Effect of Delayed Irrigation at the Jointing Stage on Nitrogen, Silicon Nutrition and Grain Yield of Winter Wheat in the North China Plain
Abstract
1. Introduction
2. Materials and Methods
2.1. Experimental Sites
2.2. Experimental Design
2.3. Date Collection and Calculation
2.3.1. Plant Biomass
2.3.2. N Content Determination
2.3.3. Si Content Determination
2.3.4. Grain Yield
2.4. Statistical Analyses
3. Results
3.1. Changes of N and Si Contents in Winter Wheat and Their Distribution in Various Organs
3.1.1. Dynamics of the N and Si Content in Winter Wheat
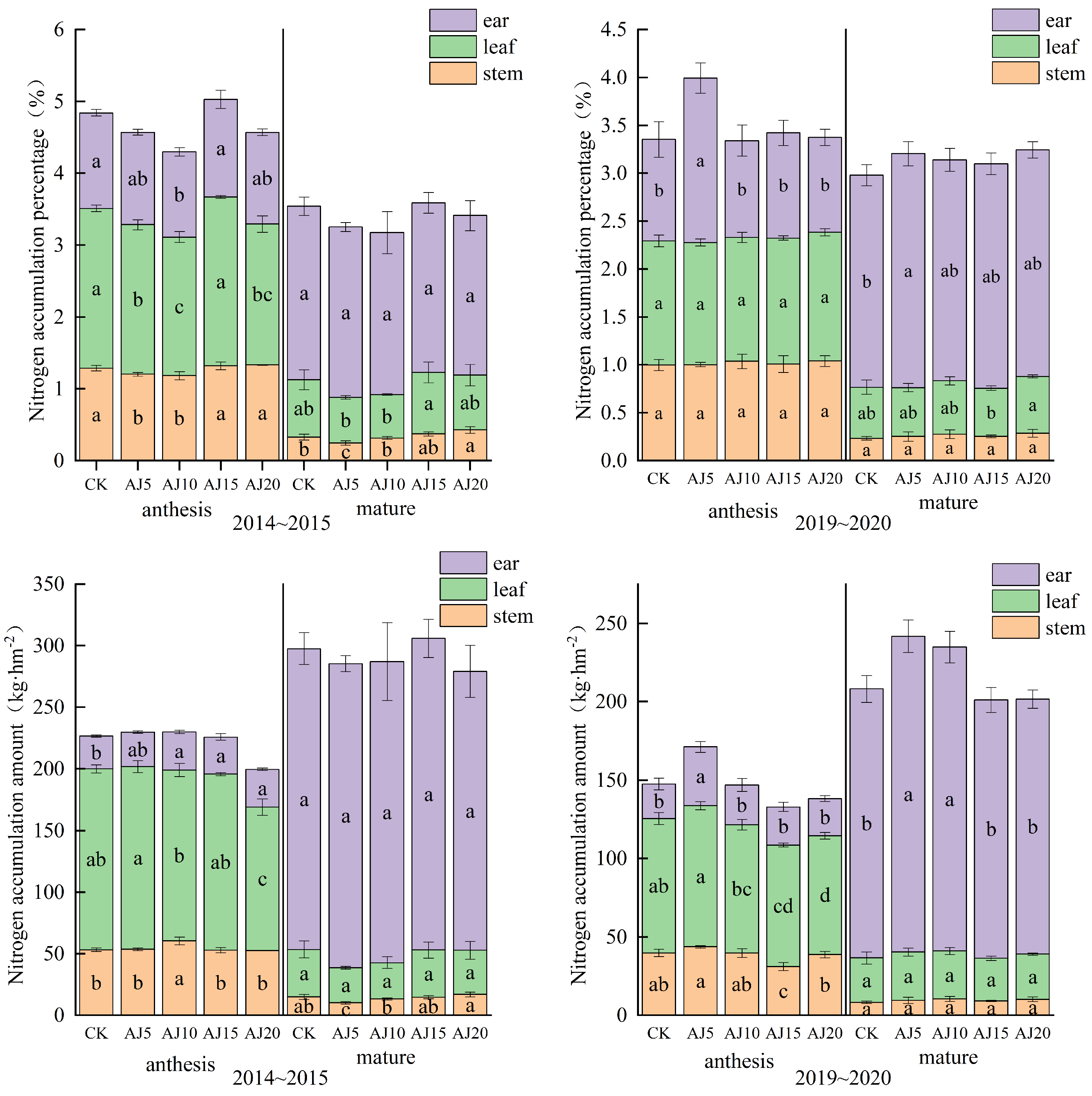
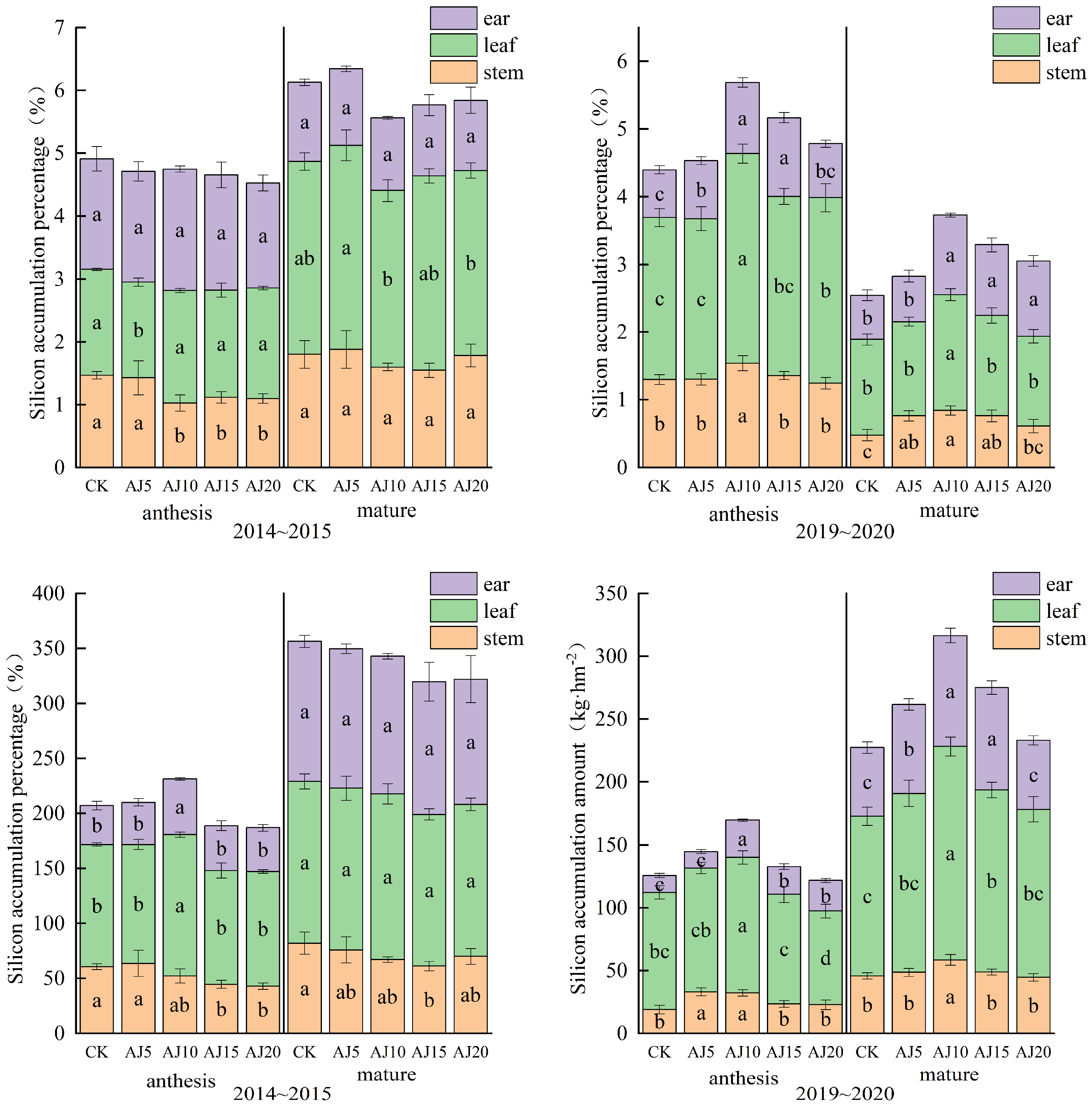
3.1.2. Content and Accumulation of N and Si in Different Parts
3.1.3. Distribution of N and Si in Different Wheat Parts
3.1.4. Net Uptake and Transfer of N and Si in Different Organs
3.2. GY and Its Correlation with the N and Si Accumulation
3.2.1. Impact of Irrigation Duration and Different Years on the GY and Irrigation Water Use Efficiency of Winter Wheat
3.2.2. Relationship between the Studied Parameters
4. Discussion
4.1. The Relationship between the N and Si Content, Accumulation, and Yield Level of Winter Wheat
4.2. N Nutritional Characteristics of Winter Wheat and Its Effect on GY under Different Times of Spring Irrigation
4.3. Si Nutritional Characteristics of Winter Wheat and Its Effect on the GY under Different Irrigation Times in Spring
4.4. Effect of Different Spring Irrigation Times on the IUE of Winter Wheat
5. Conclusions
Author Contributions
Funding
Data Availability Statement
Conflicts of Interest
References
- Li, X.; Wang, S.W.; Chen, Y.F.; Zhang, D.W.; Yang, S.S.; Wang, J.W.; Zhang, J.H.; Bai, Y.; Zhang, S. Improved simulation of winter wheat yield in North China Plain by using PRYM-Wheat integrated dry matter distribution coefficient. J. Integr. Agric. 2024, 23, 1381–1392. [Google Scholar] [CrossRef]
- Zeng, R.Y.; Yao, F.M.; Zhang, S.; Yang, S.S.; Bai, Y.; Zhang, J.H.; Wang, J.W.; Wang, X. Assessing the effects of precipitation and irrigation on winter wheat yield and water productivity in North China Plain. Agric. Water Manag. 2021, 256, 107063. [Google Scholar] [CrossRef]
- Cao, G.L.; Han, D.M.; Song, X.F. Evaluating actual evapotranspiration and impacts of groundwater storage change in the North China Plain. Hydrol. Process. 2014, 28, 1797–1808. [Google Scholar] [CrossRef]
- Zhou, L.L.; Liao, S.H.; Wang, Z.M.; Wang, P.; Zhang, Y.H.; Yan, H.J.; Gao, Z.; Shen, S.; Liang, X.G.; Wang, J.H.; et al. A simulation of winter wheat crop responses to irrigation management using CERES-Wheat model in the North China Plain. J. Integr. Agric. 2017, 17, 1181–1193. [Google Scholar] [CrossRef]
- Fang, Q.X.; Ma, L.; Green, T.R.; Yu, Q.; Wang, T.D.; Ahuja, L.R. Water resources and water use efficiency in the North China Plain: Current status and agronomic management options. Agric. Water Manag. 2010, 97, 1102–1116. [Google Scholar] [CrossRef]
- Lv, L.H.; Yao, Y.R.; Zhang, L.H.; Dong, Z.Q.; Jia, X.L.; Liang, S.B.; Ji, J.J. Winter wheat grain yield and its components in the North China Plain: Irrigation management, cultivation, and climate. Chil. J. Agric. Res. 2013, 73, 233–242. [Google Scholar] [CrossRef]
- Wu, X.F.; Qi, Y.Q.; Shen, Y.J.; Yang, W.; Zhang, Y.C.; Kondoh, A. Change of winter wheat planting area and its impacts on groundwater depletion in the North China Plain. J. Geogr. Sci. 2019, 29, 891–908. [Google Scholar] [CrossRef]
- Zhao, D.D.; Shen, J.Y.; Lang, K.; Liu, Q.R.; Li, Q.Q. Effects of irrigation and wide-precision planting on water use, radiation interception, and grain yield of winter wheat in the North China Plain. Agric. Water Manag. 2013, 118, 87–92. [Google Scholar]
- Yang, Y.H.; Ding, J.L.; Zhang, Y.H.; Wu, J.C.; Zhang, J.M.; Pan, X.Y.; Gao, C.M.; Wang, Y.; He, F. Effects of tillage and mulching measures on soil moisture and temperature, photosynthetic characteristics and yield of winter wheat. Agric. Water Manag. 2018, 201, 299–308. [Google Scholar] [CrossRef]
- Meng, Z.J.; Jia, D.L.; Liu, A.N.; Pang, H.B.; Wang, H.Z.; Chen, J.P. Effect of regulated deficit irrigation on physiological mechanism and water use efficiency of winter wheat. Trans. CSAE 2003, 19, 66–69. [Google Scholar]
- Fan, Y.L.; Liu, J.M.; Zhao, J.T.; Ma, Y.Z.; Li, Q.Q. Effects of delayed irrigation during the jointing stage on the photosynthetic characteristics and yield of winter wheat under different planting patterns. Agric. Water Manag. 2019, 221, 371–376. [Google Scholar] [CrossRef]
- Li, X.S.; Dang, H.K.; Song, N.; Shen, X.J.; Ma, F.J.; Sun, J.S. Effects of irrigation once at different time on water consumption and dry matter production of winter wheat in spring. Trans. Agric. Mach. 2019, 50, 280–289. [Google Scholar]
- Gayatri; Venkatesh, K.; Sinha, S.K.; Roy, P.; Mandal, P.K. Molecular Characterization of GS2 and Fd-GOGAT Homeologues and Their Biased Response to Nitrogen Stress in Bread Wheat (Triticum aestivum L.). J. Plant Growth Regul. 2021, 41, 2555–2569. [Google Scholar] [CrossRef]
- Ma, Q.; Wang, M.Y.; Zheng, G.L.; Yao, Y.; Tao, R.R.; Zhu, M.; Ding, J.F.; Li, C.Y.; Guo, W.S.; Zhu, X.K. Field Crops Research. Twice-split application of controlled-release nitrogen fertilizer met the nitrogen demand of winter wheat. Field Crop. Res. 2021, 267, 108163. [Google Scholar] [CrossRef]
- Ferreira, L.A.R.; Silva, S.R.; Lollato, R.P.; Ferreira, E.B.; Kolln, O.T. Wheat nitrogen utilization efficiency and yield as affected by nitrogen management and environmental conditions. Emir. J. Food Agric. 2021, 33, 944–957. [Google Scholar] [CrossRef]
- Leghari, S.J.; Wahocho, N.A.; Laghari, G.M.; Laghari, A.H.; Bhabhan, G.M.; Talpur, K.H.; Bhutto, T.A.; Wahocho, S.A.; Lashari, A.A. Role of Nitrogen for Plant Growth and Development: A review. Adv. Environ. Biol. 2016, 10, 209–218. [Google Scholar]
- Yang, J.C.; Zhang, J.H.; Wang, Z.Q.; Zhu, Q.S.; Liu, L.J. Water Deficit–Induced Senescence and Its Relationship to the Remobilization of Pre-Stored Carbon in Wheat during Grain Filling. Agron. J. 2001, 93, 196–206. [Google Scholar] [CrossRef]
- Yan, S.C.; Wu, Y.; Fan, J.L.; Zhang, F.C.; Guo, J.J.; Zheng, J.; Wu, L.F. Quantifying grain yield, protein, nutrient uptake and utilization of winter wheat under various drip fertigation regimes. Agric. Water Manag. 2022, 261, 107380. [Google Scholar] [CrossRef]
- Yu, Y.; Qu, Z.Y.; Liu, Y.J. Experimental Research on the Influence of Limited Irrigation on Wheat Growth under the Condition of Intercropping Plantation. Trans. China Rural Water Hydropower 2010, 3, 11–13. [Google Scholar]
- Rodrigues, F.A.; Resende, R.S.; Dallagnol, L.J.; Datnoff, L.E. Silicon Potentiates Host Defense Mechanisms Against Infection by Plant Pathogens. In Silicon and Plant Diseases; Springer International Publishing: New York, NY, USA, 2015; pp. 109–138. [Google Scholar]
- Epstein, E. Silicon. Annu. Rev. Plant Physiol. Plant Mol. Biol. 1999, 50, 641–664. [Google Scholar] [CrossRef]
- Moldes, C.A.; Filho, O.F.d.L.; Merini, L.J.; Tsai, S.M.; Plantarum, J.M.C.J.A.P. Occurrence of powdery mildew disease in wheat fertilized with increasing silicon doses: A chemometric analysis of antioxidant response. Acta Physiol. Plant. 2016, 38, 206. [Google Scholar] [CrossRef]
- Ahmed, M.; Kamran, A.; Asif, M.; Qadeer, U.; Ahmed, Z.I.; Goyal, A. Silicon priming: A potential source to impart abiotic stress tolerance in wheat: A review. Aust. J. Crop Sci. 2013, 7, 484–491. [Google Scholar]
- Hamayun, M.; Sohn, E.Y.; Khan, S.A.; Shinwari, Z.K.; Lee, I.J. Silicon alleviates the adverse effects of salinity and drought stress on growth and endogenous plant growth hormones of soybean (Glycine max L.). Pak. J. Bot. 2010, 42, 1713–1722. [Google Scholar]
- Nadeem, M.; Ul Haq, M.A.; Saqib, M.; Maqsood, M.; Iftikhar, I.; Ali, T.; Awais, M.; Ulah, R.; He, Z.L. Nutrients, Osmotic and Oxidative Stress Management in Bread Wheat (Triticum aestivum L.) by Exogenously Applied Silicon Fertilization Under Water Deficit Natural Saline Conditions. Silicon 2022, 14, 11869–11880. [Google Scholar] [CrossRef]
- Mecfel, J.; Hinke, S.; Goedel, W.A.; Marx, G.; Fehlhaber, R.; Bäucker, E.; Wienhaus, O. Effect of silicon fertilizers on silicon accumulation in wheat. J. Plant Nutr. Soil Sci. 2007, 170, 769–772. [Google Scholar] [CrossRef]
- Khan, A.L. Silicon: A valuable soil element for improving plant growth and CO2 sequestration. J. Adv. Res. 2024. [Google Scholar] [CrossRef] [PubMed]
- Salem, E.M.M.; Kenawey, M.K.M.; Saudy, H.S.; Mubarak, M. Influence of Silicon Forms on Nutrients Accumulation and Grain Yield of Wheat Under Water Deficit Conditions. Gesunde Pflanz. 2022, 74, 539–548. [Google Scholar] [CrossRef]
- Liu, Z.L. Effects of Irrigation Once in Spring on Different Dates on Growth and Water Use Efficiency for Winter Wheat. Master’s Thesis, Shandong Agricultural University, Tai’an, China, 2021. [Google Scholar]
- Xu, J.K.; Shi, Y.; Yu, Z.W.; Zhao, J.Y. Irrigation methods affect wheat flag leaf senescence and chlorophyll fluorescence in the North China Plain. Int. J. Plant Prod. 2017, 11, 361–377. [Google Scholar] [CrossRef]
- Bao, S.D. Soil and Agricultural Chemistry Analysis; China Agriculture Press: Beijing, China, 2000. [Google Scholar]
- Hogendorp, B.K.; Cloyd, R.A.; Swiader, J.M. Determination of Silicon Concentration in Some Horticultural Plants. HortScience 2012, 47, 1593–1595. [Google Scholar] [CrossRef]
- Yang, Y.J. A method for the determination of silicon in rice plants by alkali-dissolution digestion with nickel crucible. Biotechnology 1995, 3, 42–44. [Google Scholar] [CrossRef]
- Li, X.J. A Study on Physiological Basis and Optimized Agronomic Measures for Water-Saving and High-Yield of Spring Wheat in Hetao Irrigation District. Master’s Thesis, Inner Mongolia Agricultural University, Hohhot, China, 2014. [Google Scholar]
- Li, H. Effect of Rice Straw Returning on Si and Zn Absorption and Utilization of Soil and Crop in Rice-Wheat Rotation System. Master’s Thesis, Southwest University, Chongqing, China, 2017. [Google Scholar]
- Liang, X.Q. Effects of Plant-Row Configuration on Growth and Plant Nutrients of Winter Wheat in South Xinjiang. Master’s Thesis, Tarim University, Alaer, China, 2022. [Google Scholar]
- He, R. Effects of Straw and Its Ash Returning on Soil Nutrient, Crop Nutrient Uptake and Crop Yield. Master’s Thesis, Sichuan Agricultural University, Chengdu, China, 2020. [Google Scholar]
- He, Z.R. Effects of Nitrogen and Phosphorus Reduction on Plant Physiology, Soil Biological Characteristics and Yield of Strong Gluten Wheat Varieties. Master’s Thesis, Henan Agricultural University, Zhengzhou, China, 2024. [Google Scholar]
- Li, R.Q.; Li, Y.Q.; He, J.X.; Li, G.C.; Hao, X.C.; Wang, F. Effect of Nitrogen Application Rate on Nitrogen Utilization and Grain Yield of Winter Wheat. J. Triticeae Crops 2011, 42, 1713–1722. [Google Scholar]
- Dang, H.K.; Li, R.Q.; Sun, Y.H.; Zhang, X.W.; Li, Y.M. Absorption, accumulation and distribution of potassium in super highly-yielding winter wheat. Sci. Direct 2013, 19, 1037–1047. [Google Scholar]
- Li, W.; Zhou, X.N.; Yu, K.; Zhang, Z.; Liu, Y.; Hu, N.Y.; Liu, Y.; Yao, C.S.; Yang, X.G.; Wang, Z.M.; et al. Spectroscopic Estimation of N Concentration in Wheat Organs for Assessing N Remobilization Under Different Irrigation Regimes. Front. Plant Sci. 2021, 12, 657578. [Google Scholar] [CrossRef] [PubMed]
- Moradi, L.; Siosemardeh, A.; Sohrabi, Y.; Bahramnejad, B.; Hosseinpanahi, F. Effects of supplemental irrigation on the accumulation, partitioning, and remobilization of nitrogen, yield and water use efficiency of wheat cultivars. J. Plant Nutr. 2022, 45, 2758–2773. [Google Scholar] [CrossRef]
- Liu, E.K.; Mei, X.R.; Gong, D.Z.; Yan, C.R.; Zhuang, Y. Effects of drought on N absorption and utilization in winter wheat at different developmental stages. Chin. J. Plant Ecol. 2010, 34, 555–562. [Google Scholar]
- Li, L. Physiological and Biochemical Mechanisms of Wheat Response to Water and Nitrogen Stress and Elevated CO2 Concentration. Ph.D. Thesis, Chinese Academy of Agricultural Sciences, Beijing, China, 2021. [Google Scholar]
- Sun, W.H.; Hamani, A.K.M.; Si, Z.Y.; Abubakar, S.A.; Liang, Y.P.; Liu, K.; Gao, Y. Effects of Timing in Irrigation and Fertilization on Soil NO3−-N Distribution, Grain Yield and Water–Nitrogen Use Efficiency of Drip-Fertigated Winter Wheat in the North China Plain. Water 2022, 14, 1780. [Google Scholar] [CrossRef]
- Hou, R.; Xu, X.; Ouyang, Z. Effect of experimental warming on nitrogen uptake by winter wheat under conventional tillage versus no-till systems. Soil Tillage Res. 2018, 180, 116–125. [Google Scholar] [CrossRef]
- Gao, Z.Z.; Wang, Y.X.; Feng, Y.P.; Laraib, I.; Wang, C.; Zhao, J.C.; Chu, Q.Q. Optimized irrigation management mitigates reactive nitrogen loss and shapes nitrogen fate in wheat production. Field Crops Res. 2024, 308, 109269. [Google Scholar] [CrossRef]
- Lu, J.S.; Hu, T.T.; Li, Y.; Cui, X.L.; Cheng, M.H.; Yan, S.C.; Xiang, Y.Z.; Fan, J.L.; Zhang, F.C.; Xiong, Y.C. Effects of different water management strategies on critical nitrogen concentration dilution curves, nitrogen accumulation, and grain yield in winter wheat. Agric. Commun. 2024, 2, 2949–7981. [Google Scholar] [CrossRef]
- Nie, W.T. Effects of Nitrogen Application on Yield and Quality of Different Wheat Varieties. Master’s Thesis, Northwest Agriculture and Forestry Technology University, Shanxi, China, 2018. [Google Scholar]
- Chen, X.; Tong, Y.A.; Kang, H.H.; Yu, J.B.; Wang, Z.H.; Yang, J.F. Effect of postponing N application on the yield, apparent N recovery and N absorption of winter wheat. Plant Nutr. Fertil. Sci. 2008, 14, 450–455. [Google Scholar]
- Ahmad, M.; EI-Saeid, M.H.; Akram, M.A.; Ahmad, H.R.; Haroon, H.; Hussain, A. Silicon fertilization—A tool to boost up drought tolerance in wheat (Triticum aestivum L.) crop for better yield. J. Plant Nutr. 2016, 39, 1283–1291. [Google Scholar] [CrossRef]
- Zhan, H. Morphological Characteristics of Phytolith and Effects of Exogenous Silicon on Cold Tolerance of Bamboo Seedlings in 10 Clumped Bamboo Species. Ph.D. Thesis, Southwest Forestry University, Kunming, China, 2017. [Google Scholar]
- Silva, O.N.; Lobato, A.K.S.; Ávila, F.W.; Costa, R.L.C.; Oliveira Neto, C.F.; Santos Filho, B.G.; Martins Filho, A.M.; Lemos, R.; Pinho, J.M.; Medeiros, M.B.C.L.; et al. Silicon induced increase in chlorophyll is modulated by the leaf water potential in two water-deficient tomato cultivars. Plant Soil Environ. 2012, 58, 481–486. [Google Scholar] [CrossRef]
- Radkowski, A.; Radkowska, I. Effects of silicate fertilizer on seed yield in timothy-grass (Phleum pratense L.). Ecol. Chem. Eng. S-Chem. I Inz. Ekol. S 2018, 25, 169–180. [Google Scholar] [CrossRef]
- Liu, B.H.; Wang, B.Y.; Chen, Z.Y.; Zhang, W.Y. Effects of irrigation time on yield and growth characteristics of winter wheat in spring. Trans. J. Irrig. Drain. 2021, 40, 122–128. [Google Scholar]
- Liu, R.; Zhou, W.W.; Jin, S.A.; Shang, M.X.; Wang, M.; Li, J.L. Effects of soil moisture supplemental irrigation on farmland water and nitrogen and wheat yield under a new irrigation model. Trans. J. Irrig. Drain. 2023, 42, 39–46. [Google Scholar]
- Xu, X.X.; Zhang, Y.H.; Li, J.P.; Zhang, M.; Zhou, S.L.; Wang, Z.M. Optimizing single irrigation scheme to improve water use efficiency by manipulating winter wheat sink-source relationships in Northern China Plain. PLoS ONE 2018, 13, e0193895. [Google Scholar] [CrossRef]
- Feng, Y.P.; Yang, M.; Shang, M.F.; Jia, H.; Chu, Q.Q.; Chen, F. Improving the annual yield of a wheat and maize system through irrigation at the maize sowing stage. Irrig. Drain. 2018, 67, 755–761. [Google Scholar] [CrossRef]
- Wang, Y.Q.; Zhang, Y.H.; Zhang, R.; Li, J.P.; Zhang, M.; Zhou, S.L.; Wang, Z.M. Reduced irrigation increases the water use efficiency and productivity of winter wheat-summer maize rotation on the north China plain. Sci. Total Environ. 2017, 618, 112–120. [Google Scholar] [CrossRef]
- Wang, D.; Yu, Z.W. Effects of irrigation amount and irrigation period on water consumption characteristics and yield of wheat. Trans. J. Appl. Ecol. 2008, 9, 1965–1970. [Google Scholar]
- Liu, Z.L.; Li, X.S.; Cao, C.Y.; Zheng, C.L.; Ma, J.Y.; Li, K.J.; Yang, H.Y.; Li, S.N.; Dang, H.K. Effects of time of spring one irrigation on the grain filling characteristics and water use efficiency of winter wheat. Chin. J. Eco-Agric. 2021, 29, 1296–1304. [Google Scholar]







| Year | Month | During the Whole Growing Season | ||||||||
|---|---|---|---|---|---|---|---|---|---|---|
| 10 | 11 | 12 | 1 | 2 | 3 | 4 | 5 | 6 | ||
| 2014–2015 | 4.3 | 15.6 | 0.0 | 1.2 | 9.5 | 4.5 | 54.9 | 64.0 | 0.0 | 154 |
| 2019–2020 | 4.2 | 5.0 | 2.4 | 2.0 | 7.8 | 6.4 | 15.8 | 68.4 | 6.4 | 118.4 |
| Year | Treatment | Content (mg·g−1) | Accumulation (kg·hm−2) | Accumulation per 100 kg GY (kg) | |||||||||
|---|---|---|---|---|---|---|---|---|---|---|---|---|---|
| JS | HS | AS | FS | MS | JS | HS | AS | FS | MS | ||||
| Nitrogen | 2015 | CK | 31.15 b | 23.58 b | 17.77 a | 15.51 ab | 15.28 a | 166.21 a | 215.37 a | 226.63 a | 255.61 a | 297.61 a | 3.67 |
| AJ5 | 31.80 b | 20.83 c | 46.69 b | 15.01 b | 15.04 a | 158.39 a | 204.8 a | 229.69 a | 250.09 a | 285.37 a | 3.44 | ||
| AJ10 | 34.48 a | 26.78 a | 15.41 c | 15.77 ab | 14.21 a | 165.95 a | 204.16 a | 229.95 a | 255.84 a | 290.03 a | 3.35 | ||
| AJ15 | 31.76 b | 23.37 b | 18.36 a | 17.34 a | 15.98 a | 128.7 b | 175.92 b | 226.05 a | 252.08 a | 305.96 a | 3.59 | ||
| AJ20 | 30.94 b | 22.73 bc | 16.29 b | 15.87 ab | 14.83 a | 131.35 b | 187.14 b | 199.59 b | 229.17 a | 279.22 a | 3.4 | ||
| 2020 | CK | 18.36 d | 14.87 a | 13.03 a | 10.83 c | 12.54 b | 82.86 a | 133.68 a | 165.23 b | 168.52 b | 208.18 b | 4.28 | |
| AJ5 | 18.88 cd | 14.62 b | 13.91 a | 12.74 b | 13.43 a | 82.12 a | 126.23 b | 185.89 a | 202.88 a | 241.73 a | 4.07 | ||
| AJ10 | 19.60 b | 14.34 c | 13.00 a | 12.97 b | 13.29 ab | 84.06 a | 107.88 c | 164.60 b | 197.12 a | 234.89 a | 4.01 | ||
| AJ15 | 20.90 a | 12.91 d | 13.28 a | 14.26 a | 12.50 b | 82.82 a | 90.86 d | 147.33 b | 166.94 b | 201.15 b | 4.31 | ||
| AJ20 | 19.36 bc | 12.41 e | 13.20 a | 13.32 ab | 13.15 ab | 75.07 b | 74.3 e | 152.64 b | 164.14 b | 201.57 b | 4.27 | ||
| Silicon | 2015 | CK | 8.92 a | 15.05 a | 16.23 a | 18.45 a | 18.29 a | 47.55 a | 137.51 a | 206.98 b | 304.09 a | 356.35 a | 4.39 |
| AJ5 | 8.37 a | 11.08 a | 15.27 b | 18.14 a | 18.43 a | 41.71 ab | 109.01 a | 210.13 b | 302.24 a | 349.67 ab | 4.22 | ||
| AJ10 | 9.73 a | 11.37 a | 15.51 ab | 18.58 a | 16.81 a | 46.84 a | 86.69 a | 231.33 a | 301.36 a | 342.95 ab | 3.96 | ||
| AJ15 | 8.44 a | 12.38 a | 15.27 ab | 18.14 a | 16.70 b | 34.19 b | 93.17 a | 188.81 c | 263.66 a | 319.64 b | 3.75 | ||
| AJ20 | 7.83 a | 13.94 a | 15.27 b | 18.12 a | 17.10 a | 33.22 b | 114.82 a | 187.03 c | 261.71 a | 321.98 ab | 3.92 | ||
| 2020 | CK | 7.90 c | 8.40 c | 9.92 c | 12.23 c | 13.70 b | 35.66 b | 75.51 d | 125.77 c | 190.33 d | 227.44 d | 4.67 | |
| AJ5 | 9.03 b | 11.08 b | 10.83 bc | 13.97 bc | 14.55 b | 39.29 b | 95.68 a | 144.74 b | 222.50 bc | 261.78 bc | 4.40 | ||
| AJ10 | 10.27 a | 10.65 b | 13.40 a | 18.01 a | 17.91 a | 44.03 a | 80.14 c | 169.63 a | 273.77 a | 316.55 a | 5.41 | ||
| AJ15 | 11.03 a | 12.27 a | 11.95 ab | 19.27 a | 17.10 a | 43.73 a | 86.34 b | 132.56 bc | 225.60 b | 275.19 b | 5.89 | ||
| AJ20 | 8.17 bc | 8.15 c | 10.52 bc | 15.92 b | 15.21 b | 31.61 c | 48.79 e | 121.63 c | 196.09 cd | 233.16 cd | 4.94 | ||
| Year | Stage | Treatment | Percentages of Nitrogen (%) | Percentages of Silicon (%) | ||||
|---|---|---|---|---|---|---|---|---|
| Stem | Leaf | Ear | Stem | Leaf | Ear | |||
| 2015 | anthesis | CK | 23.45 b | 64.77 a | 11.78 d | 29.32 a | 53.63 ab | 17.04 b |
| AJ5 | 23.39 b | 64.39 a | 12.22 cd | 30.20 a | 51.46 b | 18.34 b | ||
| AJ10 | 26.26 a | 60.24 b | 13.50 b | 22.57 b | 55.52 a | 21.91 a | ||
| AJ15 | 23.41 b | 63.26 a | 13.32 bc | 23.61 b | 54.79 a | 21.59 a | ||
| AJ20 | 26.28 a | 58.38 b | 15.34 a | 22.90 b | 55.75 a | 21.35 a | ||
| mature | CK | 4.98 ab | 12.90 a | 82.12 b | 22.96 a | 41.28 b | 35.76 a | |
| AJ5 | 3.52 c | 10.05 a | 86.43 a | 21.56 ab | 42.12 ab | 36.32 a | ||
| AJ10 | 4.58 bc | 11.32 a | 84.10 ab | 19.56 ab | 43.89 a | 36.55 a | ||
| AJ15 | 4.85 ab | 12.42 a | 82.73 ab | 19.20 b | 43.21 a | 37.60 a | ||
| AJ20 | 6.10 a | 12.70 a | 81.20 b | 21.87 ab | 42.95 ab | 35.17 a | ||
| 2020 | anthesis | CK | 26.97 ab | 58.18 ab | 14.84 a | 14.96 c | 74.35 a | 10.70 d |
| AJ5 | 26.18 b | 54.01 b | 19.81 a | 22.81 a | 68.17 b | 9.02 e | ||
| AJ10 | 27.04 ab | 55.75 ab | 17.22 a | 18.96b | 63.59 d | 17.46 b | ||
| AJ15 | 23.60 c | 58.94 a | 17.47 a | 17.60 b | 65.84 c | 16.55 c | ||
| AJ20 | 28.40 a | 55.61 ab | 15.99 a | 18.60 b | 61.28 e | 20.12 a | ||
| mature | CK | 3.96 a | 13.59 a | 82.45 ab | 20.12 a | 55.85 b | 24.04 c | |
| AJ5 | 3.93 a | 12.74 a | 83.32 a | 18.50 bc | 54.43 c | 27.07 b | ||
| AJ10 | 4.47 a | 13.02 a | 82.50 ab | 18.44 bc | 53.67 c | 27.89 b | ||
| AJ15 | 4.51 a | 13.61 a | 81.88 ab | 17.77 c | 52.61 d | 29.62 a | ||
| AJ20 | 5.04 a | 14.36 a | 80.60 b | 19.09 b | 57.32 a | 23.58 c | ||
| Year | Treatment | NTA (kg·hm−2) | SiAAAM (kg·hm−2) | ||||
|---|---|---|---|---|---|---|---|
| Stem | Leaf | Ear | Stem | Leaf | Ear | ||
| 2015 | CK | −38.15 bc | −108.38 ab | 217.46 a | 21.28 a | 36.15 a | 91.95 a |
| AJ5 | −43.70 ab | −119.34 a | 218.54 a | 12.08 a | 39.24 a | 88.23 a | |
| AJ10 | −47.10 a | −106.19 ab | 213.27 a | 14.75 a | 22.24 b | 74.63 a | |
| AJ15 | −38.10 bc | −104.76 b | 222.87 a | 16.59 a | 34.33 a | 79.9 a | |
| AJ20 | −35.44 c | −80.91 c | 195.95 a | 27.13 a | 33.95 a | 73.85 a | |
| 2020 | CK | −31.5 ab | −57.47 ab | 149.69 ab | 26.85 a | 33.68 b | 41.25 b |
| AJ5 | −34.07 a | −59.30 a | 167.92 a | 15.41 b | 44.02 ab | 57.75 a | |
| AJ10 | −29.22 b | −51.24 bc | 168.47 a | 26.22 a | 62.01 a | 58.75 a | |
| AJ15 | −22.02 c | −50.12 c | 141.48 b | 25.49 ab | 57.42 ab | 59.58 a | |
| AJ20 | −28.56 b | −46.83 c | 140.53 b | 21.76 ab | 59.15 ab | 30.51 b | |
| Parameter | GY | NAAA | NAAM | NTAstem | NTAleaf | SiAAA | SiAAM |
|---|---|---|---|---|---|---|---|
| Irrigation duration (I) | 5.423 ** | 13.580 ** | 1.744 NS | 9.912 ** | 13.577 ** | 26.583 ** | 6.844 ** |
| Years (Y) | 494.287 ** | 417.794 ** | 137.851 ** | 110.919 ** | 500.729 ** | 441.056 ** | 129.995 ** |
| I × Y | 3.526 * | 4.829 ** | 3.108 * | 4.681 ** | 3.841 * | 1.750 NS | 7.521 ** |
Disclaimer/Publisher’s Note: The statements, opinions and data contained in all publications are solely those of the individual author(s) and contributor(s) and not of MDPI and/or the editor(s). MDPI and/or the editor(s) disclaim responsibility for any injury to people or property resulting from any ideas, methods, instructions or products referred to in the content. |
© 2024 by the authors. Licensee MDPI, Basel, Switzerland. This article is an open access article distributed under the terms and conditions of the Creative Commons Attribution (CC BY) license (https://creativecommons.org/licenses/by/4.0/).
Share and Cite
Zheng, H.; Sun, J.; Liang, Y.; Cao, C.; Gao, Y.; Zhang, J.; Dang, H.; Zheng, C. Effect of Delayed Irrigation at the Jointing Stage on Nitrogen, Silicon Nutrition and Grain Yield of Winter Wheat in the North China Plain. Plants 2024, 13, 2648. https://doi.org/10.3390/plants13182648
Zheng H, Sun J, Liang Y, Cao C, Gao Y, Zhang J, Dang H, Zheng C. Effect of Delayed Irrigation at the Jointing Stage on Nitrogen, Silicon Nutrition and Grain Yield of Winter Wheat in the North China Plain. Plants. 2024; 13(18):2648. https://doi.org/10.3390/plants13182648
Chicago/Turabian StyleZheng, Hao, Jinyang Sun, Yueping Liang, Caiyun Cao, Yang Gao, Junpeng Zhang, Hongkai Dang, and Chunlian Zheng. 2024. "Effect of Delayed Irrigation at the Jointing Stage on Nitrogen, Silicon Nutrition and Grain Yield of Winter Wheat in the North China Plain" Plants 13, no. 18: 2648. https://doi.org/10.3390/plants13182648
APA StyleZheng, H., Sun, J., Liang, Y., Cao, C., Gao, Y., Zhang, J., Dang, H., & Zheng, C. (2024). Effect of Delayed Irrigation at the Jointing Stage on Nitrogen, Silicon Nutrition and Grain Yield of Winter Wheat in the North China Plain. Plants, 13(18), 2648. https://doi.org/10.3390/plants13182648

