Thermal and Phase Change Process in a Locally Curved Open Channel Equipped with PCM-PB and Heater during Nanofluid Convection under Magnetic Field
Abstract
1. Introduction
2. Computational Model
3. Results and Discussion
4. Conclusions
- The curvature of the upper wall results in altering the shape and size of vortex inside the PCM-PB region. In the interior and wall near regions, the amount of the L-FR shows opposite trends due to the enhanced velocity in the interior part. The phase completion time (tF) increases with higher curvatures of the upper wall. When the lowest- and highest-radius cases are compared, the increment amount of tF is obtained as 42%.
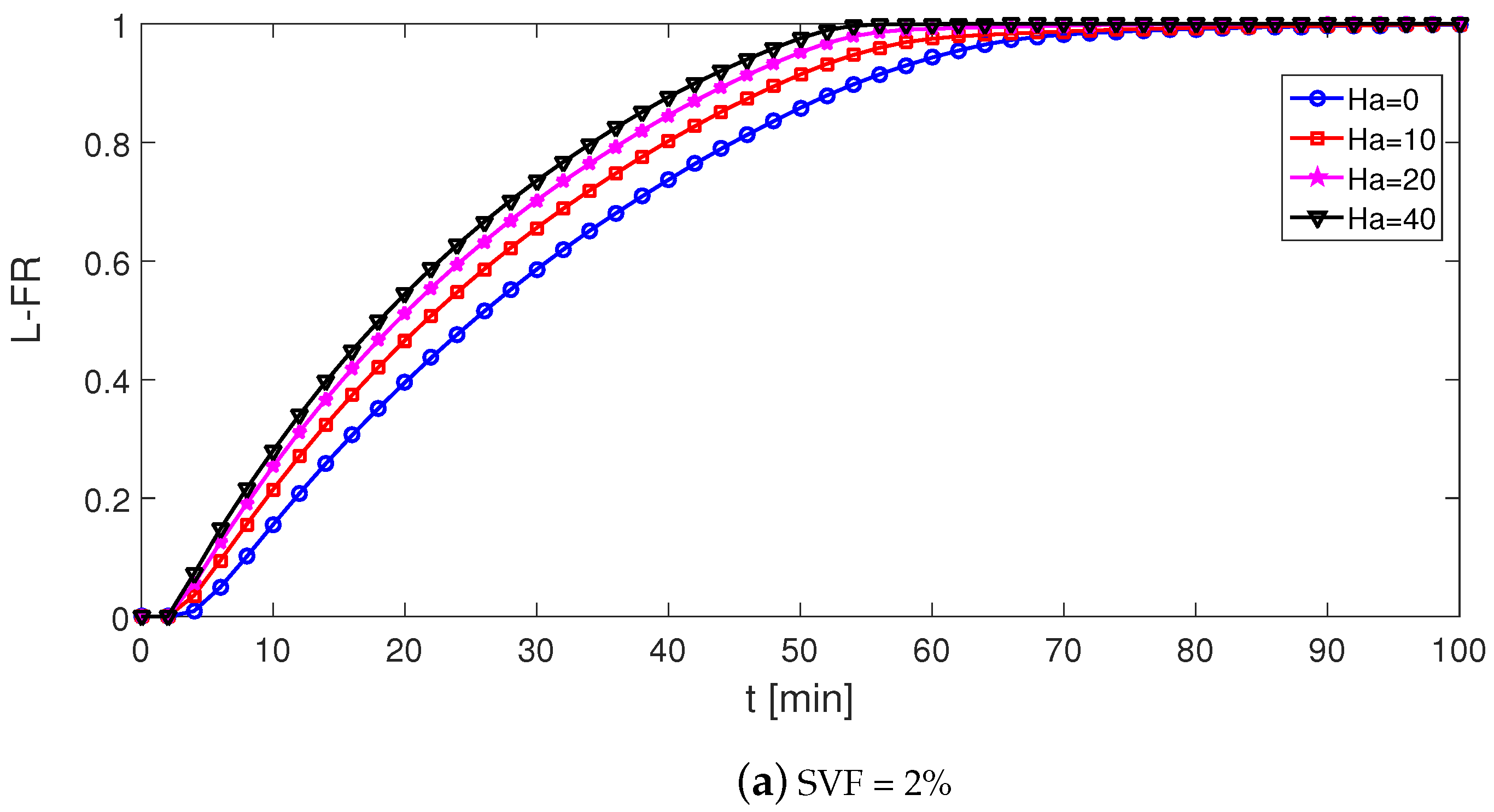
- MGF suppresses the vortices, and the velocity intensifies near the wall region. Therefore, the L-FR amount in those zones rises, and the phase-change process accelerates. The phase completion time (tF) is reduced by about and by using pure fluid (PF) and nanofluid (NF) at the highest strength of MGF as compared to cases without MGF.
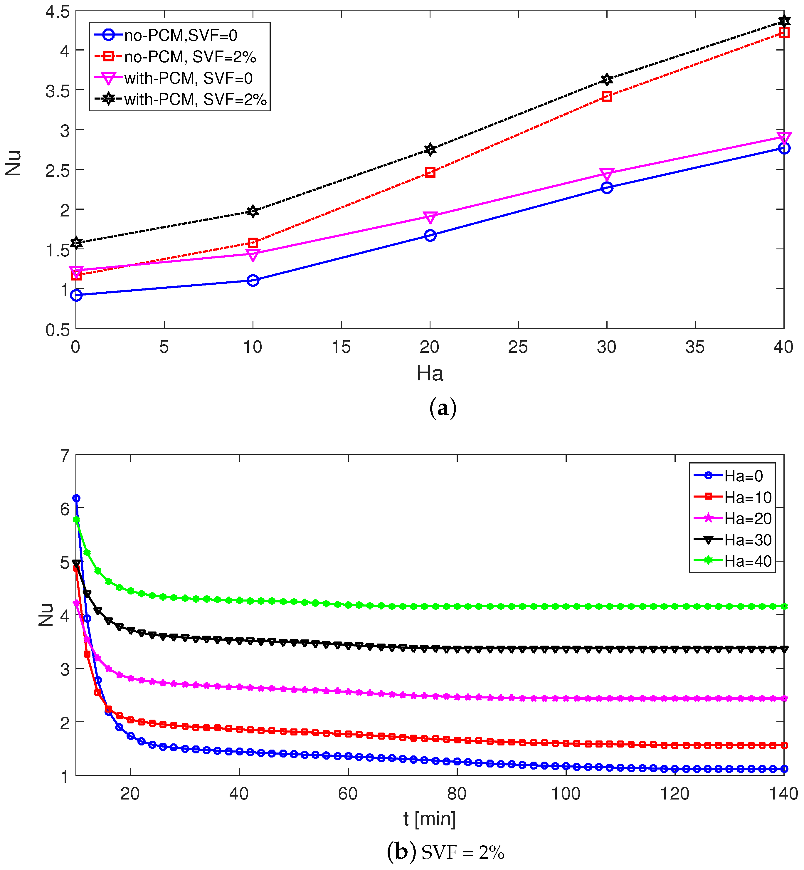
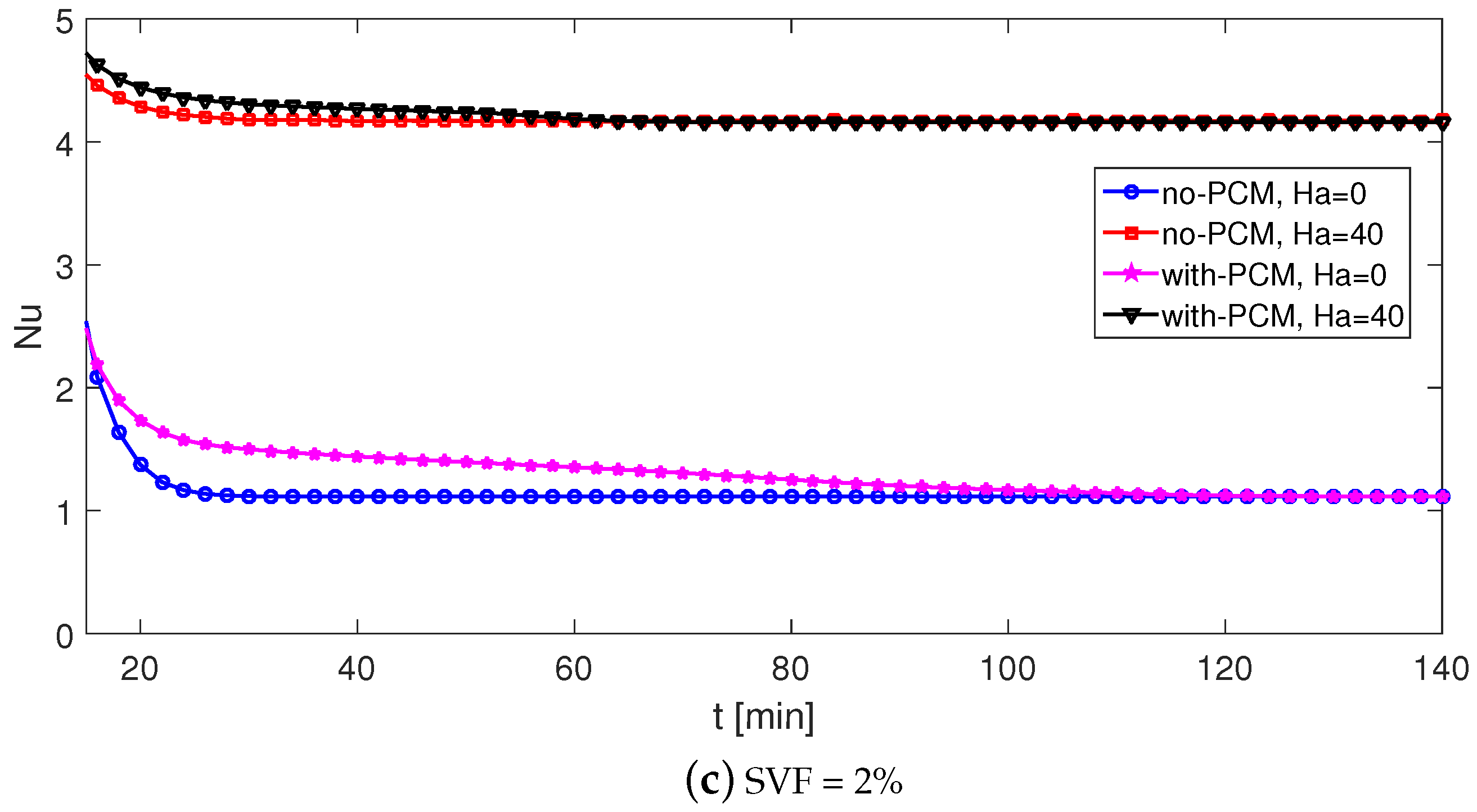
- Average Nu rises by applying MGF and increasing its strength for configurations using PF and NF. The average Nu increment between the configurations with and without PCM-NF is obtained as at Ha = 40.
- In terms of thermal performance, the most favorable configuration is obtained when MGF with nanofluid is used for a PCM-PB equipped system. As compared to the reference case (only pure fluid without MGF and without PCM-PB), using NF only increases the HT by about 33.7%, and a further improvement of 71.1% is obtained when PCM-PB is installed. When MGF+NF+PCM is considered, the HT enhancement amount becomes 373.9% as compared to the reference configuration.
- Among using PCM, nanofluid and MGF, the highest impacts on the thermal performance improvement are obtained by using MGF. It also has profound impacts on the phase-change dynamics when PCM-PB is equipped.
Author Contributions
Funding
Data Availability Statement
Conflicts of Interest
Abbreviations
| a, b | radii of the curvature |
| B | magnetic field strength |
| h | heater height |
| Ha | Hartmann number |
| H | channel height |
| Hp | PCM-PB height |
| k | thermal conductivity |
| L | length |
| L | latent heat of fusion |
| L-FR | liquid fraction |
| n | normal vector |
| Nu | Nusselt number |
| p | pressure |
| Pr | Prandtl number |
| Re | Reynolds number |
| t | time |
| tF | phase transition time |
| T | temperature |
| T | melting temperature |
| u, v | velocity components |
| x, y | Cartesian coordinates |
| Greek Characters | |
| kinematic viscosity | |
| dynamic viscosity | |
| density | |
| inclination of magnetic field | |
| porosity | |
| permeability | |
| electrical conductivity | |
| Subscripts | |
| c | cold |
| h | hot |
| m | average |
| nf | nanofluid |
| p | solid particle |
| Abbreviations | |
| BFS | backward-facing step |
| FEM | finite element method |
| FFS | forward-facing step |
| HT | heat transfer |
| MGF | magnetic field |
| PC | phase change |
| PB | packed bed |
| PCM | phase-change material |
| SVF | solid volume fraction |
References
- Ali, H.M.; Saieed, A.; Pao, W.; Ali, M. Copper foam/PCMs based heat sinks: An experimental study for electronic cooling systems. Int. J. Heat Mass Transf. 2018, 127, 381–393. [Google Scholar]
- Saidina, D.; Abdullah, M.; Hussin, M. Metal oxide nanofluids in electronic cooling: A review. J. Mater. Sci. Mater. Electron. 2020, 31, 4381–4398. [Google Scholar] [CrossRef]
- Armaly, B.F.; Durst, F.; Pereier, J.C.F.; Schonung, B. Experimental and theoretical investigation of backward-facing step flow. J. Fluid Mech. 1983, 127, 473–496. [Google Scholar] [CrossRef]
- Nie, J.; Armaly, B. Convection in laminar three-dimensional separated flow. Int. J. Heat Mass Transf. 2004, 47, 5407–5416. [Google Scholar] [CrossRef]
- Chen, L.; Asai, K.; Nonomura, T.; Xi, G.; Liu, T. A review of backward-facing step (BFS) flow mechanisms, heat transfer and control. Therm. Sci. Eng. Prog. 2018, 6, 194–216. [Google Scholar] [CrossRef]
- Chen, Y.; Nie, J.; Hsieh, H.T.; Sun, L. Three-dimensional convection flow adjacent to inclined backward-facing step. Int. J. Heat Mass Transf. 2006, 49, 4795–4803. [Google Scholar] [CrossRef]
- Abu-Mulaweh, H.; Armaly, B.F.; Chen, T. Measurements of laminar mixed convection in boundary-layer flow over horizontal and inclined backward-facing steps. Int. J. Heat Mass Transf. 1993, 36, 1883–1895. [Google Scholar] [CrossRef]
- Selimefendigil, F.; Öztop, H.F. Effects of local curvature and magnetic field on forced convection in a layered partly porous channel with area expansion. Int. J. Mech. Sci. 2020, 179, 105696. [Google Scholar] [CrossRef]
- Atashafrooz, M. Influence of radiative heat transfer on the thermal characteristics of nanofluid flow over an inclined step in the presence of an axial magnetic field. J. Therm. Anal. Calorim. 2020, 139, 3345–3360. [Google Scholar] [CrossRef]
- Ansari, A.B.; Nassab, S. Study of laminar forced convection of radiating gas over an inclined backward facing step under bleeding condition using the blocked-off method. J. Heat Transf. 2011, 133, 072702. [Google Scholar] [CrossRef]
- Atashafrooz, M.; Nassab, S.G. Simulation of three-dimensional laminar forced convection flow of a radiating gas over an inclined backward-facing step in a duct under bleeding condition. Proc. Inst. Mech. Eng. Part C J. Mech. Eng. Sci. 2013, 227, 332–345. [Google Scholar] [CrossRef]
- Sadeghi, H.M.; Babayan, M.; Chamkha, A. Investigation of using multi-layer PCMs in the tubular heat exchanger with periodic heat transfer boundary condition. Int. J. Heat Mass Transf. 2020, 147, 118970. [Google Scholar] [CrossRef]
- Leong, K.Y.; Rahman, M.R.A.; Gurunathan, B.A. Nano-enhanced phase change materials: A review of thermo-physical properties, applications and challenges. J. Energy Storage 2019, 21, 18–31. [Google Scholar] [CrossRef]
- Bianco, V.; De Rosa, M.; Vafai, K. Phase-change materials for thermal management of electronic devices. Appl. Therm. Eng. 2022, 214, 118839. [Google Scholar] [CrossRef]
- Javadi, F.; Metselaar, H.; Ganesan, P. Performance improvement of solar thermal systems integrated with phase change materials (PCM), a review. Sol. Energy 2020, 206, 330–352. [Google Scholar] [CrossRef]
- Khan, M.M.A.; Ibrahim, N.I.; Mahbubul, I.; Ali, H.M.; Saidur, R.; Al-Sulaiman, F.A. Evaluation of solar collector designs with integrated latent heat thermal energy storage: A review. Sol. Energy 2018, 166, 334–350. [Google Scholar] [CrossRef]
- Bondareva, N.S.; Sheremet, M.A. Conjugate heat transfer in the PCM-based heat storage system with finned copper profile: Application in electronics cooling. Int. J. Heat Mass Transf. 2018, 124, 1275–1284. [Google Scholar] [CrossRef]
- Zhao, C.; Opolot, M.; Liu, M.; Bruno, F.; Mancin, S.; Hooman, K. Numerical study of melting performance enhancement for PCM in an annular enclosure with internal-external fins and metal foams. Int. J. Heat Mass Transf. 2020, 150, 119348. [Google Scholar] [CrossRef]
- Mat, S.; Al-Abidi, A.A.; Sopian, K.; Sulaiman, M.Y.; Mohammad, A.T. Enhance heat transfer for PCM melting in triplex tube with internal–external fins. Energy Convers. Manag. 2013, 74, 223–236. [Google Scholar] [CrossRef]
- Nawsud, Z.A.; Altouni, A.; Akhijahani, H.S.; Kargarsharifabad, H. A comprehensive review on the use of nano-fluids and nano-PCM in parabolic trough solar collectors (PTC). Sustain. Energy Technol. Assess. 2022, 51, 101889. [Google Scholar] [CrossRef]
- Kok, B. Examining effects of special heat transfer fins designed for the melting process of PCM and Nano-PCM. Appl. Therm. Eng. 2020, 170, 114989. [Google Scholar] [CrossRef]
- Singh, H.; Saini, R.; Saini, J. A review on packed bed solar energy storage systems. Renew. Sustain. Energy Rev. 2010, 14, 1059–1069. [Google Scholar] [CrossRef]
- Regin, A.F.; Solanki, S.; Saini, J. Heat transfer characteristics of thermal energy storage system using PCM capsules: A review. Renew. Sustain. Energy Rev. 2008, 12, 2438–2458. [Google Scholar] [CrossRef]
- de Gracia, A.; Cabeza, L.F. Numerical simulation of a PCM packed bed system: A review. Renew. Sustain. Energy Rev. 2017, 69, 1055–1063. [Google Scholar] [CrossRef]
- Abedini-Nassab, R.; Pouryosef Miandoab, M.; Şaşmaz, M. Microfluidic synthesis, control, and sensing of magnetic nanoparticles: A review. Micromachines 2021, 12, 768. [Google Scholar] [CrossRef]
- Roy, K.; Devi, P.; Kumar, P. Magnetic-field induced sustainable electrochemical energy harvesting and storage devices: Recent progress, opportunities, and future perspectives. Nano Energy 2021, 87, 106119. [Google Scholar] [CrossRef]
- Al-Habahbeh, O.; Al-Saqqa, M.; Safi, M.; Khater, T.A. Review of magnetohydrodynamic pump applications. Alex. Eng. J. 2016, 55, 1347–1358. [Google Scholar] [CrossRef]
- Giwa, S.; Sharifpur, M.; Ahmadi, M.; Meyer, J. A review of magnetic field influence on natural convection heat transfer performance of nanofluids in square cavities. J. Therm. Anal. Calorim. 2021, 145, 2581–2623. [Google Scholar] [CrossRef]
- Sheremet, M.A.; Oztop, H.; Pop, I. MHD natural convection in an inclined wavy cavity with corner heater filled with a nanofluid. J. Magn. Magn. Mater. 2016, 416, 37–47. [Google Scholar] [CrossRef]
- Ma, Y.; Mohebbi, R.; Rashidi, M.; Yang, Z. MHD convective heat transfer of Ag-MgO/water hybrid nanofluid in a channel with active heaters and coolers. Int. J. Heat Mass Transf. 2019, 137, 714–726. [Google Scholar] [CrossRef]
- Selimefendigil, F.; Öztop, H.F. Hydro-thermal performance of CNT nanofluid in double backward facing step with rotating tube bundle under magnetic field. Int. J. Mech. Sci. 2020, 185, 105876. [Google Scholar] [CrossRef]
- Sheikholeslami, M.; Mahian, O. Enhancement of PCM solidification using inorganic nanoparticles and an external magnetic field with application in energy storage systems. J. Clean. Prod. 2019, 215, 963–977. [Google Scholar] [CrossRef]
- Kohyani, M.T.; Ghasemi, B.; Raisi, A.; Aminossadati, S. Melting of cyclohexane–Cu nano-phase change material (nano-PCM) in porous medium under magnetic field. J. Taiwan Inst. Chem. Eng. 2017, 77, 142–151. [Google Scholar] [CrossRef]
- Ghachem, K.; Selimefendigil, F.; Öztop, H.F.; Almeshaal, M.; Alhadri, M.; Kolsi, L. Effects of magnetic field, binary particle loading and rotational conic surface on phase change process in a PCM filled cylinder. Case Stud. Therm. Eng. 2021, 28, 101456. [Google Scholar] [CrossRef]
- Kakaç, S.; Pramuanjaroenkij, A. Review of convective heat transfer enhancement with nanofluids. Int. J. Heat Mass Transf. 2009, 52, 3187–3196. [Google Scholar] [CrossRef]
- Mahian, O.; Bellos, E.; Markides, C.N.; Taylor, R.A.; Alagumalai, A.; Yang, L.; Qin, C.; Lee, B.J.; Ahmadi, G.; Safaei, M.R.; et al. Recent advances in using nanofluids in renewable energy systems and the environmental implications of their uptake. Nano Energy 2021, 86, 106069. [Google Scholar] [CrossRef]
- Sheikholeslami, M.; Farshad, S.A.; Ebrahimpour, Z.; Said, Z. Recent progress on flat plate solar collectors and photovoltaic systems in the presence of nanofluid: A review. J. Clean. Prod. 2021, 293, 126119. [Google Scholar] [CrossRef]
- Hamzat, A.K.; Omisanya, M.I.; Sahin, A.Z.; Oyetunji, O.R.; Olaitan, N.A. Application of nanofluid in solar energy harvesting devices: A comprehensive review. Energy Convers. Manag. 2022, 266, 115790. [Google Scholar] [CrossRef]
- Ghasemi, K.; Tasnim, S.; Mahmud, S. PCM, nano/microencapsulation and slurries: A review of fundamentals, categories, fabrication, numerical models and applications. Sustain. Energy Technol. Assess. 2022, 52, 102084. [Google Scholar] [CrossRef]
- Elarem, R.; Alqahtani, T.; Mellouli, S.; Aich, W.; Khedher, N.B.; Kolsi, L.; Jemni, A. Numerical study of an Evacuated Tube Solar Collector incorporating a Nano-PCM as a latent heat storage system. Case Stud. Therm. Eng. 2021, 24, 100859. [Google Scholar] [CrossRef]
- Karaağaç, M.O.; Ergün, A.; Ağbulut, Ü.; Gürel, A.E.; Ceylan, I. Experimental analysis of CPV/T solar dryer with nano-enhanced PCM and prediction of drying parameters using ANN and SVM algorithms. Sol. Energy 2021, 218, 57–67. [Google Scholar] [CrossRef]
- Iachachene, F.; Haddad, Z.; Arıcı, M.; Abu-Nada, E.; Sheremet, M.A. The effect of nano encapsulated phase change materials and nanoparticles on turbulent heat transport: A conical diffuser scenario. J. Energy Storage 2022, 52, 104703. [Google Scholar] [CrossRef]
- Rostami, S.; Afrand, M.; Shahsavar, A.; Sheikholeslami, M.; Kalbasi, R.; Aghakhani, S.; Shadloo, M.S.; Oztop, H.F. A review of melting and freezing processes of PCM/nano-PCM and their application in energy storage. Energy 2020, 211, 118698. [Google Scholar] [CrossRef]
- Izadi, M.; Hajjar, A.; Alshehri, H.M.; Sheremet, M.; Galal, A.M. Charging process of a partially heated trapezoidal thermal energy storage filled by nano-enhanced PCM using controlable uniform magnetic field. Int. Commun. Heat Mass Transf. 2022, 138, 106349. [Google Scholar] [CrossRef]
- Sheikholeslami, M. Numerical simulation for solidification in a LHTESS by means of nano-enhanced PCM. J. Taiwan Inst. Chem. Eng. 2018, 86, 25–41. [Google Scholar] [CrossRef]
- Selimefendigil, F.; Öztop, H.F. Impacts of using an elastic fin on the phase change process under magnetic field during hybrid nanoliquid convection through a PCM-packed bed system. Int. J. Mech. Sci. 2022, 216, 106958. [Google Scholar] [CrossRef]
- Esfe, M.H.; Arani, A.A.A.; Rezaie, M.; Yan, W.M.; Karimipour, A. Experimental determination of thermal conductivity and dynamic viscosity of Ag–MgO/water hybrid nanofluid. Int. Commun. Heat Mass Transf. 2015, 66, 189–195. [Google Scholar] [CrossRef]
- Nallusamy, N.; Sampath, S.; Velraj, R. Experimental investigation on a combined sensible and latent heat storage system integrated with constant/varying (solar) heat sources. Renew. Energy 2007, 32, 1206–1227. [Google Scholar] [CrossRef]
- Mohammadnejad, F.; Hossainpour, S. A CFD modeling and investigation of a packed bed of high temperature phase change materials (PCMs) with different layer configurations. J. Energy Storage 2020, 28, 101209. [Google Scholar] [CrossRef]
- Cimpean, D.; Sheremet, M.; Pop, I. Mixed convection of hybrid nanofluid in a porous trapezoidal chamber. Int. Commun. Heat Mass Transf. 2020, 116, 104627. [Google Scholar] [CrossRef]
- Nield, D.; Bejan, A. Convection in Porous Media, in Convection Heat Transfer; John Wiley & Sons, Inc.: Hoboken, NJ, USA, 2013. [Google Scholar]
- COMSOL AB. Comsol User’s Guide; COMSOL AB: Stockholm, Sweden, 2018. [Google Scholar]
- Wakao, N.; Kaguei, S.; Funazkri, T. Effect of fluid dispersion coefficients on particle-to-fluid heat transfer coefficients in packed beds: Correlation of Nusselt numbers. Chem. Eng. Sci. 1979, 34, 325–336. [Google Scholar] [CrossRef]
- Nithiarasu, P.; Lewis, R.W.; Seetharamu, K.N. Fundamentals of the Finite Element Method for Heat and Mass Transfer; John Wiley & Sons: New York, NY, USA, 2016. [Google Scholar]
- Lewis, R.W.; Nithiarasu, P.; Seetharamu, K.N. Fundamentals of the Finite Element Method for Heat and Fluid Flow; John Wiley & Sons: West Sussex, UK, 2004. [Google Scholar]
- Reddy, J.N.; Gartling, D.K. The Finite Element Method in Heat Transfer and Fluid Dynamics; CRC Press: Boca Raton, FL, USA, 2010. [Google Scholar]
- Selimefendigil, F.; Öztop, H.F. Mixed convection in a PCM filled cavity under the influence of a rotating cylinder. Sol. Energy 2020, 200, 61–75. [Google Scholar] [CrossRef]
- Ghalambaz, M.; Chamkha, A.J.; Wen, D. Natural convective flow and heat transfer of nano-encapsulated phase change materials (NEPCMs) in a cavity. Int. J. Heat Mass Transf. 2019, 138, 738–749. [Google Scholar] [CrossRef]
- Sathiyamoorthy, M.; Chamkha, A. Effect of magnetic field on natural convection flow in a liquid gallium filled square cavity for linearly heated side wall(s). Int. J. Therm. Sci. 2010, 49, 1856–1865. [Google Scholar] [CrossRef]
- Cochran, R.; Horstman, R.; Sun, Y.; Emery, A. Benchmark solution for a vertical, buoyancy-assisted laminar backward-facing step flow using finite element, finite volume and finite difference methods. ASME-Publ.-HTD 1993, 258, 37. [Google Scholar]
- Dyne, B.; Pepper, D.; Brueckner, F. Mixed convection in a vertical channel with a backward facing step: A benchmark problem. ASME-Publ.-HTD 1993, 258, 49. [Google Scholar]
- Acharya, S.; Dixit, G.; Hou, Q. Laminar mixed convection in a vertical channel with a backstep: A benchmark study. ASME-Publ.-HTD 1993, 258, 11. [Google Scholar]
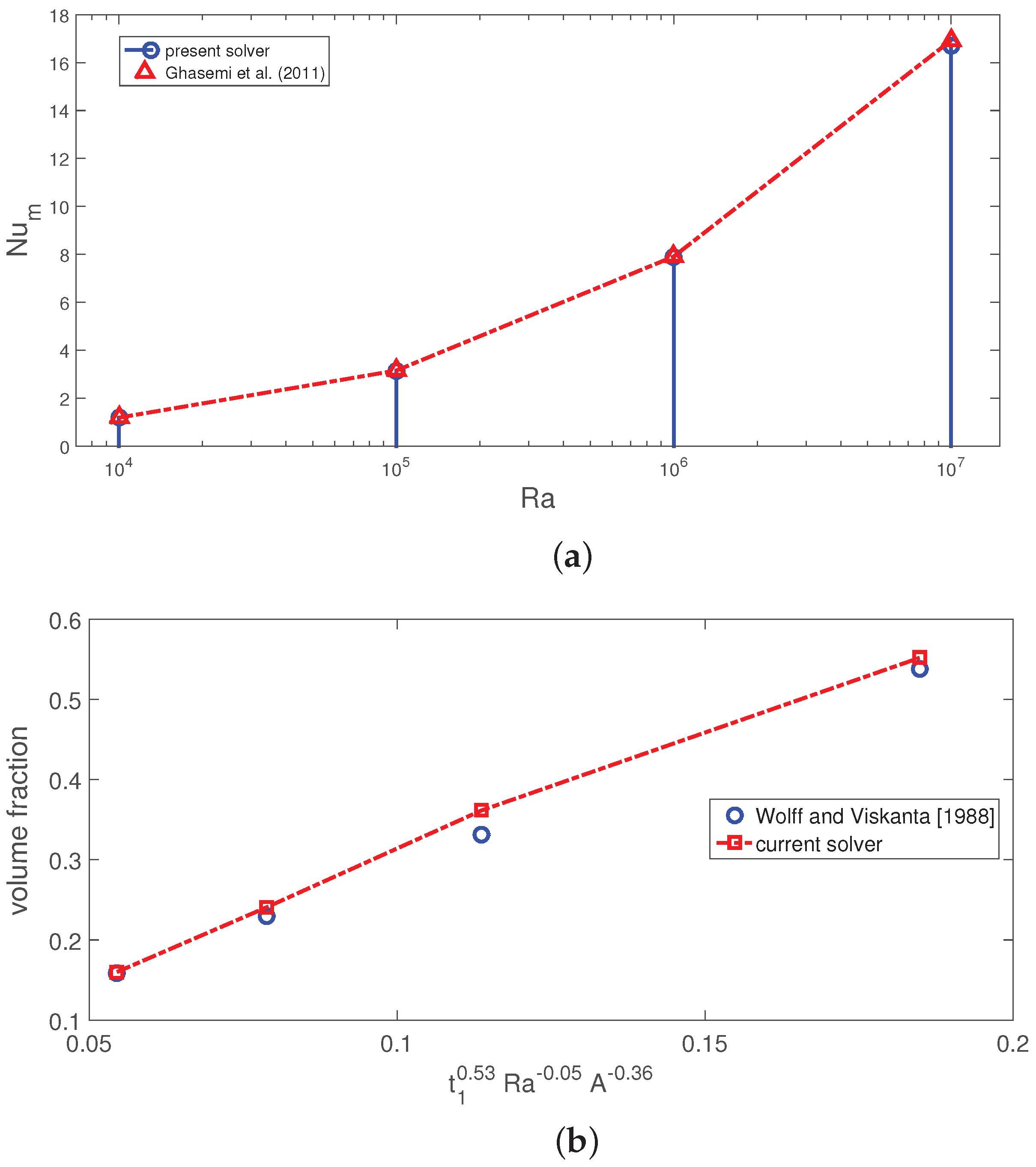
- Ghasemi, B.; Aminossadati, S.; Raisi, A. Magnetic field effect on natural convection in a nanofluid-filled square enclosure. Int. J. Therm. Sci. 2011, 50, 1748–1756. [Google Scholar] [CrossRef]
- Wolff, F.; Viskanta, R. Solidification of a pure metal at a vertical wall in the presence of liquid superheat. Int. J. Heat Mass Transf. 1988, 31, 1735–1744. [Google Scholar] [CrossRef]

















| Property | Value |
|---|---|
| Density—solid (, kg/m) | 861 |
| Density—liquid (, kg/m) | 778 |
| Specific heat—solid (C, J/kg°C) | 1850 |
| Specific heat—fluid (C, J/kg°C) | 2384 |
| Thermal conductivity—solid (k, W/m°C) | 0.40 |
| Thermal conductivity—fluid (k, W/m°C) | 0.15 |
| Melting temperature (T, °C) | 60 |
| Latent heat of fusion (L, kJ/kg) | 213 |
Publisher’s Note: MDPI stays neutral with regard to jurisdictional claims in published maps and institutional affiliations. |
© 2022 by the authors. Licensee MDPI, Basel, Switzerland. This article is an open access article distributed under the terms and conditions of the Creative Commons Attribution (CC BY) license (https://creativecommons.org/licenses/by/4.0/).
Share and Cite
Aich, W.; Selimefendigil, F.; Alqahtani, T.; Algarni, S.; Alshehery, S.; Kolsi, L. Thermal and Phase Change Process in a Locally Curved Open Channel Equipped with PCM-PB and Heater during Nanofluid Convection under Magnetic Field. Mathematics 2022, 10, 4070. https://doi.org/10.3390/math10214070
Aich W, Selimefendigil F, Alqahtani T, Algarni S, Alshehery S, Kolsi L. Thermal and Phase Change Process in a Locally Curved Open Channel Equipped with PCM-PB and Heater during Nanofluid Convection under Magnetic Field. Mathematics. 2022; 10(21):4070. https://doi.org/10.3390/math10214070
Chicago/Turabian StyleAich, Walid, Fatih Selimefendigil, Talal Alqahtani, Salem Algarni, Sultan Alshehery, and Lioua Kolsi. 2022. "Thermal and Phase Change Process in a Locally Curved Open Channel Equipped with PCM-PB and Heater during Nanofluid Convection under Magnetic Field" Mathematics 10, no. 21: 4070. https://doi.org/10.3390/math10214070
APA StyleAich, W., Selimefendigil, F., Alqahtani, T., Algarni, S., Alshehery, S., & Kolsi, L. (2022). Thermal and Phase Change Process in a Locally Curved Open Channel Equipped with PCM-PB and Heater during Nanofluid Convection under Magnetic Field. Mathematics, 10(21), 4070. https://doi.org/10.3390/math10214070

