscript.
Funding
This study was financially supported by the Key Scientific Research Project of the Higher Education Institutions of Henan Province (21A210022), the Research and Practice Project of Higher Education Teaching Reform in Henan Province (2021SJGLX086), and the Open Research Project of the Innovation Center for the Efficient Use of Nitrogen Fertilizer from Henan Xinlianxin Chemical Industry Group Co., Ltd. (30801723).
Institutional Review Board Statement
Not applicable.
Informed Consent Statement
Not applicable.
Data Availability Statement
The data presented in this study are available on request from the corresponding author.
Acknowledgments
We thank Songhua Yue, Hongbo Bai, and Qun Li for their assistance during the experiments, Hui Yu of Zhengyang Peanut Institute, Henan, China for suggestions to the RMOR of chemical fertilizer, and LetPub (www.letpub.com) for its linguistic assistance during the preparation of this manuscript.
Conflicts of Interest
The authors declare no conflict of interest. Improvement of peanut yield and nutrient use efficiency by regional mean optimal rate of chemical fertilizer based on a multi-site field experiment in the North China Plain.
References
- Stalker, H.T. Peanut (Arachis hypogaea L.). Field Crops Res. 1997, 53, 205–217. [Google Scholar] [CrossRef]
- Food and Agriculture Organization of the United Nations. 2021. Available online: http://www.fao.org (accessed on 15 October 2022).
- Crusciol, C.A.C.; Portugal, J.R.; Bossolani, J.W.; Moretti, L.G.; Fernandes, A.M.; Garcia, J.L.N.; Garcia, G.L.d.B.; Cantarella, H. Dynamics of macronutrient uptake and removal by modern peanut cultivars. Plants 2021, 10, 2167. [Google Scholar] [CrossRef]
- Wang, C.B.; Zheng, Y.M.; Shen, P.; Zheng, Y.P.; Wu, Z.F.; Sun, X.W.; Yu, T.; Feng, H. Determining N supplied sources and N use efficiency for peanut under applications of four forms of N fertilizers labeled by isotope 15N. J. Integr. Agr. 2016, 15, 432–439. [Google Scholar] [CrossRef]
- Cui, Z.; Vitousek, P.M.; Zhang, F.; Chen, X. Strengthening agronomy research for food security and environmental quality. Environ. Sci. Technol. 2016, 50, 1639–1641. [Google Scholar] [CrossRef] [PubMed]
- Michalczyk, A.; Kersebaum, K.C.; Dauck, H.P.; Roelcke, M.; Yue, S.C.; Chen, X.P.; Zhang, F.S. Quantifying nitrogen loss and water use via regionalization and multiple-year scenario simulations in the North China Plain. J. Plant Nutr. Soil Sci. 2020, 183, 718–733. [Google Scholar] [CrossRef]
- Russell, C.A.; Dunn, B.W.; Batten, G.D.; Williams, R.L.; Angus, J.F. Soil tests to predict optimum fertilizer nitrogen rate for rice. Field Crops Res. 2006, 97, 286–301. [Google Scholar] [CrossRef]
- Olfs, H.W.; Blankenau, K.; Brentrup, F.; Jasper, J.; Link, A.; Lammel, J. Soil and plant-based nitrogen-fertilizer recommendations in arable farming. J. Plant Nutr. Soil Sci. 2005, 168, 414–431. [Google Scholar] [CrossRef]
- Zhu, Z.; Zhang, S.; Yin, B.; Yan, X. Historical comparison on the response curses of rice yield-nitrogen application rate in Tai Lake Region. Plant Nutr. Fertil. Sci. 2010, 16, 1–5, (In Chinese with English Abstract). [Google Scholar]
- Qi, X.; Zhao, Y.; Huang, Y.; Wang, Y.; Qin, W.; Fu, W.; Guo, Y.; Ye, Y. A novel approach for nitrogen diagnosis of wheat canopies digital images by mobile phones based on histogram. Sci. Rep. 2021, 11, 13012. [Google Scholar] [CrossRef]
- Xie, M.; Wang, Z.; Huete, A.; Brown, L.A.; Wang, H.; Xie, Q.; Xu, X.; Ding, Y. Estimating peanut leaf chlorophyll content with dorsiventral leaf adjusted indices: Minimizing the impact of spectral differences between adaxial and abaxial leaf surfaces. Remote Sens. 2019, 11, 2148. [Google Scholar] [CrossRef]
- Elsharkawy, M.M.; Sheta, A.E.A.S.; D’Antonio, P.; Abdelwahed, M.S.; Scopa, A. Tool for the establishment of agro-management zones using GIS techniques for precision farming in Egypt. Sustainability 2022, 14, 5437. [Google Scholar] [CrossRef]
- Dai, J.; Wang, Z.; Li, F.; He, G.; Wang, S.; Li, Q.; Cao, H.; Luo, L.; Zan, Y.; Meng, X.; et al. Optimizing nitrogen input by balancing winter wheat yield and residual nitrate-N in soil in a long-term dryland field experiment in the Loess Plateau of China. Field Crops Res. 2015, 181, 32–41. [Google Scholar] [CrossRef]
- Zhao, Y.; Xu, X.; Sun, X.; Yan, J.; Huang, Y.; Ye, Y. GIS-based NPK recommendation and fertilizer formulae for wheat production in different regions of Henan Province. J. Plant Nutr. Fertil. 2021, 27, 938–948, (In Chinese with English Abstract). [Google Scholar]
- Cui, Z.; Zhang, H.; Chen, X.; Zhang, C.; Ma, W.; Huang, C.; Zhang, W.; Mi, G.; Miao, Y.; Li, X.; et al. Pursuing sustainable productivity with millions of smallholder farmers. Nature 2018, 555, 363–366. [Google Scholar] [CrossRef]
- Chen, J.; Huang, Y.; Tang, Y.H. Quantifying economically and ecologically optimum nitrogen rates for rice production in south-eastern China. Agric. Ecosyst. Environ. 2011, 142, 195–204. [Google Scholar] [CrossRef]
- Zhao, Y.; Huang, Y.; Li, S.; Chu, X.; Ye, Y. Improving the growth, lodging and yield of different density-resistance maize by optimising planting density and nitrogen fertilisation. Plant Soil Environ. 2020, 66, 453–460. [Google Scholar] [CrossRef]
- Zhu, Z. On the methodology of recommendation for the application rate of chemical fertilizer nitrogen to crops. Plant Nutr. Fertil. Sci. 2006, 12, 1–4, (In Chinese with English Abstract). [Google Scholar]
- Wang, W.; Lu, J.; Ren, T.; Li, X.; Su, W.; Lu, M. Evaluating regional mean optimal nitrogen rates in combination with indigenous nitrogen supply for rice production. Field Crops Res. 2012, 137, 37–48. [Google Scholar] [CrossRef]
- Ren, T.; Zou, J.; Lu, J.; Chen, F.; Wu, J.; Li, X. On-farm trials of optimal fertilizer recommendations for the maintenance of high seed yields in winter oilseed rape (Brassica napus L.) production. Soil Sci. Plant Nutr. 2015, 61, 528–540. [Google Scholar] [CrossRef]
- Zhengyang County People’s Government. 2022. Available online: https://www.zhengyang.gov.cn (accessed on 15 October 2022). (In Chinese)
- Wu, Q.; Wang, Y.; Zhao, Y.; Li, R.; Si, Y.; Huang, Y.; Ye, Y.; Zhang, F. Effects of nitrogen, phosphorus and potassium ratios on yield, nutrient uptake and economic benefits of high-yielding summer-sown peanut in tidal soils. Soil Fertil. Sci. China 2019, 2, 98–104, (In Chinese with English Abstract). [Google Scholar]
- Lu, R.K. Analytical Methods of Soil Agricultural Chemistry; China Agricultural Science and Technology Press: Beijing, China, 2000. (In Chinese) [Google Scholar]
- Zhao, Y.; Li, R.; Huang, Y.; Sun, X.; Qin, W.; Wei, F.; Ye, Y. Effects of various phosphorus fertilizers on maize yield and phosphorus uptake in soils with different pH values. Arch. Agron. Soil Sci. 2022, 68, 1746–1754. [Google Scholar] [CrossRef]
- Xie, M.; Wang, Z.; Xu, X.; Zheng, X.; Liu, H.; Shi, P. Quantitative estimation of the nutrient uptake requirements of peanut. Agronomy 2020, 10, 119. [Google Scholar] [CrossRef]
- Tetteh Anang, B.; Alhassan, H.; Danso-Abbeam, G. Estimating technology adoption and technical efficiency in smallholder maize production: A double bootstrap DEA approach. Cogent Food Agric. 2020, 6, 1833421. [Google Scholar] [CrossRef]
- Cook, R.J.; Sitton, J.W.; Haglund, W.A. Increased growth and yield responses of wheat to reductions in the Pythium population by soil treatments. Phytopathology 1987, 77, 1192–1198. [Google Scholar] [CrossRef]
- Zhao, Y.; Xu, X.; Huang, Y.; Sun, X.; Ye, Y. Nitrogen requirement and saving potential for wheat and maize in Henan Province. Sci. Agi. Sin. 2018, 51, 2747–2757, (In Chinese with English Abstract). [Google Scholar]
- Haefele, S.M.; Naklang, K.; Harnpichitvitaya, D.; Jearakongman, S.; Skulkhu, E.; Romyen, P.; Phasopa, S.; Tabtim, S.; Suriya-arunroj, D.; Khunthasuvon, S.; et al. Factors affecting rice yield and fertilizer response in rainfed lowlands of northeast Thailand. Field Crops Res. 2006, 98, 39–51. [Google Scholar] [CrossRef]
- Zhang, K.; Wang, X.; Li, Y.; Zhao, J.; Yang, Y.; Zang, H.; Zeng, Z. Peanut residue incorporation benefits crop yield, nitrogen yield, and water use efficiency of summer peanut-winter wheat systems. Field Crops Res. 2022, 279, 108463. [Google Scholar] [CrossRef]
- Wang, X.; Lv, J.; He, P.; Ciampitti, I.A.; Qiu, S.; Xu, X.; Zhao, S. Nutrient uptake behavior of peanut under optimum fertilization management in China. Crops Sci. 2021, 61, 4344–4351. [Google Scholar] [CrossRef]
- Zhao, S.C.; Lv, J.L.; Xu, X.P.; Lin, X.M.; Rosso, L.M.; Qiu, S.J.; Ciampitti, I.; He, P. Peanut yield, nutrient uptake and nutrient requirements in different regions of China. J. Integr. Agr. 2021, 20, 2502–2511. [Google Scholar] [CrossRef]
- Shen, P.; Wang, C.; Wu, Z.; Wang, C.; Zhao, H.; Shan, S.; Wu, M.; Sun, X.; Yu, T.; Zheng, Y.; et al. Peanut macronutrient absorptions characteristics in response to soil compaction stress in typical brown soils under various tillage systems. Soil Sci. Plant Nutr. 2019, 65, 148–158. [Google Scholar] [CrossRef]
Disclaimer/Publisher’s Note: The statements, opinions and data contained in all publications are solely those of the individual author(s) and contributor(s) and not of MDPI and/or the editor(s). MDPI and/or the editor(s) disclaim responsibility for any injury to people or property resulting from any ideas, methods, instructions or products referred to in the content. |
© 2023 by the authors. Licensee MDPI, Basel, Switzerland. This article is an open access article distributed under the terms and conditions of the Creative Commons Attribution (CC BY) license (https://creativecommons.org/licenses/by/4.0/).








