Abstract
An active rotor with trailing-edge flaps (TEFs) is an effective active vibration control method for helicopters. Blade flapping dynamic characteristics have a significant effect on the active vibration control performance of an active rotor. In this study, an aeroelastic model is developed using the Hamilton principle, and a quasi-steady Theodorsen model for the airfoil with a TEF is utilized to calculate the aerodynamic loads induced by the dynamic deflection of TEFs. The accuracy of this model is validated through a comparison with the CAMRAD calculation and flight test results of a SA349/2 helicopter. Based on the modal orthogonality and the equilibrium equation of the blade flapping motion, the method of changing the blade flapping dynamic characteristics is obtained. Blade sectional characteristics are adjusted to study the effect of blade flapping dynamics on the vibration control authority of an active rotor. The simulation results demonstrate that if the modal frequency of second-order flap is tuned to close to the rotor passage frequency, the flapping dynamic characteristics are capable of enhancing the vibration control performance of the active rotor.
1. Introduction
The oscillating loads exerted on the helicopter fuselage by the rotor are the main source of helicopter vibrations [1,2]. Negative effects are imposed on the structure fatigue of helicopter components working in severe vibration environments. Furthermore, the reliability of on-board equipment and the comfort of the crew members and passengers are degraded by high vibratory levels [3]. Therefore, vibration reduction in helicopters is a key issue in the design of helicopter dynamics.
With the increasing demands of the helicopter vibration levels, conventional passive vibration reduction techniques are no longer sufficient to meet the development needs of helicopters [4,5]. As a consequence, active vibration control techniques for helicopters have emerged and begun to be applied. On-blade control is an effective active vibration control method, including an active twist rotor and an active rotor with TEFs. An active twist rotor can suppress the rotor vibration through the blade dynamic twist [6]. Additionally, the dynamic twist technique has other applications. A series of studies on the effect of dynamic twisting on the flow field and the unsteady forces were conducted by Bhattacharya et al. [7,8,9]. However, the active twist rotor has not been used in engineering applications due to the limitations in drive technology. Under the current conditions, the active rotor is more promising than the active twist rotor in vibration control, which possesses many advantages, such as low power consumption and simple drive mechanism structures [10,11]. Numerical simulations of an active rotor were performed by Friedmann et al. [12,13] using the comprehensive aeroelastic code of active vibration and noise reduction (AVINORA), and the results demonstrated that the vibratory rotor hub loads at the blade passage frequency could be effectively suppressed through the active deflection of TEFs. Wind tunnel tests of a full-scaled smart material actuated rotor technology (SMART) rotor were carried out by Boeing in the NASA Ames Research Center [14,15], which showed that a 6 dB reduction in blade–vortex interference noise and an 80% reduction in hub loads were achieved. Two flight tests were performed by Airbus Helicopter [16,17,18] using the BK-117 helicopter and the EC-145 helicopter, respectively, and the maximum vibration reduction reached 80%. Wind tunnel tests were conducted by ZHOU et al. [19] utilizing a scaled active rotor, which demonstrated that 92% and 49% vibration reductions in the hovering and forward flight conditions were achieved. In addition, the application of TEF has been expanded to the wind turbine industry, and excellent vibration control was achieved both in numerical simulation and the experiments. Experimental models using dedicated system identification techniques were developed by Wingerden et al. [20], and a feedback controller based on H∞ -loop shaping combined with a fixed-structure feedforward control was designed. The results showed that with appropriate control techniques, the variance of the load signals can be reduced up to 90%. A full-scale test of TEFs on the Vestas V27 wind turbine was performed by Castaignet et al., and a 20-state time-invariant linear model was derived based on system identification, which proved the load alleviation capability of the TEFs and a good simulation accuracy of the established model [21]. In summary, these studies indicate that an active rotor with TEFs is an effective and promising method of vibration control for helicopters.
The vibration control mechanism of an active rotor can be divided into a direct effect and an indirect effect [22]. The first is the direct aerodynamic effect. The dynamic deflection of TEFs can induce additional aerodynamic loads, which are able to manipulate the aerodynamic load distribution of the rotor directly. If the phase of the additional aerodynamic loads is opposite to the phase of rotor vibratory loads, the purpose of vibration control for helicopters can be achieved. For the indirect effect, flap bending and torsional deformation of the blade are induced by aerodynamic forces generated by the dynamic deflection of TEFs. The elastic deformation of the blade can change the angle of attack (AoA) of the blade section, which indirectly alters the aerodynamic load distribution, and finally, a suppression of the rotor vibratory loads is achieved.
Jain and Yeo [23] established an aeroelastic model using the RCAS comprehensive code. In this model, the flexible rotor blade was modeled using the moderate deformation beam, and aerodynamic loads were calculated through the free-wake inflow model and the table-lookup method. Based on this model, Jain and Yeo studied the effects of torsion frequencies on rotor performance and structural loads with TEF, which showed that the blade torsion frequency plays a significant role in rotor performance, and if the TEF is not applied, a soft rotor would incur a performance penalty of about 6%. Shen and Chopra [24] built an aeroelastic analytical model based on the UMARC comprehensive code. In this model, the rotor blade was modeled using moderate deformation, and the aerodynamic loads were calculated based on the linear Drees inflow and table-lookup method. Using this model, Shen and Chopra studied the parametric design for a swashplateless helicopter rotor with TEFs. The results demonstrated that low blade torsional stiffness increases TEF effectiveness. Ravichandran et al. [25] established an analytical model using the UMARC comprehensive code. The moderate deformation beam was adopted to model the rotor blade, and the aerodynamic loads were calculated through the lifting-line aerodynamic model and table look-up method. Based on the established model, TEFs for rotor performance enhancement and vibration reduction were studied, which showed that the torsion soft rotor is conducive to improving rotor performance. These studies show that blade torsional dynamic characteristics have a significant impact on the vibration control of an active rotor.
The blade flapping dynamics is determined by the blade structural characteristics, including mass distribution, flapping stiffness and inertia moment of the blades [26]. The blade flapping dynamic characteristics have a great influence on the rotor vibratory loads [27]; however, the influence of blade flapping dynamics on vibration control is not yet well studied. In order to improve its vibration control performance, it is necessary to study the influence of blade flapping dynamics thoroughly.
In this study, an aeroelastic model of an active rotor with TEFs was established. Aerodynamic loads generated by the TEF were calculated using the Theodorsen model. The CAMRAD calculation and experimental results were used to validate the accuracy of the aeroelastic model. According to the blade flap motion, the adjustment method of flapping dynamics was acquired. The blade flapping dynamic characteristics were adjusted to study the vibration control effect of an active rotor with TEFs. Simulations were conducted at different TEF flapping frequencies and angles through the phase-sweep method. The simulation results demonstrated that appropriate blade flapping frequencies were capable of improving the vibration reduction effect of the active rotor.
2. Aeroelastic Model
2.1. Model Establishment
In order to simulate the influence of TEF deflection on rotor vibratory loads, an aeroelastic model was established for the rotor system based on the Hamilton principle [28], which can be expressed as
where is the virtual variation of strain energy; is the virtual variation of kinetic energy; is the virtual work of external loads. This active rotor can be divided into two components, namely the rotor blade and the TEFs mounted on the trailing edge of the blade. Therefore, the variations are also divided into two parts correspondingly, given by
where is the number of blades; , and are the -th base blade virtual variations of strain energy, kinetic energy and the virtual work done by external loads, respectively., and are the virtual variations of strain energy, kinetic energy and virtual work performed by external loads of TEFs mounted on the -th base blade, respectively.
The motion of the blade with TEFs includes not only the flapping, lead-lag and pitching motion of the base blade but also the deflecting motion of the TEFs. In order to describe the motion of the active rotor system, several coordinate systems were established, as presented in Figure 1 [29].
Figure 1.
Blade coordinate systems: (a) Blade rigid coordinate systems; (b) Blade elastic coordinate systems; (c) TEF coordinate systems.
As shown in Figure 1, I, H, F, L, B, U, D and f are the inertial coordinate system, the hub rotation coordinate system, the blade rigid flapping coordinate system, the blade lead-lag coordinate system, the blade undeformed coordinate system, the blade sectional undeformed coordinate system, the blade sectional deformed coordinate system and the TEF coordinate system, respectively.
According to the established coordinate systems, the position vector of a point P on any section of the blade with respect to the inertial coordinate system can be expressed as
where is the position vector of the point P in the hub coordinate system H; is the coordinate transfer matrix from the coordinate system H to the coordinate system I.
If the point P is located on the TEFs, the position vector of a point P on the flap in the coordinate system H is written as
where is the position vector of the origin of the coordinate system F in the coordinate system H. The definition of and is similar to . , and are the biases of the origin of the coordinate system F, L and B with respect to the origin of the coordinate system H, F and L. , and are the corresponding coordinate transfer matrices. is defined as
where is the distance from the origin of the coordinate system U to the origin of the coordinate system B; , , are the blade elastic deformation displacements; and , are the coordinates of the point P in the coordinate system f.
By taking the derivative of time, the acceleration of the point P can be obtained as
where is the hub rotation speed.
The virtual kinetic energy of the TEFs is written in terms of the virtual work of inertial forces as
The virtual kinetic energy can also be expressed in the form of the second-order derivative for the generalized degrees of freedom q with respect to time, generalized mass matrix M and non-linear generalized force F as
Similarly, the virtual kinetic energy of the base blade is expressed as
Compared to the base blade, the TEFs are characterized as low size and higher stiffness; thus, the TEFs can be regarded as rigid bodies, and their influence on the strain energy of the rotor system is neglected. The strain energy of the base blade is determined by its own elastic deformation, and its variational form is given by
where is strain, and is stress.
The loads acting on the blade are mainly aerodynamic loads, and the virtual work of aerodynamic loads is written as
where and are the aerodynamic forces and moments applied to the blade; is the virtual angular displacement. The virtual work of aerodynamic loads is expressed in the form of generalized degrees of freedom and non-linear generalized forces as
For the simulation of a helicopter rotor, an inflow model is necessary to calculate the induced velocity due to rotor rotation movement [30,31,32]. In this aeroelastic model, the vortex particle method was adopted to simulate the rotor inflow [28]. The table look-up method was used to calculate the aerodynamic loads of the base blade. The aerodynamic coefficients in the table are obtained by wind-tunnel tests or by CFD calculation [33,34,35]. Based on the AoA and airflow velocity of the airfoil, the corresponding aerodynamic coefficients were obtained by interpolation in the standard aerodynamic coefficient table. The quasi-steady Theodorsen aerodynamic model for the airfoil with a TEF was adopted to calculate aerodynamic loads induced by TEF deflection [36,37,38]. The lift coefficient, pitch moment coefficient and TEF hinge moment coefficient can be expressed as
where , and are the non-circulation part of aerodynamic load coefficients; and are the AoA of the airfoil under quasi-steady conditions and the TEF deflection angle; is the ratio of the distance between the rotation center and the center of the airfoil to the half chord length of the airfoil; is the geometric constant of TEFs; is the Theodorsen function related to the reduction frequency; and are the quasi-steady pitch moment and hinge moment of TEFs.
After obtaining the variational form of kinetic energy, strain energy and work performed by external loads for the blade with TEFs, dynamic equations of the aeroelastic system can be derived from Equation (1). These equations can be solved through shape function interpolation, discretization and assembly of dynamic models, and the structural loads of blades were calculated using the force integration method [39].
2.2. Model Validation
This aeroelastic model was validated by comparing the simulation results with the CAMRAD calculation and flight measurements for a SA349/2 helicopter performed by ONERA [40]. The basic parameters of the SA349/2 helicopter are listed in Table 1.
Table 1.
Basic parameters of SA349/2.
First, at a rotation speed of 387 r/min, the natural frequencies of the SA349 rotor were calculated using the model established in this study, and the results were compared with those from Ref [40], which were obtained utilizing CAMRAD.
The results are shown in Table 2, where Ω is the rotor rotation frequency. The errors in the calculated natural frequencies of the first three orders of flap, the first two orders of lead-lag and the first order of torsion are less than 3%. It is shown that the rotor dynamic model used in this paper is capable of calculating the blade dynamic characteristics with a high degree of accuracy.
Table 2.
Comparison of blade natural frequencies.
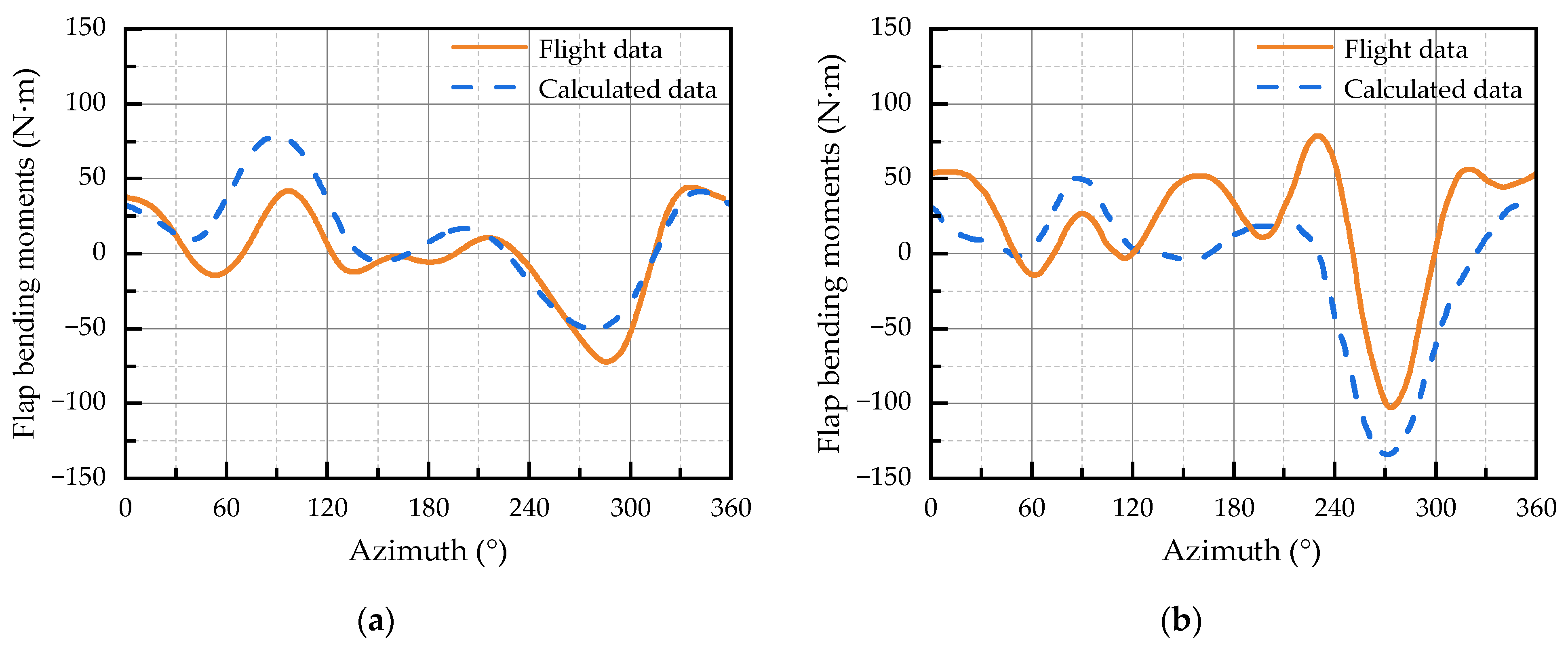
Then, at an advanced ratio of 0.14, the calculated flap bending moments at different radial positions of the blade were compared with the flight test results in Ref [40], as shown in Figure 2. It can be seen that the results of the load calculations follow the same trend as the flight test results and reach the common calculation accuracy of state-of-the-art comprehensive codes, such as CAMRAD II and UMARC. Therefore, the aeroelastic model developed in this paper can be used for rotor vibration load control simulation.
Figure 2.
Flap bending moments at different blade radii: (a) 50% blade radius; (b) 80% blade radius.
3. Adjustment Method of Flap Dynamics
The rotor blade can be considered as a beam structure, and the blade elastic properties can be expressed as a function of the blade radius [41,42]. The elastic deformation of the blade can be described as a superposition of flap deformation, lead-lag deformation and torsional deformation, as shown in Figure 3. Different modes are analyzed independently for modal orthogonality.
Figure 3.
Elastic deformation of the blade.
Vibratory responses are stimulated by the aerodynamic forces of the blade. The equilibrium equation for the blade flapping motion is expressed as
where , , and are the mass density, flap bending stiffness, rotation speed and flap deformation responses of the blade, respectively. can be written in the form of spanwise coordinate and time as
where is the flapping modal shape function; is the time function of the response; and the subscript denotes the order mode. The modal shape function should satisfy
where is the generalized mass of the order mode. According to Equations (18)–(20), the equilibrium equation for the order mode is derived as
Based on Equation (21), the flapping natural frequency of the order mode is written as
In Equation (22), the first and second term on the right side are the elastic stiffness and centrifugal stiffness divided by the generalized mass, separately. Equation (22) shows that the flapping natural frequency of the blade can be adjusted by changing the flap stiffness and mass distribution. The higher order modes of the blade are influenced by elastic stiffness, while the lower order modes of the blade are affected by centrifugal stiffness. Therefore, the influence of flapping dynamic characteristics on vibration control performance can be studied by varying the mass distribution and flap stiffness of the blade. The order modal response under harmonic aerodynamic forces is given by
where is the dynamic magnification factor. As can be seen in Equation (23), if the natural frequency of the blade is tuned to close to the frequency of the aerodynamic forces, the value of the dynamic magnification factor increases, and so do the vibratory responses.
The blade structure parameters were adjusted, so that the blade second-order flapping natural frequency was around 3 Ω. These blade sectional dynamics parameters were substituted into the dynamic model developed to calculate the second-order flapping natural frequency of the blade and the vertical vibratory loads of the hub, the values of which are shown in Table 3. It is evident that the vertical dynamic loads on the rotor hub increase as the second-order flapping natural frequency of the blade approaches 3 Ω.
Table 3.
Load calculation results of blades with different flapping frequencies.
4. Simulation Results
The TEF control frequencies for the six types of blades in Table 3 were set to 2 Ω, 3 Ω and 4 Ω. Phase sweep was adopted to simulate the effect of different TEF deflection angles on vibratory loads. As an example, the results of a phase sweep at 3 Ω deflection frequency are shown in Figure 4.

Figure 4.
Phase-sweep results of rotors at 3 Ω with different blade flapping dynamic characteristics: (a) Type I blade; (b) Type II blade; (c) Type III blade; (d) Type IV blade; (e) Type V blade; (f) Type VI blade.
Figure 4 shows that the vibration reduction phases of the TEFs at the 3 Ω deflection frequency are almost identical for different second-order flapping natural frequencies of the blades. Within a certain range of deflection angles, the control authority of the TEFs on vibratory loads is more pronounced as the deflection angles of the TEFs increase.
The phase-sweep data of the six types of blades were analyzed, and the vertical vibratory hub loads at the optimal phase of TEFs were obtained. The vibration reduction effect for the active rotor of the six sets is shown in Figure 5.
Figure 5.
Vertical vibratory loads of TEFs at different frequencies: (a) 2 Ω; (b) 3 Ω; (c) 4 Ω.
The motion in the flapping direction has the greatest influence on the rotor vertical vibratory loads. For a three-bladed rotor, the passing frequency is 3 Ω, which means that the flapping loads stimulated by the 3 Ω motion of the TEF can pass through the rotor hub and propagate into the fuselage, and the dynamic responses are amplified, since the excitation frequency is close to the natural frequency. For 2 Ω and 4 Ω TEF deflections, the amplitude of the dynamic response is relatively lower because the natural frequency is far from the excitation frequency of the TEF, and the 2 Ω and 4 Ω vertical loads of the blades cannot pass through the rotor hub due to the filter effect of the hub. For the same reason, for a four-bladed rotor, if the flapping frequency of the rotor is configured close to the passing frequency of 4 Ω, the vibration control authority of the active rotor can be enhanced dramatically.
In Figure 5, it can be seen that the TEFs have a vibration control effect at the deflection frequencies of 2 Ω, 3 Ω and 4 Ω, with the 3 Ω effect being the most significant, and the control effect is enhanced as the TEF deflection angles increase. If the blade second-order flapping natural frequency is around 3 Ω, the base vibratory loads are high, and the vibration control effect is not optimal. For the vibration control effect of a three-bladed rotor, a blade second-order flapping characteristic configuration of 3.2–3.4 Ω is better than 2.6–2.8 Ω.
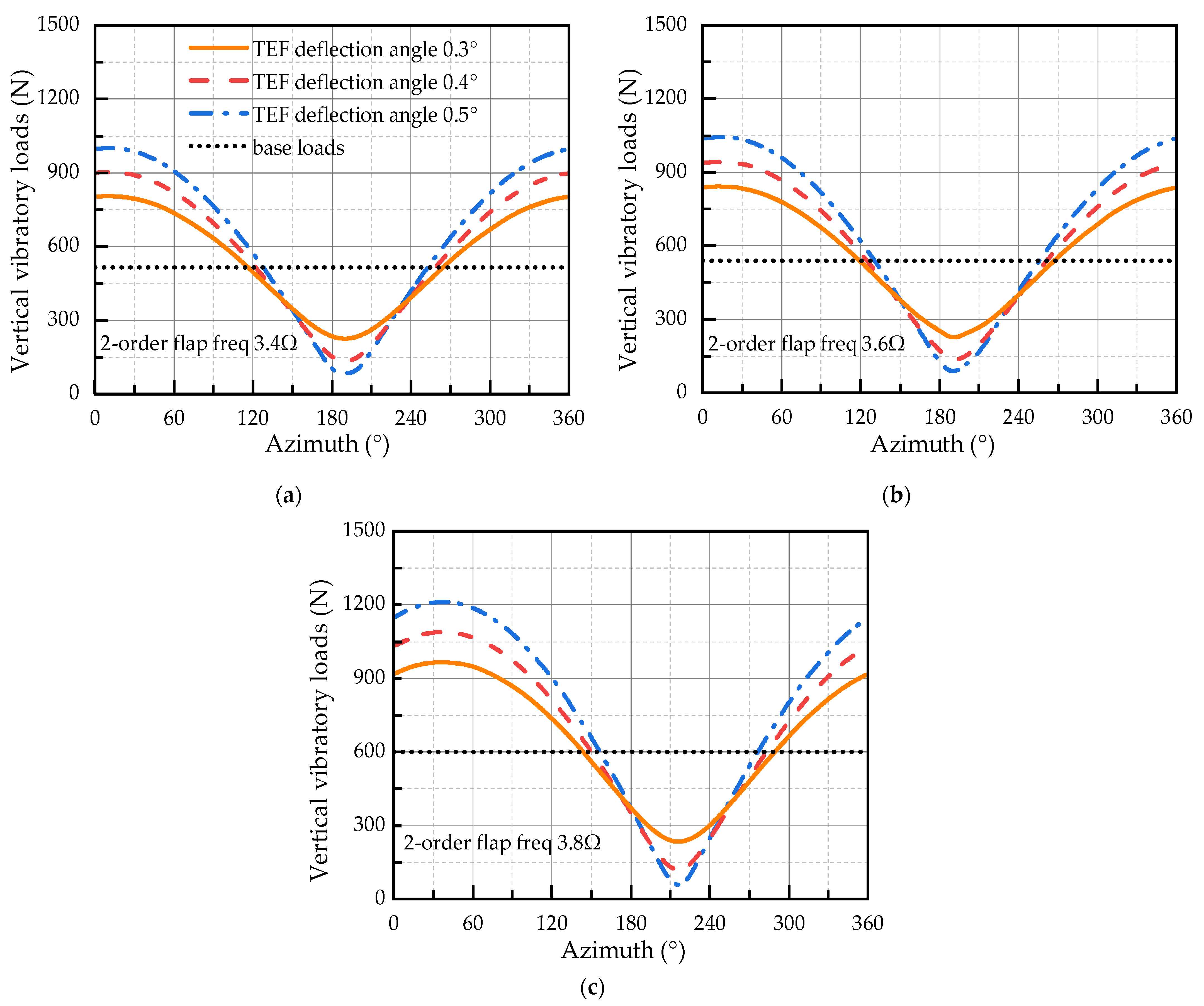
A four-bladed rotor system was created to further study the vibration control characteristics of an active rotor with TEFs on rotor systems with different numbers of blades. It is clear from the hub load transfer law that the loads’ transmission to the hub of the four-bladed rotor system is a 4nΩ harmonic component. For a four-bladed rotor, the 4 Ω deflection frequency of the TEFs has the greatest impact on the vertical vibratory loads. The second-order flapping natural frequency was tuned to close to 4 Ω by adjusting the sectional dynamic parameters of the blade. The TEF deflection frequency was set to 4 Ω, and simulations were carried out for rotor blades with different second-order flapping frequencies. The phase-sweep diagrams were obtained, as presented in Figure 6.
Figure 6.
Phase-sweep diagrams of different second-order flapping frequencies: (a) 3.4 Ω; (b) 3.6 Ω; (c) 3.8 Ω.
It is evident in Figure 6 that the TEF optimal phase of vibration reduction for the rotor with different second-order flapping frequencies is in the range from 190° to 220°. Based on the phase-sweep results of the rotor with different flapping dynamic characteristics, the rotor vibratory loads for different deflection angles at the optimal phase are shown in Figure 7. It can be seen that for a four-bladed rotor, if the TEFs deflect at the frequency of 4 Ω, the control effect of the vertical vibratory loads on the hub is enhanced as the second-order flapping natural frequency of the blades approaches 4 Ω.
Figure 7.
Vertical vibratory loads at 4 Ω deflection frequency of TEFs.
5. Conclusions
An aeroelastic model of an active rotor with TEFs was developed based on the Hamilton principle, and the accuracy was validated using the CAMRAD calculation and experimental results. The influence of the blade flapping dynamics on the vibration control performance was analyzed by adjusting the blade sectional dynamic parameters. Several conclusions were obtained, as follows:
- For a rotor system with blades, different flap deflection frequencies produce different vibration reduction effects on the rotor for the same deflection angle. If the second-order flapping natural frequency of the blade is tuned close to the passage frequency, the dynamic magnification factor is enlarged, and the base vibration load level is enhanced.
- If the deflection frequency of the TEF control inputs is close to the second-order flapping natural frequency of the blade, the control effect of the rotor vertical vibratory loads can be improved. The configuration of dynamic characteristics for the blade second-order flapping mode can be fully utilized to enhance the effectiveness of the active rotor and to obtain lower vertical vibratory loads of the hub.
- For the three-bladed and four-bladed rotor, if the second-order flapping natural frequency is configured at 2.6–2.7 Ω and 3.6–3.7 Ω, respectively, a balance between base vibration levels and vibration control effects of the active rotor can be achieved. For the three-bladed rotor, if the second-order flapping natural frequency is configured at 3.2–3.4 Ω, it is possible to achieve a compromise between lower controlled loads and vibration control effects.
Author Contributions
Conceptualization, X.G.; methodology, L.D. and X.G.; software, X.G.; data processing, X.G. and T.L.; validation, L.D.; writing—original draft preparation, X.G.; writing—review and editing, L.D.; supervision, W.Y.; project administration, L.D.; funding acquisition, L.D. All authors have read and agreed to the published version of the manuscript.
Funding
This research was funded by the National Natural Science Foundation of China (Grant No. 11402110) and Priority Academic Program Development of Jiangsu Higher Education (PAPD).
Data Availability Statement
Not applicable.
Conflicts of Interest
The authors declare no conflict of interest.
References
- Robert, B. Helicopter Rotor Blade Design for Minimum Vibration; NASA Technical Report, 74-A-2; United Technologies Research Center: East Hartford, CT, USA, 1984. [Google Scholar]
- Breitbach, E.; Buter, A. The main sources of helicopter vibration and noise emissions and adaptive concepts to reduce them. J. Struct. Control 1996, 3, 21–32. [Google Scholar] [CrossRef]
- Yong, C.; Zimcik, D.G.; Wickramasinghe, V.K.; Nitzsche, F. Development of the smart spring for active vibration control of helicopter blades. J. Intel. Mat. Syst. Str. 2004, 15, 37–47. [Google Scholar] [CrossRef]
- Pearson, J.T.; Goodall, R.M.; Lyndon, I. Active control of helicopter vibration. Comput. Control Eng. 1994, 5, 277–284. [Google Scholar] [CrossRef]
- Yang, R.G.; Gao, Y.D.; Wang, H.M.; Ni, X.P. Fuzzy neural network PID control used in Individual blade control. Aerospace 2023, 10, 623. [Google Scholar] [CrossRef]
- Wilbur, M.L.; Mirick, P.H.; Yeager, W.T.; Langston, C.W.; Cesnik, C.E.S.; Shin, S. Vibratory loads reduction testing of the NASA/ARMY/MIT active twist rotor. J. Am. Helicopter Soc. 2002, 47, 123–133. [Google Scholar] [CrossRef]
- Jia, K.; Scofield, T.; Wei, M.; Bhattacharya, S. Vorticity transfer in a leading-edge vortex due to controlled spanwise bending. Phys. Rev. Fluids 2021, 6, 024703. [Google Scholar] [CrossRef]
- Joshi, K.; Bhattacharya, S. The unsteady force response of an accelerating flat plate with controlled spanwise bending. J. Fluid Mech. 2022, 933, A56. [Google Scholar] [CrossRef]
- Soto, C.; Bhattacharya, S. The effect of dynamic twisting on the flow field and the unsteady forces of a heaving flat plate. Bioinspir. Biomim. 2023, 18, 026010. [Google Scholar] [CrossRef]
- Friedmann, P.P. On-blade control of rotor vibration, noise, and performance: Just around the corner? J. Am. Helicopter Soc. 2014, 59, 1–37. [Google Scholar] [CrossRef]
- Ma, J.C.; Lu, Y.; Su, T.Y.; Guan, S.J. Experimental research of active vibration and noise control of electrically controlled rotor. Chin. J. Aeronaut. 2021, 34, 106–118. [Google Scholar] [CrossRef]
- Padthe, A.K.; Friedmann, P.P. Simultaneous blade–vortex interaction noise and vibration reduction in rotorcraft using microflaps, including the effect of actuator saturation. J. Am. Helicopter Soc. 2015, 60, 1–16. [Google Scholar] [CrossRef]
- Chia, M.H.; Padthe, A.K.; Duraisamy, K.; Friedmann, P.P. An effective approach for the simulation and on-blade control of helicopter noise and the impact on vibration. J. Am. Helicopter Soc. 2017, 62, 1–15. [Google Scholar] [CrossRef]
- Straub, F.K.; Kennedy, D.K.; Stemple, A.D.; Anand, V.R.; Bircgette, T.S. Development and whirl tower test of the SMART active flap rotor. In Proceedings of the SPIE’s Intl Symposium on Smart Structures and Materials, San Diego, CA, USA, 29 July 2004; pp. 14–18. [Google Scholar] [CrossRef]
- Straub, F.K.; Anand, V.R.; Bircgette, T.S.; Benton, H.L. SMART rotor development and wind tunnel test. In Proceedings of the 35th European Rotorcraft Forum, Hamburg, Germany, 22–25 September 2009. [Google Scholar]
- Roth, D.; Enenkl, B.; Dieterich, O. Active rotor control by flaps for vibration reduction—Full scale demonstrator and first flight test results. In Proceedings of the 32nd European Rotorcraft Forum, Maastricht, The Netherlands, 12–14 September 2006. [Google Scholar]
- Rabourdin, A.; Maurice, J.B.; Dieterich, O.; Konstanzer, P. Blue Pulse active rotor control at Airbus Helicopters—New EC145 demonstrator and flight test results. In Proceedings of the 70th Annual Forum of the American Helicopter Society, Montreal, QC, Canada, 20–22 May 2014. [Google Scholar]
- Dieterich, O.; Rabourdin, A.; Maurice, J.B.; Konstanzer, P. Blue pulse: Active rotor control by trailing edge flaps at Airbus helicopters. In Proceedings of the 41st European Rotorcraft Forum, Munich, Germany, 1–4 September 2015. [Google Scholar]
- Zhou, J.L.; Dong, L.H.; Yang, W.D. Experimental study on transfer functions of an active rotor under different flight conditions. Chin. J. Aeronaut. 2022, 35, 107–120. [Google Scholar] [CrossRef]
- Van Wingerden, J.W.; Hulskamp, A.; Blarlas, T.; Houtzager, I.; Bersee, H.; Van Kuik, G.; Verhaegen, M. Two-Degree-of-Freedom Active Vibration Control of a Prototyped “Smart” Rotor. IEEE Trans. Control Syst. Technol. 2011, 2, 284–296. [Google Scholar] [CrossRef]
- Castaignet, D.; Barlas, T.; Buhl, T.; Poulsen, N.K.; Wedel-Heinen, J.J.; Olesen, N.A.; Bak, C.; Kim, T. Full-scale test of trailing edge flaps on a Vestas V27 wind turbine: Active load reduction and system identification. Wind Energ. 2014, 17, 549–564. [Google Scholar] [CrossRef]
- Ganguli, R. Optimum design of a helicopter rotor for low vibration using aeroelastic analysis and response surface methods. J. Sound Vib. 2002, 258, 327–344. [Google Scholar] [CrossRef]
- Jain, R.; Yeo, H. Effects of torsion frequencies on rotor performance and structural loads with trailing edge flap. Smart Mater. Struct. 2012, 21, 085026. [Google Scholar] [CrossRef]
- Shen, J.; Chopra, I. A parametric design study for a swashplateless helicopter rotor with trailing-edge flaps. J. Am. Helicopter Soc. 2004, 49, 43–53. [Google Scholar] [CrossRef]
- Ravichandran, K.; Chopra, I. Trailing-edge flaps for rotor performance enhancement and vibration reduction. J. Am. Helicopter Soc. 2013, 58, 022006. [Google Scholar] [CrossRef]
- Johnson, W. Rotorcraft Aeromechanics, 1st ed.; Cambridge University Press: New York, NY, USA, 2013; pp. 710–722. [Google Scholar]
- Chen, K. Research on Optimization Dynamic Design of Composite Rotor Blade for Helicopter Vibration Reduction. Ph.D. Thesis, Nanjing University of Aeronautics and Astronautics, Nanjing, China, 2014. [Google Scholar]
- Liu, S.M. Research on Vibratory Load Control of Smart Rotor with Trailing Edge Flaps. Ph.D. Thesis, Nanjing University of Aeronautics and Astronautics, Nanjing, China, 2016. [Google Scholar]
- Wu, J. Research on Helicopter Rotor Aeroelastic Vibratory Loads. Ph.D. Thesis, Nanjing University of Aeronautics and Astronautics, Nanjing, China, 2013. [Google Scholar]
- Dodic, M.; Krstic, B.; Rasuo, B.; Dinulovic, M.; Bengin, A. Numerical analysis of Glauert inflow for single-rotor helicopter in steady-level flight below stall-flutter limit. Aerospace 2023, 10, 238. [Google Scholar] [CrossRef]
- Pitt, D.M.; Peters, D.A. Theoretical prediction of dynamic-inflow derivatives. In Proceedings of the Sixth European Rotorcraft and Powered Lift Aircraft Forum, Bristol, UK, 16–19 September 1980. [Google Scholar]
- Peters, D.A. How dynamic inflow survives in the competitive world of rotorcraft aerodynamics. J. Am. Helicopter Soc. 2008, 54, 011001. [Google Scholar] [CrossRef]
- Hassan, A. Predicted Aerodynamic Characteristics of a NACA 0015 Airfoil Having a 25% Integral-Type Trailing Edge Flap; NASA Technical Report; Langley Research Center: Hampton, VA, USA, 1999.
- Navarrete, J. Construction of Airfoil Performance Tables by the Fusion of Experimental and Numerical Data. Master’s Thesis, Rice University, Houston, TX, USA, 2004. [Google Scholar]
- Stanko, J. Automated Design and Evaluation of Airfoils for Rotorcraft Applications. Master’s Thesis, The Pennsylvania State University, State College, PA, USA, 2017. [Google Scholar]
- Theodorsen, T.; Garrick, I.E. Nonstationary Flow About a Wing-Aileron-Tab Combination Including Aerodynamic Balance; NACA Technical Report, 736; Langley Aeronautical Lab: Langley Field, VA, USA, 1942. [Google Scholar]
- Theodorsen, T. General Theory of Aerodynamic Instability and the Mechanism of Flutter; NACA Technical Report, 496; NASA Ames Research Center: California, CA, USA, 1979.
- Leishman, J.G. Unsteady lift of a flapped airfoil by indicial concepts. J. Aircr. 1994, 31, 288–297. [Google Scholar] [CrossRef]
- Bielawa, R.L. Blade stress calculations-mode deflection vs. force integration. In American Helicopter Society Symposium on Rotor Technology; United Technologies Research Center: East Hartford, CT, USA, 1976. [Google Scholar]
- Heffernan, R.M.; Gaubert, M. Structural and Aerodynamics Loads and Performance Measurements of an SA349/2 Helicopter with an Advanced Geometry Rotor; NASA Technical Memorandum, 88370; Ames Research Center: California, CA, USA, 1986.
- Bir, G.; Chopra, I. University of Maryland Advanced Rotorcraft Code Theory Manual; Center for Rotorcraft Education and Research University of Maryland: College Park, MD, USA, 1994. [Google Scholar]
- Yang, R.G.; Gao, Y.D.; Wang, H.M.; Ni, X.P. Reducing helicopter vibration loads by individual blade control with genetic algorithm. Machines 2022, 10, 479. [Google Scholar] [CrossRef]
Disclaimer/Publisher’s Note: The statements, opinions and data contained in all publications are solely those of the individual author(s) and contributor(s) and not of MDPI and/or the editor(s). MDPI and/or the editor(s) disclaim responsibility for any injury to people or property resulting from any ideas, methods, instructions or products referred to in the content. |
© 2023 by the authors. Licensee MDPI, Basel, Switzerland. This article is an open access article distributed under the terms and conditions of the Creative Commons Attribution (CC BY) license (https://creativecommons.org/licenses/by/4.0/).







