Abstract
Global climate change minimizes fresh water resources used in agriculture worldwide. It causes drought stress, which has adverse effects on plants. To ensure food security, crops and vegetables capable of tolerating shortages of water over the growth period are needed. This study aimed to elucidate the morphological and biochemical responses of three colored cauliflower (Brassica oleracea var. botrytis) cultivars (Clapton, Trevi, and Di Sicilia Violetto) and one broccoli cultivar (Brassica oleracea var. italica var. Magic) to different irrigation treatments (85–100%, 65–80%, 45–60%, and 25–40% field capacity). Assessment of growth parameters revealed no significant difference among all the treatments for root fresh weight, leaf area, and floret size. Major water shortages reduced the floret and stem fresh weight of the Clapton cultivar. Additionally, under severe drought stress, only the Di Sicilia Violetto cultivar had a decrease in plant height, but no impact on the number of leaves was observed. The measurement of pigment contents in the leaves showed no significant difference in carotenoids in all the cultivars; just the chlorophyll contents decreased with moderate stress in the Di Sicilia Violetto cultivar. This research demonstrates that cauliflower and broccoli are likely drought-tolerant vegetables and common irrigation regimes may be reviewed.
1. Introduction
Global climate change affects rainfall patterns [1], causing plants to suffer from drought in many parts of the world, especially in arid and semi-arid regions [2]. Water scarcity, followed by drought stress, poses serious challenges to agricultural productivity and future food security [3,4,5]. According to reports, the agricultural sector consumes roughly 70% of global freshwater consumption [6], but water use efficiency in many countries is less than 50% [6,7]. Drought stress is one of the detrimental consequences of climate change, negatively affecting crops’ morphological, physiological, and biochemical factors and resulting in crop productivity reductions [8]. Hence, finding solutions to reduce water use and selecting drought-tolerant crops and vegetables are major issues in sustainable agriculture [9]. Addressing these issues requires more effective methods: firstly, it is important to improve irrigation management by means of optimal irrigation strategies and water-efficient growing methods or controlled environment cultivation as an alternative to traditional field-based farming (surface irrigation) [5,10]. Secondly, there is a need to find drought-tolerant plant species without yield loss. To cope with drought conditions, employing a combination of strategies to improve plant drought resistance might be necessary [11].
Over the past two decades, the global agricultural value surged by 89 percent, while agriculture’s contribution to the global economic output remained relatively stable in 2022 (FAO 2024) [12]. With a global production of 26.5 million tons and 59,776.8 tons in Iran (FAO, 2023) [13], cauliflower (Brassica oleracea var. botrytis) and broccoli (Brassica oleracea var. italica) are among the most important and consumed vegetables of the Brassicaceae family over the world and specially in Iran [14,15,16]. Both are good sources of bioactive phytochemicals, like carotenoids, glucosinolates, fibers, and other macro- and micronutrients [17,18]. Thus, they have human health benefits including anti-cancerous properties, as well as preventing and treating cardiovascular diseases and eye-related disorders [17,19,20,21].
Cauliflower and broccoli grown in an open field and with traditional irrigation generally use large amounts of water, and water scarcity would be one of the main problems in the growth and production of these crops if this conventional farming practice is to be maintained [22,23]. Many studies report the effect of drought stress on physiology and secondary metabolite contents in different plant species and also in Brassica oleracea L. [24,25,26,27,28,29,30,31,32]. For instance, a case study evaluating the impact of drought revealed that the area for Brassica vegetables has decreased by 3.2% on an annual basis. The highest negative standardized yield of Brassica vegetables in relation to all vegetables in the study, as a result of severe drought, has been recorded in the Czech Republic over the past decades [33]. In this context, the main objective of this study was to find out the impact of water shortages on different colored (white, green, and purple) cauliflower and broccoli in a controlled cultivation trial.
2. Materials and Methods
2.1. Plant Growth Conditions and Drought Stress Application
The experiment was carried out in 2020–2021 at the experimental station of Tehran University (latitude 35°48′, longitude 50°57′, and 1320 m above sea level), Iran. Three colored cauliflower cultivars (white: Clapton, green: Trevi, and purple: Di Sicilia Violetto), and one broccoli cultivar (Magic) were used for the experiment. The seeds of Trevi (green), Di Sicilia Violetto (purple), and Magic (broccoli) cultivars were purchased from Hazera Seeds GmbH Company (Edemissen, Germany), and ‘Clapton’ (white) from the Volmary GmbH Company (Münster, Germany). They were sown in sowing bowls containing standard soil (coco peat and perlite at a ratio of 1:1), and, after five weeks, transferred in the greenhouse. During the plants’ growth, temperature in the greenhouse ranged between 25 °C (minimum) and 37 °C (maximum), with an average of 31 °C. The average air relative humidity was 60%. The experiment was conducted in a randomized block design with three replicates and three plants in each replicate. Soil samples were collected from 0–30 cm depths and analyzed in the Soil Science Laboratory of the Department of Irrigation and Reclamation Engineering at the University of Tehran, Iran. Initial soil properties, including soil texture, available water content, field capacity (FC), permanent wilting point (PWP), and soil electrical conductivity (EC), were determined. Field capacity (FC) is the amount of soil moisture or water content held in soil after excess water has drained away [34]. The retrieved values were pH = 8, FC = 27.04%, PWP = 12.44%, and EC = 1.4 dS/m. The soil texture was classified as loamy with a composition of 22.54% clay, 31.66% silt, and 45.80% sand. The Penman–Monteith method, stage-specific crop coefficients, and meteorological data from a nearby weather station were used to estimate the ETc values, according to formula (1) [35] as follows:
where Etc is the crop water requirements (mm), ETo is the reference crop evapotranspiration, and Kc is the crop coefficient.
Etc = ETo × Kc
A Teta probe (TDR 100 Soil Moisture Meter, Spectrum Technologies, Inc., Plainfield, IL, USA) was used every 2 days to monitor the soil moisture in the treatments and measure soil moisture volume. To evaluate the drought stress, one week after transferring the transplants to the greenhouse (late November), four levels of irrigation, including T1—no stress as control, in which plants were watered well (85–100%) through daily irrigation; T2—low drought stress, which corresponded to 65–80% field capacity (FC); T3—moderate stress, which corresponded to 45–60% FC; and T4—severe stress, which corresponded to 25–40% FC, were applied, till the harvest time (beginning of February).
2.2. Plant Growth Parameters, Carotenoids, and Chlorophyll Measurements
At the end of the growth period, the whole plants were harvested and different growth parameters, such as floret fresh weight and size, fresh weight of stem and total roots, leaf number per plant, and plant height from floret to crown area, were recoded. To measure the leaf area on average, three full expanded leaves from each plant were separated, then measured by a leaf area meter (Model: DELTA-T DEVICES, Cambridge, UK) and the data recorded in square centimeters.
Carotenoids and chlorophylls were extracted as previously described by Frede and Baldermann (2022) [36]. Briefly, 5 mg of freeze-dried, powdered leaves for all cultivars were used for extraction with tetrahydrofuran/methanol (1:1, v/v) solvents and analyzed by a UHPLC-DAD-ToF-MS device (Agilent Technologies, Waldbronn, Germany). Identification was performed by comparison of the spectra and retention times with authentic standards and available reference data in the literature [37]. Quantification was done at 450 nm. The results were expressed in ng mg−1 DW (dry weight) as means ± standard error of three biological replicates from each cultivar.
2.3. Data Analysis
The collected data were analyzed using IBM SPSS Statistics for Windows Version 26.0 (IBM Deutschland, Ehningen, Germany). One-way ANOVA and Tukey HSD post hoc test were used to compare the means of different treatment groups for each cultivar separately. The normal distribution of data in the different samples was tested (Shapiro–Wilk). A p-value of ≤ 0.05 (95% confidence level) was considered statistically significant and results are presented as the means ± SE in graphs. Microsoft Excel 2019 was utilized to create graphs.
3. Results
3.1. Effect of Drought Stress on Growth Parameters
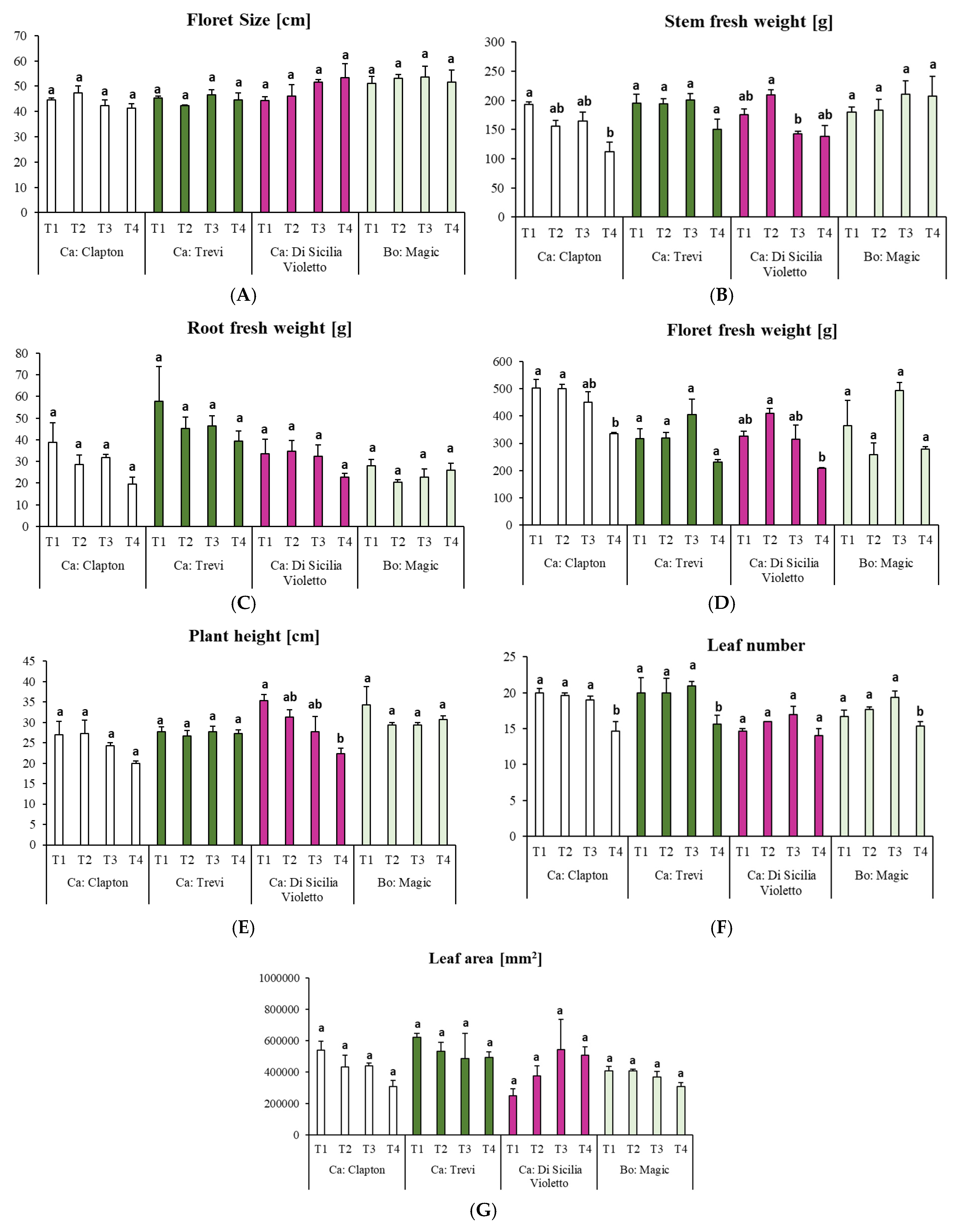
In the present study, different morphological parameters such as floret size, fresh root weight, and leaf area showed no significant decrease or increase under different treatments and in all cultivars of cauliflower and broccoli (Figure 1A,C,G). Both floret and stem fresh weight parameters were significantly reduced compared to the control treatment by severe water deficit (25–40% FC) in the Clapton cultivar (Figure 1B,D). Although the severe drought stress decreased the plant height in the Di Sicilia Violetto cultivar, the number of leaves did not change in this cultivar (Figure 1E,F).
Figure 1.
Effect of water regime (T1: watered well; T2: low stress; T3: moderate stress; and T4: severe stress) on (A): floret size; (B): stem fresh weight; (C): root fresh weight; (D): floret fresh weight; (E): plant height; (F): leaf number; and (G): leaf area parameters in Brassica oleracea var. botrytis and Brassica oleracea var. italica var. Magic. Each bar indicates means and standard error of three replicates by using one-way ANOVA at p < 0.05. Letters indicate statistically significant differences between different cultivars in alphabetical order from highest to lowest. Ca: cauliflower and Bo: broccoli.
3.2. Effect of Drought Stress on Carotenoids and Chlorophylls
The HPLC analysis of the leaf extracts revealed the presence of two major carotenoids, β-carotene and lutein, in cauliflower and broccoli. Chlorophyll a and chlorophyll b were the two main chlorophylls investigated in this study (Figure 2A,B and Table S1). Under deficit irrigation levels, no significant effect on the content of β-carotene, lutein, chlorophyll a, and chlorophyll b was observed. Moderate drought stress significantly decreased the content of total chlorophylls, just in the purple cultivar Di Sicilia Violetto (from 2748.0 ± 343.2 to 1762.1 ± 126.1 ng mg−1 DW), and neither a positive nor a negative effect was observed in the other cultivars (Figure 2B and Table S1). Also, the contents of total carotenoids, lutein/β-carotene, and chlorophyll a/b ratio were not affected by different water regimes (Figure 2A,C,D).
Figure 2.
Effect of water regime (T1: watered well; T2: low stress; T3: moderate stress; and T4: severe stress) on (A): chlorophylls; (B): carotenoids accumulation; and (C): lutein/β-carotene. (D): chl a/chl b ratios in Brassica oleracea var. botrytis and Brassica oleracea var. italica var. Magic. Each bar indicates means and standard error of three replicates by using one-way ANOVA at p < 0.05. Letters indicate statistically significant differences between different cultivars in alphabetical order from highest to lowest. Ca: cauliflower and Bo: broccoli.
4. Discussion
Water scarcity due to climate change and mismanagement in many parts of the world is a challenge to future food security and environmental sustainability [4]. Freshwater availability is expected to decrease dramatically as freshwater supplies become more scarce across the globe [38]. The FAO predicts that global water demand for agriculture will increase by 60% by 2050 to meet the growing food needs of a growing population [39,40]. In this regard, the development of water management practices such as optimizing irrigation scheduling and improving water use efficiency through the use of alternative water resources and efficient, localized irrigation systems will increase water use efficiency to sustain food production [4,41,42]. One of the most important abiotic stresses that severely affects the growth, yield, product quality, biosynthesis, and metabolism of secondary metabolites in Brassica crops is drought [43].
4.1. Drought Stress Effects on Physiological Parameters
Under water-limited conditions, a significant reduction in plant growth and yield production have been observed in different crops, such as canola [44], cauliflower [45], maize [46], and mungbean [47]. The discrepancy in the findings of the present study in comparison to that of cauliflower may be attributed to the variations in the experimental design. In the study of Latif, Akram, and Ashraf [45], seeds were treated with ascorbic acid, while in the present study, drought stress was induced by employing distinct water regimes.
It is expected that drought stress reduces growth parameters like leaf size, stem extension, and root proliferation in plants [48]. However, in this study, no significant effect was observed under mild and moderate drought stress in all the cultivars studied. A deeper understanding of growth in response to water limitation and the trade-off between conserving metabolic resources and ensuring adequate water access and uptake should be part of further studies, including adaptations at the cellular level and organ level or metabolic changes [49] using state-of the-art microscopic and instrumental–analytical methodologies such as single cell metabolomics [50]. Only under severe stress conditions was a reduction in yield observed for two cultivars, Clapton and Di Sicilia Violetto. The changes in our study are comparable with those reported by Kartika et al. [51].
The findings of this study demonstrate that the susceptibility of cauliflower and broccoli to water shortage is cultivar-specific. However, the study also indicates that targeted selection of cultivars, in combination with optimized water utilization strategies, has the potential to enhance the environmental sustainability of cauliflower and broccoli cultivation without significant yield reductions.
4.2. Drought Stress Effects on Photosynthetic Pigments
In plants, carotenoid pigments play a pivotal role in photosynthesis and provide the precursors for the biosynthesis of plant hormones like ABA and strigolactones, which are of great importance in plant stress tolerance [52,53]. Drought stress has been reported to affect the content of carotenoids in many crops, including strawberry [54], maize [55], Chinese flowering cabbage (Choysum), Chinese kale (Kailaan) [56], and soybean [57]. In the specific experimental conditions applied in this study, no alterations were observed in the β-carotene and lutein contents.
Furthermore, photosynthetic pigments (chlorophyll a and b) are essential for plant growth and development. Under drought stress, chlorophyll concentrations decrease through the synthesis of reactive oxygen species like O2 and H2O2 in plants [57,58]. It is reported that the accumulation of osmolytes such as proline in stress conditions could be a tolerance indicator in some plant species [46,59]. In this study, the total chlorophyll content in the cauliflower cultivars Clapton (white) and Trevi (green) and the broccoli cultivar (Magic) was not affected by water shortage or drought stress. One potential explanation for this phenomenon is that, due to the photosystem II’s (PSII’s) high tolerance to drought stress, it only exhibits a reaction under conditions that are particularly extreme, which were not yet observed in this study [60]. In addition, it has been documented that cauliflower exhibits a response to conditions of drought by decreasing photosynthesis, a process that arises from reduced gas exchange through stomatal conductance. This response, however, does not result in a decline in chlorophyll content [61]. However, other cultivars are more sensitive to drought. When subjected to moderate levels of stress, a slight decrease in chlorophyll content was observed in Di Sicilia Violetto. This outcome aligns with the documented impact of moderate deficit irrigation on leaf chlorophyll content in cabbage (Brassica oleracea L.) [62].
The present results suggest that growth is only marginally affected and that photosynthesis is only slightly altered, thus confirming the possible tolerance to water shortages in the studied cultivars of cauliflower and broccoli.
5. Conclusions
In conclusion, the present research demonstrates that the studied cultivars of cauliflower and broccoli are likely to be water shortage-tolerant vegetables. This finding is significant as it suggests that these crops can be cultivated in regions with limited water availability without substantial yield losses. Future research should concentrate on the optimization of irrigation practices during vegetable cultivation to maximize water use efficiency and crop productivity. The implementation of water-saving measures, such as drip irrigation and precise irrigation scheduling, is critical to enhancing food security, a challenge that remains at the global level. Furthermore, the development of more drought-resistant cultivars through breeding programs or genetic enhancements could significantly enhance the resilience of these crops to water stress across various experimental and environmental conditions in different regions. Exploring these potential future research avenues will contribute to advancing our understanding and implementation of effective strategies to mitigate the challenges posed by water scarcity.
Supplementary Materials
The following supporting information can be downloaded at https://www.mdpi.com/article/10.3390/plants14050725/s1. Table S1: Carotenoid and chlorophyll content of the different cauliflower (Ca) cultivars and the broccoli (Bo) cultivar under different water regimes: T1: well-watered, FC 85–100%, T2: low stress FC 65–80%; T3: moderate stress FC 45–60%; and T4: severe stress FC 25–40%.
Author Contributions
Conceptualization, F.S.; Methodology, F.S.; Formal analysis, F.I. and N.A.; Investigation, N.A.; Resources, F.S.; Data curation, F.I. and N.A.; Writing—original draft, F.I.; Writing—review & editing, F.S. and S.B.; Supervision, F.S. and S.B.; Funding acquisition, S.B. All authors have read and agreed to the published version of the manuscript.
Funding
This research was funded by the Federal Office of Agriculture and Food (BLE) of Germany [Grant No. 2816DOKI07 (Carcauli)] and by the Open Access Publishing Fund of the University of Bayreuth.
Data Availability Statement
Data are contained within the article and Supplementary Materials.
Acknowledgments
We would like to thank A. Platalla and E. Büsch in Germany and the Horticultural Department of Tehran University, Iran, for their excellent technical assistance.
Conflicts of Interest
The authors declare that they have no known competing financial interests or personal relationships that could have appeared to influence the work reported in this paper.
References
- Dore, M.H.I. Climate Change and Changes in Global Precipitation Patterns: What Do We Know? Environ. Int. 2005, 31, 1167–1181. [Google Scholar] [CrossRef]
- Sheffield, J.; Wood, E.F. Projected Changes in Drought Occurrence under Future Global Warming from Multi-Model, Multi-Scenario, IPCC AR4 Simulations. Clim. Dyn. 2008, 31, 79–105. [Google Scholar] [CrossRef]
- Rosegrant, M.W.; Ringler, C.; Zhu, T. Water for Agriculture: Maintaining Food Security under Growing Scarcity. Annu. Rev. Environ. Resour. 2009, 34, 205–222. [Google Scholar] [CrossRef]
- Hanjra, M.A.; Qureshi, M.E. Global Water Crisis and Future Food Security in an Era of Climate Change. Food Policy 2010, 35, 365–377. [Google Scholar] [CrossRef]
- Li, M.; Zhou, S.; Shen, S.; Wang, J.; Yang, Y.; Wu, Y.; Chen, F.; Lei, Y. Climate-Smart Irrigation Strategy Can Mitigate Agricultural Water Consumption While Ensuring Food Security under a Changing Climate. Agric. Water Manag. 2024, 292, 108663. [Google Scholar] [CrossRef]
- Hamdy, A.; Ragab, R.; Scarascia-Mugnozza, E. Coping with Water Scarcity: Water Saving and Increasing Water Productivity. Irrig. Drain. J. Int. Comm. Irrig. Drain. 2003, 52, 3–20. [Google Scholar] [CrossRef]
- Ringler, C.; Bhaduri, A.; Lawford, R. The Nexus across Water, Energy, Land and Food (WELF): Potential for Improved Resource Use Efficiency. Curr. Opin. Environ. Sustain. 2013, 5, 617–624. [Google Scholar] [CrossRef]
- Kim, Y.N.; Khan, M.A.; Kang, S.M.; Hamayun, M.; Lee, I.J. Enhancement of Drought-Stress Tolerance of Brassica Oleracea Var. Italica L YNA59. J. Microbiol. Biotechnol. 2020, 30, 1500–1509. [Google Scholar] [CrossRef]
- Boutraa, T. Improvement of Water Use Efficiency in Irrigated Agriculture: A Review. J. Agron. 2010, 9, 1–8. [Google Scholar] [CrossRef]
- Levidow, L.; Zaccaria, D.; Maia, R.; Vivas, E.; Todorovic, M.; Scardigno, A. Improving Water-Efficient Irrigation: Prospects and Difficulties of Innovative Practices. Agric. Water Manag. 2014, 146, 84–94. [Google Scholar] [CrossRef]
- Gupta, A.; Rico-Medina, A.; Caño-Delgado, A.I. The Physiology of Plant Responses to Drought. Science 2020, 368, 266–269. [Google Scholar] [CrossRef]
- FAO. Statistical Yearbook 2024 Reveals Critical Insights on the Sustainability of Global Agriculture, Food Security, and the Importance of Agrifood Systems in Employment. Available online: https://www.fao.org/newsroom/detail/fao-statistical-yearbook-2024-reveals-critical-insights-on-the-sustainability-of-agriculture-food-security-and-the-importance-of-agrifood-in-employment/ (accessed on 2 February 2025).
- FAOSTAT. Available online: https://www.fao.org/faostat/en/#data/QCL (accessed on 2 February 2025).
- Sotelo, T.; Soengas, P.; Velasco, P.; Rodríguez, V.M.; Cartea, M.E. Identification of Metabolic QTLs and Candidate Genes for Glucosinolate Synthesis in Brassica oleracea Leaves, Seeds and Flower Buds. PLoS ONE 2014, 9, 91428. [Google Scholar] [CrossRef] [PubMed]
- Jabeen, N. Agricultural, Economic and Societal Importance of Brassicaceae Plants. In The Plant Family Brassicaceae: Biology and Physiological Responses to Environmental Stresses; Hasanuzzaman, M., Ed.; Springer: Singapore, 2020; pp. 45–128. ISBN 978-981-15-6345-4. [Google Scholar]
- Šamec, D.; Salopek-Sondi, B. Chapter 3.11—Cruciferous (Brassicaceae) Vegetables. In Nonvitamin and Nonmineral Nutritional Supplements; Nabavi, S.M., Silva, A.S., Eds.; Academic Press: London, UK, 2019; pp. 195–202. ISBN 978-0-12-812491-8. [Google Scholar]
- Ravikumar, C. Therapeutic Potential of Brassica oleracea (Broccoli)–A Review. Int. J. Drug Dev. Res. 2015, 7, 9–10. [Google Scholar]
- Francisco, M.; Tortosa, M.; Martínez-Ballesta, M.D.C.; Velasco, P.; García-Viguera, C.; Moreno, D.A. Nutritional and Phytochemical Value of Brassica Crops from the Agri-food Perspective. Ann. Appl. Biol. 2017, 170, 273–285. [Google Scholar] [CrossRef]
- Manchali, S.; Murthy, K.N.C.; Patil, B.S. Crucial Facts about Health Benefits of Popular Cruciferous Vegetables. J. Funct. Foods 2012, 4, 94–106. [Google Scholar] [CrossRef]
- Kulczyński, B.; Gramza-Michałowska, A.; Kobus-Cisowska, J.; Kmiecik, D. The Role of Carotenoids in the Prevention and Treatment of Cardiovascular Disease–Current State of Knowledge. J. Funct. Foods 2017, 38, 45–65. [Google Scholar] [CrossRef]
- Swapnil, P.; Meena, M.; Singh, S.K.; Dhuldhaj, U.P.; Marwal, A. Vital Roles of Carotenoids in Plants and Humans to Deteriorate Stress with Its Structure, Biosynthesis, Metabolic Engineering and Functional Aspects. Curr. Plant Biol. 2021, 26, 100203. [Google Scholar] [CrossRef]
- Yu, H.M.; Li, Z.Z.; Gong, Y.S.; Mack, U.; Feger, K.H.; Stahr, K. Water Drainage and Nitrate Leaching under Traditional and Improved Management of Vegetable-cropping Systems in the North China Plain. J. Plant Nutr. Soil Sci. 2006, 169, 47–51. [Google Scholar] [CrossRef]
- Figas, A.; Jagosz, B.; Rolbiecki, S.; Rolbiecki, R.; Ptach, W. Effect of the Predicted Climate Changes on the Water Needs of Cauliflower Cultivated in the Central Poland. In Proceedings of the 18th International Scientific Conference “Eng. Rural Dev.”, Jelgava, Latvia, 9–11 April 2019; pp. 22–24. [Google Scholar]
- Miyashita, K.; Tanakamaru, S.; Maitani, T.; Kimura, K. Recovery Responses of Photosynthesis, Transpiration, and Stomatal Conductance in Kidney Bean Following Drought Stress. Environ. Exp. Bot. 2005, 53, 205–214. [Google Scholar] [CrossRef]
- Galmés, J.; Medrano, H.; Flexas, J. Photosynthetic Limitations in Response to Water Stress and Recovery in Mediterranean Plants with Different Growth Forms. New Phytol. 2007, 175, 81–93. [Google Scholar] [CrossRef]
- Ramakrishna, A.; Ravishankar, G.A. Influence of Abiotic Stress Signals on Secondary Metabolites in Plants. Plant Signal. Behav. 2011, 6, 1720–1731. [Google Scholar] [CrossRef]
- Anjum, S.A.; Xie, X.Y.; Wang, L.C.; Saleem, M.F.; Man, C.; Lei, W. Morphological, Physiological and Biochemical Responses of Plants to Drought Stress. Afr. J. Agric. Res. 2011, 6, 2026–2032. [Google Scholar]
- Aires, A.; Fernandes, C.; Carvalho, R.; Bennett, R.N.; Saavedra, M.J.; Rosa, E.A. Seasonal Effects on Bioactive Compounds and Antioxidant Capacity of Six Economically Important Brassica Vegetables. Molecules 2011, 16, 6816–6832. [Google Scholar] [CrossRef] [PubMed]
- Majidi, M.M.; Rashidi, F.; Sharafi, Y. Physiological Traits Related to Drought Tolerance in Brassica. Int. J. Plant Prod. 2015, 9, 541–560. [Google Scholar] [CrossRef]
- Khalid, M.F.; Huda, S.; Yong, M.; Li, L.; Li, L.; Chen, Z.H.; Ahmed, T. Alleviation of Drought and Salt Stress in Vegetables: Crop Responses and Mitigation Strategies. Plant Growth Regul. 2022, 99, 177–194. [Google Scholar] [CrossRef]
- Sardar, H.; Shafiq, M.; Naz, S.; Ali, S.; Ahmad, R.; Ejaz, S. Enhancing Drought Tolerance in Broccoli (Brassica oleracea L.) through Melatonin Application: Physiological and Biochemical Insights into Growth, Photosynthesis, and Antioxidant Defense Mechanisms. Biocatal. Agric. Biotechnol. 2024, 59, 103256. [Google Scholar] [CrossRef]
- Montesinos, C.; Benito, P.; Porcel, R.; Bellón, J.; González-Guzmán, M.; Arbona, V.; Yenush, L.; Mulet, J.M. Field Evaluation and Characterization of a Novel Biostimulant for Broccoli (Brassica oleracea Var. Italica) Cultivation under Drought and Salt Stress Which Increases Antioxidant, Glucosinolate and Phytohormone Content. Sci. Hortic. 2024, 338, 113584. [Google Scholar] [CrossRef]
- Potop, V.; Možný, M.; Soukup, J. Drought Evolution at Various Time Scales in the Lowland Regions and Their Impact on Vegetable Crops in the Czech Republic. Agric. For. Meteorol. 2012, 156, 121–133. [Google Scholar] [CrossRef]
- Kirkham, M.B. 8—Field Capacity, Wilting Point, Available Water, and the Non-Limiting Water Range. In Principles of Soil and Plant Water Relations; Kirkham, M.B., Ed.; Academic Press: Burlington, VT, USA, 2005; pp. 101–115. ISBN 978-0-12-409751-3. [Google Scholar]
- Allen, G.R.; Pereira, L.S.; Raes, D.; Smith, M. Crop Evapotranspiration-Guidelines for Computing Crop Water Requirements; FAO Irrigation and Drainage Paper 56; FAO: Rome, Italy, 1998. [Google Scholar]
- Frede, K.; Baldermann, S. Accumulation of Carotenoids in Brassica Rapa Ssp. Chinensis by a High Proportion of Blue in the Light Spectrum. Photochem. Photobiol. Sci. 2022, 21, 1947–1959. [Google Scholar] [CrossRef]
- Britton, G.; Liaaen-Jensen, S.; Pfander, H. Carotenoids—Handbook, 1st ed.; Birkhäuser: Basel, Switzerland, 2004; ISBN 978-3-7643-6180-8. [Google Scholar]
- Boretti, A.; Rosa, L. Reassessing the Projections of the World Water Development Report. NPJ Clean Water 2019, 2, 15. [Google Scholar] [CrossRef]
- Alexandratos, N.; Bruinsma, J. World Agriculture towards 2030/2050: The 2012 Revision; FAO: Rome, Italy, 2012. [Google Scholar]
- Dinar, A.; Tieu, A.; Huynh, H. Water Scarcity Impacts on Global Food Production. Glob. Food Secur. 2019, 23, 212–226. [Google Scholar] [CrossRef]
- Ali, M.H.; Talukder, M.S.U. Increasing Water Productivity in Crop Production—A Synthesis. Agric. Water Manag. 2008, 95, 1201–1213. [Google Scholar] [CrossRef]
- Chaudhary, S.K.; Srivastava, P.K. Future Challenges in Agricultural Water Management. In Agricultural Water Management; Academic Press: London, UK, 2021; pp. 445–456. [Google Scholar]
- Zhang, X.; Lu, G.; Long, W.; Zou, X.; Li, F.; Nishio, T. Recent Progress in Drought and Salt Tolerance Studies in Brassica Crops. Breed. Sci. 2014, 64, 60–73. [Google Scholar] [CrossRef]
- Shafiq, S.; Akram, N.A.; Ashraf, M.; Arshad, A. Synergistic Effects of Drought and Ascorbic Acid on Growth, Mineral Nutrients and Oxidative Defense System in Canola (Brassica napus L.) Plants. Acta Physiol. Plant. 2014, 36, 1539–1553. [Google Scholar] [CrossRef]
- Latif, M.; Akram, N.A.; Ashraf, M. Regulation of Some Biochemical Attributes in Drought-Stressed Cauliflower (Brassica oleracea L.) by Seed Pre-Treatment with Ascorbic Acid. J. Hortic. Sci. Biotechnol. 2016, 91, 129–137. [Google Scholar] [CrossRef]
- Shafiq, S.; Akram, N.A.; Ashraf, M. Assessment of Physio-Biochemical Indicators for Drought Tolerance in Different Cultivars of Maize (Zea mays L.). Pak. J. Bot. 2019, 51, 1241–1247. [Google Scholar] [CrossRef]
- Alsamadany, H. Physiological, Biochemical and Molecular Evaluation of Mungbean Genotypes for Agronomical Yield under Drought and Salinity Stresses in the Presence of Humic Acid. Saudi J. Biol. Sci. 2022, 29, 103385. [Google Scholar] [CrossRef]
- Farooq, M.; Wahid, A.; Kobayashi, N.S.M.A.; Fujita, D.B.S.M.A.; Basra, S.M.A. Plant Drought Stress: Effects, Mechanisms and Management. In Sustainable Agriculture; Springer: Dordrecht, The Netherlands, 2009; pp. 153–188. [Google Scholar]
- Feng, W.; Lindner, H.; Robbins, N.E., II; Dinneny, J.R. Growing Out of Stress: The Role of Cell- and Organ-Scale Growth Control in Plant Water-Stress Responses. Plant Cell 2016, 28, 1769–1782. [Google Scholar] [CrossRef]
- Magazzù, A.; Marcuello, C. Investigation of Soft Matter Nanomechanics by Atomic Force Microscopy and Optical Tweezers: A Comprehensive Review. Nanomaterials 2023, 13, 963. [Google Scholar] [CrossRef] [PubMed]
- Kartika, K.; Fadilah, L.N.; Lakitan, B. Growth Responses and Yield of Cauliflower (Brassica oleracea Var. Botrytis L.) to the Delayed Transplanting and Drought Stress. In Proceedings of the E3S Web of Conferences, EDP Sciences, Bogor City (virtual), Indonesia, 6–7 July 2021; Volume 306, p. 01007. [Google Scholar]
- Cazzonelli, C.I. Carotenoids in Nature: Insights from Plants and Beyond. Funct. Plant Biol. 2011, 38, 833–847. [Google Scholar] [CrossRef]
- Ahanger, M.A.; Siddique, K.H.; Ahmad, P. Understanding Drought Tolerance in Plants. Physiol. Plant. 2021, 172, 286–288. [Google Scholar] [CrossRef]
- Munné-Bosch, S.; Peñuelas, J. Drought-Induced Oxidative Stress in Strawberry Tree (Arbutus unedo L.) Growing in Mediterranean Field Conditions. Plant Sci. 2004, 166, 1105–1110. [Google Scholar] [CrossRef]
- Mohammadkhani, N.; Heidari, R. Effects of Drought Stress on Protective Enzyme Activities and Lipid Peroxidation in Two Maize Cultivars. Pak. J. Biol. Sci. 2007, 10, 3835–3840. [Google Scholar] [CrossRef] [PubMed]
- Hanson, P.; Yang, R.Y.; Chang, L.C.; Ledesma, L.; Ledesma, D. Carotenoids, Ascorbic Acid, Minerals, and Total Glucosinolates in Choysum (Brassica rapa Cvg. Parachinensis) and Kailaan (B. oleraceae Alboglabra Group) as Affected by Variety and Wet and Dry Season Production. J. Food Compos. Anal. 2011, 24, 950–962. [Google Scholar] [CrossRef]
- Mutava, R.N.; Prince, S.J.K.; Syed, N.H.; Song, L.; Valliyodan, B.; Chen, W.; Nguyen, H.T. Understanding Abiotic Stress Tolerance Mechanisms in Soybean: A Comparative Evaluation of Soybean Response to Drought and Flooding Stress. Plant Physiol. Biochem. 2015, 86, 109–120. [Google Scholar] [CrossRef]
- Khodabin, G.; Tahmasebi-Sarvestani, Z.; Rad, A.H.S.; Modarres-Sanavy, S.A.M. Effect of Drought Stress on Certain Morphological and Physiological Characteristics of a Resistant and a Sensitive Canola Cultivar. Chem. Biodivers. 2020, 17, 1900399. [Google Scholar] [CrossRef] [PubMed]
- Ashraf, M.H.P.J.C.; Harris, P.J. Photosynthesis under Stressful Environments: An Overview. Photosynthetica 2013, 51, 163–190. [Google Scholar] [CrossRef]
- Lauriano, J.A.; Ramalho, J.C.; Lidon, F.C.; Do Céu matos, M. Mechanisms of Energy Dissipation in Peanut under Water Stress. Photosynthetica 2006, 44, 404–410. [Google Scholar] [CrossRef]
- Krzesiński, W.; Spiżewski, T.; Kałużewicz, A.; Frąszczak, B.; Zaworska, A.; Lisiecka, J. Cauliflower’s Response to Drought Stress. Nauka Przyr. Technol. 2016, 10, 44. [Google Scholar] [CrossRef]
- Xu, C.; Leskovar, D.I. Growth, Physiology and Yield Responses of Cabbage to Deficit Irrigation. Hortic. Sci. 2014, 41, 138–146. [Google Scholar] [CrossRef]
Disclaimer/Publisher’s Note: The statements, opinions and data contained in all publications are solely those of the individual author(s) and contributor(s) and not of MDPI and/or the editor(s). MDPI and/or the editor(s) disclaim responsibility for any injury to people or property resulting from any ideas, methods, instructions or products referred to in the content. |
© 2025 by the authors. Licensee MDPI, Basel, Switzerland. This article is an open access article distributed under the terms and conditions of the Creative Commons Attribution (CC BY) license (https://creativecommons.org/licenses/by/4.0/).

