Abstract
With growing interest in sustainable civil supersonic and hypersonic aviation, there is a need to model the combustion of alternative, sustainable jet fuels. This work presents numerical simulations of several related phenomena, including laminar flames, ignition, and spray flames. Two conventional jet fuels, Jet A and JP-5, and two alternative jet fuels, C1 and C5, are targeted. The laminar burning velocities of these fuels are predicted using skeletal and detailed reaction mechanisms. The ignition delay times are predicted in the context of dual-mode ramjet engines. Large Eddy Simulations (LES) of spray combustion in an aeroengine are carried out to investigate how the different thermodynamic and chemical properties of alternative fuels lead to different emergent behavior. A novel set of thermodynamic correlations are developed for the spray model. The laminar burning velocity predictions are normalized by heat of combustion to reveal a more distinct fuel trend, with C1 burning slowest and C5 fastest. The ignition results highlight the contributions of the Negative Temperature Coefficient (NTC) effect, equivalence ratio, and hydrogen enrichment in determining ignition time scales in dual-mode ramjet engines. The spray results reveal that the volatile alternative jet fuels have short penetration depths and that the flame of the most chemically divergent fuel (C1) stabilizes relatively close to the spray.
1. Introduction and Background
With growing interest in civil supersonic and hypersonic aviation, as reflected by the EU H2020 programs Stratospheric Flying Opportunities for High-Speed Propulsion Concepts (STRATOFLY) [1] and its successor, MDO and Regulations for Low-boom and Environmentally Sustainable Supersonic Aviation (MORE&LESS) [2], there is a renewed need to study aircraft propulsion with modern scientific methods to further increase safety, operability, performance, durability, and sustainability in a supersonic and hypersonic context. Like conventional aircraft, supersonic aircraft can be powered by turbojet and turbofan engines, e.g., [3]. Non-rocket-powered hypersonic aircraft are still in the testing and demonstration phase, but they rely on combined-cycle dual-mode ramjet engines for high-speed propulsion [4] with turbojet engines for take-off and landing.
Turbojet and turbofan engines normally consist of an air intake; a compressor; a combustor in which fuel is injected, ignited, and burned; a turbine that extracts power from the expanding exhaust gases to drive the compressor; and a nozzle that creates thrust by accelerating the exhaust gases discharged from the engine. Combined-cycle dual-mode ramjet engines are geometrically simpler and have no moving parts but require a high flow velocity to function—even supersonic, when operating in scramjet mode. The main drawback of these engine types is that they typically consume fossil fuels and thus emit carbon dioxide, CO2, soot (amorphous carbon), nitrogen oxides, NOx, and contrails (condensation trails made up of ice crystals) at altitudes between 8 and 13 km. CO2, soot, and NOx are harmful to the environment [5], whereas the contrails affect the cloudiness of the Earth’s atmosphere, influencing the atmospheric temperature and climate mainly by radiative forcing [6]. During the last decades, significant efforts have been directed towards developing alternative or carbon-neutral aviation fuels [7] for turbofan and turbojet engines to reduce the emissions and global warming effects.
Both turbojet and turbofan engines and, to a lesser extent, dual-mode ramjet engines, are developed based on the existence of kerosene grade fuels. Kerosene is a flammable liquid mixture of petroleum-based hydrocarbons produced in the distillation of crude oil. It is then mixed with other compounds to achieve suitable qualities, resulting in an approximate average molecular formula of C12H23, mostly with carbon numbers between 8 and 16. Compared to gasoline, which is a similar petroleum-based hydrocarbon mixture with the approximate average molecular formula C8H18, kerosene has a lower freezing point, a higher flash point, and lower viscosity and is also cheaper to produce. Common additives to kerosene include metal deactivators, corrosion inhibitors, fuel system icing inhibitors, and static dissipater additives. Kerosene-based jet fuels are well defined by standards, e.g., [8], defining the thermophysical property ranges of density, viscosity, vapor pressure, energy content, freeze point, etc. In addition, jet fuels are required to include between 8 vol. % and 25 vol. % aromatics to facilitate elastomer swelling. Jet fuel specifications are at the same time loose enough that notable compositional variations exist between different jet fuels, e.g., [9]. The most common civilian jet fuels are Jet A1 and Jet A, specified by ASTM D1655 [8], whereas the most common military jet fuels are JP-5 and JP-8, specified by MIL-DTL-5624 [10] and MIL-DTL-83133 [11], respectively. These jet fuels have different compositions, thermophysical properties, and combustion properties as will be discussed in greater detail in the following sections.
Recently, the aviation sector has been looking into alternatives to jet fuels from crude oil, to address climate change by reduction of greenhouse gas emissions and to ensure security of supply at affordable prices, e.g., [7,12,13]. The technical feasibility of sustainable jet fuels is proven when they are used as drop-in fuel in fossil kerosene, as shown in engine tests and flights with up to 50% sustainable jet fuel [7]. A variety of feedstocks, chemical conversion technologies, and sustainable jet fuels are currently considered [14] and evaluated against the American Society for Testing and Materials (ASTM) standard [8]. As of October 2021, according to the International Civil Aviation Organization, there are nine ASTM-approved production pathways for alternative jet fuels [15]. Prominent examples include Fischer–Tropsch, which uses gasified biomass as feedstock, Hydroprocessed Esters and Fatty Acids (HEFA), and Alcohol-To-Jet. Unlike crude oil refinement, these methods typically produce only a small amount of aromatics, if any, placing the products outside the specification range of conventional jet fuel. This is exemplified by the Alcohol-To-Jet fuel C1, which is studied in the present work. Corporan et al. [16] observed that the low aromatics content of fuel produced via Fischer–Tropsch and HEFA caused significantly lower elastomer swelling than conventional JP-8. Unless aromatics are artificially added, this places a severe limit on the blending ratio of alternative jet fuels.
In order to examine the combustion of alternative jet fuels, either experiments or numerical simulations can be used. Preferably, both methods are used to provide reciprocal validation of each other and to provide as much information as possible. For Computational Fluid Dynamics (CFD) simulations (using Reynolds Averaged Navier Stokes (RANS) [17] or Large Eddy Simulations (LES) [18]) of aeroengine combustion, chemical reaction mechanisms are needed to model the fuel breakdown and emission formation. Due to limitations in computational capacity, detailed reaction mechanisms including thousands of chemical components and tens of thousands of reactions cannot be used, but simplified mechanisms on the order of hundreds of reactions are needed [18]. Jet fuels are highly complex mixtures of various hydrocarbons including aliphatic and branched paraffins, cycloparaffins, and aromatics. To achieve small reaction mechanisms, the fuel components are lumped into one or a few components with average properties that represent the real mixture. Alternative jet fuels consist of similar fundamental building blocks as fossil jet fuels but in different amounts depending on the source and the production process. The different combustion behaviors of alternative jet fuels compared to conventional jet fuels depend on these compositional differences, and this motivates an investigation of the reaction mechanisms underlying the chemical kinetics of alternative jet fuels. For fossil jet fuels, only a few practically useful reaction mechanisms are available, e.g., the 440-step small comprehensive mechanism of Patterson et al. [19], the 77-step pathway centric reaction mechanism of Zettervall et al. [20], and the 200- to 300-step HyChem reaction mechanism family of Wang et al. [21,22]. For alternative jet fuels, mechanisms are available from HyChem [23] and Zettervall [24]. The more comprehensive mechanism of Ranzi et al. [25] can be used to model both fossil and alternative jet fuels, but its mechanism size, with ~20,000 reactions, limits it to zero- and one-dimensional simulations.
Simulation methods for jet fuel combustion have grown powerful in recent years but still have limitations. Although skeletal and reduced reaction mechanisms are validated for engine-relevant conditions, they should be used with care as they are not always capable of capturing complex processes such as thermoacoustics, flames with high strain rates, blow-off, and soot production. Detailed information about emissions and specific species production rates can also sometimes not be extracted due to the limited number of species involved. Using turbulence models like LES, and in particular RANS, may relegate crucial small-scale processes such as flame-turbulence interaction to sensitive sub-models. Finally, modeling liquid-fueled combustors means solving a multiphase problem with complex interactions between a liquid spray and a turbulent gas flow. The predominantly Lagrangian spray models are typically statistical and use empirical correlations, potentially preventing important emergent behaviors. Despite these limitations, valuable information may still be extracted from simulation studies, particularly for processes that cannot be directly measured by experiments.
In this study, we use numerical simulations to study several aspects of jet fuel combustion, including laminar flames, ignition, and turbulent spray flames. Section 2 introduces the targeted fuels, of which two are conventional and two alternative, as well as the methodology used to model their chemical kinetics. These fuels span a wide range in thermodynamic and chemical properties. Section 3 contains Laminar Burning Velocity (LBV) predictions with skeletal and detailed mechanisms. LBV is commonly used to compare the combustion of different fuels in simple premixed flames and serves as a concrete parameter for validating mechanisms. Here, the limitations of reducing the behavior of a fuel to LBV is discussed by connecting it to enthalpy of combustion, functionality, and molecular weight, revealing potentially important trends among the fuels that are not visible when considering LBV alone. Section 4 contains Ignition Delay Time (IDT) predictions and a discussion of these results in the context of dual-mode ramjet engines. These predictions allow for an initial discussion of using alternative jet fuels in such engines, and the potential complications involved, by comparing the ignition delay time to the flow-through time across various conditions to check whether sustained combustion is possible. In particular, the influence of the Negative Temperature Coefficient (NTC) effect, equivalence ratio, and hydrogen enrichment is explored. Section 5 covers our methodology for LES of spray combustion, including a novel set of liquid thermodynamic properties for the targeted fuels. These properties are crucial for spray combustion simulations and are intended to enable future simulation studies by other groups. Section 6 contains the results of the LES and a discussion of how thermodynamic properties and chemical kinetics lead to emergent trends among the fuels. Finally, Section 7 presents an outlook on fuel effects in aviation research.
The aim of this work is summarized by the following points:
- To present a wider picture of current modeling capabilities, limitations, and strategies for jet fuels, from laminar flames and ignition to spray dynamics and turbulent combustion.
- To provide an initial discussion of alternative jet fuels in dual-mode ramjet engines based on ignition delay times.
- To present and test a new model for the liquid thermodynamic properties of jet fuels.
- Using new simulation results, to provide novel discussions of the combustion of conventional and alternative jet fuels.
2. Targeted Jet Fuels
Conventional and alternative jet fuels can have radically different compositions, which is reflected in their thermodynamic and chemical properties. Following the recommendations of the US-based Combustion Rules and Tools for the Characterization of Alternative Fuels (CRATCAF) program [26], the US-based National Jet Fuels Combustion Program (NJFCP) [27] has developed a suite of scientific test fuels, both conventional and alternative, for investigations into the relationship between chemical composition and performance. These fuels are grouped into three categories: A, B, and C. Category A fuels represent fossil-based jet fuels within the specification range of common conventional jet fuels. Category B fuels are alternative fuels with unacceptable combustion properties and are not discussed further here. Category C fuels are “extreme” test fuels that explore the edges of the space of possible jet fuel properties and are therefore of particular interest to scientists. Category A consists of three fuels: A1, which has low flash point/viscosity/aromatics content and corresponds to JP-8; A2, which has average/nominal properties and corresponds to Jet A; and A3, which has high flash point/viscosity/aromatics content and corresponds to JP-5. Henceforth, A2 and A3 are referred to simply as Jet A and JP-5, respectively. Category C contains six different fuels across a range in flash point, viscosity, aromatics, and cetane number. Of these, we are particularly interested in C1 and C5. C1 is an alcohol-to-jet biofuel and was chosen as a test fuel due to its low cetane number. C5 is a synthetic fuel with a low viscosity and a very flat distillation curve, as all its components boil at approximately the same temperature. With its high aromatics content, it does not correspond to any commercial alternative jet fuels.
The present work targets Jet A, JP-5, C1, and C5. The mass-based compositions of these fuels are shown in Figure 1. Including two fossil-based fuels rather than one demonstrates the variation that exists among conventional fuels. C1 is chosen in part because it is a commercial bio-fuel (produced by Gevo [28]) and thus of industrial interest and in part because it has a chemical composition and cetane number that are radically different from those of Jet A and JP-5. This suggests that it also has different chemical kinetics. C5 is chosen in part because of its high aromatics content (making it a kind of antipode to C1) as well as its thermodynamic properties, which are quite different from those of conventional fuel. In particular, the flat and low distillation curve of C5 makes it quite volatile, and its low viscosity facilitates droplet breakup. Both of these factors should affect the spray dynamics of C5 significantly. At the present time, C1 and C5 are also the only category C fuels for which CFD-relevant skeletal reaction mechanisms exist [23,24]. Although not as numerous as studies targeting the well-established Jet A and JP-5, numerical studies targeting C1 and C5 have been carried out across a range of conditions [29,30,31,32,33,34,35,36].
Figure 1.
Mass-based compositions of Jet A (a), JP-5 (b), C1 (c), and C5 (d). n-paraffins (green), iso-paraffins (blue), aromatics (red), cycloparaffins (gray). Adapted from Edwards [37].
Table 1 contains the molecular weights, H/C ratios, and summarized compositions of the targeted fuels, based on the data in Xu et al. [38]. The fossil fuels, Jet A and JP-5, have similar molecular weights, H/C ratio, and aromatic content; these similarities can be expected since they are both certified jet fuels. The main differences are that JP-5 has a significantly higher fraction of cyclic compounds, while for Jet A the amount of iso-paraffins is higher. C5 is lighter than the fossil fuels, with about the same H/C ratio. Although it has a similar n-paraffin content as the fossil fuels, C5 has a higher aromatic content and relatively high fraction of iso-paraffins. C1 stands out as a fuel with high molecular weight and only one type of compound: iso-paraffins.
Table 1.
Summary of properties of the targeted fuels, obtained from Xu et al. [38]. Molecular weight (MW) and H/C ratio are properties of the real fuels, while the chemical composition represents the surrogate mixtures presented in that work. Cetane numbers are obtained from Edwards [37].
As a part of the effort to develop reduced kinetic mechanisms for Jet A, JP-5, C1, and C5, surrogate fuel compositions were developed and presented by Xu et al. [38]. Based on these compositions, the HyChem suite of skeletal reaction mechanisms [21,22,23] was developed. These mechanisms contain ~50 species and 200 to 300 reactions, which is compact enough to enable spatially resolved simulations. In the present work, the HyChem mechanisms are used to model the combustion of all four fuels.
For the laminar flame simulations, the comprehensive mechanism of Ranzi et al. [25] is used alongside HyChem. This mechanism was selected because it contains a wide range of fuel components, including most of the fuel components suggested by Xu et al. [38]. In cases where the right surrogate component was not available, one or several components with similar functionality were chosen to construct a final mechanism. In the construction of the surrogate mixtures the H/C ratio was prioritized and is for all fuels close or identical to that of the surrogate presented in Table 1. The second priority was the molecular weight, which for Jet A, C1, and C5 are close to identical to those in Table 1 and for JP-5 slightly lower. The largest discrepancy lies in the two fossil fuels, Jet A and JP-5, due to the high content of heavier cycloparaffins, for which there is a lack of data. To compensate for the lighter cycloparaffins used, Jet A and JP-5 have heavier iso- and n-paraffins.
3. Laminar Burning Velocity
This section contains predictions of LBV in one-dimensional simulations, carried out using the commercial software Chemkin 2020 R2 [39]. Calculations of the burning velocities of freely propagating premixed flames are performed using the PREMIX module. Transport properties are considered using the mixture averaging approach. For PREMIX simulations, curvature and gradient parameters are set to 0.5 and 0.1, respectively.
The composition of a fuel, with respect to the different paraffins and aromatics, affects LBV and IDT. LBV is to a large extent determined by the pool of combustion radicals OH, H, and O. The capacity to form radicals is linked to the chemical composition of the fuel. As an example, n-paraffins of different molecular weights in the range relevant for jet fuels have essentially the same radical-producing capacity and close to identical LBVs. Aromatic compounds generally have a lower LBV than paraffins, and iso-paraffins burn slower than n-paraffins.
The flame temperature depends on the enthalpy of combustion, which is a measure of how much energy is released by complete combustion. In order for complete combustion to occur the fuel must first undergo oxidation, a process initiated by combustion radicals. These combustion radicals then govern the rate of fuel oxidation. The enthalpy of combustion depends on the enthalpy of formation. To reveal the dependence of energy content, represented by the combustion enthalpy, LBV is in this work normalized with respect to the enthalpy of combustion. Since the enthalpy of combustion is influenced by both molecular weight and functionality, the normalized LBV can be seen as a purer way to measure the radical release rate, which is what LBV is often set to capture.
It should be noted that although LBV is commonly considered the main characteristic determining the combustion behavior of a fuel, this can be misleading since fuels of different molecular weight, and thus different energy content, can have similar LBV. As already mentioned, LBV is closely connected to the radical formation from the fuel, since radicals drive the high-temperature oxidation. The radical formation capacity is related to the functionality of the fuel, whether it is straight, branched, cyclic, or unsaturated.
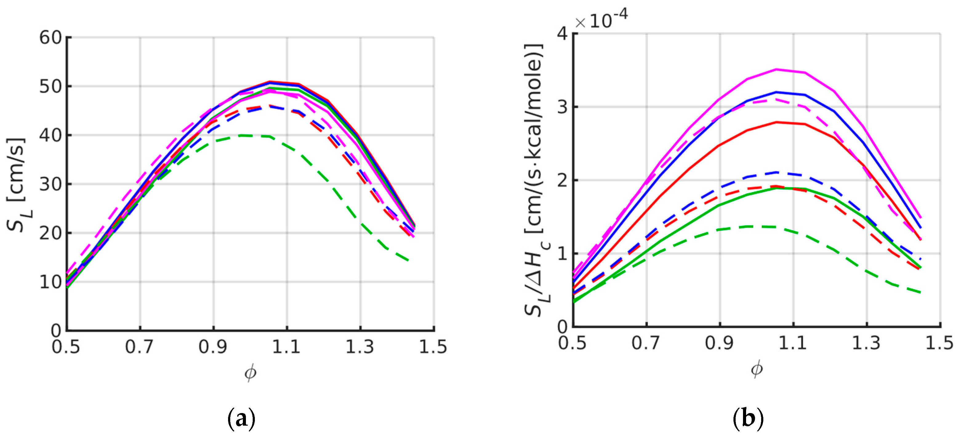
Figure 2a presents LBVs for the targeted fuels, modeled using the detailed mechanism of Ranzi et al. [25] and the HyChem mechanisms [21,22,23]. The simulations are carried out at a constant pressure of 4 atm and a preheat temperature of 443 K, which is close to the conditions studied in Section 5 and Section 6. LBVs from the detailed mechanism are all within about 5% from each other, similar to the spread in experimental results, with Jet A burning fastest at peak LBV followed by JP-5, C1 and with C5 as the slowest burning fuel. The HyChem mechanisms show a different trend with C5 burning fastest and C1 slowest, with Jet A and JP-5 in-between with essentially identical LBVs. C5 as simulated with the HyChem mechanism shows an overall different behavior compared to the other fuels, both in comparison to the other HyChem mechanisms and to the detailed mechanism, with high LBV at lean conditions. Even though the mechanisms differ, it is important to point out that also experimentally determined LBVs show a significant scatter between studies for these heavy fuels and based on the present understanding neither of the mechanisms can be considered to make incorrect predictions.
Figure 2.
LBV () (a) and LBV normalized with combustion enthalpy (); (b) for the fuels Jet A (red), JP-5 (blue), C1 (green), and C5 (magenta). Solid lines represent results from the detailed Ranzi et al. [25] mechanism and dashed lines from the HyChem mechanisms.
When normalized with respect to energy content (combustion enthalpy) as explained above, the simulation results from the detailed mechanism appear in order of their molecular weights, see Figure 2b, with the lightest fuel C5 being fastest and the heavy C1 slowest. This could indicate that an important metric for LBV in hydrocarbon fuels is their molecular weight. However, the functionality also has a significant importance since it determines the ability of the fuel to create the radical pool that drives combustion. A detailed analysis of the contributing factors for LBV of heavy fuels is outside the scope of the present work, but it can be concluded that there are several determining factors.
4. Alternative Jet Fuels in Dual-Mode Ramjet Engines Based on Ignition Delay Time
This section discusses the use of alternative jet fuels in dual-mode ramjet engines from an ignition perspective. Since the overall residence time in a typical dual-mode ramjet engine operating at expected cruise conditions, i.e., in scramjet mode, is on the order of 1 ms, using a fuel that ignites quickly is crucial. Locally the residence time may vary and can be significantly longer, for example in cavities, but the 1 ms transition-time serves as a reference when discussing which fuels are suitable for use in dual-mode ramjet engines. In hypersonic aircraft, alternative jet fuels can be both a blessing and a curse; it depends to a large extent on the fuel characteristics such as ignitability, vaporization enthalpy, heat of combustion, fuel density, surface tension, etc. The following discussion is centered on the importance of the IDT, as predicted by simulations of ignition in a zero-dimensional reactor carried out using Cantera [40] and the HyChem mechanisms [21,22,23].
For the IDT, most of the comparable fossil-based liquid jet fuels, represented here by JP-5, exhibit NTC behavior with fast ignition times at lower temperatures, as presented in Figure 3. The NTC effect is, however, pressure-dependent, and, as shown in Figure 3, the reduction in IDT due to NTC is significantly more pronounced at 10 atm (Figure 3b) compared to at 2 atm (Figure 3a). Increasing the pressure from 2 atm to 10 atm also increases the NTC region, starting at 1000 K rather than 800 K, and the IDT becomes one order of magnitude shorter.
For alternative jet fuels, the constituting species can vary significantly and depending on the amount of straight saturated hydrocarbon chains the individual fuel can have anywhere from a strong to a weak NTC [41], potentially affecting its suitability in a dual-mode ramjet engine in a substantial way. Two clear examples are the CHCJ-5 [42] and C1 fuels, where the former is made to have similar molecular content as JP-5, i.e., with an NTC behavior and a fair amount of straight hydrocarbon chains. C1, on the other hand, consists almost exclusively of iso-paraffins. This means that the C1 fuel has a very low derived cetane number of 17.1 and hence a very weak NTC behavior [43], whereas JP-5 has a cetane number of 39.2 suggesting a significantly stronger NTC behavior.
Figure 3.
IDT () using JP-5 and C1, at atm in (a) and atm in (b); all simulations at . Representative experimental data in (a): Zhang et al. [44] (RP-3, crosses), Zeng et al. [45] (RP-3, circles). Experimental data in (b): Zhang et al. [44] (RP-3, crosses), Xu et al. [22] (Jet A, circles) (JP-5, squares).
Figure 3.
IDT () using JP-5 and C1, at atm in (a) and atm in (b); all simulations at . Representative experimental data in (a): Zhang et al. [44] (RP-3, crosses), Zeng et al. [45] (RP-3, circles). Experimental data in (b): Zhang et al. [44] (RP-3, crosses), Xu et al. [22] (Jet A, circles) (JP-5, squares).

Regardless, the timescales associated with the NTC effect are considerably longer than the 1 ms residence time typical of dual-mode ramjet engines, except at high pressures. Based solely on the IDT, then, both fossil-based and alternative fuels require either a chemically induced lowering of the IDT or an increased residence time in order for them to be suitable in dual-mode ramjet engines. The latter is often treated with geometrical alterations such as the inclusion of cavities where the fuel-air mixture is given more time to mix and burn, and the former is most often achieved through enrichment with faster-burning fuels to create new fuel mixtures.
Another key parameter when discussing alternative jet fuels and dual-mode ramjet engines is the heat of vaporization. Since most if not all alternative jet fuels are liquids, the heat of vaporization is of significance, and for fossil-based fuels a low heat of vaporization speeds up the transition from liquid to gas phase and in turn the potential for fuel-oxidizer mixing.
Once the fuel has vaporized and mixed with the air, the possibility of the fuel-air mixture to burn is also dependent on the flammability limit of the fuel. For alternative jet fuels, it has been shown that several fuel categories (Fischer–Tropsch, HEFA, and Synthesized Iso-Paraffins (SIP)) all have similar lean flammability limits as Jet A [46], especially at initial fuel-air temperatures of 400 K or more. For other oxygenated alternative jet fuels, which can have significantly different molecular compositions compared to NTC-capable fuels, there is data suggesting that also those fuels have flammability limits similar to fossil-based jet fuels. An example of this is the branched and oxygen-containing hydrocarbon 1,3-dimethoxyoctane, acting as a surrogate for biodiesels, which has been shown to have similar flammability limits as other common fossil-based fuels [47].
4.1. Hydrogen Enrichment
When discussing how to reduce the IDT of larger fuels, the topic of hydrogen enrichment is often highlighted. Figure 4a shows the IDT of one NTC-capable fuel, JP-5, and Figure 4b of one non-NTC-capable fuel, C1, at a pressure of 2 atm and with hydrogen enrichment between 0% and 100%.
Figure 4.
IDT () using JP-5 (a) and C1 (b) at atm; all simulations at . H2 enrichment ranges from 0% to 100%. Representative experimental data in (a): Zhang et al. [44] (RP-3, 0% H2, crosses), Zeng et al. [45] (RP-3, 0% H2, circles).
Firstly, it is key to recognize that when looking at the IDT alone, the low-temperature ignition characteristics of H2 are actually slower than those of larger hydrocarbon fuels with NTC behavior (Figure 4a). It is only at temperatures above ~900 K that the pure H2-air mixture ignites faster than the pure hydrocarbon-air one. This also holds true for non-NTC fuels even though the difference compared to the pure H2 case is smaller.
As soon as the pure H2-air mixture reaches the so-called cross-over region [48], the high-temperature reaction routes of the chemistry dominate and the IDT falls rapidly; between 900 K and 1000 K the ignition is roughly three orders of magnitude faster. Such a rapid drop in the IDT cannot be seen when hydrocarbons are included, even in the case where 75% of the fuel mixture consists of H2. That said, increased H2 enrichment, in both the JP-5 and C1 cases, results in increasing H2-like behavior of the mixture, that is, less NTC behavior and longer IDT at lower temperatures but also faster ignition at higher temperatures. All in all the reduction in IDT at around 1150 K with 50% H2 is roughly one order of magnitude. This also means that at this temperature the IDT falls below the 1 ms residence time benchmark, making the mixture more suited to the overall residence time of dual-mode ramjet engines. For a case running a 50/50 JP-5/H2 mixture, this means that the ignition delay time falls below the critical 1 ms mark 112 K earlier (at 1093 K instead of 1205 K) compared to the pure JP-5 case but still later than for the pure H2 case, which falls below 1 ms already at 990 K. The highly non-linear behavior of H2 in the cross-over region can be significant at scramjet conditions since a decrease in temperature, which still manages an ignition time below 1 ms, can be crucial due to the extreme flow conditions.
At a pressure of 10 atm (see Figure 5), the same trends are seen only with lower IDT and a wider NTC region. There is a striking difference in IDT between pure hydrogen and pure JP-5 at temperatures below 1000 K where the latter ignites several orders of magnitude faster than H2. This point is infrequently brought up in discussions of jet fuels and hydrogen.
Figure 5.
IDT () using JP-5 (a) and C1 (b) at atm; all simulations at . H2 enrichment ranges from 0% to 100%. Representative experimental data in (a): Zhang et al. [44] (RP-3, 0% H2, crosses), Xu et al. [22] (Jet A, 0% H2, circles) (JP-5, 0% H2, squares). Representative experimental data in (b): Wang et al. [23] (C1, 0% H2, circles) (C1, 0% H2, , crosses).
4.2. Equivalence Ratio Dependence
Thus far, all ignition simulations have featured a stoichiometric fuel-air mixture, but depending on the rate of pre-vaporization, the fuel-air mixture can be either lean or rich locally. To investigate this, together with the effect of H2 enrichment at different equivalence ratios, simulations using both JP-5 and C1 are carried out at equivalence ratios and at atm and with 0% and 50% H2 enrichment, as shown in Figure 6. For an NTC-capable fuel (Figure 6a), the result is that a fuel-lean mixture exhibits a weak NTC effect but is in contrast more affected by H2 enrichment than a fuel-rich mixture. Since the NTC behavior is mainly controlled by carbon-including reaction pathways, such pathways are more common and pronounced in a fuel-rich mixture where there is an abundance of hydrocarbon species, and so the NTC effect is greater. On the other hand, a fuel-lean mixture, in which H2-O2 reaction pathways are more important, is affected to a greater extent when additional H2 is included and hence a greater reduction of the IDT is seen. For non-NTC fuels such as C1 (Figure 4b), the greater effect of additional H2 on fuel-lean mixtures compared to fuel-rich ones is similar to that seen for JP-5 in Figure 6a. In essence, the effect of additional H2 on the IDT, in the framework of the 1 ms residence time, is independent of the fuel’s NTC characteristics since the majority of the desired effect from the H2 is occurring at temperatures above ~900 K (i.e., above the NTC region). Also, the effect of additional H2 is maximized for fuel-lean mixtures due to the increased importance of H2-O2 reaction pathways in such cases and the effect of additional H2 for said pathways.
Figure 6.
IDT () using JP-5 (a) and C1 (b) at atm. H2 enrichment is 0% and 50% and equivalence ratios and are used. Representative experimental data in (a): Zhang et al. [44] (RP-3, 0% H2, circles).
The addition of 50% H2 means that the JP-5 and C1 fuels, in the fuel-lean cases, transition below the 1 ms threshold 152 K (JP-5) and 177 K (C1) earlier compared to the case of 0% hydrogen enrichment. For the fuel-rich cases, this decreases to 108 K (JP-5) and 64 K (C1) earlier, but it also occurs at a higher temperature compared to the fuel-lean case due to faster IDT at higher temperatures for fuel-lean mixtures.
4.3. Concluding Remarks on Alternative Jet Fuels in Dual-Mode Ramjet Engines
In dual-mode ramjet engines, i.e., on the order of 1–4 atm, the NTC behavior of jet fuels does not decrease the IDT below the 1 ms benchmark, hence locally increased residence times, or chemically reduced IDT, are needed. H2 enrichment is one way to achieve such a reduction, but even so the lowering of the ignition time below the critical 1 ms time only occurs ~100 K earlier with 50% enrichment. This figure is, however, improved at fuel-lean conditions due to increased importance of the H2-O2 reaction pathways.
The H2 also brings other beneficial characteristics such as high diffusivity and fast mixing, a high energy content, strong extinction strain rates, and no need for vaporization since it is almost always added in gaseous form. The H2 enrichment can also be added in the form of a pilot flame, and its gaseous state and good mixing means that such a flame can be more liberally placed in the combustor.
For alternative jet fuels, choosing one that has an NTC behavior is potentially not crucial from an IDT perspective when considering the 1 ms benchmark time. However, with geometrical alterations that locally increase the residence time, the NTC effect could become critical and hence an alternative fuel with these characteristics is favorable. Also, choosing to combine alternative jet fuel with H2 enrichment is something that should be considered since the reduction in IDT for a fossil-based jet fuel and an alternative jet fuel is on the same order and occurs at roughly the same temperatures and can lower the IDT below critical residence times. This effect is further enhanced when considering that the majority of dual-mode ramjet combustors operate with globally fuel-lean mixtures.
5. Spray Combustion Simulation Methodology
The following two sections describe LES of spray combustion in a generic subsonic aeroengine combustor, with the purpose of investigating how the different thermochemical properties of Jet A, JP-5, C1, and C5 lead to different emergent behavior in a turbulent spray flame. The targeted case is a test rig studied by DLR Institute of Propulsion Technology [49], operated at idle conditions (4 bar). Experimental results are available for Jet A/A-1 but unfortunately not for any alternative fuels. The results presented here for JP-5, C1, and C5 should therefore be considered exploratory. The targeted case has previously been studied numerically with RANS, LES, and Scale Adaptive Simulation (SAS) [50,51,52,53,54,55]. These studies used Jet A/A-1 as fuel, as in the experiments. We have previously carried out a thorough validation and model sensitivity study using Jet A and JP-5 at both idle and cruise conditions [56] as well as an initial study with C1 at cruise conditions [57]. We refer to those studies for a thorough description of the simulation methodology, which is only described briefly here.
5.1. Large Eddy Simulations
The simulation method is based on LES of a compressible, reacting flow. This involves numerically solving unsteady Eulerian conservation equations for mass, momentum, energy, and molecular species concentrations in filtered form, which means that small-scale high-frequency flow features are not resolved. The influence of the unresolved flow is instead captured using subgrid models, which adjust the diffusivity of the resolved flow based on velocity shear. Here we use the Localized Dynamic K-equation Model (LDKM) [58] to compute turbulent diffusivities and a Partially Stirred Reactor (PaSR) model [59] to adjust the rate of combustion based on subgrid-scale fluctuations. The PaSR model was chosen based on the results of our sensitivity study in Åkerblom and Fureby [56]. The conservation equations for energy and molecular species concentrations contain production terms resulting from chemical reactions, the rates of which are computed using a Finite Rate Chemistry (FRC) approach [18]. This means that reaction mechanisms are used to solve for species production rates in each cell at each time step. Due to the lack of experimental data for JP-5, C1, and C5 in the targeted case, we consider the FRC approach to be better suited than more streamlined models that require specific assumptions about the flame structure. The main drawback is that it is computationally intensive for reaction mechanisms with a large number of species and reactions.
As a compromise between chemical accuracy and flexibility in the LES, we use the skeletal HyChem mechanisms [21,22,23] to model the combustion process of Jet A, JP-5, C1, and C5. The complexity of these mechanisms makes them expensive but feasible for LES with modern high-performance computing. As a reference, the simulation with JP-5 requires ~20,000 core-hours per simulated flow-through time. The Jet A and JP-5 mechanisms include sub-models for low-temperature ignition to capture the NTC effect, while the C1 and C5 mechanisms do not. We expect the impact of this limitation to be small for the case targeted here, however, where the flow-through time of the flame is an order of magnitude shorter than the timescales associated with the NTC effect.
The liquid phase is modeled using a Lagrangian formulation, where the fuel spray consists of a cloud of particles, each of which represents a group of fuel droplets. The movement of each particle is governed by Newtonian equations of motion, while its mass and energy are influenced by evaporation, boiling, and heat transfer. The vaporization rate is determined from the Reynolds and Schmidt numbers of the droplets, while the heat transfer coefficient is computed from the Nusselt number of the droplets according to the Ranz–Marshall model [60]. The vaporization rate during boiling is computed following Zuo et al. [61]. Droplet break-up is governed by the Reitz–Diwakar model [62].
A finite volume-based code developed from the OpenFOAM C++ library [63] is used to solve the discretized governing equations. The single-point implicit Euler scheme is used for time-discretization, with the combustion chemistry integrated separately using a Strang-type operator-splitting algorithm [64]. Convective fluxes are reconstructed using multi-dimensional cell-limited linear interpolation, and diffusive fluxes are reconstructed using a combination of central difference approximations and gradient face interpolation. A compressible variant of the Pressure Implicit Splitting of Operators (PISO) method [65] is used to decouple pressure, velocity, and density. The combustion chemistry is integrated using an extrapolation algorithm based on the linear implicit Euler scheme [66]. The Courant number is kept below 0.95 within the domain.
5.2. Liquid Properties Model
The thermodynamic properties of the liquid phase, such as density, specific heat capacity, viscosity, and vapor pressure, are dependent on temperature as well as fuel composition. In our previous works [56,57,67], we assigned identical generic kerosene properties to both Jet A and C1. Here, we have improved the model by assigning separate properties to Jet A, JP-5, C1, and C5 based on the specifications available in Xu et al. [38] and Edwards [37]. The range of experimental data typically does not extend up to saturation temperature, which means that the model relies on some extrapolation. Table 2 (fossil fuels) and Table 3 (alternative fuels) contain all functions derived in the present work, describing the temperature dependence of specific heat capacity, , density, , vapor pressure, , dynamic viscosity, , surface tension, , and heat of vaporization, . The critical temperature, , is also given. The last column describes how the function was derived. All functions are also included in the Supplementary Material S1 as a library for OpenFOAM 7.
Functions and values for the parameters given here have previously been derived for the same fuels by Esclapez et al. [30] (except JP-5) with mostly similar results. That study provided crucial direction for the present work as well as a point of comparison. Nevertheless, we chose to conduct our own derivations here, for four main reasons:
- For , we prefer to use identical exponential coefficients for all fuels to avoid potentially large differences as the function is extrapolated beyond the experimental measurements. Linear scaling is instead used to match each fuel to its respective experimental data.
- Esclapez et al. [30] used Watson’s method [68] to derive . This approach requires a representative value for the normal boiling temperature, and the 100% distillation point was used for this purpose in that work. Here we also employ Watson’s method, but for the representative boiling point we use the mass-averaged distillation temperature instead of the 100% distillation temperature. Our method results in a critical temperature of 686.8 K for Jet A and 695.3 K for JP-5, which is close to the critical temperatures of various fossil jet fuels as reported by Yu and Eser [69]. Due to the flat distillation curve of C5, the average and 100% distillation points are approximately the same and result in similar . This is not the case for C1, which consists of 80% C12 iso-paraffins by mass, with the remaining 20% consisting mainly of C16 iso-paraffins. This means that C1 has a flat distillation curve until the 80% mark, where it rises sharply. It is not obvious in this case which boiling temperature should be used, but since 80% of the mass boils at a temperature significantly lower than the 100% distillation point, we consider the mass-averaged boiling point to be the most logical choice. This results in a critical temperature 107 K lower than that computed by Esclapez et al. [30].
- Extrapolating from a limited range of measurements is precarious due to its exponential dependence on temperature. Here we use National Standard Reference Data Series (NSRDS) function 106 [70], which is the standard method in OpenFOAM. The coefficients were derived by curve-fitting to the experimental data, the normal boiling point (i.e., the mass-averaged distillation temperature; see the previous point), and the estimated critical point. The critical pressure, , is obtained from the literature for Jet A [69] and JP-5 [71]. For C1 and C5, it is estimated to be the mass-averaged critical pressure of the individual components of the surrogate compositions suggested by Xu et al. [38]. Although C1 is known to consist primarily of “highly-branched” C12 and C16 iso-paraffins, we were only able to find measurements for n-C12H26 and n-C16H34. This means that is likely underpredicted by up to a few bar for C1, considering the difference between e.g., n-octane ( bar [72]) and one of its highly branched isomers, 2,2,4-trimethylpentane ( bar [73]). Compared to the functions derived by Esclapez et al. [30], at 550 K, our method predicts a vapor pressure that is 5% lower for Jet A, 67% higher for C1, and 44% lower for C5. At 4 bar, it predicts the boiling temperature to be 11 K lower for Jet A, 54 K lower for C1, and 20 K higher for C5. The difference is evidently largest for C1—a consequence of the large difference between its maximum and mass-averaged distillation points.
- In OpenFOAM, and potentially other codes, the fuel vapor enthalpy , the liquid enthalpy , and the heat of vaporization are all assigned separately, forming an overdetermined equation system. The vapor enthalpy for all temperatures is provided by the reaction mechanism, in this case HyChem. The liquid enthalpy and the heat of vaporization are specified in the liquid property model. Care must be taken, then, to ensure that these three properties are consistent with each other; the difference between and must be equal to the heat of vaporization or energy will not be conserved. This also means that separate liquid properties have to be specified for separate reaction mechanisms, even if they target the same fuel. Because the HyChem mechanisms are based on the thermochemical data in Xu et al. [38], we have set the liquid formation enthalpy to be equal to , where is the heat of vaporization computed by Xu et al. [38], based on the aromatics content of each fuel. For other temperatures, the liquid enthalpy is given by the sum of the formation enthalpy and the sensible enthalpy: .
Table 2.
Derived functions for the thermodynamic properties of the targeted fossil jet fuels.
Table 2.
Derived functions for the thermodynamic properties of the targeted fossil jet fuels.
| Property | Jet A | JP-5 | Derivation |
|---|---|---|---|
[J/(kg∙K)] | Linear fit to experimental data. | ||
[kg/m3] | Linear fit to experimental data. | ||
[Pa] | Curve fit with NSRDS function 106 [70], targeting experimental data, estimated normal boiling point, and estimated critical point. | ||
[Pa∙s] | Function obtained from OpenFOAM for n-dodecane, with linear scaling between fuels. | ||
[J/m2] | Obtained from Riazi et al. [74], with linear coefficient chosen to fit experimental data. | ||
[J/kg] | Difference between the fuel vapor enthalpy provided by HyChem [21,22,23] and the liquid enthalpy . The formation enthalpy is based on the data in Xu et al. [38]. | ||
| Tcr [K] | 686.8 | 695.3 | Watson’s method [68] using the average distillation point as boiling temperature. |
Table 3.
Derived functions for the thermodynamic properties of the targeted alternative jet fuels.
Table 3.
Derived functions for the thermodynamic properties of the targeted alternative jet fuels.
| Property | C1 | C5 | Derivation |
|---|---|---|---|
[J/(kg∙K)] | Linear fit to experimental data. | ||
[kg/m3] | Linear fit to experimental data. | ||
[Pa] | Curve fit with NSRDS function 106 [70], targeting experimental data, estimated normal boiling point, and estimated critical point. | ||
[Pa∙s] | Function obtained from OpenFOAM for n-dodecane, with linear scaling between fuels. | ||
[J/m2] | Obtained from Riazi et al. [74], with linear coefficient chosen to fit experimental data. | ||
[J/kg] | Difference between the fuel vapor enthalpy provided by HyChem [21,22,23] and the liquid enthalpy . The formation enthalpy is based on the data in Xu et al. [38]. | ||
| Tcr [K] | 633.4 | 619.3 | Watson’s method [68] using the average distillation point as boiling temperature. |
Figure 7 shows the fitted thermodynamic properties alongside experimental data. With the exception of , each parameter is shown between 300 and 550 K, which is the expected range of liquid temperatures in the case targeted here. Among the four fuels, C5 and JP-5 are consistently on opposite ends of the fuel spectrum while Jet A is always in the middle. The only exception to these two trends is in at high temperatures. C1 is generally either close to Jet A (, ) or C5 (, ). This seems to suggest that the C12 iso-paraffin that dominates the composition of C1 is representative of Jet A in terms of heat capacity and viscosity. Jet A consists of ~30% iso-paraffins by mass over a wide range of carbon numbers (see Table 1), but the distribution peaks at approximately C12. JP-5, meanwhile, consists of only ~18% iso-paraffins. For , it is logical that C5, which consists solely of components with carbon numbers between 9 and 11, 50% of which are iso-paraffins, should have a density similar to that of C1.
Figure 7.
Liquid thermodynamic functions derived in the present work. Jet A (red), JP-5 (blue), C1 (green), C5 (magenta); data from Edwards [37] (diamonds), estimated normal boiling point (squares), estimated critical point (crosses).
The vapor pressure, , is naturally correlated with the volatility of the fuel. The trend among the fuels should be sound from this point of view. JP-5 has a somewhat higher distillation curve than Jet A and thus a slightly lower . Over 80% of C1, by mass, boils at a relatively low temperature, and the fuel should thus be more volatile even though its maximum distillation point is similar to that of Jet A. C5 boils entirely at low temperature and is the most volatile of the fuels.
With regard to and , which influence the atomization, breakup, and coalescence of spray droplets, it appears that JP-5 is the “thickest” fuel (highest , ) closely followed by Jet A, which has a similar composition but with generally smaller components. C1 has the highest average molecular weight, but it appears that its composition of nearly 100% iso-paraffins gives it a medium and low . C5, which has a composition more similar to that of Jet A and JP-5 but with a significantly lower average molecular weight, has both a low and a low .
5.3. Simulation Setup
The geometry of the test rig is presented in Figure 8 along with some key flow features. The combustion chamber has a square cross section of 102 × 102 mm2 and a length of 264 mm. Air is supplied to a burner, where two co-rotating swirlers induce a strong swirling motion. Liquid fuel is supplied to the burner just upstream of the combustion chamber, forming a film along the pre-filmer lip before the swirling air atomizes it into a spray cone. The flow structure inside the combustion chamber consists of a Central Recirculation Zone (CRZ) of reversed flow, enveloped by a Main Flow Cone (MFC) of axial flow (visualized by white arrows). Outside the MFC is the Outer Recirculation Zone (ORZ), which is kept at a relatively low temperature thanks to a cooling air film along the optically accessible walls. Following atomization, the fuel quickly evaporates and ignites in the MFC, and a flame stabilizes at or near the shear layer between the CRZ and MFC. Hot combustion products are constantly being recirculated by the CRZ, sustaining the flame. The outlet consists of a choked converging nozzle, allowing the combustor pressure to be controlled. The conditions targeted here correspond to an idling aeroengine, which means that the air is preheated to 550 K and the combustor pressure is 4 bar. The air mass flow is 60 g/s to the burner and 17 g/s to the cooling film, while the fuel mass flow is 3 g/s. This results in a global equivalence ratio of 0.74 (not counting the cooling air).
Figure 8.
Simulation geometry with key flow features extracted from LES. Inlets and outlets are colored green, and the walls are colored by time-averaged temperature. The time-averaged flame is highlighted in light red and the spray in magenta. The time-averaged velocity direction in the central plane is shown as a vector field inside the MFC. Recirculation zones are marked with white contours. Note that the rig is mounted vertically in reality.
The domain is spatially discretized into a block-structured hexahedral mesh of 6.0 million cells, which are roughly uniform in size across the domain. The cell aspect ratio is generally between 1 and 2 in the near-flame region, and the maximum skewness in the domain is 2.02. A wall model based on Spalding’s law of the wall [75] is used to avoid the need for fine resolution near the walls. On average, approximately 85% of the total turbulent kinetic energy is resolved. A mesh sensitivity study was carried out in Åkerblom and Fureby [56] and revealed that the mesh sensitivity is non-negligible but comparable to the sensitivity involved in choosing a turbulence-chemistry interaction model. A fixed mass flux is assigned to the air inlets, and a wave-transmissive condition is used at the outlet to avoid unphysical wave reflection. All inlet velocity profiles are uniform, as the geometry is assumed to guarantee transition to turbulent flow on the resolved scales. All walls are considered adiabatic, in part due to lack of measured wall temperature profiles and in part due to the observation of Agostinelli et al. [76] that fixing the wall temperature may lead to unphysical thermoacoustic responses. Neglecting wall heat transfer likely results in overpredicted temperatures within the ORZ as well as an overly stable flame. The simulations are initialized from previously converged simulations with a simpler spray model, then allowed to stabilize over 10 ms, after which data is collected over another 10 ms. The data collection period corresponds to ~1.6 flow-through times for the whole combustor, ~20 flow-through times for the spray, and ~10 revolutions in the swirler. Averaging over all fuels, the integrated heat release rate differs by less than 1% between the first 5 ms of data collection and the last 5 ms, indicating sufficient statistical convergence.
5.4. Injection Model
In our previous studies [55,56], we attempted to minimize the number of necessary assumptions by injecting the Lagrangian (liquid) phase at the same location where the liquid fuel is supplied to the real combustor, just upstream of the pre-filmer lip. The real fuel forms a thin liquid film, which is atomized by the air flow at the end of the pre-filmer lip, but for simplicity we assumed the fuel to be fully atomized already at injection. This led to reasonable agreement with experimental data further downstream, but the spray cone was too narrow and the droplets were generally too small. In the present work, following Jones et al. [50], we have attempted to improve the injection model by moving the injection point to the end of the pre-filmer lip, where atomization should occur. This requires new boundary conditions for the injection angle, velocity, and size distribution but can ensure better agreement with experimental measurements. These boundary conditions were found by iteration with Jet A, with the experimentally measured droplet velocity distribution as a target. Due to the computational cost of the simulations, each iterative simulation was only run long enough to produce a rough approximation of the spray statistics. Only the final set of boundary conditions are therefore described here.
Figure 9a shows a schematic of the injection method. The spray is injected along a 0.2 mm thin ring (emulating a liquid film) just downstream of the pre-filmer lip. It is considered fully atomized at injection, and each Lagrangian particle (representing a group of droplets) is assigned an injection angle and diameter. The angle is chosen randomly within 60 degrees of the axial direction, and all droplets are given a velocity magnitude of 5 m/s. The azimuthal velocity is zero. The diameter is chosen from a Rosin–Rammler distribution, which is truncated at 1 micron to ensure that no single particle represents more than ~1000 small droplets. The shape factor of the Rosin–Rammler distribution is based on experimental measurements [49], whereas its Sauter Mean Diameter (SMD) is equal to the value predicted by the correlation derived by Lefebvre [77]. This means that the droplet size distribution is shifted for each fuel, resulting in the largest droplets for JP-5 (high , high ), followed by Jet A (medium , medium ), C1 (medium , low ), and C5 (low , low ). The resulting size distribution for each fuel at 7 mm downstream of the pre-filmer lip is presented in Figure 9b, along with experimental measurements [49] and the corresponding result from our previous work [56]. As can be seen, the droplets are generally smaller in the present work.
Figure 9.
Schematic of the injection method (a) and droplet diameter distributions 7 mm downstream of the pre-filmer lip (b). Experimental Jet A data 10 mm from the centerline [49] (black), previous simulation results [56] (dashed line), simulations of the present work (solid lines), Jet A (red), JP-5 (blue), C1 (green), C5 (magenta).
6. Spray Combustion Results
Figure 10 shows time-averaged radial distributions of droplet SMD, axial velocity, and temperature at different distances downstream of the burner. The radial coordinate is denoted . At mm, the experimental data reveals that the droplets close to the centerline, inside the CRZ, are ~5 μm smaller than the droplets in the MFC. This effect is reproduced in the simulations, but the predicted SMD is also ~5 μm too small (for Jet A). The difference is surprisingly large, considering that the predicted size distribution in Figure 9b agrees well with the experiments. The probability does appear to be too low for diameters larger than 15 μm, however, and since SMD is biased towards larger droplets, this may have a significant impact on the results in Figure 10. Better agreement could likely be achieved by slightly shifting the probability distribution towards larger droplet diameters. Still, the SMD obtained in the experiments is quite high at mm. Describing the experimental data, Meier et al. [49] explain this result by pointing out that larger droplets tend to be carried outward by inertia. This effect is weak to non-existent in the simulations, as can be inferred from the generally low SMD in the MFC and the fact that the SMD does not monotonically increase with further downstream. The injection model may be improved by imposing a correlation between radial velocity and droplet diameter at the injection point. The results gathered thus far are regardless useful for comparing the combustion of different fuels, even if the experimental Jet A results are not reproduced exactly.
Figure 10.
Time-averaged radial distributions of droplet properties at three locations. Top to bottom: diameter, axial velocity, temperature. Left to right: 10, 15, and 20 mm downstream of the burner. Experimental Jet A data [49] (black), Jet A (red), JP-5 (blue), C1 (green), C5 (magenta).
All simulations predict very similar velocity distributions in the spray. The shape of the distribution is quite close to the experimental measurements, but the predicted velocity peak is located slightly too close to the centerline. If the distributions were shifted outward to coincide with experimental measurements, there would also be an overprediction of ~10 m/s. While choosing parameters for the injection model, we found that the droplet velocity at injection only had a weak effect on the resulting velocity distributions. A low injection velocity of 5 m/s was therefore chosen to minimize the error, but 50 m/s only increased the error by a few meters per second. We can infer that the droplet velocity distribution is primarily determined by the gas flow velocity. With this in mind, the errors in the velocity distribution may be the result of a too narrow CRZ. This in turn may be caused by the boundary conditions and mesh resolution in the swirlers and the cooling film, which may be inhibiting the development of realistic shear layers and vortex breakdown.
With regard to temperature, there is a clear trend among the fuels. Jet A and JP-5 behave very similarly. C1, and in particular C5, are more volatile and are vaporized at lower temperatures. The “core” of the spray is located inside the MFC at approximately mm. Due to the high concentration of liquid and gaseous fuel at this location, the average droplet temperature is low. At lower and higher , the droplets are heated by the CRZ and ORZ, respectively. Jet A, JP-5, and C1 have approximately identical droplet temperatures inside the spray core, while C5 is considerably colder. This indicates that a significant portion of the C5 droplets are boiling, capping their temperature. In our liquid properties model, the saturation temperature of C5 is ~500 K at 4 bar, which is 50 K less than the temperature of the surrounding unburnt air. C1 is saturated at ~550 K, the same temperature as the surrounding air, and there is little evidence of boiling within the core of the spray. At higher , however, the relatively low temperature of the C1 spray shows that it is heated to saturation by the hot gas in the ORZ.
There are some differences between the fuels with regard to SMD, and the trend is correlated with temperature. However, the difference in SMD largely originates from the injection condition. Accounting for this, the secondary breakup process is virtually the same for each fuel, with only minor SMD differences of 1–2 μm.
Figure 11 shows Probability Density Functions (PDF) of droplet diameter at the injection point as well as five downstream locations. Each PDF is produced by sampling the whole spray within a thin slice at the specified location, which means that both droplets close to and far from the centerline are considered. The liquid phase is injected into the computational domain at mm, corresponding to the end of the pre-filmer lip and the beginning of the combustion chamber. As the spray propagates downstream, the droplet diameter distribution is evidently shifted towards smaller droplets. The speed of this shift depends on the fuel. JP-5 evaporates more slowly than Jet A, and, given the similarity of these fuels with regard to liquid properties, the driving difference likely lies in the gas-phase kinetics. C1 and C5 evaporate relatively quickly, which is logical considering the high volatility of these fuels. The gradual shift towards smaller diameters suggests that the vaporization is primarily driven by subcritical evaporation and boiling; if the CRZ was hotter, the generally small droplets that manage to enter it would become critical and be immediately vaporized, shifting the overall size distribution towards larger diameters.
Figure 11.
Time-averaged probability density functions for droplet diameter in planes 0, 5, 10, 15, 20, and 25 mm downstream of the burner. Jet A (red), JP-5 (blue), C1 (green), C5 (magenta).
The predicted spray and flame structure for all fuels is qualitatively investigated in Figure 12. The data is azimuthally averaged, and points below mm are removed. The distribution of the Heat Release Rate (HRR) reveals the average location of the reaction zone. The spray is represented by three blue contours, marking the 10%, 20%, and 50% contours of the initial liquid volume fraction. The post-flame zone is revealed by the red contours, which mark the 50%, 80%, and 90% contours of the maximum OH mass fraction. All fuels display a conical flame stabilized at the inner shear layer, with additional heat release in a broad torus-shaped region inside the MFC at approximately mm. The relative amount of HRR in each of these two regions differs between the fuels, however. Jet A and JP-5 burn quite similarly, with some heat release along the inner shear layer but most inside the MFC. There is a distinct separation between the spray and the flame, which is likely a result of the low volatility of these fuels; the relatively high amount of energy required to vaporize the fuel counteracts the tendency of the flame to propagate towards the spray. The separation appears to be smaller for Jet A than for JP-5, however, and Jet A also has a more concentrated HRR distribution. This explains the more rapid evaporation of Jet A in Figure 11. C1 and C5 appear to burn more intensely at the inner shear layer, resulting in a flame with a more distinct “V” shape. The spray penetration depth is also considerably shorter for these fuels, as is the separation between the spray and flame. C1 in particular appears to stabilize very close to the spray. C5 is more volatile than C1 and thus has a short spray penetration depth, but its more fossil-like composition may explain why its flame structure appears to be a middle ground between Jet A and C1. This argument also explains why the droplet size distributions of C1 and C5 are so similar at mm: C5 evaporates quickly mainly due to its high volatility, while C1 evaporates just as quickly due to more rapid heating. For all fuels except C1, the post-flame zone has approximately the same shape as the HRR distribution. For C1, it appears that a relatively high OH concentration is maintained near the end of the flame, where the local mixture fraction is low. A similar effect was observed in [66], warranting further investigation. A more detailed analysis of specific reaction rates in the LES will therefore be carried out in a subsequent study.
Figure 12.
Time-averaged spray and flame structure for each fuel. All data below mm has been removed. Blue: 10%, 20%, and 50% contours of the initial liquid volume fraction at mm. Red: 50%, 80%, and 90% contours of the maximum OH mass fraction.
Mayhew [78] presented experimental results for spray combustion with Jet A, C1, and C5 in a rig that was somewhat similar to the case targeted here. One key difference is that it was equipped with a pressure-swirl atomizer rather than a pre-filming swirl atomizer, producing significantly larger droplets. Another key difference is that it was operated at much lower equivalence ratios, close to lean blow-out. The same rig was studied numerically by Esclapez et al. [30] and Panchal and Menon [31,32] for the same set of fuels. There are remarkable similarities between the results of Mayhew [78] and the present work. They observed only minor differences in SMD between the fuels. They also found that C1 tended to stabilize very close to the spray, while Jet A and C5 had more chemical activity inside the CRZ. The same trends are reproduced here. This suggests that the liquid thermodynamic properties model proposed in the present work, when combined with the HyChem reaction mechanisms, is capable of correctly predicting spray and flame dynamics for Jet A, JP-5, C1, and C5. In a future study, we hope to validate the methodology by applying it to a case where experimental data is available for more than Jet A. We will also attempt to make the simulations presented here more representative, primarily by altering the injection condition to bring the Jet A spray statistics closer to experimental data.
Reviewing the results presented thus far, we can conclude that both the thermodynamic properties of different jet fuels as well as their gas-phase kinetics play a significant role in determining the spray and flame structure in an aeroengine, as has been previously observed experimentally [78] and numerically [30,31,32]. The liquid properties primarily affect the vaporization rate, which in turn affects flame stabilization. Accurate liquid property models are thus vital, and care should be taken to ensure that they are consistent with the employed gas-phase chemical reaction mechanisms.
7. Outlook on Fuel Effects in Aviation Research
So far, we have discussed the key phenomena that govern the combustion of jet fuels, e.g., chemical kinetics and spray modeling, in the context of numerical simulations of lab-scale combustion systems. The results suggest that, with modern methodologies such as LES with FRC, it is possible to achieve a satisfactory level of fidelity for fuel-sensitivity studies of simplified combustion systems. There is, however, still a limitation to the level of fidelity achievable in practical, full-scale combustors.
Modern combustor designs, with their intrinsic physical complexity, have strict resolution requirements, and the models should be based on high-quality complementary information for their closure. This can be challenging to obtain, due to the very exploratory nature of most of the alternative jet fuels under testing. In addition, rigs built specifically for alternative fuel evaluation display intentional fuel-sensitivity features and are usually operated at conditions that further emphasize the effects of physical and chemical properties of the fuel. Consequently, the cases of interest are extremely sensitive to the modeling approach.
An example of such an ad hoc setup is the so-called Referee Rig [79], conceived under the CRATCAF Program [26] and tested together with commercial engines for the determination of Lean Blow-Out (LBO) and ignition figures of merit. This is the same rig that was investigated experimentally by Mayhew [78]. In such an extreme scenario, it is clear how an objective evaluation of CFD data would be possible if and only if detailed information about chemical and physical properties is available.
Research work on novel combustor architectures would benefit from exhaustive fuel characterization campaigns too. As evident in many industrial and national research programs, future configurations will be expected to fulfill safety, operability, performance, and durability requirements when operated on fuels coming from different production pathways—and, consequently, with a variety of compositions and properties within the certification limits. However, the design of a fuel-insensitive combustor depends on the in-depth understanding of the fuel dependencies mentioned above.
At the combustor level, the intricate process can be characterized by a set of characteristic timescales; some canonical examples are reaction, mixing, and spray timescales, as suggested by Lefebvre [80]. During on-design operation, the whole combustion process is controlled by the evaporation rate of the fuel. This is in turn limited by atomization quality, which is related to properties such as density, viscosity, and surface tension of the liquid fuel. Experimental investigations by Shin [81] and Shin et al. [82], and summarized in [83], delineated correlations between the SMD and the surface tension of the test fuels at injection. The experiments were conducted at near-LBO and chilled-fuel conditions, where, in a practical system, the fuel sensitivities are expected to be magnified due to the complex interactions between processes and timescales.
In the same program, similar trends were observed during the LBO-limit and ignition tests performed on lab-scale and proprietary combustors. Data analysis by Boehm et al. [84] suggested LBO figures of merit to be remarkably influenced by 20% recovered temperature () and density, selected as representative independent variables of evaporation and atomization, respectively. In addition, it was shown that some fuel dependencies emerge over a wide range of combustor length scales and design approaches, and similar trends can be identified for two systems operated at conditions that match ratios of characteristic timescales (e.g., evaporation-to-residence-time). This information is considered of great value for future fuel-flexible combustor design problems, in which the sensitivities of the timescale ratios on the fuel properties will likely become a crucial focus in the design or re-design process. It is also valuable for numerical work, as new models can be directly based on the relevant characteristic timescales.
In addition to the “primary”, high-level set of figures of merit, other performance parameters that are affected during operation are exhaust emission, temperature and radical distributions, and flame stability and dynamics. For the last, Muthuselvan et al. [85] found an inverse correlation between atomization quality and amplitude of thermoacoustic instabilities at lean conditions in a swirl-stabilized burner. In their work, the acoustic timescale of the combustion chamber, together with droplet and gas residence times, were defined and used to gain insight into the data. However, despite the combustion process residing at the core of gas turbine operation, it is not the only aspect to consider when assessing the impact of different fuels on safety and operations. For example, at the engine and aircraft-system levels, interactions with other gas turbine components and sub-systems—e.g., turbine stages and the fuel system—need to be predicted with great accuracy to ensure adequate cycle performance (turbine inlet temperature), temperature profiles, and material compatibility (e.g., corrosion and elastomeric materials).
With the present outlook, we would also like to emphasize the potential contribution of high-fidelity numerical simulations in the transition towards sustainable aviation. From the chemistry perspective, the skeletal HyChem mechanisms [21,22,23] are available for Jet A, JP-5, C1, and C5 (as well as JP-8). As shown previously in Section 3, the same trends are observed for those skeletal mechanisms and surrogates in detailed chemistry only when the LBV is normalized with the energy content of the fuel, suggesting potential limitations of LBV as a metric for chemical kinetics. In ignition-dominated combustion processes, it is important for the chemical model to properly capture the variations of IDT with temperature. As explained in Section 4, mechanisms capable of capturing the NTC behavior of liquid fuels would be beneficial in the numerical modeling of combustion in dual-mode ramjet engines. Finally, spray modeling strategies like the one shown in Section 5, properly combined with FRC and LES, could provide sufficient coupling between the key physical phenomena to be able to capture the emergence of non-trivial fuel dependencies, given sufficient resolution.
As a last remark, it is important to recognize and take note of the limitations of modern numerical methods. Firstly, the quality of simulations results is inherently related to the experimental data on which models and libraries are based. Uncertainties about those data would subsequently be reflected in the simulations, although in a manner that is difficult to quantify. Secondly, models for fine-scale processes—such as break-up, subgrid turbulence, and subgrid turbulence-chemistry interaction—also have limitations, which should be acknowledged. The last drawback—and perhaps the most far-reaching—is the massive computational cost of this kind of simulation. Nevertheless, we believe that with more information about fuel properties and with better models at their disposal, researchers will become more confident in investing the computing power and time necessary for high-fidelity numerical modeling of combustion processes in propulsion systems. When this happens, the synergy between numerical and experimental campaigns will undoubtedly encourage a step forward in the future of aviation.
8. Conclusions
This paper evaluates current numerical models for the kinetics, spray dynamics, and turbulent combustion of two conventional and two alternative jet fuels. LBV is predicted using low-dimensional simulations with skeletal and detailed mechanisms. IDT is predicted for two selected fuels and discussed in the context of dual-mode ramjet engines. A novel set of liquid properties is derived for the purpose of spray simulations with skeletal chemical reaction mechanisms. The spray and flame dynamics of each fuel is investigated and compared using LES of a generic aeroengine combustor. The conclusions can be summarized as follows.
- The LBV simulations indicate that in this property there are only small differences, about 5%, between the fuels studied here. LBV in itself can therefore not be exclusively used to explain significant differences between the fuels in their turbulent combustion behavior.
- The IDT predictions show the impact of the cetane number, which is correlated with the NTC effect and can vary significantly between fuels. The related timescales are typically long compared to the residence time of a dual-mode ramjet engine, but the effect could prove critical in the presence of stabilization mechanisms. H2 enrichment is predicted to be an effective method for reducing IDT but not for all temperatures.
- In the LES, the high volatility of the alternative fuels C1 and C5 result in relatively short spray penetration depths and low droplet temperatures while the radial distributions of SMD and velocity are only slightly different between all fuels.
- In the LES, C1 tends to form a flame that is stabilized quite close to the spray while the other fuels burn further away. This is consistent with previous experimental findings, lending credence to the present methodology. The trend is contingent on accurate fuel-specific models for both the liquid fuel and the gas-phase kinetics, as well as the compatibility between these.
Supplementary Materials
The following supporting information can be downloaded at: https://www.mdpi.com/article/10.3390/aerospace11010031/s1, thermophysicalProperties_Aakerblom.zip: library for OpenFOAM 7 containing liquid properties for Jet A (A2, POSF10325), JP-5 (A3, POSF10289), C1 (POSF11498), and C5 (POSF12345).
Author Contributions
Conceptualization, A.Å., M.P., N.Z. and A.E.; methodology, A.Å., M.P., N.Z. and E.J.K.N.; software, A.Å.; validation, A.Å. and N.Z.; formal analysis, A.Å., M.P. and N.Z.; investigation, A.Å., M.P., N.Z. and A.E.; resources, C.F. and E.J.K.N.; data curation, A.Å.; writing—original draft preparation, A.Å., A.E., M.P., N.Z., C.F. and E.J.K.N.; writing—review and editing, A.Å., A.E., M.P., N.Z. and C.F.; visualization, A.Å, M.P. and N.Z.; supervision, C.F. and E.J.K.N.; project administration, C.F. and E.J.K.N.; funding acquisition, C.F. and E.J.K.N. All authors have read and agreed to the published version of the manuscript.
Funding
This work was supported by the European Union’s Horizon 2020 research and innovation program MORE&LESS under grant agreement no. 769246, the competence center CESTAP funded by the Swedish Energy Agency (project no. 52683-1), Industry and Academia in collaboration, and the project Combustion characteristics of aviation biofuels funded by the Swedish Energy Agency (project no. 50526-1). Computer time was partly provided by the Swedish National Infrastructure for Computing, partially funded by the Swedish Research Council through grant agreement no. 2018-05973.
Data Availability Statement
Data supporting the findings of this study are available from the corresponding author upon reasonable request.
Conflicts of Interest
The authors declare no conflicts.
Correction Statement
This article has been republished with two minor corrections to the readability of Tables 1–3 (On 19 February 2024: This article has been republished with a minor correction to the readability of Tables 2 and 3; On 14 August 2024: This article has been republished with a minor correction to the readability of Table 1). These changes do not affect the scientific content of the article.
References
- Stratospheric Flying Opportunities for High-Speed Propulsion Concepts. Available online: https://cordis.europa.eu/project/id/769246 (accessed on 10 November 2023).
- MDO and REgulations for Low-Boom and Environmentally Sustainable Supersonic Aviation. Available online: https://cordis.europa.eu/project/id/101006856 (accessed on 10 November 2023).
- Available online: https://boomsupersonic.com/ (accessed on 14 November 2023).
- Andreadis, D. Scramjet Engines Enabling the Seamless Integration of Air and Space Operations. Ind. Phys. 2004, 10, 24. [Google Scholar]
- Harrison, R.M.; Masiol, M.; Vardoulakis, S. Civil Aviation, Air Pollution and Human Health. Environ. Res. Lett. 2015, 10, 041001. [Google Scholar] [CrossRef]
- Kärcher, B. Aviation-Produced Aerosols and Contrails. Surv. Geophys. 1999, 20, 113–167. [Google Scholar] [CrossRef]
- Blakey, S.; Rye, L.; Wilson, C.W. Aviation Gas Turbine Alternative Fuels: A Review. Proc. Combust. Inst. 2011, 33, 2863–2885. [Google Scholar] [CrossRef]
- ASTM D1655; Standard Specification for Aviation Turbine Fuels. ASTM: West Conshohocken, PA, USA, 2008.
- Kumar, K.; Sung, C.-J. An Experimental Study of the Autoignition Characteristics of Conventional Jet Fuel/Oxidizer Mixtures: Jet-A and JP-8. Combust. Flame 2010, 157, 676–685. [Google Scholar] [CrossRef]
- MIL-DTL-5624W; Turbine Fuel, Aviation, Grades JP-4 and JP-5. Military and Government Specs & Standards (Naval Publications and Form Center) (NPFC): Philadelphia, PA, USA, 2016.
- MIL-DTL-83133K; Detail Specification: Turbine Fuel, Aviation Kerosene Type, JP-8 (NATO F-34), NATO F-35, and JP-8+100 (NATO F-37). Military and Government Specs & Standards (Naval Publications and Form Center) (NPFC): Philadelphia, PA, USA, 2018.
- Braun-Unkhoff, M.; Riedel, U. Alternative Fuels in Aviation. CEAS Aeronaut. J. 2015, 6, 83–93. [Google Scholar] [CrossRef]
- Yang, J.; Xin, Z.; He, Q.; Corscadden, K.; Niu, H. An Overview on Performance Characteristics of Bio-Jet Fuels. Fuel 2019, 237, 916–936. [Google Scholar] [CrossRef]
- Kick, T.; Herbst, J.; Kathrotia, T.; Marquetand, J.; Braun-Unkhoff, M.; Naumann, C.; Riedel, U. An Experimental and Modeling Study of Burning Velocities of Possible Future Synthetic Jet Fuels. Energy 2012, 43, 111–123. [Google Scholar] [CrossRef]
- Conversion Processes. Available online: https://www.icao.int/environmental-protection/GFAAF/Pages/Conversion-processes.aspx (accessed on 18 December 2023).
- Corporan, E.; Edwards, T.; Shafer, L.; DeWitt, M.J.; Klingshirn, C.; Zabarnick, S.; West, Z.; Striebich, R.; Graham, J.; Klein, J. Chemical, Thermal Stability, Seal Swell, and Emissions Studies of Alternative Jet Fuels. Energy Fuels 2011, 25, 955–966. [Google Scholar] [CrossRef]
- Poinsot, T.; Veynante, D. Theoretical and Numerical Combustion, 2nd ed.; R.T. Edwards, Inc.: Philadelphia, PA, USA, 2005. [Google Scholar]
- Menon, S.; Fureby, C. Computational Combustion. In Encyclopedia of Aerospace Engineering; Blockley, R., Shyy, W., Eds.; John Wiley & Sons: Hoboken, NJ, USA, 2010. [Google Scholar]
- Patterson, P.M.; Kyne, A.G.; Pourkashanian, M.; Williams, A.; Wilson, C.W. Combustion of Kerosene in Counterflow Diffusion Flames. J. Propuls. Power 2001, 17, 453–460. [Google Scholar] [CrossRef]
- Zettervall, N.; Fureby, C.; Nilsson, E.J.K. A Reduced Chemical Kinetic Reaction Mechanism for Kerosene-Air Combustion. Fuel 2020, 269, 117446. [Google Scholar] [CrossRef]
- Wang, H.; Xu, R.; Wang, K.; Bowman, C.T.; Hanson, R.K.; Davidson, D.F.; Brezinsky, K.; Egolfopoulos, F.N. A Physics-Based Approach to Modeling Real-Fuel Combustion Chemistry—I. Evidence from Experiments, and Thermodynamic, Chemical Kinetic and Statistical Considerations. Combust. Flame 2018, 193, 502–519. [Google Scholar] [CrossRef]
- Xu, R.; Wang, K.; Banerjee, S.; Shao, J.; Parise, T.; Zhu, Y.; Wang, S.; Movaghar, A.; Lee, D.J.; Zhao, R.; et al. A Physics-Based Approach to Modeling Real-Fuel Combustion Chemistry—II. Reaction Kinetic Models of Jet and Rocket Fuels. Combust. Flame 2018, 193, 520–537. [Google Scholar] [CrossRef]
- Wang, K.; Xu, R.; Parise, T.; Shao, J.; Movaghar, A.; Lee, D.J.; Park, J.-W.; Gao, Y.; Lu, T.; Egolfopoulos, F.N.; et al. A Physics-Based Approach to Modeling Real-Fuel Combustion Chemistry—IV. HyChem Modeling of Combustion Kinetics of a Bio-Derived Jet Fuel and Its Blends with a Conventional Jet A. Combust. Flame 2018, 198, 477–489. [Google Scholar] [CrossRef]
- Zettervall, N. Reduced Reaction Mechanisms for Aviation Fuels; FOI-D—1169—SE; FOI: Stockholm, Sweden, 2022; p. 41. [Google Scholar]
- Ranzi, E.; Cavallotti, C.; Cuoci, A.; Frassoldati, A.; Pelucchi, M.; Faravelli, T. New Reaction Classes in the Kinetic Modeling of Low Temperature Oxidation of N-Alkanes. Combust. Flame 2015, 162, 1679–1691. [Google Scholar] [CrossRef]
- Aicholtz, J.; Holland, T.; Andac, G.; Boehm, R.; Seto, S.; Lewis, R.; Williams, R.; Ludwig, D.; James, S.; Mosbacher, M. Development of Combustion Rules and Tools for the Characterization of Alternative Fuels. In Proceedings of the MACCCR 3rd Annual Fuels Summit, Princeton, NJ, USA, 20 September 2010; Available online: https://kinetics.nist.gov/RealFuels/macccr/macccr2010/MACCCR_2010_Colket.pdf (accessed on 14 November 2023).
- Colket, M.; Heyne, J.; Rumizen, M.; Gupta, M.; Edwards, T.; Roquemore, W.M.; Andac, G.; Boehm, R.; Lovett, J.; Williams, R.; et al. Overview of the National Jet Fuels Combustion Program. AIAA J. 2017, 55, 1087–1104. [Google Scholar] [CrossRef]
- Gevo. Available online: https://gevo.com/ (accessed on 14 November 2023).
- Hasti, V.R.; Kundu, P.; Som, S.; Won, S.H.; Dryer, F.L.; Gore, J.P. Computation of Conventional and Alternative Jet Fuel Sensitivity to Lean Blowout. J. Energy Inst. 2022, 101, 19–31. [Google Scholar] [CrossRef]
- Esclapez, L.; Ma, P.C.; Mayhew, E.; Xu, R.; Stouffer, S.; Lee, T.; Wang, H.; Ihme, M. Fuel Effects on Lean Blow-out in a Realistic Gas Turbine Combustor. Combust. Flame 2017, 181, 82–99. [Google Scholar] [CrossRef]
- Panchal, A.; Menon, S. LES of Fuel Sensitivity in a Realistic Spray Combustor I. Near Blowout Analysis. Combust. Flame 2022, 240, 112162. [Google Scholar] [CrossRef]
- Panchal, A.; Menon, S. LES of Fuel Sensitivity in a Realistic Spray Combustor II. Lean Blowout Analysis. Combust. Flame 2022, 240, 112161. [Google Scholar] [CrossRef]
- Guzman, F.J.; Tacina, K.M.; Hicks, Y.R.; Capil, T.; Moder, J.P. Lean Blowout Predictions of a 7-Point Swirler-Venturi Lean Direct Injector Array from Large-Eddy Simulations. In Proceedings of the AIAA Propulsion and Energy 2021 Forum, Virtual Event, 9–11 August 2021. [Google Scholar]
- Sankaran, V.; Lee, J.; Soteriou, M.C. LES Based Evaluation of Multi-Component Fuel Evaporation Effects at Aero-Engine Conditions. In Proceedings of the 54th AIAA Aerospace Sciences Meeting, San Diego, CA, USA, 4–8 January 2016. [Google Scholar]
- Tang, Y.; Hassanaly, M.; Raman, V.; Sforzo, B.A.; Seitzman, J. Probabilistic Modeling of Forced Ignition of Alternative Jet Fuels. Proc. Combust. Inst. 2021, 38, 2589–2596. [Google Scholar] [CrossRef]
- Ranjan, R.; Panchal, A.; Hannebique, G.; Menon, S. Towards Numerical Prediction of Jet Fuels Sensitivity of Flame Dynamics in a Swirl Spray Combustion System. In Proceedings of the 52nd AIAA/SAE/ASEE Joint Propulsion Conference, Salt Lake City, UT, USA, 25–27 July 2016. [Google Scholar]
- Edwards, J.T. Reference Jet Fuels for Combustion Testing. In Proceedings of the 55th AIAA Aerospace Sciences Meeting, Grapevine, TX, USA, 9–13 January 2017. [Google Scholar]
- Xu, R.; Wang, H.; Colket, M.; Edwards, T. Thermochemical Properties of Jet Fuels. 2015. Available online: https://web.stanford.edu/group/haiwanglab/HyChem/approach/Report_Jet_Fuel_Thermochemical_Properties_v6.pdf (accessed on 14 November 2023).
- Kee, R.J.; Miller, J.A.; Jefferson, T.H. CHEMKIN: A General-Purpose, Problem-Independent, Transportable, Fortran Chemical Kinetics Code Package; SAND—80-8003; Sandia National Laboratories: Albuquerque, NM, USA, 1980. [Google Scholar]
- Cantera. Available online: https://cantera.org/ (accessed on 14 November 2023).
- Kim, K.; Lee, W.; Wiersema, P.; Mayhew, E.; Temme, J.; Kweon, C.-B.M.; Lee, T. Effects of the Cetane Number on Chemical Ignition Delay. Energy 2023, 264, 126263. [Google Scholar] [CrossRef]
- Luning Prak, D.J.; Romanczyk, M.; Wehde, K.E.; Ye, S.; McLaughlin, M.; Luning Prak, P.J.; Foley, M.P.; Kenttämaa, H.I.; Trulove, P.C.; Kilaz, G.; et al. Analysis of Catalytic Hydrothermal Conversion Jet Fuel and Surrogate Mixture Formulation: Components, Properties, and Combustion. Energy Fuels 2017, 31, 13802–13814. [Google Scholar] [CrossRef]
- Pinkowski, N.H.; Wang, Y.; Cassady, S.J.; Davidson, D.F.; Hanson, R.K. A Streamlined Approach to Hybrid-Chemistry Modeling for a Low Cetane-Number Alternative Jet Fuel. Combust. Flame 2019, 208, 15–26. [Google Scholar] [CrossRef]
- Zhang, C.; Li, B.; Rao, F.; Li, P.; Li, X. A Shock Tube Study of the Autoignition Characteristics of RP-3 Jet Fuel. Proc. Combust. Inst. 2015, 35, 3151–3158. [Google Scholar] [CrossRef]
- Zeng, W.; Li, H.; Chen, B.; Ma, H. Experimental and Kinetic Modeling Study of Ignition Characteristics of Chinese RP-3 Kerosene. Combust. Sci. Technol. 2015, 187, 396–409. [Google Scholar] [CrossRef]
- Li, A.; Vozka, P.; Mastrean, A.; Kilaz, G.; Qiao, L. Lean flammability limits of alternative aviation fuels. Fire Saf. J. 2019, 108, 102851. [Google Scholar] [CrossRef]
- Gomez Casanova, C.A.; Othen, E.; Sorensen, J.L.; Levin, D.B.; Birouk, M. Measurement of Laminar Flame Speed and Flammability Limits of a Biodiesel Surrogate. Energy Fuels 2016, 30, 8737–8745. [Google Scholar] [CrossRef]
- Zettervall, N.; Fureby, C. A Computational Study of Ramjet, Scramjet and Dual-Mode Ramjet Combustion in Combustor with a Cavity Flameholder. In Proceedings of the 2018 AIAA Aerospace Sciences Meeting, Kissimmee, FL, USA, 8–12 January 2018. [Google Scholar]
- Meier, U.; Heinze, J.; Freitag, S.; Hassa, C. Spray and Flame Structure of a Generic Injector at Aeroengine Conditions. J. Eng. Gas Turbines Power 2011, 134, 031503. [Google Scholar] [CrossRef]
- Jones, W.P.; Marquis, A.J.; Vogiatzaki, K. Large-Eddy Simulation of Spray Combustion in a Gas Turbine Combustor. Combust. Flame 2014, 161, 222–239. [Google Scholar] [CrossRef]
- Andreini, A.; Bertini, D.; Mazzei, L.; Puggelli, S. Assessment of a Numerical Procedure for Scale Resolved Simulations of Turbulent Spray Flames. In Proceedings of the XXXIX Meeting of the Italian Section of the Combustion Institute, Naples, Italy, 4–6 July 2016. [Google Scholar]
- Puggelli, S.; Bertini, D.; Mazzei, L.; Andreini, A. Assessment of Scale-Resolved Computational Fluid Dynamics Methods for the Investigation of Lean Burn Spray Flames. J. Eng. Gas Turbines Power 2016, 139, 021501. [Google Scholar] [CrossRef]
- Puggelli, S.; Bertini, D.; Mazzei, L.; Andreini, A. Modeling Strategies for LES of Lean Burn Spray Flames. J. Eng. Gas Turbines Power 2017, 140, 051501. [Google Scholar] [CrossRef]
- Mazzei, L.; Puggelli, S.; Bertini, D.; Andreini, A.; Facchini, B.; Vitale, I.; Santoriello, A. Numerical and Experimental Investigation on an Effusion-Cooled Lean Burn Aeronautical Combustor: Aerothermal Field and Emissions. J. Eng. Gas Turbines Power 2018, 141, 041006. [Google Scholar] [CrossRef]
- Puggelli, S.; Paccati, S.; Bertini, D.; Mazzei, L.; Giusti, A.; Andreini, A. Multi-Coupled Numerical Simulations of the DLR Generic Single Sector Combustor. Combust. Sci. Technol. 2018, 190, 1409–1425. [Google Scholar] [CrossRef]
- Åkerblom, A.; Fureby, C. LES modeling of the DLR generic single-cup spray combustor: Validation and the impact of combustion chemistry. Flow Turbul. Combust. 2023. [Google Scholar] [CrossRef]
- Åkerblom, A.; Pignatelli, F.; Fureby, C. Numerical Simulations of Spray Combustion in Jet Engines. Aerospace 2022, 9, 838. [Google Scholar] [CrossRef]
- Kim, W.-W.; Menon, S. A New Dynamic One-Equation Subgrid-Scale Model for LES. In Proceedings of the 33rd Aerospace Sciences Meeting and Exhibit, Reno, NV, USA, 9–12 January 1995. [Google Scholar]
- Sabelnikov, V.; Fureby, C. LES Combustion Modeling for High Re Flames Using a Multi-Phase Analogy. Combust. Flame 2013, 160, 83–96. [Google Scholar] [CrossRef]
- Ranz, W.; Marshall, W.R. Evaporation from Drops. Chem. Eng. Prog. 1952, 48, 141–146. [Google Scholar]
- Zuo, B.; Gomes, A.; Rutland, C. Studies of Superheated Fuel Spray Structures and Vaporization in GDI Engines. Int. J. Eng. Res. 2000, 1, 321–336. [Google Scholar] [CrossRef]
- Reitz, R.D.; Diwakar, R. Effect of Drop Breakup on Fuel Sprays. SAE Technol. Pap. 1986, 95, 860469. [Google Scholar]
- Weller, H.G.; Tabor, G.; Jasak, H.; Fureby, C. A Tensorial Approach to Computational Continuum Mechanics Using Object Orientated Techniques. Comput. Phys. 1998, 12, 620–631. [Google Scholar] [CrossRef]
- Strang, G. On the Construction and Comparison of Difference Schemes. SIAM J. Numer. Anal. 1968, 5, 506–517. [Google Scholar] [CrossRef]
- Issa, R.I. Solution of the Implicitly Discretised Fluid Flow Equations by Operator-Splitting. J. Comput. Phys. 1986, 62, 40–65. [Google Scholar] [CrossRef]
- Hairer, E.; Wanner, G. Solving Ordinary Differential Equations II. Stiff and Differential-Algebraic Problems, 2nd ed.; Springer: Berlin/Heidelberg, Germany, 1991. [Google Scholar]
- Pignatelli, F.; Passad, M.; Åkerblom, A.; Nilsson, T.; Nilsson, E.; Fureby, C. Predictions of Spray Combustion Using Conventional Category A Fuels and Exploratory Category C Fuels. In Proceedings of the AIAA SCITECH 2023 Forum, National Harbor, MD, USA, 23–27 January 2023. [Google Scholar]
- Watson, K.M. Prediction of Critical Temperatures and Heats of Vaporization. Ind. Eng. Chem. 1931, 23, 360–364. [Google Scholar] [CrossRef]
- Yu, J.; Eser, S. Determination of Critical Properties (Tc, Pc) of Some Jet Fuels. Ind. Eng. Chem. Res. 1995, 34, 404–409. [Google Scholar] [CrossRef]
- Daubert, T.E.; Danner, R.P. Data Compilation Tables of Properties of Pure Compounds; Design Institute for Physical Property Data, American Institute of Chemical Engineers: New York, NY, USA, 1985. [Google Scholar]
- Bucher, W.; Bradley, R. High Temperature Tests of a JP-5 Type Fuel; AD-A007 662; Defense Technical Information Center: Fort Belvoir, VA, USA, 1975.
- Ambrose, D.; Tsonopoulos, C. Vapor-Liquid Critical Properties of Elements and Compounds. 2. Normal Alkanes. J. Chem. Eng. Data 1995, 40, 531–546. [Google Scholar] [CrossRef]
- Daubert, T.E. Vapor-Liquid Critical Properties of Elements and Compounds. 5. Branched Alkanes and Cycloalkanes. J. Chem. Eng. Data 1996, 41, 365–372. [Google Scholar] [CrossRef]
- Riazi, M.R. Characterization and Properties of Petroleum Fractions: Solutions Manual; MNL50; ASTM International: West Conshohocken, PA, USA, 2005. [Google Scholar]
- Spalding, D.B. A Single Formula for the “Law of the Wall”. J. Appl. Mech. 1961, 28, 455–458. [Google Scholar] [CrossRef]
- Agostinelli, P.W.; Laera, D.; Boxx, I.; Gicquel, L.; Poinsot, T. Impact of Wall Heat Transfer in Large Eddy Simulation of Flame Dynamics in a Swirled Combustion Chamber. Combust. Flame 2021, 234, 111728. [Google Scholar] [CrossRef]
- Lefebvre, A.H. Airblast Atomization. Prog. Energy Combust. Sci. 1980, 6, 233–261. [Google Scholar] [CrossRef]
- Mayhew, E.K. Impact of Alternative Jet Fuels on Gas Turbine Combustion Systems. Ph.D. Thesis, University of Illinois at Urbana-Champaign, Champaign, IL, USA, 2018. [Google Scholar]
- Stouffer, S.; Hendershott, T.; Boehm, R.; Lovett, J. Referee Rig. In Fuel Effects on Operability of Aircraft Gas Turbine Combustors; Colket, M., Heyne, J., Eds.; American Institute of Aeronautics and Astronautics, Inc.: Reston, VA, USA, 2021. [Google Scholar]
- Lefebvre, A.H. Fuel Effects on Gas Turbine Combustion—Ignition, Stability, and Combustion Efficiency. J. Eng. Gas Turbines Power 1985, 107, 24–37. [Google Scholar] [CrossRef]
- Shin, D. An Investigation of Alternative Aviation Fuel Spray Characteristics at Lean Blowout Conditions Using Hybrid Air-Blast Pressure-Swirl Atomizer. Master’s Thesis, Purdue University, Indianapolis, IN, USA, 2017. [Google Scholar]
- Shin, D.; Bokhart, A.J.; Rodrigues, N.S.; Sojka, P.E.; Gore, J.P.; Lucht, R.P. Nonreacting Spray Characteristics for Alternative Aviation Fuels at Near-Lean Blowout Conditions. J. Propuls. Power 2020, 36, 323–334. [Google Scholar] [CrossRef]
- Shin, D.; Hasti, V.R.; Bokhart, A.J.; Rodrigues, N.S.; Sojka, P.E.; Lucht, R.P.; Gore, J.P.; Rizk, N.; Corber, P.A. Spray Characteristics of Conventional and Alternative Fuels. In Fuel Effects on Operability of Aircraft Gas Turbine Combustors; Colket, M., Heyne, J., Eds.; American Institute of Aeronautics and Astronautics, Inc.: Reston, VA, USA, 2021. [Google Scholar]
- Boehm, R.C.; Colborn, J.G.; Heyne, J.S. Comparing Alternative Jet Fuel Dependencies Between Combustors of Different Size and Mixing Approaches. Front. Energy Res. 2021, 9, 701901. [Google Scholar] [CrossRef]
- Muthuselvan, G.; Suryanarayana Rao, M.; Iyengar, V.S.; Pulumathi, M.; Thirumalachari, S.; Srinivasan, K. Effect of Atomization Quality on Lean Blow-Out Limits and Acoustic Oscillations in a Swirl Stabilized Burner. Combust. Sci. Technol. 2020, 192, 1028–1052. [Google Scholar] [CrossRef]
Disclaimer/Publisher’s Note: The statements, opinions and data contained in all publications are solely those of the individual author(s) and contributor(s) and not of MDPI and/or the editor(s). MDPI and/or the editor(s) disclaim responsibility for any injury to people or property resulting from any ideas, methods, instructions or products referred to in the content. |
© 2023 by the authors. Licensee MDPI, Basel, Switzerland. This article is an open access article distributed under the terms and conditions of the Creative Commons Attribution (CC BY) license (https://creativecommons.org/licenses/by/4.0/).










