Assessment of 3-Cyanobenzoic Acid as a Possible Herbicide Candidate: Effects on Maize Growth and Photosynthesis
Abstract
1. Introduction
2. Materials and Methods
2.1. Biometric Measurements
2.2. SPAD Index, Chlorophyll a Fluorescence, and Gas Exchange
2.3. Net Assimilation Curves in Response to Changes in Photosynthetically Active Radiation (A/PAR)
2.4. Net Assimilation Curves in Response to Changes in Intercellular CO2 Concentration (A/Ci)
2.5. Transient Responses of the Chlorophyll a Fluorescence (OJIP Curve) and Derived Parameters (JIP Test) Parte Superior do Formulário
2.6. Statistical Analysis
3. Results
3.1. Effects on Biometric Measurements
3.2. Effects on SPAD Index, Chlorophyll a Fluorescence and Gas Exchange
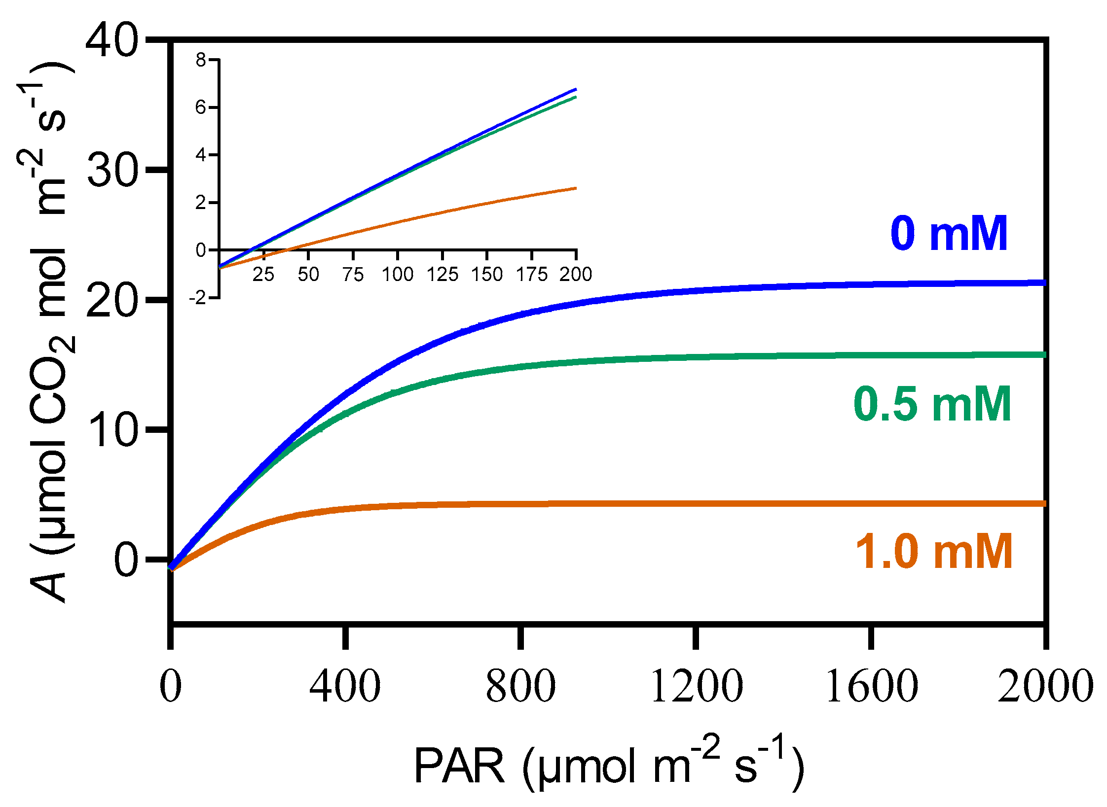
3.3. Effects on A/PAR Curve and Derived Parameters
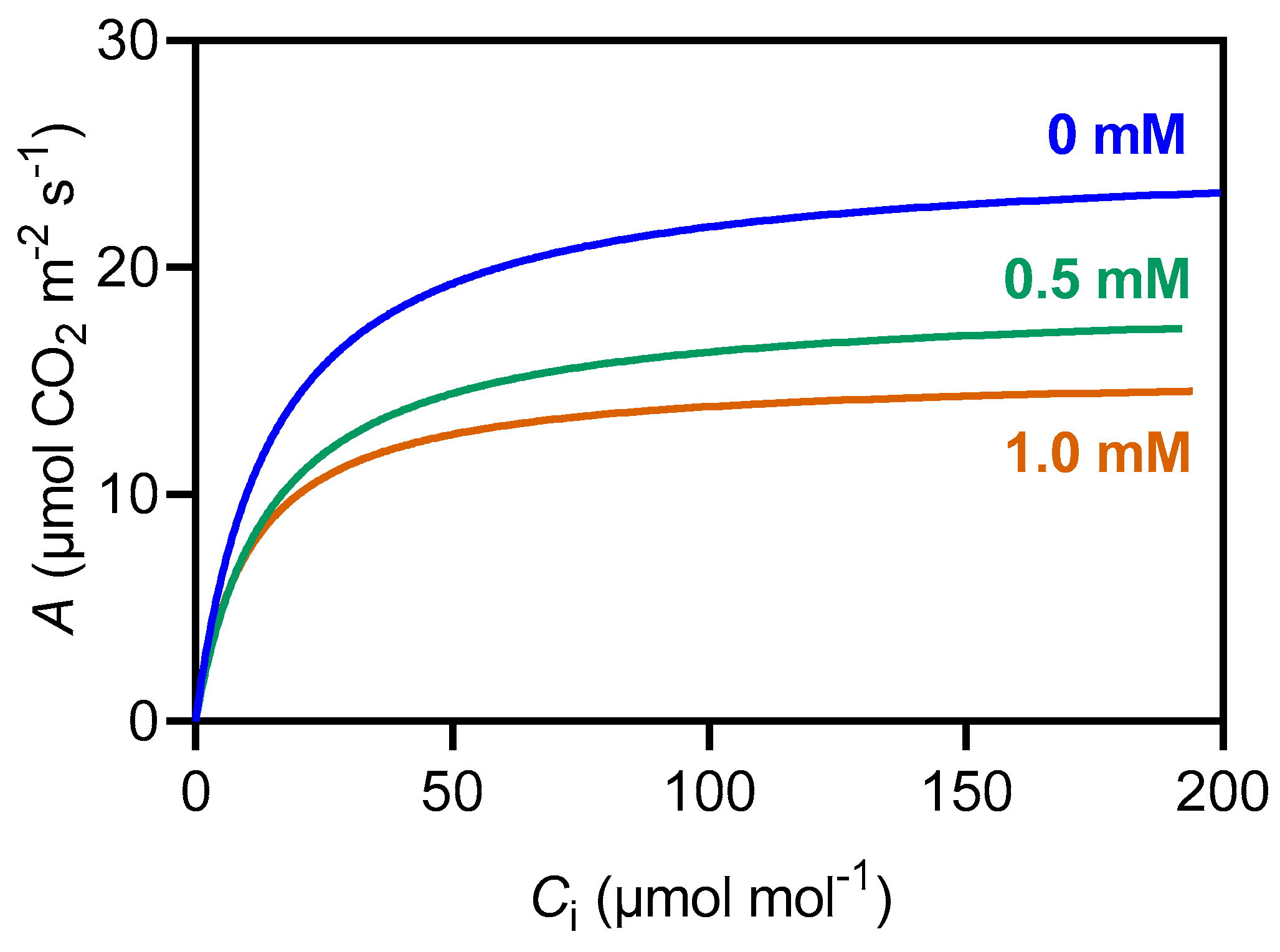
3.4. Effects on A/Ci Curve and Derived Parameters
3.5. Effects on Chlorophyll a Transient Curve and Derived Parameters
4. Discussion
5. Conclusions
Author Contributions
Funding
Data Availability Statement
Acknowledgments
Conflicts of Interest
Abbreviations
| A | net assimilation |
| ABS/RC | absorption flux per reaction center at t = 0 or a measure for an average antenna size |
| Amax | net assimilation rate |
| Ci | intercellular CO2 concentration |
| DI0/RC | energy dissipation per reaction center |
| E | transpiration rate |
| ETR | electron transport rate through PSII |
| ET0/ABS | quantum yield for electron transport (at t = 0) from QA to QB |
| ET0/RC | electron transport flux per reaction center at t = 0 |
| ET0/TR0 | probality (at t = 0) of a trapped exciton transfer an electron beyond QA− into the ETR |
| F0 | minimal fluorescence intensity when all the reaction centers of PSII are open |
| Fm | maximum fluorescence intensity when all reaction centers of PSII are closed |
| Fv | variable fluorescence |
| Fv/Fm | maximum quantum yield of PSII photochemistry |
| Fv′/Fm′ | maximum quantum yield of PSII photochemistry in light |
| gm | mesophilic conductance |
| gs | stomatal conductance |
| J | photosynthetic electron transport rate |
| LCP | light compensation point |
| NPQ | non-photochemical quenching |
| OJIP | chlorophyll a fluorescence transient with O-J-I-P phases |
| PAR | photosynthetically active radiation |
| PEPCase | phosphoenolpyruvate carboxylase |
| PIABS | indicator of the conservation of energy absorbed by PSII until the decrease of the QB |
| PITOTAL | indicator of energy conservation in PSII up to the reduction of final PSI acceptors. |
| PPDK | pyruvate O-phosphate dikinase |
| QA | primary quinone acceptor of PSII |
| QB | secondary quinone acceptor of PSII |
| qP | photochemical quenching coefficient |
| RC/CS | amount of active PSII reaction centers per cross-section |
| RD | dark respiration rate |
| RuBisCo | ribulose-1,5-bisphosphate carboxylase/oxygenase |
| TR0/ABS | maximum quantum yield of primary photochemistry at t = 0 |
| TR0/ABS | quantum efficiency of primary PSII photochemistry |
| TR0/RC | trapped energy flux per reaction center at t = 0 |
| Vcmax | maximum RuBisCo carboxylation rate |
| Vpmax | maximum PEPCase carboxylation rate |
| ϕ | apparent quantum yield |
| ϕPSII | effective quantum yield of PSII photochemistry |
References
- Wasilewska-Dębowska, W.; Zienkiewicz, M.; Drozak, A. How Light Reactions of Photosynthesis in C4 Plants Are Optimized and Protected under High Light Conditions. Int. J. Mol. Sci. 2022, 23, 3626. [Google Scholar] [CrossRef] [PubMed]
- Zhou, H.; Akçay, E.; Helliker, B.R. Estimating C4 photosynthesis parameters by fitting intensive A/Ci curves. Photosynth. Res. 2019, 141, 181–194. [Google Scholar] [CrossRef] [PubMed]
- Alvarez, C.E.; Maurino, V.G. Adaptive diversity in structure and function of C4 photosynthetic components. Biochem. Soc. Trans. 2023, 51, 1157–1168. [Google Scholar] [CrossRef] [PubMed]
- Aggarwal, P.R.; Muthamilarasan, M.; Choudhary, P. Millet as a promising C4 model crop for sustainable biofuel production. J. Biotechnol. 2024, 395, 110–121. [Google Scholar] [CrossRef]
- Talukder, P.; Sinha, B.; Biswas, S.; Ghosh, A.; Banerjee, A.; Paul, S. A study on the prospect of converting C3 plants into C4 plants. Biocatal. Agric. Biotechnol. 2024, 58, 103191. [Google Scholar] [CrossRef]
- Roy, D.; Ghosh, S.; Datta, D.; Sreekanth, D.; Pawar, D.; Mukherjee, P.K.; Ghosh, D.; Santra, S.C.; Moulick, D. Climate Resilient Weed Management for Crop Production. In Climate–Resilient Agriculture; Hasanuzzaman, M., Ed.; Springer Nature: Cham, Switzerland, 2023; Volume 2, pp. 125–156. [Google Scholar] [CrossRef]
- Perotti, V.E.; Larran, A.S.; Palmieri, V.E.; Martinatto, A.K.; Permingeat, H.R. Herbicide resistant weeds: A call to integrate conventional agricultural practices, molecular biology knowledge and new technologies. Plant Sci. 2020, 290, 10255. [Google Scholar] [CrossRef]
- Riechers, D.E.; Soltani, N.; Chauhan, B.S.; Concepcion, J.C.T.; Geddes, C.M.; Jugulam, M.; Kaundun, S.S.; Preston, C.; Wuerrfel, R.J.; Sikkema, P.H. Herbicide resistance is complex: A global review of cross-resistance in weeds within herbicide groups. Weed Sci. 2024, 1–22. [Google Scholar] [CrossRef]
- Heap, I. International Herbicide-Resistant Weed Database. Available online: https://www.weedscience.org/Home.aspx (accessed on 10 November 2024).
- Gupta, P.K. Toxicity of Herbicides. In Veterinary Toxicology—Basic and Clinical Principles, 3rd ed.; Gupta, R.C., Ed.; Academic Press: Cambridge, MA, USA, 2018; pp. 553–567. [Google Scholar] [CrossRef]
- Brovini, E.M.; de Deus, B.C.T.; Vilas-Boas, J.A.; Quadra, G.R.; Carvalho, L.; Mendonça, R.F.; Pereira, R.d.O.; Cardoso, S.J. Three-bestseller pesticides in Brazil: Freshwater concentrations and potential environmental risks. Sci. Total Environ. 2021, 771, 144754. [Google Scholar] [CrossRef]
- Dayan, F.E.; Duke, S.O. Discovery for New Herbicide Sites of Action by Quantification of Plant Primary Metabolite and Enzyme Pools. Engineering 2020, 6, 509–514. [Google Scholar] [CrossRef]
- Elmore, C.; Paul, R. Composite List of C4 Weeds. Weed Sci. 1983, 31, 686–692. [Google Scholar] [CrossRef]
- Rao, V.S. Principles of Weed Science, 2nd ed.; CRC Press: Boca Raton, FL, USA, 2000. [Google Scholar] [CrossRef]
- Almeida, A.M.; Abrahão, J.; Seixas, F.A.V.; Bueno, P.S.A.; Oliveira, M.A.S.d.; Tomazini, L.F.; Constantin, R.P.; dos Santos, W.D.; Marchiosi, R.; Ferrarese-Filho, O. Unraveling Shikimate Dehydrogenase Inhibition by 6-Nitroquinazoline-2,4-diol and Its Impact on Soybean and Maize Growth. Agronomy 2024, 14, 930. [Google Scholar] [CrossRef]
- Martarello, D.C.I.; Grizza, L.H.E.; Foletto-Felipe, M.d.P.; Mendonça, A.P.d.S.; Constantin, R.P.; Ferro, A.P.; dos Santos, W.D.; Constantin, R.P.; Marchiosi, R.; Ferrarese-Filho, O. S-Benzyl-L-cysteine Inhibits Growth and Photosynthesis, and Triggers Oxidative Stress in Ipomoea grandifolia. Agronomy 2024, 14, 1633. [Google Scholar] [CrossRef]
- Doyle, J.; Burnell, J.N.; Haines, D.S.; Llewellyn, L.E.; Motti, C.A.; Tapiolas, D.M. A Rapid Screening Method to Detect Specific Inhibitors of Pyruvate Orthophosphate Dikinase as Leads for C4 Plant-Selective Herbicides. J. Biomol. Screen. 2005, 10, 67–75. [Google Scholar] [CrossRef] [PubMed]
- Nguyen, G.T.T.; Erlenkamp, G.; Jäck, O.; Küberl, A.; Bott, M.; Fiorani, F.; Gohlke, H.; Groth, G. Chalcone-based selective inhibitors of a C4 plant key enzyme as novel potential herbicides. Sci. Rep. 2016, 6, 27333. [Google Scholar] [CrossRef] [PubMed]
- Haines, D.S.; Burnell, J.N.; Doyle, J.; Llewellyn, L.E.; Motti, C.A.; Tapiolas, D.M. Translation of in vitro inhibition by marine natural products of the C4 acid cycle enzyme pyruvate P(i) dikinase to in vivo C4 plant tissue death. J. Agric. Food Chem. 2005, 53, 3856–3862. [Google Scholar] [CrossRef]
- Motti, C.A.; Bourne, D.G.; Burnell, J.N.; Doyle, J.R.; Haines, D.S.; Liptrot, C.H.; Llewellyn, L.E.; Ludke, S.; Muirhead, A.; Tapiolas, D.M. Screening marine fungi for inhibitors of the C4 plant enzyme pyruvate phosphate dikinase: Unguinol as a potential novel herbicide candidate. Appl. Environ. Microbiol. 2007, 73, 1921–1927. [Google Scholar] [CrossRef]
- Minges, A.; Groth, G. Small-molecule inhibition of pyruvate phosphate dikinase targeting the nucleotide binding site. PLoS ONE 2017, 12, e181139. [Google Scholar] [CrossRef]
- Constantin, R.P.; Melo, G.S.R.; Martarello, D.C.I.; Abrahão, J.; dos Santos, W.D.; Ferrarese-Filho, O.; Marchiosi, R. Bromoacetic acid inhibits pyruvate orthophosphate dikinase and reduces photosynthetic activity in maize. Acta Physiol. Plant. 2021, 43, 54. [Google Scholar] [CrossRef]
- Souza, M.C.; Constantin, R.P.; Abrahão, J.; Foletto-Felipe, M.P.; Grizza, L.H.E.; Constantin, R.P.; dos Santos, W.D.; Ferrarese-Filho, O.; Marchiosi, R. Inhibitory Effect of 3-Cyanobenzoic Acid on Initial Growth of Maize Seedlings and Its Biochemical Impacts on Antioxidant and Energy Metabolisms. J. Plant Growth Regul. 2024, 43, 458–472. [Google Scholar] [CrossRef]
- Marchiosi, R.; dos Santos, W.D.; Constantin, R.P.; Lima, R.B.; Soares, A.R.; Finger-Teixeira, A.; Mota, T.R.; Oliveira, D.M.; Foletto-Felipe, M.P.; Abrahão, J.; et al. Biosynthesis and Metabolic Actions of Simple Phenolic Acids in Plants. Phytochem. Rev. 2020, 19, 865–906. [Google Scholar] [CrossRef]
- Bengis-Garber, C.; Gutman, A.L. Bacteria in organic synthesis: Selective conversion of 1,3-dicyanobenezene into 3-cyanobenzoic acid. Tetrahedron Lett. 1988, 29, 2589–2590. [Google Scholar] [CrossRef]
- Délye, C.; Jasieniuk, M.; Le Corre, V. Deciphering the evolution of herbicide resistance in weeds. Trends Genet. 2013, 29, 649–658. [Google Scholar] [CrossRef] [PubMed]
- Dong, J.; Wu, F.; Zhang, G. Influence of cadmium on antioxidant capacity and four microelement concentrations in tomato seedlings (Lycopersicon esculentum). Chemosphere 2006, 64, 1659–1666. [Google Scholar] [CrossRef]
- Easlon, H.M.; Bloom, A.J. Easy Leaf Area: Automated Digital Image Analysis for Rapid and Accurate Measurement of Leaf Area. Appl. Plant Sci. 2014, 2, 1400033. [Google Scholar] [CrossRef]
- Murchie, E.H.; Lawson, T. Chlorophyll fluorescence analysis: A guide to good practice and understanding some new applications. J. Exp. Bot. 2013, 64, 3983–3998. [Google Scholar] [CrossRef]
- Loriaux, S.D.; Avenson, T.J.; Welles, J.M.; Mcdermitt, D.K.; Eckles, R.D.; Riensche, B.; Genty, B. Closing in on maximum yield of chlorophyll fluorescence using a single multiphase flash of sub-saturating intensity. Plant Cell Environ. 2013, 36, 1755–1770. [Google Scholar] [CrossRef]
- Lobo, F.A.; De Barros, M.P.; Dalmagro, H.J.; Dalmolin, A.C.; Pereira, W.E.; De Souza, E.C.; Vourlitis, G.L.; Rodríguez Ortíz, C.E. Fitting net photosynthetic light-response curves with Microsoft Excel—A critical look at the models. Photosynthetica 2013, 51, 445–456. [Google Scholar] [CrossRef]
- Bellasio, C.; Beerling, D.J.; Griffiths, H. An Excel tool for deriving key photosynthetic parameters from combined gas exchange and chlorophyll fluorescence: Theory and practice: Descriptive modelling of gas exchange data. Plant Cell Environ. 2016, 39, 1180–1197. [Google Scholar] [CrossRef]
- Strasser, R.J.; Srivastava, A.; Tsimilli-Michael, M. The fluorescence transient as a tool to characterize and screen photosynthetic samples. In Probing Photosynthesis Mechanisms, Regulation and Adaptation; Yunus, M., Pathre, U., Mohanty, P., Eds.; CRC Press: Boca Raton, FL, USA, 2000; pp. 445–483. [Google Scholar]
- Avarseji, Z.; Mohassel, M.H.R.; Nezami, A.; Abbaspoor, M.; Mahallati, N. Dicamba+2, 4-D affects the shape of the Kautsky curves in wild mustard (Sinapis arvensis). Plant Knowl. J. 2012, 1, 41–45. Available online: https://profdoc.um.ac.ir/articles/a/1032111.pdf (accessed on 25 November 2024).
- Banks, J.M. Continuous excitation chlorophyll fluorescence parameters: A review for practitioners. Tree Physiol. 2017, 37, 1128–1136. [Google Scholar] [CrossRef]
- Chipley, J.R. Sodium Benzoate and Benzoic Acid. In Antimicrobials in Food; Davidson, P.M., Taylor, T.M., David, J.R.D., Eds.; CRC Press: Boca Raton, FL, USA, 2020. [Google Scholar] [CrossRef]
- Zhou, Y.; Yu, J. Allelochemicals and photosynthesis. In Allelopathy; Reigosa, M., Pedrol, N., González, L., Eds.; Springer: Dordrecht, The Netherlands, 2006; pp. 127–139. [Google Scholar] [CrossRef]
- Gao, Y.; Liu, W.; Wang, X.; Yang, L.; Han, S.; Chen, S.; Strasser, R.J.; Valverde, B.E.; Qiang, S. Comparative phytotoxicity of usnic acid, salicylic acid, cinnamic acid and benzoic acid on photosynthetic apparatus of Chlamydomonas reinhardtii. Plant Physiol. Biochem. 2018, 128, 1–12. [Google Scholar] [CrossRef] [PubMed]
- Sumbele, S.; Fotelli, M.N.; Nikolopoulos, D.; Tooulakou, G.; Liakoura, V.; Liakopoulos, G.; Bresta, P.; Dotsika, E.; Adams, M.A.; Karabourniotis, G. Photosynthetic capacity is negatively correlated with the concentration of leaf phenolic compounds across a range of different species. AoB Plants 2012, 2012, pls025. [Google Scholar] [CrossRef] [PubMed]
- Kostidis, G.; Karabourniotis, G. The intraspecific trade-off between photosynthesis and phenolics in selected crop species: A meta-analysis study. Discov. Plants 2024, 1, 29. [Google Scholar] [CrossRef]
- Yu, J.Q.; Ye, S.F.; Zhang, M.F.; Hu, W.H. Effects of root exudates and aqueous root extracts of cucumber (Cucumis sativus) and allelochemicals, on photosynthesis and antioxidant enzymes in cucumber. Biochem. Syst. Ecol. 2003, 31, 129–139. [Google Scholar] [CrossRef]
- Lu, X.F.; Zhang, H.; Lyu, S.S.; Du, G.D.; Wang, X.Q.; Wu, C.H.; Lyu, D.G. Effects of exogenous phenolic acids on photosystem functions and photosynthetic electron transport rate in strawberry leaves. Photosynthetica 2018, 56, 616–622. [Google Scholar] [CrossRef]
- Li, K.; Zhang, T.; Li, H.; Zhang, L.D.; Li, F. Phenolic acids inhibit the photosynthetic productivity of poplar. Photosynthetica 2020, 58, 1210–1216. [Google Scholar] [CrossRef]
- Marchiosi, R.; Bido, G.S.; Böhm, P.A.F.; Soares, A.R.; Silva, H.A.; Ferro, A.P.; Ferrarese, M.L.L.; Ferrarese-Filho, O. Photosynthetic response of soybean to L-DOPA and aqueous extracts of velvet bean. Plant Growth Regul. 2016, 80, 171–182. [Google Scholar] [CrossRef]
- Huang, X.; Bie, Z. Cinnamic acid-inhibited ribulose-1,5-bisphosphate carboxylase activity is mediated through decreased spermine and changes in the ratio of polyamines in cowpea. J. Plant Physiol. 2010, 167, 47–53. [Google Scholar] [CrossRef]
- Evans, J.R.; von Caemmerer, S. Carbon Dioxide Diffusion inside Leaves. Plant Physiol. 1996, 110, 339–346. [Google Scholar] [CrossRef]
- Long, S.P.; Bernacchi, C.J. Gas exchange measurements, what can they tell us about the underlying limitations to photosynthesis? Procedures and sources of error. J. Exp. Bot. 2003, 54, 2393–2401. [Google Scholar] [CrossRef]
- Foletto-Felipe, M.P.; Abrahão, J.; Contesoto, I.C.; Ferro, A.P.; Grizza, L.H.E.; Menezes, P.V.M.C.; Wagner, A.L.S.; Seixas, F.A.V.; Oliveira, M.A.S.; Tomazini, L.F.; et al. Inhibition of sulfur assimilation by S-benzyl-L-cysteine: Impacts on growth, photosynthesis, and leaf proteome of maize plants. Plant Physiol. Biochem. 2024, 216, 109173. [Google Scholar] [CrossRef] [PubMed]
- Baker, N.R. Chlorophyll Fluorescence: A Probe of Photosynthesis In Vivo. Annu. Rev. Plant Biol. 2008, 59, 89–113. [Google Scholar] [CrossRef] [PubMed]
- Chauhan, J.; Prathibha, M.; Singh, P.; Choyal, P.; Mishra, U.N.; Saha, D.; Kumar, R.; Anuragi, H.; Pandey, S.; Bose, B.; et al. Plant photosynthesis under abiotic stresses: Damages, adaptive, and signaling mechanisms. Plant Stress 2023, 10, 100296. [Google Scholar] [CrossRef]
- Holappa, L.D.; Blum, U. Effects of exogenously applied ferulic acid, a potential allelopathic compound, on leaf growth, water utilization, and endogenous abscisic acid levels of tomato, cucumber, and bean. J. Chem. Ecol. 1991, 17, 865–886. [Google Scholar] [CrossRef]
- Purohit, S.; Laloraya, M.M.; Bharti, S. Effect of phenolic compounds on abscisic acid-induced stomatal movement: Structure—Activity relationship. Physiol. Plant. 1991, 81, 79–82. [Google Scholar] [CrossRef]









| 3-Cyanobenzoic Acid (mM) | |||
|---|---|---|---|
| 0 | 0.5 | 1.0 | |
| Plant height (cm) | 9.51 ± 0.27 | 8.77 ± 0.26 | 7.57 ± 0.20 ** |
| Shoot fresh weight (g) | 1.11 ± 0.12 | 0.88 ± 0.06 | 0.60 ± 0.05 ** |
| Leaf area (cm2) | 38.0 ± 2.84 | 29.9 ± 1.71 * | 22.0 ± 1.38 ** |
| Culm diameter (cm) | 3.34 ± 0.19 | 2.46 ± 0.08 ** | 2.17 ± 0.08 ** |
| Root length (cm) | 28.7 ± 1.77 | 15.4 ± 0.81 ** | 9.84 ± 0.47 ** |
| Root fresh weight (g) | 0.33 ± 0.04 | 0.25 ± 0.02 | 0.12 ± 0.01 ** |
Disclaimer/Publisher’s Note: The statements, opinions and data contained in all publications are solely those of the individual author(s) and contributor(s) and not of MDPI and/or the editor(s). MDPI and/or the editor(s) disclaim responsibility for any injury to people or property resulting from any ideas, methods, instructions or products referred to in the content. |
© 2024 by the authors. Licensee MDPI, Basel, Switzerland. This article is an open access article distributed under the terms and conditions of the Creative Commons Attribution (CC BY) license (https://creativecommons.org/licenses/by/4.0/).
Share and Cite
Grizza, L.H.E.; Contesoto, I.d.C.; Mendonça, A.P.d.S.; Comar, A.C.; Boromelo, A.P.; Ferro, A.P.; Constantin, R.P.; dos Santos, W.D.; Marchiosi, R.; Ferrarese-Filho, O. Assessment of 3-Cyanobenzoic Acid as a Possible Herbicide Candidate: Effects on Maize Growth and Photosynthesis. Plants 2025, 14, 1. https://doi.org/10.3390/plants14010001
Grizza LHE, Contesoto IdC, Mendonça APdS, Comar AC, Boromelo AP, Ferro AP, Constantin RP, dos Santos WD, Marchiosi R, Ferrarese-Filho O. Assessment of 3-Cyanobenzoic Acid as a Possible Herbicide Candidate: Effects on Maize Growth and Photosynthesis. Plants. 2025; 14(1):1. https://doi.org/10.3390/plants14010001
Chicago/Turabian StyleGrizza, Luiz Henryque Escher, Isabela de Carvalho Contesoto, Ana Paula da Silva Mendonça, Amanda Castro Comar, Ana Paula Boromelo, Ana Paula Ferro, Rodrigo Polimeni Constantin, Wanderley Dantas dos Santos, Rogério Marchiosi, and Osvaldo Ferrarese-Filho. 2025. "Assessment of 3-Cyanobenzoic Acid as a Possible Herbicide Candidate: Effects on Maize Growth and Photosynthesis" Plants 14, no. 1: 1. https://doi.org/10.3390/plants14010001
APA StyleGrizza, L. H. E., Contesoto, I. d. C., Mendonça, A. P. d. S., Comar, A. C., Boromelo, A. P., Ferro, A. P., Constantin, R. P., dos Santos, W. D., Marchiosi, R., & Ferrarese-Filho, O. (2025). Assessment of 3-Cyanobenzoic Acid as a Possible Herbicide Candidate: Effects on Maize Growth and Photosynthesis. Plants, 14(1), 1. https://doi.org/10.3390/plants14010001

