Abstract
Accurate production efficiency evaluation can assist enterprises in adjusting production strategies, improving production efficiency, and, thereby, weakening environmental impacts. However, the current studies on production efficiency evaluation do not accurately consider interactions inside the production system in parallel production processes. Based on the concept of the manufacturing service, this paper describes the production process of a complex product system (CoPS) with a manufacturing service chain. An efficiency calculation model based on the triangular intuitionistic fuzzy number–solid waste recycling–super-efficiency data envelopment analysis (TIFN-SWR-SDEA) is proposed under the consideration of the internal parallel structure of the production system on the example of solid waste recycling. Additionally, the technique for order preference by similarity to ideal solution (TOPSIS) method and the entropy weight method were combined to determine the proportion of solid waste recycling, and an improved proposed index rank (PIR) method was employed to rank the efficiency interval results. Finally, the effectiveness and superiority of the method were verified by comparative analysis. The results show that the overall efficiency of the CoPS production system can be improved by using green manufacturing technology, increasing the recycling of renewable resources, using clean energy, and improving the utilization rate of materials in the production process.
1. Introduction
A complex product system (CoPS) is defined as a large-scale product, system, or infrastructure with high R&D cost, high technical content, single-piece or small-batch customization, and high integration [1]. The manufacturing level of CoPS is a crucial symbol reflecting a country’s comprehensive strength and plays a huge role in promoting the sustainable development of the national economy [2]. However, the manufacturing process of a CoPS is accompanied by a large amount of energy consumption, resulting in a series of environmental problems, such as noise pollution, carbon emissions, and industrial solid wastes. Improper treatment may even have a serious impact on the ecosystem [3,4,5,6,7]. How to find a balance between economic interests and environmental interests while maximizing the operational efficiency of the industrial system has become a national concern.
With the continuous improvement of environmental protection laws and regulations and the increasing awareness of environmental protection in society, the promotion of green manufacturing has become a consensus [8]. Part of the research focused on green manufacturing is on solid waste recycling and utilization [9,10]; for example, the remains of steel plates after shearing are no longer available for this process, but they can be used as raw materials for other processes after recycling. Solid waste recycling can improve the utilization rate of materials and reduce environmental pollution, but the recycling process will also lead to cost increases, secondary pollution, and other problems. Whether solid waste recycling can truly achieve green manufacturing and improve the overall efficiency of the production process must be scientifically evaluated through reasonable methods [11]. The purpose of solid waste recycling is to reduce the input of resources in the production system and the output of waste so as to optimize the production process [12]. Data envelopment analysis (DEA) is one of the most effective decision-making tools and a non-parametric system analysis method that calculates the relative effectiveness of multi-input and multi-output decision-making units (DMUs) of the same type based on linear programming [13]. The DEA method has been applied in efficiency evaluation involving recovery, for example, pollution treatment and waste disposal [14], integrated utilization of industrial solid waste systems [15], etc.; however, the evaluation framework adopted in relevant studies is not perfect enough. Compared with the original “black box” model, the existing research has introduced intermediate variables with a multi-layer network structure to build the DEA model so that the efficiency evaluation process is closer to the actual work process [16,17]. However, there are few studies on specific industrial systems such as CoPSs. The existing studies do not fully consider the interaction between parallel decision units and the uncertainty of data collected in a real environment. Therefore, relevant studies need to be deepened.
In order to evaluate the efficiency of large-scale industrial systems more pertinently, this paper has designed the internal structure of the DEA model according to the production characteristics of a CoPS. In the actual production process, the precision of processing equipment is continuously improved, and the standardization of communication interfaces between equipment is constantly promoted, forming a parallel manufacturing mode in which the core components and supporting components of the CoPS are relatively independent [18,19]. The manufacturing resources are encapsulated into manufacturing services by adopting a series of methods, such as collecting the execution data of manufacturing tasks and excavating the cooperative relationship between manufacturing resources. In this way, a stable manufacturing service cooperation system can be established and the frequency of resource reorganization is reduced, contributing to effectively improving the stability and reliability of the production process of CoPSs [20,21]. In this paper, with the described production process from the perspective of manufacturing services, the manufacturing process of CoPSs can be simplified into two parallel manufacturing service chains that represent the processing processes of core components and supporting components, respectively. This involves the processing stage and the assembly stage, with a total of four decision-making units (DMUs). The input of each DMU is mainly raw materials and the corresponding manufacturing services. Additionally, the manufacture service factor (the ratio of the actual manufacturing time needed to complete the production process to the theoretical order completion time) is introduced in this paper to analyze the manufacturing service quality, and it combines the corresponding energy consumption and the number of processing personnel to form manufacturing services to calculate the efficiency of the corresponding DMU. The output of each DMU is divided into desirable and undesirable outputs, of which the desirable output is mainly products or semi-finished products with industrial added value and the undesirable output is the environmental impact. In this paper, the corresponding amount of solid waste, noise, and carbon emissions are mainly used to calculate the efficiency of the decision-making unit regarding the environmental impact. Moreover, some solid wastes generated in the processing stage of the core components are recycled as input in the processing stage of supporting components, and some supporting components are directly used in the production of complex product systems as input in the assembly stage of core components; therefore, there are interactions between parallel DMUs. The recycling ratio of solid waste needs to be determined by expert scoring after the comprehensive consideration of various factors. In this paper, TOPSIS was combined with intuitionistic fuzzy information entropy [2] to determine the recycling proportion of the solid waste generated in the production process of core components.
Many pieces of data obtained in the actual production process are vague. For example, different workers operating the same device and processing the same workpiece are different in terms of time and energy consumption, impeding the prevention of the fuzziness of data used for efficiency evaluation [22]. Given the fuzziness of data, the combination of the fuzzy number and DEA for efficiency evaluation has been widely applied [23]. Particularly, efficiency evaluation using the combination of the triangular intuitionistic fuzzy number (TIFN) and DEA has been recognized by more and more researchers [24,25]. Compared with the traditional methods, the introduction of fuzzy numbers in the DEA model can help the model cope better with the data fluctuations caused by random situations and avoid the impact of individual differences on the efficiency evaluation results [26,27,28]. However, the efficiency results calculated by combining TIFN and DEA models are interval values and cannot be directly compared. The proposed index rank (PIR) method can be used for efficiency interval sorting [24]; however, the results of the PIR ranking method are prone to distortion when membership function α and β values are close to 1. In this paper, the PIR ranking method was improved based on the adaptability of the α and β values; it can more accurately complete efficiency interval sorting. The manufacturing service efficiency method based on fuzzy DEA can effectively avoid the impact of fuzzy data on the evaluation results and more objectively analyze the factors that affect efficiency.
To sum up, this study fills the existing research gaps in three ways. (1) Based on the production characteristics of the manufacture and assembly of CoPSs, a parallel two-stage structure DEA model considering the internal interaction of the system is proposed on the example of solid waste recycling. (2) An expert scoring method based on TOPSIS and intuitionistic fuzzy information entropy is proposed to determine the recovery value of solid waste, and an efficiency calculation of the TIFN-SWR-SDEA model is completed. (3) An improved PIR ranking method is established, which suppresses the situation where the results of the PIR ranking method are prone to distortion when membership function α and β values are close to 1. In addition, this paper proposes intervention measures for promoting the overall efficiency of CoPSs.
The remainder of this paper is organized as follows. Section 2 introduces the research status of DEA and solid waste recycling. Section 3 reviews the super-efficiency DEA model of trigonometric intuitional fuzzy numbers. Section 4 presents mathematical modeling of the fuzzy DEA-based manufacturing service efficiency evaluation and ranking approach for a parallel two-stage structure of a complex product system. Section 5 illustrates the viability of the proposed method using empirical research and analysis, and conclusions are given in Section 6.
2. Research Status
2.1. Data Envelopment Analysis
The research history of DEA can be traced back to the concept proposed by Farrell in 1957 [29]. The DEA model was formally proposed by Cooper and Charnes in 1978 [30]. DEA is mainly employed to evaluate the efficiency of DMU through known input and output data. This model is broadly used for the efficiency evaluation of the manufacturing industry [31], the banking system [17], logistics companies [23], medical institutions [24], airlines [32], and other large enterprises. The traditional DEA model only involved input and output variables. With the deepening of research, intermediate variables were introduced to build a second-order DEA model to better manage the efficiency evaluation problems in a real production process [33]. On this basis, variables such as shared input [34], undesirable output [35], and feedback input [36] were introduced, and the serial DEA model and the parallel DEA model were constructed to overcome the efficiency evaluation in more complicated cases [37,38]. Additionally, the efficiency value must be limited to [0,1] due to the constraint characteristics of traditional DEA itself. If there are multiple DMUs with an efficiency value of 1, the efficiency cannot be judged and the DMU cannot be ranked, suggesting that the traditional DEA model was deficient in discrimination [39]. Given this limitation, a super-efficiency DEA rank (SDEA) can be achieved by reducing the constraints in the original DEA and allowing the efficiency value to be higher than 1. Zhou et al. [40] established an efficiency evaluation system based on sustainable development goals under the consideration of both industrial production and environmental protection with the super-efficiency DEA model. Chen et al. [38] evaluated the research and development efficiency of China’s high-tech industry in the field of green innovation using a three-stage super-efficiency DEA model. Although there have been many relevant studies on the application of the DEA model, the existing model cannot fit the actual situation of the production process of complex product systems. Therefore, it is necessary to improve the internal network structure of the DEA model and further enhance the accuracy of efficiency evaluation with super-efficiency sequencing and other methods.
With the constant deepening of research on the DEA model, the limitations of the traditional DEA model, with the crisp value as input and output, have gradually emerged. Since it is difficult for the acquisition process of fixed values to avoid subjectivity and randomness, taking fixed values as input and output would generate evaluation errors [41]. To better fit the actual situation, many researchers have combined fuzzy sets with DEA [23,32,42], and the essence is to apply data fuzzification to DEA, among which triangle fuzzy numbers are more commonly used [43]. MR Soltani et al. [44] integrated fuzzy numbers and two-stage DEAs to build an efficiency evaluation model for the efficiency evaluation of some industrial workshops in Iran. Furthermore, researchers have revealed that intuitive fuzzy sets (IFS) can achieve better results, and DEA research based on intuitionistic fuzzy numbers has become a hot spot for DEA problems at the present stage [45,46,47]. The acquisition of some data in the production process of complex product systems has difficulties in avoiding subjectivity and randomness. Based on the production process of the parallel manufacturing of complex product systems, a new DEA model internal structure was established. Meanwhile, the triangular intuitionistic fuzzy number was introduced for data processing to solve the issue that the existing research was insufficient for the efficiency evaluation of parallel manufacturing processes.
2.2. Solid Waste Recycling
Complex product systems are not only the heart of industries and the lifeline of the national economy but also an essential foundation to support comprehensive national strength. However, the traditional manufacturing production mode with “high input, high pollution, and low output” has placed enormous pressure on environmental protection. With the development and progress of manufacturing, more and more countries have begun to invest a lot of energy in researching green manufacturing technology [48]. Some achievements have been made in related research. For example, the research conducted by the Institute of Environmental Sciences of Leiden University in the Netherlands shows that the implementation of green manufacturing has made a great contribution to the ecological environment [49]. Eco Design and IEEE have performed several studies on green manufacturing to explore how to solve the problem between the development of the manufacturing industry and environmental protection using green manufacturing technology [50]. Part of the research focused on green manufacturing is on solid waste recycling and utilization, which can significantly improve the utilization rate of resources and reduce environmental pollution.
Industrial solid waste refers to the by-products and residues produced in the industrial production or auxiliary processing process and wastes of a process that are not available for the process but can be effectively recycled and used in other processes [51]. Ali et al. [52] suggested that the direct reuse of iron and steel materials is superior to recovery and utilization through smelting for both the environment and the economy. The Center for Sustainable Design in the UK conducted in-depth research on the sustainable use of products and proposed that enterprises could improve resource utilization rates by constructing a sustainable recycling system [53]. MIT has performed a series of studies on waste recycling systems, product recycling, and remanufacturing, verifying that waste recycling and reuse could effectively improve the resource utilization rate and reduce environmental pollution from multiple perspectives [54]. There are large amounts and various types of solid waste generated in the production of core components of complex product systems. Therefore, the recycling proportion of available solid waste should be determined by experts based on the waste situation and the technical, economic, and resource–environmental characteristics of recycling treatments. However, experts’ decision-making opinions have been vague and hesitant to some extent. The technique for order preference by similarity to ideal solution (TOPSIS) method can be used to solve such problems [55,56]. Moreover, the role of solid waste recycling and utilization in the manufacturing process of complex product systems can be analyzed to improve the efficiency of manufacturing services and promote enterprises to strengthen the recycling and utilization of resources.
At present, parallel manufacturing is widely used in the production process of complex product systems to improve production efficiency, and green manufacturing technology has been gradually applied. Nevertheless, there has been little research on the evaluation of the parallel manufacturing efficiency of complex product systems combined with solid waste recycling. In this paper, a new DEA network structure is constructed based on the production practice of complex product systems, and then the manufacturing service efficiency of complex product systems is evaluated by combining fuzzy numbers and solid waste recycling and utilization.
3. Basic Definitions
The super-efficiency DEA model of TIFN, is the DEA model introducing the TIFN was used to evaluate efficiency, allowing the efficiency value to be higher than 1. Firstly, the TIFN of relevant data should be obtained. Then, α-cut and β-cut methods were employed to cut the membership and non-membership functions, respectively, to obtain the fuzzy interval of the variables. Finally, the DEA model was adopted to calculate efficiency.
The TIFN of relevant data is , satisfying the conditions , . Moreover, α-cut and β-cut methods were employed to cut the input (input variates) and output (output variates) of TIFN, respectively; α-cut and β-cut were adopted to cut the membership function and non-membership function, respectively. After truncation, the fuzzy interval of the relevant variables is:
After set cutting with α-cut and β-cut, the fuzzy interval of relevant variables was substituted into the DEA model for calculation. The calculation method of the efficiency interval based on the α-cut method is expressed in Equation (2):
where denotes the non-Archimedean infinitesimal constant; uijo and vrjo indicate the weights of fuzzy input and fuzzy output, respectively. Jo is regarded as being the evaluation DMUo. Due to the introduction of fuzzy numbers, the calculated efficiency result becomes fuzzy, and the final efficiency result is the interval value.
4. Mathematical Modeling
4.1. Problem Description
The manufacturing process of complex product systems can be simplified to two parallel manufacturing service chains containing the machining stage and the assembly stage for the production of core components and supporting components. Among them, part of the solid waste generated in the processing stage of core components is employed as raw materials in the processing stage of supporting components, while a part of the supporting components and core components is assembled to become the finished product of complex product systems. In other words, there is an interaction between the manufacturing processes in parallel. The production efficiency evaluation of complex product systems should be based on the actual situation of the interaction between parallel manufacturing processes. Concurrently, the uncertainty of data acquisition and the influence of solid waste recycling on the efficiency evaluation results should be fully considered. In this paper, the parallel manufacturing service efficiency of complex product systems considering solid waste recycling is evaluated through the following steps:
(1) Data acquisition and fuzzy processing. The actual production data of complex product system manufacturing enterprises were collected and sorted out, and fuzzy processing was conducted.
(2) Solid waste recycling evaluation. Experts were organized to score the solid waste generated in the processing stage of core components, and the TOPSIS method was used to calculate the recycling ratio of solid waste according to the scores.
(3) Efficiency calculation. The established triangular intuitionistic fuzzy number–solid waste recycling–super-efficiency data envelopment analysis (TIFN-SWR-SDEA) model was used to calculate the efficiency.
(4) Efficiency ranking. An improved proposed index rank (PIR) method was used to rank efficiency according to the obtained efficiency interval.
The evaluation process of the parallel manufacturing service efficiency of complex product systems considering solid waste recycling is presented in Figure 1.
Figure 1.
The evaluation process of parallel manufacturing service efficiency of a complex product system considering solid waste recycling.
The evaluation of the parallel manufacturing service efficiency of complex product systems considering solid waste recycling is expressed in Equation (3). Suppose A = {A1,A2,…AK} is the decision unit set, C = {C1,C2,…,CQ} is the attribute set, and Cq = {Xq,Yq},q = 1,…,Q. Xq is the input variable of the qth processing stage, and Yq is the output variable of the qth processing stage. S = {S1,S2,…,SQ} is the processing stage set. The weight of each processing stage is w = {w1, w2, …, wQ}, where . indicates the index of decision-making unit Ak when it is in the processing stage Sq, and its attribute is Cq.
The meanings of the main parameters used in this paper are exhibited in Table 1.
Table 1.
Main parameters.
4.2. Solid Waste Recycling Evaluation
Large amounts of solid waste are generated during the production of core components of complex product systems, part of which can be recycled and reused in the production of supporting components. The recycling ratio needs to be determined by expert scoring after the comprehensive consideration of various factors. Nonetheless, expert decision-making opinions are fuzzy and hesitant to some extent. In this paper, TOPSIS is combined with intuitionistic fuzzy information entropy [2] to determine the recycling proportion of the solid waste generated in the production process of core components, and the specific steps are:
(1) Expert scores are collected and expressed in the form of the intuitive fuzzy number, as exhibited in Table 2. [udc, vdc] represents intuitive fuzzy information given by experts on the score value of solid waste Ad generated in the manufacturing process of core components, where udc and vdc denote the membership degree and the non-membership degree, respectively.
Table 2.
Intuitionistic fuzzy decision information table of solid waste recycling.
(2) The entropy weight method is extended to the intuitive fuzzy environment to determine the attribute weight wd of the evaluation index Ad of solid waste recycling, as expressed in Equation (4). H ([udc,vdc]) denotes the information entropy, and fdc represents the mutual weight between indexes.
(3) Positive ideal solution F+ and negative ideal solution F- are calculated. In Equations (7) and (8), it is assumed that there are two intuitionistic fuzzy numbers a = (ua, va) and b = (ub, vb), and the corresponding intuitionistic fuzzy entropy is H(a) and H(b). If H(a) < H(b), a > b; if H(a) > H(b), a < b.
(4) The distances from each decision-making index to the positive ideal solution and the negative ideal solution are calculated.
where , , .
(5) The relative closeness degree is calculated, and the ranking is completed. The higher the value, the higher the ranking.
(6) The recycling ratio of solid waste generated in the production of core components of complex product systems is obtained from Table 3.
Table 3.
Comparison table of TOPSIS method score and solid waste recycling ratio.
The selection of the reused solid waste is introduced in Algorithm 1, where the input is regarded as the variate of solid waste and the output belongs to the variate of the reused solid waste. Under the consideration of the working experiment, the variate of solid waste is analyzed and evaluated by experts and each expert would give fuzzy membership scores [udc, vdc] to each variate . The scores would be calculated and ranked by TOPSIS with intuitionistic fuzzy information entropy. The rank result of scores would correspond to the value of the reused solid waste .
| Algorithm 1: selection of the reuse solid waste |
|
|
|
|
|
|
|
|
|
|
|
|
|
|
|
|
|
|
|
|
4.3. Calculation of Parallel Manufacturing Service Efficiency
The parallel manufacturing service efficiency of complex product systems considering solid waste recycling and reuse based on the intuitionistic fuzzy super-efficiency DEA is illustrated in Figure 2. The manufacturing process of complex product systems can be simplified as two parallel manufacturing service chains that represent the processing process of core components and supporting components, respectively. This involves the processing stage and the assembly stage, with a total of four decision-making units (DMUs). The input of each DMU is mainly raw materials and the corresponding manufacturing services. Additionally, the manufacturing service factor (the ratio of the actual manufacturing time needed to complete the production process to the theoretical order completion time) is introduced in this paper to analyze the manufacturing service quality. Then, the efficiency of the corresponding decision-making unit is calculated by combining the corresponding energy consumption and the number of processing personnel. In this way, the accuracy of the model is guaranteed. The output of each DMU is mainly products with industrial added value and environmental impact. In this paper, the corresponding amount of solid waste, noise, and carbon emissions are mainly used to calculate the efficiency of the decision-making unit regarding the environmental impact. Moreover, some solid wastes generated in the processing stage of core components are recycled as input in the processing stage of supporting components, and some supporting components are directly used in the production of complex product systems as input in the assembly stage of core components.
Figure 2.
Structure of the TIFN-SWR-SDEA model.
Based on the parallel manufacturing process of the complex product system, a super-efficiency DEA model was established under the consideration of solid waste recycling and reuse. Then, TIFN was introduced to avoid the impact of related data uncertainties on efficiency evaluation results. As suggested by the model structure in Figure 2, a new TIFN-SWR-SDEA model was established to calculate the parallel manufacturing service efficiency of the complex product system with solid waste recycling and reuse.
In the TIFN-SWR-SDEA model, there are three kinds of variates under consideration: the inputs, the desirable outputs, and the undesirable outputs. The detailed examples in the main manufacturing stage (I) are as follows: (1) The inputs X: the raw materials and the manufacturing services; (2) the desirable outputs Ydesirable: the parts, reuse, and solid waste; (3) the undesirable outputs Yundesirable: the environmental impact.
Each DEA model without a fuzzy number is established by Equation (12), which can fully explain the relationships between the inputs and the desirable/undesirable outputs.
Additionally, the DEA model with TIFN (triangular intuitionistic fuzzy number) is established by Equations (1) and (2) based on Equation (12). Then, the fuzzy/interval efficiency score can be calculated using Equations (1) and (2) from the variates with TIFN. The calculation method of the other stage is similar to stage (I) of the TIFN-SWR-SDEA model.
The minimum efficiency of the core component based on the α-cut method in the processing stage is:
The minimum efficiency of the core component based on the α-cut method in the assembly stage is:
The minimum efficiency of the supporting component based on the α-cut method in the processing stage is:
The minimum efficiency of the supporting component based on the α-cut method in the assembly stage is:
The total minimum efficiency based on the α-cut method is:
The process of calculating the minimum efficiency of the TIFN-SWR-SDEA model with the α-cut method is presented in Equations (13)–(17). Firstly, the minimum efficiencies , , , and of each DMU are calculated by the α-cut method. Secondly, the minimum efficiency of the total is obtained by the weighted sum of the minimum efficiency of each DMU. The calculation method of maximum efficiency based on the α-cut method is detailed below.
The maximum efficiency of the core component based on the α-cut method in the processing stage is:
The maximum efficiency of the core component based on the α-cut method in the assembly stage is:
The maximum efficiency of the supporting component based on the α-cut method in the processing stage is:
The maximum efficiency of the supporting component based on the α-cut method in the assembly stage is:
The total maximum efficiency based on the α-cut method is:
The process of using the α-cut method to calculate the minimum and maximum efficiencies of the TIFN-SWR-SDEA model is written in Equations (13)–(22). The efficiency interval calculated by the α-cut method is obtained. Similarly, the corresponding efficiency interval is obtained with the β-cut method.
The efficiency measurement progresses in the stage of main manufacturing under the fuzzy DEA α-cut is shown in Algorithm 2. Use Algorithm 2 to complete the efficiency measurement. As Equation (23) expresses, the inputs are , . The desirable outputs are , . The undesirable output is .
Between Steps 6 to 13 of the raw pseudo-codes in Algorithm 2 are the details of the function lingprog (linear programming function in Matlab software), which can use linear programming in Matlab to search for optimal solutions.
| Algorithm 2: stage of main manufacturing of DEA efficiency measurement under α-cut |
|
|
|
|
|
|
|
|
|
|
|
|
|
|
|
|
The calculation of the minimum efficiency of the fuzzy model under α-cut is shown in Algorithm 3. When minimum efficiencies at each stage (main manufacturing stage, main assembly stage, secondary manufacturing stage, secondary assembly stage) are obtained, the whole minimum efficiency of each manufacturing team is calculated by each efficiency and those weights, which is explained in Equation (17).
| Algorithm 3: Calculating minimum efficiency of the model under α-cut |
|
|
|
|
|
|
|
|
|
4.4. Efficiency Ranking
The efficiency results calculated by the TIFN-SWR-SDEA model were interval values, which cannot be directly compared. Some researchers have studied the ranking method of efficiency interval [24,32,42,57]. The PIR ranking method [24] considers not only membership degree, non-membership degree, and efficiency loss but also the efficiency loss value of each α and β. However, the results of the PIR ranking method are prone to distortion when α and β values are close to 1. In this paper, the efficiency values when α and β values are 1 are ignored, and the PIR ranking method was improved based on the adaptability of α and β values for the efficiency ranking of the calculated results of the TIFN-SWR-SDEA model. The specific steps are:
(1) The order value of α-cut is calculated. Assuming that and , for any , and . Then, the order value based on α-cut can be defined as:
(2) The order value of β-cut is calculated. Assuming that and , for any , and . Then, the order value based on β-cut can be defined as:
(3) The composite index (CI) is calculated. According to the calculation results of Equations (20) and (21), it can be calculated from Equation (22) that and = 0.5. The efficiency ranking can be completed according to the CIj value. The higher the CIj value, the higher ranking of the corresponding efficiency interval.
5. Empirical Research and Analysis
With the manufacturing process data of multiple complex product systems as an example, the effectiveness of the proposed TIFN-SWR-SDEA model was verified through comparison. The parallel manufacturing service efficiency of complex product systems considering solid waste recycling and reuse was further analyzed and discussed with the proposed method based on the intuitionistic fuzzy super-efficiency DEA.
5.1. Comparison of Algorithms
In this section, 28 groups of production process data of large-scale cement engineering system providers in Tangshan are compared and analyzed, as described in Appendix A, Appendix B, Appendix C and Appendix D. The production process data of each product can be integrated into four main processes: the core component processing stage, the core component assembly stage, the supporting component processing stage, and the supporting component assembly stage.
The triangular intuitionistic fuzzy number–super -efficiency data envelopment analysis (TIFN-SDEA) model without considering the parallel structure and the proposed TIFN-SWR-SDEA model were adopted to calculate the efficiency of the production process data of the three groups of complex product systems randomly selected in Appendix A, Appendix B, Appendix C and Appendix D. The efficiency score of every efficiency calculation stage is listed in Table 4 and Table 5.
Table 4.
Efficiency evaluation results of the TIFN-SDEA model.
Table 5.
Efficiency evaluation results of the TIFN-SWR-SDEA model.
The comparison of calculation results between the TIFN-SDEA model without considering parallel structure and the TIFN-SWR-SDEA model proposed in this paper for the production process data of the fifth complex product system is illustrated in Figure 3 and Figure 4.
Figure 3.
Comparison of efficiency calculation results of the α-cut method between the TIFN-SDEA model and the TIFN-SWR-SDEA model.
Figure 4.
Comparison of efficiency calculation results of the β-cut method between the TIFN-SDEA model and the TIFN-SWR-SDEA model.
The comparison results demonstrate that the TIFN-SDEA model, which neglects the parallel structure and solid waste recycling, has an imperfect internal structure and does not fully consider the internal process of the production process of complex product systems, resulting in a significant deficiency in efficiency evaluation. The TIFN-SWR-SDEA model proposed in this paper is more suitable for the actual production situation, presenting more accurate efficiency calculation results.
5.2. Analysis and Discussion
Based on the TIFN-SWR-SDEA model, the proposed parallel manufacturing service efficiency calculation method of the complex product system under the consideration of solid waste recycling and reuse based on intuitionistic fuzzy super-efficiency DEA was employed to evaluate the efficiency of the production process of the complex product system, as introduced in Appendix A, Appendix B, Appendix C and Appendix D. The calculation results of the improved PIR ranking method are presented in Table 6.
Table 6.
Calculation results of the improved PIR ranking method for 28 groups of complex product systems.
According to the efficiency interval obtained by the TIFN-SWR-SDEA model, the improved PIR ranking method was adopted to rank efficiency, as illustrated in Figure 5. The results of the graph suggest that Group 3 has the highest composite index value, namely, the highest efficiency ranking; Group 2 has the lowest composite index value and efficiency ranking.
Figure 5.
Total efficiency ranking information graph.
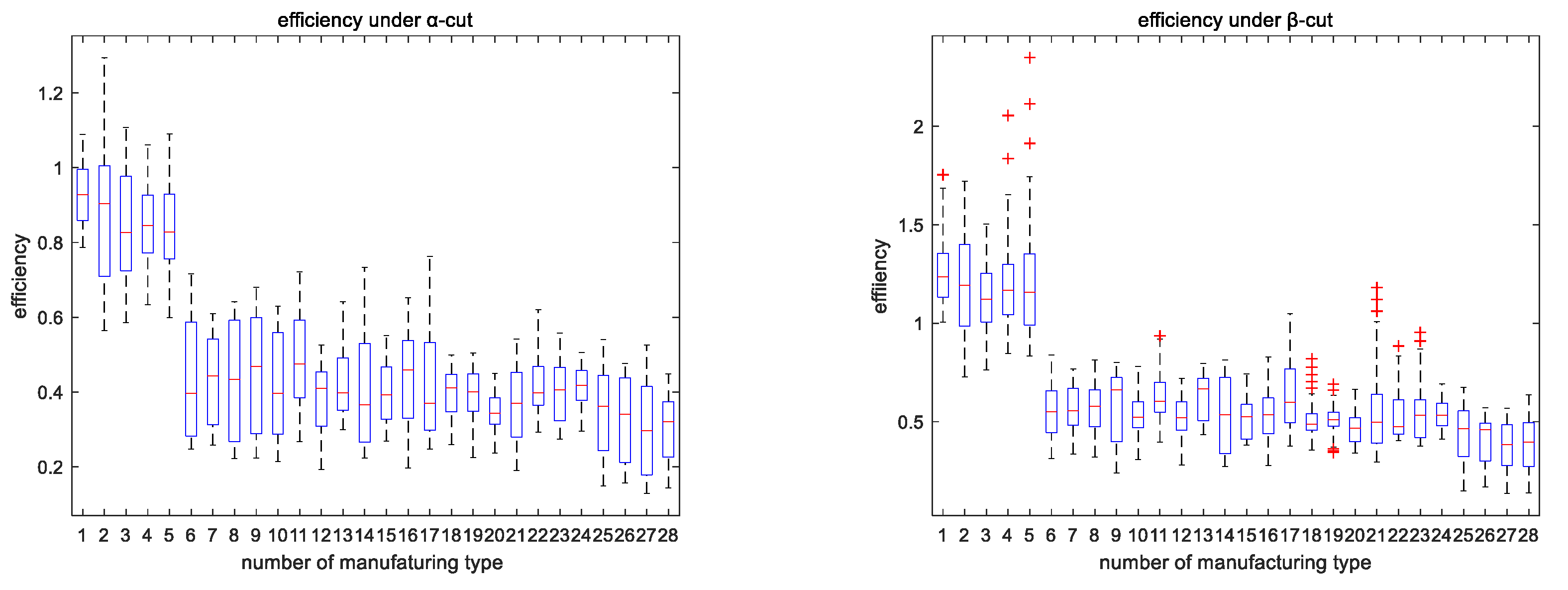
With the TIFN-SWR-SDEA model, the α-cut and β-cut methods were used to calculate the minimum and maximum efficiencies in each manufacturing stage of the production process of 28 groups of complex product systems in Appendix A, Appendix B, Appendix C and Appendix D (Figure 6 and Figure 7). Those figures in Figure 6 are able to show the minimum and maximum efficiency of manufacturing type in all stages under α-cut. In Figure 6a,c,e,g, the minimum efficiency of manufacturing in stage-1, 2, 3, 4 under α-cut. In Figure 6b,d,f,h, the maximum efficiency of manufacturing in stage-1, 2, 3, 4 under α-cut. For example, in Figure 6a, shown the value of α-cut is in the horizontal coordinate and the info of manufacturing type is in the vertical coordinate. The different colors can reflect different efficiency, and the brighter colors can reflect higher efficiency. Similarly, those figures in Figure 7 are able to show the minimum and maximum efficiency of manufacturing type in all stages under β-cut.

Figure 6.
Minimum (a,c,e,g) and maximum (b,d,f,h) efficiencies of manufacturing type in all stages under α-cut.

Figure 7.
Minimum (a,c,e,g) and maximum (b,d,f,h) efficiencies of manufacturing type in all stages under β-cut.
It can be observed that the efficiency value calculated in some manufacturing stages exceeds 1 due to the use of the super-efficiency model. The minimum and maximum efficiency values calculated by the α-cut and β-cut methods are high when α and β select an edge value, such as 0 and 1. This affects the calculation of the final efficiency value. The efficiency of the production process of complex product systems in Groups 1–5, calculated by α-cut and β-cut, is higher than that of other groups. However, the efficiency ranking of Group 2 is the lowest (Figure 8), implying that the improved PIR ranking method had a good filtering effect on the final efficiency ranking results, better than the past research study when α and β selected an edge value.
Figure 8.
The box-plot graphs of efficiency of all manufacturing types under α, β-cut.
Based on the TIFN-SWR-SDEA model, the α-cut and β-cut methods were employed to calculate the total efficiency of the production process of 28 groups of complex product systems in Appendix A, Appendix B, Appendix C and Appendix D (Figure 8). According to the analysis, the recycling of solid waste in the production process can significantly improve production efficiency, and at the same time, energy consumption should be reduced as much as possible, the environmental impact should be reduced, and the utilization rate of raw materials should be improved. The TIFN-SWR-SDEA model proposed in this paper can be used to accurately calculate the efficiency interval in the case of interaction in a parallel manufacturing process.
5.3. Improvement Recommendations
The goal of complete efficiency evaluation is learning from the characteristics of CoPS manufacturing and increasing process efficiency through improvement recommendations. As a primary priority, these manufacturing services in CoPSs ought to consider some strategies of the prioritization scheme and must go across two steps: (1) effective score evaluation and (2) manufacturing adjustment. When the evaluation is completed, the corresponding manufacturers can improve their efficiency scores according to the evaluation results. According to an analysis of the calculation results in this paper, (1) the proportion of solid waste recycling in Group 16 is higher than that in Group 15 and Group 17 and the overall efficiency of Group 16 is higher than that in Group 15 and Group 17 when other data are similar, indicating that solid waste recycling has a very positive impact on improving the overall efficiency of CoPS production systems. (2) The carbon emission of Group 2 is significantly higher than that of Group 1 and Group 3; its final overall efficiency is also the lowest, indicating that excessive carbon emissions will significantly reduce the overall efficiency of CoPSs. (3) The ratio of final products to raw materials in Group 25 is very high, that is, the same raw materials can produce significantly more products; the final efficiency is also higher than in Group 14 and Group 27, indicating that higher material utilization is conducive to improving the overall efficiency of CoPSs.
The main improvement recommendations for strengthening the manufacturing efficiency score of CoPSs can be presented in three ways: First, since the system of evaluation consists of the inputs variable and the outputs variable, the direct ways to improve the score are by minimizing inputs and maximizing outputs. Second, the variables in algorithm procedures are represented by triangle intuitionistic fuzzy numbers to avoid deviations and errors from data collection and method calculation; therefore, decreasing the fuzzy ranges and providing more exact manufacturing information can have a positive impact on the scope. Third, solid waste recycling work plays a key role in parallel manufacturing service efficiency, which is a significant approach in the improvement recommendations. Effectively, both decreasing solid waste and increasing reliable recycling can create remarkable states of positive manufacturing, i.e., making a hefty profit, processing green products, minimizing energy utility, etc.
6. Conclusions
This study presents a fuzzy DEA-based manufacturing service efficiency evaluation and ranking approach for a parallel two-stage structure of complex product systems. First, the TIFN-SWR-SDEA model was established with the interaction of parallel manufacturing processes such as solid waste recycling and utilization in the production process of complex product systems. Second, since the solid waste recycling ratio in the model is decided by expert decision-making, it inevitably has fuzziness and hesitation; the TOPSIS method was combined with the entropy weight method to process the result of expert scoring. Third, an improved PIR method was proposed for efficiency ranking when the efficiency values calculated by the model were difficult to rank. The algorithm proposed in this paper was applied to empirical study and analysis and the calculation results meet the theoretical expectations, indicating that this method is effective.
The academic contributions of this paper include the following aspects: a parallel two-stage DEA structure model considering the interaction within the system on the example of solid waste recycling is proposed to describe the production process from the perspective of manufacturing services, and the established model better reflects the production process of CoPSs. The established model can also better reflect the operation process of large-scale industrial systems. The use of fuzzy numbers reduces the influence of random conditions on the evaluation results and better describes the actual production process. The TOPSIS method was combined with the entropy weight method to process the result of expert scoring, using scientific methods to deal with the score of the joint influence of various uncertainty factors, which can well determine the recovery value of solid waste and solve the problem of processing part of the data. The PIR method was improved to suppress the distortion of ranking results when the memberships of α and β approached 1, achieving the accurate ranking of efficiency intervals. The above research provides a valuable reference for similar research.
We propose the following improvements for CoPS manufacturers: (1) The use of green manufacturing technology in the production process to increase the recycling of renewable resources has a very positive impact on improving the overall efficiency of the CoPS (such as the recycling of solid waste, water, and heat energy). (2) Use more clean energy, such as solar energy, wind energy, and water energy, reduce the use of fossil fuels, and use energy-saving and emission-reduction technologies in the production process to reduce carbon emissions in the production process, all of which are conducive to improving the overall efficiency of CoPSs. (3) During the manufacturing process, more advanced equipment should be used to reduce the defective rate and the generation of waste as much as possible, reduce the generation of waste and by-products using reasonable design, and improve the utilization rate of materials, all of which are conducive to improving the overall efficiency of the CoPSs.
Regarding the research of this paper, after fully considering the characteristics of CoPSs, it is very important to design the internal structure of the DEA model for efficiency evaluation. Therefore, the structure and interaction of the efficiency evaluation model, such as series, parallel, and feedback, should be comprehensively considered in future studies based on an actual production process to establish an efficiency evaluation model for improving the accuracy of efficiency evaluation.
Author Contributions
Conceptualization, Z.Y. and S.G.; Methodology, H.T.; Software, T.T.; Validation, Z.Y., S.G., and H.T.; Formal Analysis, L.H.; Investigation, B.D.; Resources, S.G.; Data Curation, T.T.; Writing—Original Draft Preparation, Z.Y.; Writing—Review and Editing, S.G and H.T.; Visualization, T.T.; Supervision, S.G. All authors have read and agreed to the published version of the manuscript.
Funding
This research was supported by the National Natural Science Foundation of China (No. 52075401; 51705386).
Institutional Review Board Statement
Not applicable.
Informed Consent Statement
Not applicable.
Data Availability Statement
Not applicable.
Conflicts of Interest
The authors declare no conflict of interest.
Appendix A. Production Process Data of Complex Product Systems—The Core Component Processing Stage
| Serial Number | Raw Materials (t) | Manufacturing Services | Industrial Added Value (Ten Thousand Yuan) | Environmental Impact | Available Solid Waste (t) | ||||
| Energy Consumption (kW·h) | Technical Staff | Manufacture Service Factor | Solid Waste (t) | Average Noise (dB) | Carbon Emission (kg) | ||||
| 1 | (558.62, 600.00, 638.10; 436.68, 600.00, 759.22) | (1054.40, 1100.00, 1168.40; 875.90, 1100.00, 1290.59) | (18, 20, 23; 12, 20, 26) | (0.54, 0.60, 0.71; 0.53, 0.60, 0.72) | (748.75, 800.00, 831.78; 653.31, 800.00, 840.18) | (58.60, 60.00, 64.37; 55.99, 60.00, 65.20) | (62.36, 65.00, 68.60; 58.86, 65.00, 70.38) | (793.60, 831.49, 912.93; 665.08, 831.49, 1035.25) | (14.47, 15.00, 15.85; 14.06, 15.00, 16.41) |
| 2 | (593.91, 640.48, 652.50; 496.15, 640.48, 819.16) | (949.28, 1030.86, 1087.85; 808.53, 1030.86, 1252.95) | (15, 18, 22; 13, 18, 27) | (0.61, 0.66, 0.76; 0.55, 0.66, 0.81) | (658.46, 730.54, 801.43; 624.81, 730.54, 770.92) | (62.70, 65.00, 68.84; 59.73, 65.00, 71.05) | (66.36, 67.83, 73.26; 63.21, 67.83, 74.15) | (760.41, 779.22, 846.44; 588.84, 779.22, 931.75) | (18.32, 19.18, 20.58; 17.43, 19.18, 21.05) |
| 3 | (539.36, 560.49, 605.71; 447.83, 560.49, 669.69) | (918.33, 990.63, 992.38; 751.99, 990.63, 1232.81) | (19, 23, 27; 18, 23, 31) | (0.56, 0.60, 0.71; 0.53, 0.60, 0.75) | (747.64, 818.57, 840.74; 700.85, 818.57, 867.55) | (61.50, 63.86, 68.24; 57.67, 63.86, 69.90) | (62.14, 64.82, 68.92; 60.97, 64.82, 70.73) | (698.09, 748.82, 815.72; 576.33, 748.82, 890.66) | (15.29, 16.09, 17.00; 14.53, 16.09, 17.66) |
| 4 | (624.32, 636.24, 693.59; 464.45, 636.24, 775.18) | (1015.50, 1082.26, 1109.36; 848.87, 1082.26, 1259.85) | (15, 17, 22; 11, 17, 24) | (0.62, 0.66, 0.76; 0.53, 0.66, 0.84) | (712.36, 787.74, 846.77; 634.97, 787.74, 805.06) | (61.89, 63.56, 68.43; 57.53, 63.56, 68.80) | (66.50, 68.79, 73.53; 63.41, 68.79, 75.03) | (802.14, 818.08, 849.63; 653.06, 818.08, 970.16) | (14.48, 15.01, 16.06; 13.92, 15.01, 16.38) |
| 5 | (569.76, 617.54, 673.64; 492.57, 617.54, 733.12) | (1133.50, 1150.46, 1215.01; 880.58, 1150.46, 1376.74) | (16, 17, 18; 9, 17, 27) | (0.61, 0.65, 0.77; 0.56, 0.65, 0.83) | (728.03, 787.74, 852.94; 648.50, 787.74, 847.93) | (59.10, 62.18, 66.38; 58.31, 62.18, 67.89) | (57.96, 60.23, 64.65; 55.68, 60.23, 65.11) | (812.12, 869.64, 869.79; 685.39, 869.64, 1042.57) | (14.99, 15.53, 16.52; 14.15, 15.53, 17.06) |
| 6 | (881.10, 900.00, 969.23; 700.10, 900.00, 1124.77) | (3183.74, 3300.00, 3441.52; 2496.22, 3300.00, 3838.92) | (39, 40, 41; 33, 40, 47) | (0.64, 0.70, 0.81; 0.60, 0.70, 0.85) | (1036.26, 1100.00, 1209.78; 939.08, 1100.00, 1112.64) | (47.94, 50.00, 52.69; 46.38, 50.00, 54.69) | (75.20, 78.00, 83.14; 73.62, 78.00, 85.07) | (2316.08, 2494.47, 2620.66; 1933.06, 2494.47, 3097.97) | (33.94, 35.00, 37.35; 32.24, 35.00, 37.94) |
| 7 | (906.61, 970.39, 977.13; 713.46, 970.39, 1201.86) | (3039.59, 3040.11, 3269.90; 2330.11, 3040.11, 3550.42) | (40, 41, 43; 33, 41, 49) | (0.72, 0.76, 0.89; 0.64, 0.76, 0.93) | (1073.94, 1157.23, 1214.81; 1004.98, 1157.23, 1245.07) | (50.79, 52.41, 56.20; 49.26, 52.41, 56.71) | (67.69, 70.74, 76.12; 65.13, 70.74, 77.31) | (2163.59, 2298.02, 2362.45; 1726.91, 2298.02, 2704.68) | (31.84, 33.25, 35.15; 30.43, 33.25, 36.56) |
| 8 | (888.38, 984.22, 1023.65; 780.64, 984.22, 1174.08) | (2940.28, 3011.81, 3247.64; 2356.57, 3011.81, 3599.13) | (40, 44, 48; 37, 44, 50) | (0.72, 0.76, 0.86; 0.63, 0.76, 0.98) | (1067.69, 1172.68, 1276.57; 1017.31, 1172.68, 1223.43) | (48.12, 49.66, 52.35; 46.76, 49.66, 53.80) | (74.90, 78.41, 82.67; 74.48, 78.41, 86.16) | (2111.32, 2276.63, 2369.84; 1750.88, 2276.63, 2834.28) | (36.17, 37.94, 40.71; 35.39, 37.94, 41.19) |
| 9 | (921.07, 981.63, 1064.33; 780.73, 981.63, 1177.52) | (3734.77, 3739.58, 3772.97; 2983.21, 3739.58, 4432.96) | (31, 35, 39; 29, 35, 41) | (0.67, 0.72, 0.84; 0.63, 0.72, 0.89) | (999.65, 1082.38, 1109.18; 892.11, 1082.38, 1135.22) | (49.60, 52.05, 55.95; 47.26, 52.05, 56.79) | (82.57, 85.67, 91.35; 77.57, 85.67, 93.96) | (2730.46, 2826.75, 2856.52; 2208.78, 2826.75, 3276.92) | (40.18, 41.80, 43.95; 38.28, 41.80, 45.72) |
| 10 | (814.52, 899.26, 981.40; 648.79, 899.26, 1119.42) | (3116.38, 3254.09, 3527.87; 2495.83, 3254.09, 3820.65) | (40, 44, 49; 37, 44, 50) | (0.74, 0.78, 0.91; 0.66, 0.78, 0.96) | (1027.47, 1096.77, 1194.50; 933.03, 1096.77, 1161.50) | (45.01, 47.05, 49.94; 43.79, 47.05, 51.18) | (78.13, 79.98, 85.29; 73.71, 79.98, 87.86) | (2402.05, 2459.76, 2504.30; 1882.33, 2459.76, 2981.80) | (28.45, 29.11, 30.95; 27.35, 29.11, 31.85) |
| 11 | (701.67, 750.00, 822.25; 586.59, 750.00, 881.53) | (2381.40, 2500.00, 2643.42; 1903.19, 2500.00, 2925.60) | (31, 35, 38; 30, 35, 45) | (0.61, 0.65, 0.75; 0.54, 0.65, 0.83) | (948.91, 1000.00, 1063.06; 824.36, 1000.00, 1064.00) | (52.39, 55.00, 58.00; 50.16, 55.00, 60.14) | (66.68, 70.00, 74.78; 63.55, 70.00, 77.00) | (1757.14, 1889.75, 1945.99; 1436.11, 1889.75, 2298.27) | (24.46, 25.00, 26.89; 22.87, 25.00, 27.20) |
| 12 | (698.89, 735.17, 767.25; 570.07, 735.17, 856.65) | (2426.31, 2626.87, 2878.73; 2087.19, 2626.87, 3022.33) | (28, 31, 36; 21, 31, 38) | (0.58, 0.62, 0.72; 0.54, 0.62, 0.78) | (925.29, 989.31, 1080.14; 838.35, 989.31, 1015.84) | (65.73, 68.86, 72.98; 65.23, 68.86, 74.69) | (48.24, 50.65, 53.43; 45.94, 50.65, 55.60) | (1866.35, 1985.65, 2136.41; 1562.34, 1985.65, 2390.35) | (25.55, 26.29, 27.90; 24.21, 26.29, 28.67) |
| 13 | (652.99, 677.06, 737.81; 527.85, 677.06, 810.18) | (2595.32, 2803.76, 2829.10; 2142.06, 2803.76, 3391.80) | (28, 32, 33; 23, 32, 39) | (0.61, 0.66, 0.76; 0.55, 0.66, 0.79) | (991.91, 1088.73, 1138.83; 899.85, 1088.73, 1114.31) | (62.63, 64.32, 68.35; 60.90, 64.32, 70.44) | (47.62, 49.48, 52.86; 45.20, 49.48, 53.87) | (1955.59, 2119.36, 2156.81; 1614.46, 2119.36, 2560.24) | (30.10, 31.13, 33.32; 28.67, 31.13, 33.72) |
| 14 | (677.57, 682.20, 733.61; 504.72, 682.20, 814.34) | (2699.52, 2745.99, 2971.54; 2104.93, 2745.99, 3312.66) | (36, 38, 39; 29, 38, 45) | (0.60, 0.64, 0.75; 0.56, 0.64, 0.81) | (1052.24, 1151.61, 1189.55; 949.61, 1151.61, 1207.42) | (54.00, 55.25, 58.50; 49.73, 55.25, 59.70) | (34.66, 36.15, 38.67; 33.92, 36.15, 39.29) | (2049.79, 2075.69, 2211.05; 1608.66, 2075.69, 2422.60) | (23.64, 24.85, 26.34; 22.47, 24.85, 27.09) |
| 15 | (746.82, 752.17, 765.56; 559.80, 752.17, 888.31) | (2610.63, 2726.96, 2774.51; 2078.92, 2726.96, 3227.90) | (34, 37, 40; 31, 37, 44) | (0.57, 0.62, 0.69; 0.52, 0.62, 0.79) | (980.70, 1054.53, 1150.52; 848.50, 1054.53, 1082.27) | (52.56, 55.11, 58.35; 51.47, 55.11, 59.60) | (49.86, 52.08, 55.74; 48.18, 52.08, 57.10) | (1886.73, 2061.31, 2097.16; 1617.17, 2061.31, 2447.81) | (21.06, 22.03, 23.64; 20.43, 22.03, 23.85) |
| 16 | (778.85, 814.22, 885.73; 606.76, 814.22, 950.83) | (2403.59, 2621.69, 2781.97; 1974.46, 2621.69, 3101.84) | (32, 36, 38; 30, 36, 46) | (0.55, 0.59, 0.69; 0.52, 0.59, 0.71) | (953.96, 1016.27, 1069.87; 843.54, 1016.27, 1028.61) | (65.91, 68.02, 72.84; 63.47, 68.02, 74.06) | (40.62, 42.41, 45.40; 39.82, 42.41, 46.58) | (1892.63, 1981.74, 1990.38; 1521.67, 1981.74, 2428.63) | (29.65, 31.21, 32.87; 28.24, 31.21, 34.28) |
| 17 | (696.37, 740.11, 790.59; 565.59, 740.11, 925.12) | (2541.98, 2681.21, 2772.35; 2055.18, 2681.21, 3301.61) | (27, 31, 33; 26, 31, 41) | (0.57, 0.62, 0.74; 0.50, 0.62, 0.75) | (1157.57, 1266.35, 1370.23; 1051.06, 1266.35, 1382.32) | (58.41, 60.72, 64.84; 55.61, 60.72, 66.33) | (46.82, 47.88, 50.79; 44.12, 47.88, 52.31) | (1964.56, 2026.72, 2055.31; 1523.15, 2026.72, 2449.09) | (30.98, 31.86, 34.01; 29.46, 31.86, 34.90) |
| 18 | (661.35, 687.00, 740.05; 502.48, 687.00, 860.25) | (2686.27, 2835.72, 3039.37; 2134.64, 2835.72, 3415.82) | (35, 39, 40; 31, 39, 48) | (0.68, 0.74, 0.87; 0.62, 0.74, 0.91) | (939.38, 991.44, 1048.94; 845.38, 991.44, 1025.79) | (59.19, 61.39, 65.25; 56.35, 61.39, 66.39) | (46.61, 48.09, 51.93; 44.22, 48.09, 52.82) | (1965.31, 2143.52, 2299.99; 1705.17, 2143.52, 2511.20) | (19.45, 20.33, 21.71; 18.32, 20.33, 22.36) |
| 19 | (614.13, 656.34, 710.40; 523.03, 656.34, 774.56) | (2995.65, 3106.46, 3194.34; 2472.00, 3106.46, 3797.94) | (30, 34, 36; 26, 34, 40) | (0.85, 0.92, 1.09; 0.80, 0.92, 1.14) | (907.34, 989.11, 1040.73; 819.45, 989.11, 1024.26) | (69.61, 71.90, 76.99; 66.39, 71.90, 79.01) | (55.15, 56.82, 60.22; 51.98, 56.82, 61.44) | (2270.50, 2348.17, 2441.90; 1767.24, 2348.17, 2705.49) | (19.85, 20.46, 22.03; 18.84, 20.46, 22.48) |
| 20 | (616.06, 672.62, 730.33; 537.34, 672.62, 828.65) | (2981.63, 3244.14, 3442.43; 2537.09, 3244.14, 4019.82) | (36, 39, 43; 34, 39, 46) | (0.75, 0.80, 0.96; 0.71, 0.80, 1.02) | (935.50, 1013.26, 1093.88; 858.87, 1013.26, 1042.09) | (71.53, 74.20, 78.09; 70.34, 74.20, 80.90) | (55.47, 57.67, 60.58; 53.27, 57.67, 63.30) | (2435.87, 2452.24, 2620.79; 1880.84, 2452.24, 2838.03) | (23.60, 24.59, 26.35; 22.29, 24.59, 26.92) |
| 21 | (650.17, 687.48, 751.03; 516.16, 687.48, 790.63) | (2933.98, 3068.72, 3123.75; 2306.11, 3068.72, 3802.28) | (38, 40, 45; 34, 40, 46) | (0.69, 0.76, 0.84; 0.62, 0.76, 0.96) | (1145.00, 1209.84, 1236.00; 1050.20, 1209.84, 1330.01) | (71.29, 73.11, 78.06; 66.78, 73.11, 80.31) | (51.25, 53.01, 57.24; 48.31, 53.01, 57.35) | (2089.00, 2319.65, 2368.91; 1804.04, 2319.65, 2704.73) | (21.76, 22.54, 24.25; 20.54, 22.54, 24.50) |
| 22 | (727.99, 729.02, 796.33; 545.09, 729.02, 912.77) | (2958.15, 2966.13, 2985.41; 2356.16, 2966.13, 3629.84) | (39, 41, 44; 31, 41, 49) | (0.86, 0.92, 1.06; 0.78, 0.92, 1.19) | (956.31, 1024.42, 1063.40; 874.08, 1024.42, 1069.76) | (72.41, 74.31, 79.85; 68.22, 74.31, 81.63) | (50.90, 52.59, 55.35; 48.63, 52.59, 56.90) | (2156.99, 2242.10, 2457.22; 1747.28, 2242.10, 2583.06) | (20.00, 20.82, 22.46; 19.18, 20.82, 22.50) |
| 23 | (570.40, 625.41, 678.86; 487.64, 625.41, 724.33) | (2631.72, 2883.06, 3163.12; 2259.96, 2883.06, 3472.61) | (40, 44, 46; 35, 44, 53) | (0.72, 0.77, 0.88; 0.67, 0.77, 0.98) | (961.80, 1015.06, 1061.43; 862.87, 1015.06, 1070.30) | (63.39, 65.07, 69.50; 60.59, 65.07, 70.49) | (49.22, 51.39, 54.90; 48.22, 51.39, 55.88) | (2021.99, 2179.30, 2361.65; 1666.87, 2179.30, 2507.80) | (23.96, 24.64, 26.03; 22.63, 24.64, 26.95) |
| 24 | (632.80, 691.55, 719.23; 534.62, 691.55, 795.42) | (2424.47, 2572.19, 2699.64; 2007.57, 2572.19, 2971.70) | (41, 44, 47; 39, 44, 54) | (0.72, 0.76, 0.86; 0.64, 0.76, 0.96) | (998.38, 1053.21, 1101.30; 910.51, 1053.21, 1081.51) | (66.85, 68.39, 72.38; 63.38, 68.39, 73.93) | (54.62, 56.78, 60.63; 51.88, 56.78, 61.67) | (1773.93, 1944.31, 1982.74; 1486.37, 1944.31, 2330.17) | (21.10, 21.95, 23.46; 19.91, 21.95, 24.03) |
| 25 | (1125.80, 1178.62, 1193.76; 909.66, 1178.62, 1502.35) | (2535.39, 2676.51, 2878.52; 2029.04, 2676.51, 3328.28) | (40, 43, 45; 36, 43, 52) | (0.79, 0.85, 0.98; 0.73, 0.85, 1.03) | (1036.86, 1139.36, 1190.26; 941.31, 1139.36, 1203.20) | (65.24, 66.77, 70.68; 62.01, 66.77, 72.61) | (72.25, 75.22, 78.99; 69.43, 75.22, 82.00) | (1908.54, 2023.18, 2163.82; 1521.51, 2023.18, 2494.89) | (32.26, 33.46, 35.44; 30.69, 33.46, 36.69) |
| 26 | (1059.71, 1071.85, 1122.41; 839.50, 1071.85, 1285.21) | (2876.42, 3061.25, 3110.64; 2322.88, 3061.25, 3666.78) | (40, 41, 43; 33, 41, 47) | (0.86, 0.94, 1.05; 0.83, 0.94, 1.19) | (1084.92, 1168.27, 1198.53; 959.54, 1168.27, 1191.97) | (61.60, 64.14, 68.85; 58.53, 64.14, 69.44) | (68.46, 71.79, 75.42; 65.68, 71.79, 78.87) | (2187.99, 2314.00, 2489.34; 1775.89, 2314.00, 2797.96) | (32.01, 33.35, 35.26; 31.42, 33.35, 36.22) |
| 27 | (973.99, 1041.22, 1052.11; 790.14, 1041.22, 1314.51) | (2552.06, 2801.18, 3000.02; 2146.62, 2801.18, 3250.68) | (38, 41, 44; 35, 41, 48) | (0.82, 0.88, 0.98; 0.72, 0.88, 1.14) | (998.38, 1094.99, 1127.33; 918.85, 1094.99, 1189.65) | (60.17, 63.13, 67.70; 58.42, 63.13, 68.50) | (63.70, 66.44, 70.84; 61.18, 66.44, 72.54) | (2046.15, 2117.41, 2259.87; 1647.85, 2117.41, 2614.79) | (31.75, 32.41, 34.25; 29.81, 32.41, 35.02) |
| 28 | (796.29, 851.92, 858.72; 668.56, 851.92, 1069.18) | (3803.00, 4009.98, 4291.79; 3166.47, 4009.98, 4771.12) | (43, 44, 49; 35, 44, 53) | (0.80, 0.86, 0.96; 0.75, 0.86, 1.11) | (934.88, 1022.64, 1122.74; 823.29, 1022.64, 1073.49) | (66.07, 68.08, 73.19; 62.59, 68.08, 74.48) | (73.51, 76.20, 80.56; 68.83, 76.20, 82.30) | (2818.08, 3031.15, 3200.43; 2288.42, 3031.15, 3665.62) | (27.03, 28.13, 29.70; 25.45, 28.13, 30.72) |
Appendix B. Production Process Data of Complex Product Systems—The Core Component Assembly Stage
| Serial Number | Industrial Added Value (Ten Thousand Yuan) | Manufacturing Services | Finished Product Value (Ten Thousand Yuan) | Environmental Impact | ||||
| Energy Consumption (kW·h) | Technical Staff | Manufacture Service Factor | Solid Waste (t) | Average Noise (dB) | Carbon Emission (kg) | |||
| 1 | (748.75, 800.00, 831.78; 653.31, 800.00, 840.18) | (2947.53, 3000.00, 3101.82; 2293.01, 3000.00, 3625.10) | (15, 15, 17; 13, 15, 18) | (0.66, 0.70, 0.80; 0.59, 0.70, 0.89) | (1362.99, 1500.00, 1618.84; 1209.92, 1500.00, 2435.26) | (34.02, 35.00, 37.78; 33.01, 35.00, 37.53) | (33.56, 35.00, 37.14; 32.01, 35.00, 38.34) | (2079.12, 2267.70, 2307.77; 1804.57, 2267.70, 2797.87) |
| 2 | (658.46, 730.54, 801.43; 624.81, 730.54, 770.92) | (2704.13, 2769.19, 2850.82; 2083.62, 2769.19, 3192.39) | (12, 13, 13; 10, 13, 16) | (0.63, 0.69, 0.79; 0.60, 0.69, 0.87) | (1255.66, 1355.23, 1523.76; 1096.44, 1355.23, 2190.91) | (34.61, 36.05, 38.20; 34.12, 36.05, 38.82) | (31.34, 32.84, 35.45; 29.86, 32.84, 36.10) | (2012.66, 2093.23, 2179.46; 1665.13, 2093.23, 2485.11) |
| 3 | (747.64, 818.57, 840.74; 700.85, 818.57, 867.55) | (2669.74, 2906.31, 3058.66; 2227.25, 2906.31, 3381.00) | (14, 14, 16; 13, 14, 17) | (0.63, 0.68, 0.80; 0.59, 0.68, 0.88) | (1344.15, 1434.50, 1606.58; 1156.53, 1434.50, 2350.77) | (36.36, 37.34, 40.16; 35.19, 37.34, 39.62) | (31.95, 32.99, 35.02; 30.26, 32.99, 35.97) | (2172.64, 2196.88, 2318.74; 1692.24, 2196.88, 2629.77) |
| 4 | (712.36, 787.74, 846.77; 634.97, 787.74, 805.06) | (2974.76, 3295.22, 3323.86; 2612.70, 3295.22, 3893.91) | (14, 16, 19; 13, 16, 19) | (0.57, 0.63, 0.74; 0.55, 0.63, 0.76) | (1317.81, 1450.25, 1552.01; 1249.62, 1450.25, 2374.04) | (32.40, 33.93, 36.27; 30.86, 33.93, 37.12) | (31.43, 32.12, 34.55; 29.40, 32.12, 35.16) | (2336.70, 2490.86, 2615.66; 1960.32, 2490.86, 2919.40) |
| 5 | (728.03, 787.74, 852.94; 648.50, 787.74, 847.93) | (3233.28, 3579.40, 3844.00; 2718.19, 3579.40, 4336.52) | (15, 16, 16; 13, 16, 20) | (0.67, 0.71, 0.85; 0.58, 0.71, 0.89) | (1468.56, 1605.15, 1799.34; 1363.75, 1605.15, 2611.26) | (31.19, 31.97, 33.88; 29.05, 31.97, 34.79) | (31.04, 32.55, 34.66; 29.41, 32.55, 35.53) | (2521.40, 2705.67, 2838.34; 2057.01, 2705.67, 3230.04) |
| 6 | (1036.26, 1100.00, 1209.78; 939.08, 1100.00, 1112.64) | (8517.19, 9000.00, 9234.65; 7016.10, 9000.00, 10780.22) | (25, 25, 25; 24, 25, 29) | (0.66, 0.73, 0.81; 0.61, 0.73, 0.93) | (1864.27, 2000.00, 2285.67; 1634.31, 2000.00, 3243.44) | (43.40, 45.00, 48.08; 40.96, 45.00, 49.23) | (43.46, 45.00, 48.17; 40.87, 45.00, 49.07) | (6765.59, 6803.10, 6855.24; 5112.82, 6803.10, 7951.83) |
| 7 | (1073.94, 1157.23, 1214.81; 1004.98, 1157.23, 1245.07) | (8512.52, 8869.43, 9120.81; 6811.02, 8869.43, 10539.28) | (22, 24, 24; 21, 24, 28) | (0.72, 0.77, 0.92; 0.62, 0.77, 0.99) | (2549.98, 2724.09, 2873.14; 2336.76, 2724.09, 4376.16) | (48.21, 49.54, 52.25; 46.33, 49.54, 53.52) | (32.99, 34.00, 36.48; 32.13, 34.00, 37.12) | (6227.10, 6704.40, 6791.83; 5188.73, 6704.40, 7794.22) |
| 8 | (1067.69, 1172.68, 1276.57; 1017.31, 1172.68, 1223.43) | (9106.28, 9435.02, 10268.15; 7149.82, 9435.02, 11778.45) | (26, 27, 29; 26, 27, 31) | (0.72, 0.78, 0.90; 0.62, 0.78, 1.01) | (1991.78, 2192.81, 2352.42; 1876.79, 2192.81, 3533.17) | (44.07, 45.67, 49.21; 41.16, 45.67, 50.19) | (33.23, 34.50, 36.47; 31.49, 34.50, 37.62) | (6603.59, 7131.93, 7499.29; 5648.20, 7131.93, 8578.27) |
| 9 | (999.65, 1082.38, 1109.18; 892.11, 1082.38, 1135.22) | (8562.86, 9097.54, 9639.11; 7133.61, 9097.54, 11101.20) | (24, 24, 26; 22, 24, 26) | (0.72, 0.79, 0.91; 0.67, 0.79, 1.01) | (2447.17, 2690.81, 3082.17; 2230.33, 2690.81, 4367.68) | (43.33, 45.42, 47.99; 40.91, 45.42, 49.88) | (36.61, 37.65, 39.83; 34.14, 37.65, 41.17) | (6757.16, 6876.83, 7267.24; 5469.50, 6876.83, 7989.01) |
| 10 | (1027.47, 1096.77, 1194.50; 933.03, 1096.77, 1161.50) | (10212.61, 10402.3, 10857.38; 7832.36, 10402.3, 12342.91) | (27, 27, 29; 24, 27, 29) | (0.71, 0.78, 0.89; 0.67, 0.78, 0.99) | (1956.62, 2120.04, 2373.26; 1835.20, 2120.04, 3412.17) | (45.65, 47.15, 50.78; 42.45, 47.15, 51.86) | (33.06, 34.51, 37.11; 31.89, 34.51, 37.79) | (7564.91, 7863.10, 8179.65; 6019.73, 7863.10, 9688.34) |
| 11 | (948.91, 1000.00, 1063.06; 824.36, 1000.00, 1064.00) | (6108.82, 6600.00, 7094.00; 4977.42, 6600.00, 7758.83) | (23, 23, 25; 20, 23, 26) | (0.65, 0.70, 0.80; 0.61, 0.70, 0.85) | (1457.43, 1600.00, 1839.28; 1340.99, 1600.00, 2593.41) | (40.73, 42.00, 44.60; 38.85, 42.00, 44.98) | (40.68, 42.00, 45.20; 39.58, 42.00, 45.58) | (4701.48, 4988.94, 5284.29; 3769.90, 4988.94, 5870.63) |
| 12 | (925.29, 989.31, 1080.14; 838.35, 989.31, 1015.84) | (7375.86, 8082.27, 8443.32; 6099.13, 8082.27, 9991.70) | (21, 23, 25; 21, 23, 25) | (0.71, 0.76, 0.84; 0.61, 0.76, 0.97) | (1495.92, 1609.34, 1848.94; 1361.14, 1609.34, 2613.53) | (50.43, 52.83, 55.55; 49.63, 52.83, 57.60) | (32.77, 33.79, 36.37; 31.64, 33.79, 37.09) | (5722.93, 6109.38, 6519.71; 4717.38, 6109.38, 7210.20) |
| 13 | (991.91, 1088.73, 1138.83; 899.85, 1088.73, 1114.31) | (6053.49, 6393.90, 6513.58; 4977.01, 6393.90, 7724.09) | (21, 22, 23; 21, 22, 25) | (0.54, 0.56, 0.62; 0.49, 0.56, 0.70) | (1467.52, 1619.14, 1724.78; 1347.14, 1619.14, 2640.59) | (42.94, 44.18, 46.95; 40.67, 44.18, 48.37) | (53.18, 54.55, 58.01; 49.17, 54.55, 59.71) | (4734.64, 4833.15, 4918.04; 3678.19, 4833.15, 5682.09) |
| 14 | (1052.24, 1151.61, 1189.55; 949.61, 1151.61, 1207.42) | (8075.81, 8177.05, 8614.71; 6526.78, 8177.05, 9576.08) | (20, 21, 23; 20, 21, 24) | (0.65, 0.71, 0.79; 0.61, 0.71, 0.90) | (1401.80, 1553.14, 1774.67; 1276.49, 1553.14, 2533.21) | (34.98, 36.10, 38.22; 33.26, 36.10, 38.80) | (47.42, 49.65, 53.00; 45.18, 49.65, 53.77) | (6071.40, 6181.03, 6522.00; 4938.13, 6181.03, 7703.22) |
| 15 | (980.70, 1054.53, 1150.52; 848.50, 1054.53, 1082.27) | (7350.14, 7622.06, 7836.95; 5982.49, 7622.06, 9215.51) | (22, 22, 24; 20, 22, 25) | (0.68, 0.74, 0.87; 0.65, 0.74, 0.96) | (1504.27, 1667.27, 1899.77; 1429.06, 1667.27, 2691.18) | (40.33, 41.58, 43.86; 38.09, 41.58, 44.28) | (49.20, 50.90, 54.45; 48.10, 50.90, 55.68) | (5501.10, 5761.52, 5774.58; 4487.48, 5761.52, 6709.78) |
| 16 | (953.96, 1016.27, 1069.87; 843.54, 1016.27, 1028.61) | (8175.25, 8249.94, 8847.99; 6522.74, 8249.94, 10231.00) | (21, 22, 22; 19, 22, 25) | (0.74, 0.81, 0.90; 0.68, 0.81, 1.03) | (1442.48, 1572.30, 1745.18; 1375.12, 1572.30, 2520.60) | (43.32, 44.80, 47.61; 40.85, 44.80, 47.89) | (47.35, 49.18, 51.95; 46.51, 49.18, 53.18) | (5788.97, 6236.13, 6663.06; 4966.23, 6236.13, 7669.01) |
| 17 | (1157.57, 1266.35, 1370.23; 1051.06, 1266.35, 1382.32) | (6290.49, 6423.52, 6968.45; 4993.36, 6423.52, 7626.47) | (22, 22, 22; 21, 22, 24) | (0.57, 0.63, 0.72; 0.54, 0.63, 0.76) | (1445.65, 1526.61, 1609.62; 1236.59, 1526.61, 2450.90) | (52.07, 53.42, 56.86; 48.61, 53.42, 57.25) | (48.89, 50.34, 52.89; 46.07, 50.34, 54.99) | (4690.05, 4855.54, 4961.75; 3829.64, 4855.54, 6040.43) |
| 18 | (939.38, 991.44, 1048.94; 845.38, 991.44, 1025.79) | (6579.32, 6930.27, 7611.70; 5424.00, 6930.27, 8413.16) | (25, 25, 28; 23, 25, 29) | (0.72, 0.79, 0.93; 0.64, 0.79, 0.98) | (1516.58, 1634.17, 1732.84; 1354.82, 1634.17, 2628.01) | (41.18, 42.10, 45.10; 38.93, 42.10, 44.99) | (34.72, 36.19, 38.93; 32.57, 36.19, 39.39) | (5212.42, 5238.59, 5304.48; 4161.73, 5238.59, 6456.76) |
| 19 | (907.34, 989.11, 1040.73; 819.45, 989.11, 1024.26) | (7826.74, 8121.47, 8931.78; 6273.56, 8121.47, 9639.48) | (23, 23, 26; 22, 23, 27) | (0.78, 0.82, 0.98; 0.69, 0.82, 1.06) | (1822.07, 1931.62, 2104.65; 1672.60, 1931.62, 3119.23) | (42.91, 44.53, 48.00; 40.58, 44.53, 47.94) | (34.51, 35.93, 38.41; 32.83, 35.93, 38.97) | (6071.85, 6139.02, 6705.63; 4894.72, 6139.02, 7372.78) |
| 20 | (935.50, 1013.26, 1093.88; 858.87, 1013.26, 1042.09) | (7011.85, 7195.46, 7390.68; 5615.38, 7195.46, 8899.83) | (27, 29, 29; 27, 29, 31) | (0.84, 0.92, 1.01; 0.80, 0.92, 1.11) | (1566.51, 1696.32, 1864.46; 1386.12, 1696.32, 2776.46) | (46.13, 47.25, 50.14; 44.26, 47.25, 51.67) | (44.13, 45.18, 47.82; 41.84, 45.18, 48.93) | (5195.66, 5439.05, 5529.09; 4088.64, 5439.05, 6467.07) |
| 21 | (1145.00, 1209.84, 1236.00; 1050.20, 1209.84, 1330.01) | (7943.09, 8320.72, 9017.47; 6261.52, 8320.72, 9672.80) | (23, 25, 27; 22, 25, 29) | (0.83, 0.88, 1.04; 0.74, 0.88, 1.12) | (1657.56, 1783.95, 1960.14; 1472.72, 1783.95, 2882.23) | (42.45, 44.21, 47.12; 40.76, 44.21, 47.11) | (43.75, 44.98, 47.32; 40.90, 44.98, 49.26) | (6258.77, 6289.63, 6918.03; 4877.13, 6289.63, 7458.85) |
| 22 | (956.31, 1024.42, 1063.40; 874.08, 1024.42, 1069.76) | (6187.22, 6611.63, 6889.26; 5241.19, 6611.63, 7966.68) | (23, 23, 24; 22, 23, 26) | (0.86, 0.92, 1.07; 0.81, 0.92, 1.10) | (1829.49, 1935.26, 2100.04; 1653.08, 1935.26, 3161.18) | (48.88, 50.74, 54.15; 48.16, 50.74, 54.16) | (41.46, 42.55, 45.85; 38.42, 42.55, 46.05) | (4626.04, 4997.73, 5316.53; 3838.55, 4997.73, 6141.81) |
| 23 | (961.80, 1015.06, 1061.43; 862.87, 1015.06, 1070.30) | (6648.25, 7215.42, 7845.68; 5687.49, 7215.42, 8628.35) | (22, 24, 28; 21, 24, 28) | (0.92, 0.98, 1.17; 0.81, 0.98, 1.22) | (1879.80, 1983.45, 2226.51; 1683.22, 1983.45, 3240.29) | (41.90, 43.37, 45.57; 40.21, 43.37, 46.18) | (38.27, 39.75, 42.73; 35.89, 39.75, 43.53) | (4967.36, 5454.13, 5836.11; 4355.55, 5454.13, 6385.58) |
| 24 | (998.38, 1053.21, 1101.30; 910.51, 1053.21, 1081.51) | (6228.73, 6816.99, 7442.10; 5409.77, 6816.99, 7922.51) | (29, 29, 32; 28, 29, 32) | (0.84, 0.90, 1.07; 0.74, 0.90, 1.08) | (1842.37, 1994.62, 2098.08; 1739.34, 1994.62, 3213.91) | (41.62, 43.07, 45.40; 40.11, 43.07, 46.55) | (40.89, 42.24, 45.43; 38.79, 42.24, 46.30) | (4637.85, 5152.96, 5429.76; 4097.56, 5152.96, 6317.58) |
| 25 | (1036.86, 1139.36, 1190.26; 941.31, 1139.36, 1203.20) | (7206.28, 7347.20, 7633.62; 5720.36, 7347.20, 8505.00) | (28, 28, 31; 25, 28, 31) | (0.86, 0.93, 1.06; 0.75, 0.93, 1.19) | (2285.90, 2477.53, 2710.04; 2176.67, 2477.53, 4048.14) | (56.71, 58.99, 62.71; 55.65, 58.99, 63.09) | (63.54, 65.72, 69.14; 59.69, 65.72, 71.67) | (5518.09, 5553.75, 5774.59; 4380.16, 5553.75, 6485.90) |
| 26 | (1084.92, 1168.27, 1198.53; 959.54, 1168.27, 1191.97) | (8382.29, 8717.13, 9185.15; 6763.39, 8717.13, 10304.35) | (29, 31, 33; 29, 31, 33) | (0.77, 0.84, 0.95; 0.69, 0.84, 1.01) | (2056.86, 2199.38, 2404.42; 1875.50, 2199.38, 3530.22) | (44.40, 45.57, 48.28; 42.45, 45.57, 49.83) | (55.53, 57.61, 60.62; 54.65, 57.61, 62.37) | (6180.84, 6589.28, 7079.72; 4946.51, 6589.28, 7707.93) |
| 27 | (998.38, 1094.99, 1127.33; 918.85, 1094.99, 1189.65) | (9543.78, 9555.49, 10053.31; 7556.74, 9555.49, 11421.33) | (30, 31, 33; 30, 31, 35) | (0.84, 0.93, 1.03; 0.74, 0.93, 1.14) | (1962.25, 2091.19, 2323.43; 1728.89, 2091.19, 3417.98) | (43.35, 44.76, 48.08; 41.69, 44.76, 48.46) | (52.32, 53.78, 57.50; 50.91, 53.78, 58.24) | (6601.53, 7222.99, 7573.96; 5537.09, 7222.99, 8452.29) |
| 28 | (934.88, 1022.64, 1122.74; 823.29, 1022.64, 1073.49) | (6311.42, 6861.57, 7334.20; 5414.73, 6861.57, 8151.33) | (27, 28, 28; 27, 28, 32) | (0.86, 0.91, 1.05; 0.75, 0.91, 1.18) | (1823.15, 2025.71, 2178.16; 1727.82, 2025.71, 3279.00) | (59.63, 62.49, 66.89; 57.35, 62.49, 66.74) | (50.61, 51.91, 55.41; 48.39, 51.91, 56.23) | (5138.80, 5186.66, 5203.06; 4108.26, 5186.66, 6157.43) |
Appendix C. Production Process Data of Complex Product Systems—The Supporting Component Processing Stage
| Serial Number | Raw Materials (t) | Manufacturing Services | Industrial Added Value (Ten Thousand Yuan) | Environmental Impact | ||||
| Energy Consumption (kW·h) | Technical Staff | Manufacture Service Factor | Solid Waste (t) | Average Noise (dB) | Carbon Emission (kg) | |||
| 1 | (54.99, 60.00, 64.47; 47.67, 60.00, 69.99) | (2804.27, 3000.00, 3143.09; 2281.43, 3000.00, 3522.63) | (11, 14, 18; 5, 14, 20) | (0.62, 0.65, 0.68; 0.57, 0.65, 0.72) | (469.47, 500.00, 538.13; 423.31, 500.00, 555.31) | (47.01, 48.00, 51.79; 45.01, 48.00, 51.96) | (48.42, 50.00, 53.53; 47.07, 50.00, 54.05) | (2178.61, 2267.70, 2380.76; 1802.07, 2267.70, 2832.23) |
| 2 | (49.33, 54.70, 57.06; 42.77, 54.70, 67.32) | (2916.00, 3203.96, 3491.35; 2412.85, 3203.96, 3857.94) | (10, 12, 13; 4, 12, 21) | (0.60, 0.63, 0.69; 0.55, 0.63, 0.73) | (474.62, 525.70, 549.02; 455.05, 525.70, 597.74) | (48.41, 49.56, 52.81; 46.86, 49.56, 53.77) | (44.58, 46.04, 49.48; 41.68, 46.04, 49.95) | (2416.93, 2421.87, 2490.23; 1844.40, 2421.87, 2809.83) |
| 3 | (57.29, 58.54, 60.15; 46.51, 58.54, 69.39) | (3748.97, 3892.80, 4057.64; 2959.74, 3892.80, 4721.85) | (14, 15, 18; 7, 15, 24) | (0.62, 0.67, 0.72; 0.57, 0.67, 0.76) | (480.42, 521.55, 556.36; 428.19, 521.55, 586.08) | (43.88, 45.76, 48.85; 42.61, 45.76, 49.44) | (47.48, 48.58, 51.67; 45.01, 48.58, 52.96) | (2794.18, 2942.56, 2947.34; 2303.30, 2942.56, 3648.94) |
| 4 | (63.53, 64.41, 69.16; 50.59, 64.41, 75.23) | (3586.44, 3587.64, 3600.87; 2723.08, 3587.64, 4303.80) | (17, 19, 20; 10, 19, 26) | (0.61, 0.64, 0.67; 0.54, 0.64, 0.72) | (466.45, 516.67, 543.77; 449.56, 516.67, 588.00) | (49.13, 51.14, 55.17; 46.78, 51.14, 56.16) | (44.42, 46.21, 48.76; 43.41, 46.21, 50.37) | (2477.56, 2711.90, 2838.29; 2153.22, 2711.90, 3216.25) |
| 5 | (62.81, 63.43, 66.41; 49.67, 63.43, 74.63) | (3328.00, 3348.81, 3634.80; 2676.89, 3348.81, 3975.89) | (5, 9, 10; 0, 9, 15) | (0.57, 0.63, 0.68; 0.54, 0.63, 0.71) | (426.51, 466.97, 475.31; 401.54, 466.97, 530.58) | (43.79, 45.30, 47.98; 42.60, 45.30, 48.95) | (49.07, 51.05, 54.36; 47.65, 51.05, 55.98) | (2423.88, 2531.37, 2553.85; 2008.34, 2531.37, 3146.99) |
| 6 | (78.67, 80.00, 87.91; 62.69, 80.00, 93.09) | (8110.33, 9000.00, 9054.99; 7064.94, 9000.00, 11096.13) | (28, 30, 33; 21, 30, 36) | (0.60, 0.66, 0.71; 0.54, 0.66, 0.74) | (602.08, 660.00, 704.53; 564.68, 660.00, 741.44) | (33.28, 35.00, 36.95; 32.03, 35.00, 38.46) | (62.01, 65.00, 68.96; 61.31, 65.00, 71.48) | (6567.50, 6803.10, 6817.33; 5291.96, 6803.10, 7886.94) |
| 7 | (70.88, 78.09, 84.67; 61.42, 78.09, 97.42) | (7719.76, 8431.67, 8739.15; 6454.08, 8431.67, 9998.99) | (24, 25, 29; 18, 25, 31) | (0.62, 0.66, 0.71; 0.57, 0.66, 0.76) | (587.72, 628.46, 673.13; 505.07, 628.46, 693.76) | (33.98, 35.19, 37.10; 31.98, 35.19, 38.26) | (70.83, 73.79, 78.44; 69.61, 73.79, 79.88) | (5838.60, 6373.50, 6425.81; 4782.19, 6373.50, 7565.81) |
| 8 | (69.18, 76.21, 82.19; 55.41, 76.21, 94.41) | (7662.81, 8351.40, 9038.61; 6601.93, 8351.40, 9798.91) | (29, 30, 33; 23, 30, 36) | (0.60, 0.66, 0.70; 0.55, 0.66, 0.73) | (626.06, 665.05, 697.05; 537.53, 665.05, 741.60) | (34.76, 35.99, 38.55; 32.67, 35.99, 39.22) | (72.85, 74.68, 79.66; 67.46, 74.68, 80.77) | (6190.93, 6312.82, 6790.88; 5000.03, 6312.82, 7470.37) |
| 9 | (76.62, 80.86, 83.52; 62.75, 80.86, 97.00) | (10482.37, 11620.79, 12492.18; 8849.07, 11620.79, 14395.17) | (30, 32, 35; 25, 32, 41) | (0.59, 0.63, 0.67; 0.50, 0.63, 0.71) | (666.48, 722.50, 761.42; 590.73, 722.50, 810.06) | (32.69, 33.37, 35.15; 30.46, 33.37, 36.53) | (66.30, 69.01, 73.63; 63.16, 69.01, 75.63) | (8005.37, 8784.15, 9434.23; 6634.40, 8784.15, 10813.34) |
| 10 | (72.53, 75.02, 81.12; 55.90, 75.02, 91.80) | (7712.73, 8505.36, 9030.93; 6750.89, 8505.36, 10340.56) | (24, 27, 30; 21, 27, 35) | (0.59, 0.63, 0.69; 0.52, 0.63, 0.71) | (574.50, 628.67, 662.99; 542.58, 628.67, 719.88) | (33.49, 34.43, 36.71; 31.06, 34.43, 37.75) | (71.74, 73.28, 77.52; 67.85, 73.28, 79.32) | (5988.34, 6429.20, 6477.07; 4974.85, 6429.20, 7975.70) |
| 11 | (71.72, 75.00, 78.43; 54.35, 75.00, 97.13) | (6318.46, 6500.00, 7072.97; 5144.07, 6500.00, 8065.90) | (24, 25, 29; 18, 25, 30) | (0.56, 0.60, 0.64; 0.53, 0.60, 0.68) | (569.53, 600.00, 653.86; 501.15, 600.00, 681.74) | (34.23, 35.00, 36.93; 31.60, 35.00, 37.97) | (63.85, 66.92, 71.42; 62.27, 66.92, 73.54) | (4703.34, 4913.35, 5242.61; 3693.24, 4913.35, 6016.73) |
| 12 | (70.85, 73.57, 75.59; 53.03, 73.57, 90.51) | (7738.93, 7986.32, 8607.86; 6070.98, 7986.32, 9597.17) | (21, 24, 25; 19, 24, 29) | (0.56, 0.59, 0.64; 0.50, 0.59, 0.67) | (626.33, 695.40, 761.94; 582.26, 695.40, 773.26) | (38.90, 40.61, 43.23; 36.89, 40.61, 44.34) | (60.56, 62.07, 66.62; 57.70, 62.07, 67.66) | (5868.96, 6036.86, 6630.24; 4763.82, 6036.86, 7103.81) |
| 13 | (76.87, 81.32, 84.79; 62.98, 81.32, 100.31) | (6329.40, 6580.84, 6752.07; 5013.98, 6580.84, 8110.38) | (17, 20, 23; 10, 20, 29) | (0.45, 0.50, 0.54; 0.43, 0.50, 0.56) | (489.61, 537.85, 563.82; 468.40, 537.85, 606.46) | (35.70, 36.79, 39.09; 33.33, 36.79, 40.42) | (62.93, 65.97, 70.19; 61.88, 65.97, 71.52) | (4641.24, 4974.45, 5355.59; 3931.54, 4974.45, 6193.89) |
| 14 | (73.17, 78.49, 83.70; 57.17, 78.49, 90.70) | (6960.58, 7469.03, 7625.11; 5973.77, 7469.03, 9056.98) | (21, 23, 27; 13, 23, 33) | (0.58, 0.62, 0.66; 0.51, 0.62, 0.69) | (619.81, 667.42, 682.44; 560.31, 667.42, 745.27) | (35.24, 36.28, 38.80; 32.68, 36.28, 39.38) | (63.59, 65.01, 69.65; 59.96, 65.01, 70.65) | (5261.76, 5645.84, 5991.81; 4358.04, 5645.84, 7015.01) |
| 15 | (63.78, 70.04, 76.55; 51.07, 70.04, 89.78) | (7677.18, 8064.05, 8867.16; 6126.54, 8064.05, 9636.78) | (19, 20, 22; 15, 20, 26) | (0.52, 0.57, 0.61; 0.47, 0.57, 0.66) | (584.09, 620.65, 669.94; 524.75, 620.65, 682.95) | (30.85, 31.70, 33.29; 29.73, 31.70, 34.58) | (56.99, 58.44, 61.59; 55.32, 58.44, 63.24) | (6051.98, 6095.61, 6441.49; 4646.29, 6095.61, 7156.59) |
| 16 | (74.40, 80.81, 86.13; 62.02, 80.81, 96.29) | (7223.81, 7428.96, 7806.27; 5873.55, 7428.96, 8759.73) | (22, 23, 24; 16, 23, 33) | (0.46, 0.50, 0.52; 0.40, 0.50, 0.56) | (675.42, 715.00, 755.17; 584.31, 715.00, 820.17) | (30.16, 30.85, 33.27; 28.18, 30.85, 33.89) | (57.32, 59.10, 62.11; 54.46, 59.10, 64.93) | (5088.70, 5615.55, 5998.64; 4232.09, 5615.55, 6888.11) |
| 17 | (76.06, 81.65, 87.30; 64.10, 81.65, 95.18) | (7244.71, 7839.00, 8005.91; 5957.54, 7839.00, 9567.24) | (27, 29, 32; 22, 29, 36) | (0.54, 0.57, 0.61; 0.51, 0.57, 0.65) | (519.58, 552.63, 601.98; 464.77, 552.63, 627.10) | (43.03, 44.86, 47.24; 41.14, 44.86, 48.99) | (71.39, 73.69, 77.62; 68.71, 73.69, 80.83) | (5635.02, 5925.50, 6095.06; 4659.84, 5925.50, 7231.24) |
| 18 | (75.44, 78.70, 80.52; 56.76, 78.70, 91.59) | (5666.49, 5924.47, 6004.42; 4624.69, 5924.47, 7135.08) | (19, 20, 22; 15, 20, 28) | (0.56, 0.62, 0.67; 0.51, 0.62, 0.70) | (448.26, 483.38, 526.73; 409.50, 483.38, 538.69) | (30.61, 32.02, 34.24; 29.16, 32.02, 34.96) | (65.45, 67.95, 72.73; 61.80, 67.95, 73.97) | (4446.52, 4478.31, 4723.69; 3363.09, 4478.31, 5366.19) |
| 19 | (71.37, 77.66, 81.86; 62.07, 77.66, 97.87) | (6540.82, 7112.01, 7411.63; 5368.11, 7112.01, 8472.76) | (12, 16, 18; 8, 16, 23) | (0.61, 0.66, 0.69; 0.55, 0.66, 0.75) | (512.26, 561.05, 570.85; 480.81, 561.05, 621.17) | (34.48, 35.61, 37.64; 32.45, 35.61, 39.09) | (79.52, 81.96, 87.95; 76.06, 81.96, 89.16) | (5373.59, 5375.97, 5424.61; 4280.11, 5375.97, 6461.07) |
| 20 | (80.19, 82.25, 84.92; 65.04, 82.25, 100.19) | (6736.81, 7265.64, 7714.03; 5462.35, 7265.64, 8779.76) | (12, 16, 17; 8, 16, 24) | (0.70, 0.76, 0.83; 0.64, 0.76, 0.85) | (459.60, 502.84, 521.89; 423.45, 502.84, 560.36) | (34.88, 36.55, 38.80; 33.59, 36.55, 40.12) | (81.24, 84.48, 88.87; 77.91, 84.48, 92.92) | (5242.16, 5492.10, 5577.15; 4278.94, 5492.10, 6820.62) |
| 21 | (74.20, 80.45, 83.75; 61.76, 80.45, 101.40) | (6105.05, 6265.37, 6382.39; 4816.23, 6265.37, 7744.32) | (13, 15, 17; 5, 15, 21) | (0.63, 0.68, 0.73; 0.55, 0.68, 0.77) | (456.63, 490.97, 534.06; 429.86, 490.97, 553.12) | (32.69, 33.97, 36.55; 30.59, 33.97, 37.35) | (66.91, 69.38, 73.03; 65.43, 69.38, 76.12) | (4471.25, 4736.00, 5070.21; 3744.96, 4736.00, 5569.51) |
| 22 | (81.63, 83.46, 89.50; 64.05, 83.46, 102.43) | (4932.41, 5360.89, 5458.22; 4091.33, 5360.89, 6526.19) | (14, 16, 19; 10, 16, 26) | (0.67, 0.74, 0.80; 0.61, 0.74, 0.84) | (498.11, 548.59, 575.50; 476.54, 548.59, 626.35) | (31.35, 32.01, 33.77; 28.96, 32.01, 35.01) | (73.31, 76.98, 81.89; 71.74, 76.98, 84.55) | (3887.59, 4052.30, 4299.33; 3156.31, 4052.30, 4974.12) |
| 23 | (79.89, 86.51, 87.33; 62.37, 86.51, 111.44) | (5193.52, 5572.32, 5990.07; 4180.49, 5572.32, 6584.60) | (20, 22, 25; 14, 22, 28) | (0.60, 0.66, 0.71; 0.58, 0.66, 0.76) | (522.26, 575.15, 596.38; 489.47, 575.15, 643.49) | (35.03, 36.19, 38.15; 34.20, 36.19, 39.10) | (72.98, 74.83, 80.27; 68.33, 74.83, 80.89) | (4140.97, 4212.12, 4255.76; 3326.40, 4212.12, 5223.21) |
| 24 | (73.14, 73.17, 78.04; 56.80, 73.17, 90.29) | (6731.04, 6833.61, 6942.47; 5371.10, 6833.61, 8105.85) | (20, 21, 24; 14, 21, 26) | (0.56, 0.62, 0.66; 0.52, 0.62, 0.69) | (488.30, 533.26, 541.90; 464.54, 533.26, 607.57) | (31.35, 32.09, 34.55; 29.95, 32.09, 34.91) | (76.36, 80.36, 86.78; 74.59, 80.36, 87.20) | (4918.58, 5165.53, 5505.12; 3933.34, 5165.53, 6248.48) |
| 25 | (151.70, 160.17, 161.29; 126.72, 160.17, 197.73) | (18402.47, 20146.82, 20685.69; 25528.64, 20146.82, 23559.46) | (18, 19, 23; 13, 19, 28) | (0.60, 0.64, 0.70; 0.56, 0.64, 0.73) | (540.88, 592.52, 644.48; 492.17, 592.52, 659.93) | (30.95, 32.07, 34.37; 30.09, 32.07, 34.65) | (102.74, 105.33, 113.63; 99.03, 105.33, 115.81) | (14638.62, 15228.98, 16103.04; 11536.35, 15228.98, 17801.42) |
| 26 | (140.54, 152.70, 159.26; 119.35, 152.70, 197.83) | (16667.25, 17801.09, 18472.16; 13649.85, 17801.09, 21971.62) | (15, 16, 17; 8, 16, 26) | (0.58, 0.63, 0.67; 0.50, 0.63, 0.70) | (505.07, 560.40, 605.02; 487.82, 560.40, 616.68) | (48.33, 49.96, 53.68; 45.55, 49.96, 54.50) | (86.15, 88.17, 94.36; 82.31, 88.17, 95.97) | (12557.12, 13455.84, 13829.82; 10732.80, 13455.84, 15751.97) |
| 27 | (156.30, 158.56, 166.98; 119.24, 158.56, 195.10) | (16704.01, 18202.94, 18355.40; 13664.60, 18202.94, 22555.83) | (14, 18, 22; 11, 18, 23) | (0.67, 0.72, 0.79; 0.58, 0.72, 0.80) | (468.40, 497.07, 514.37; 429.51, 497.07, 570.78) | (43.18, 44.89, 47.23; 42.62, 44.89, 48.56) | (114.35, 117.18, 123.41; 105.56, 117.18, 128.45) | (12919.22, 13759.61, 14210.30; 10756.84, 13759.61, 16691.68) |
| 28 | (128.77, 130.14, 130.43; 102.92, 130.14, 163.95) | (19024.08, 19621.13, 19752.61; 15545.15, 19621.13, 23563.44) | (17, 19, 23; 14, 19, 27) | (0.61, 0.65, 0.71; 0.53, 0.65, 0.73) | (476.52, 520.81, 553.40; 424.58, 520.81, 574.09) | (30.99, 31.88, 34.36; 30.28, 31.88, 34.65) | (91.41, 94.64, 100.06; 89.53, 94.64, 103.23) | (13499.19, 14831.61, 16269.87; 11309.59, 14831.61, 18268.97) |
Appendix D. Production Process Data of Complex Product Systems—The Assembly Stage of Supporting Components
| Serial Number | Industrial Added Value (Ten Thousand Yuan) | Manufacturing Services | Finished Product Value (Ten Thousand Yuan) | Environmental Impact | Supporting Components for Assembly (t) | ||||
| Energy Consumption (kW·h) | Technical Staff | Manufacture Service Factor | Solid Waste (t) | Average Noise (dB) | Carbon Emission (kg) | ||||
|---|---|---|---|---|---|---|---|---|---|
| 1 | (469.47, 500.00, 538.13; 423.31, 500.00, 555.31) | (1842.50, 2000.00, 2189.51; 1567.00, 2000.00, 2447.79) | (4, 5, 6; 2, 5, 8) | (0.71, 0.75, 0.77; 0.66, 0.75, 0.85) | (401.65, 432.00, 466.29; 346.66, 432.00, 452.10) | (19.01, 20.00, 21.28; 18.61, 20.00, 21.93) | (48.67, 50.00, 53.26; 46.51, 50.00, 54.43) | (1457.64, 1511.80, 1648.01; 1172.96, 1511.80, 1855.35) | (43.48, 45.00, 47.28; 42.63, 45.00, 48.68) |
| 2 | (474.62, 525.70, 549.02; 455.05, 525.70, 597.74) | (2260.32, 2322.78, 2355.29; 1760.06, 2322.78, 2852.35) | (5, 7, 9; 4, 7, 11) | (0.68, 0.75, 0.84; 0.65, 0.75, 0.85) | (385.62, 416.45, 449.05; 346.14, 416.45, 423.51) | (20.83, 21.44, 23.08; 20.23, 21.44, 23.34) | (49.91, 52.51, 56.00; 48.62, 52.51, 56.94) | (1665.93, 1755.79, 1827.82; 1368.66, 1755.79, 2092.56) | (39.84, 41.02, 43.22; 38.59, 41.02, 44.99) |
| 3 | (480.42, 521.55, 556.36; 428.19, 521.55, 586.08) | (1965.93, 2121.82, 2134.04; 1635.85, 2121.82, 2503.95) | (4, 6, 9; 4, 6, 10) | (0.77, 0.82, 0.87; 0.70, 0.82, 0.93) | (378.44, 416.04, 439.69; 352.22, 416.04, 446.00) | (19.69, 20.72, 22.20; 19.20, 20.72, 22.62) | (49.42, 51.46, 54.81; 47.35, 51.46, 56.08) | (1445.44, 1603.89, 1712.37; 1245.25, 1603.89, 1995.86) | (37.81, 39.39, 41.90; 36.90, 39.39, 42.96) |
| 4 | (466.45, 516.67, 543.77; 449.56, 516.67, 588.00) | (1868.12, 2067.97, 2125.89; 1627.74, 2067.97, 2388.60) | (2, 4, 4; 2, 4, 7) | (0.73, 0.78, 0.84; 0.64, 0.78, 0.89) | (384.42, 418.85, 446.90; 338.63, 418.85, 467.66) | (20.40, 21.11, 22.66; 19.84, 21.11, 23.07) | (43.70, 45.04, 47.61; 41.39, 45.04, 49.34) | (1559.51, 1563.18, 1605.11; 1184.05, 1563.18, 1803.70) | (38.78, 40.54, 43.69; 37.33, 40.54, 44.37) |
| 5 | (426.51, 466.97, 475.31; 401.54, 466.97, 530.58) | (2058.56, 2081.25, 2145.60; 1623.29, 2081.25, 2481.91) | (5, 5, 7; 2, 5, 9) | (0.75, 0.81, 0.83; 0.68, 0.81, 0.91) | (359.80, 391.37, 414.74; 325.05, 391.37, 439.74) | (20.67, 21.71, 23.14; 20.29, 21.71, 23.66) | (45.19, 46.47, 49.81; 43.55, 46.47, 50.72) | (1481.09, 1573.22, 1703.62; 1183.60, 1573.22, 1850.37) | (39.47, 41.35, 43.78; 39.27, 41.35, 45.39) |
| 6 | (602.08, 660.00, 704.53; 564.68, 660.00, 741.44) | (2495.99, 2500.00, 2596.04; 1958.18, 2500.00, 3059.71) | (15, 15, 16; 12, 15, 19) | (0.72, 0.79, 0.85; 0.64, 0.79, 0.89) | (651.87, 689.00, 741.18; 582.00, 689.00, 768.70) | (24.49, 25.00, 26.32; 22.77, 25.00, 27.43) | (61.79, 65.00, 69.46; 61.32, 65.00, 70.69) | (1745.23, 1889.75, 2038.93; 1441.38, 1889.75, 2318.25) | (57.25, 60.00, 64.02; 54.14, 60.00, 64.84) |
| 7 | (587.72, 628.46, 673.13; 505.07, 628.46, 693.76) | (2433.34, 2620.47, 2663.29; 2084.97, 2620.47, 3272.52) | (16, 17, 17; 16, 17, 20) | (0.71, 0.76, 0.80; 0.64, 0.76, 0.86) | (590.49, 632.71, 681.95; 518.72, 632.71, 704.83) | (25.33, 26.27, 28.36; 24.70, 26.27, 28.68) | (63.59, 65.39, 68.80; 60.50, 65.39, 71.23) | (1806.08, 1980.82, 2000.51; 1512.14, 1980.82, 2412.48) | (68.94, 71.58, 76.11; 66.73, 71.58, 77.69) |
| 8 | (626.06, 665.05, 697.05; 537.53, 665.05, 741.60) | (2440.63, 2704.84, 2852.28; 2115.32, 2704.84, 3221.11) | (13, 16, 19; 13, 16, 19) | (0.78, 0.85, 0.92; 0.74, 0.85, 0.95) | (543.68, 573.39, 603.65; 461.64, 573.39, 640.30) | (24.48, 25.20, 27.13; 22.97, 25.20, 27.70) | (67.81, 70.86, 76.35; 67.13, 70.86, 77.30) | (1940.15, 2044.59, 2080.93; 1548.78, 2044.59, 2455.70) | (72.19, 75.80, 79.89; 69.97, 75.80, 83.14) |
| 9 | (666.48, 722.50, 761.42; 590.73, 722.50, 810.06) | (2638.48, 2756.38, 2983.24; 2122.47, 2756.38, 3363.44) | (13, 13, 14; 12, 13, 15) | (0.76, 0.80, 0.88; 0.68, 0.80, 0.92) | (530.41, 564.89, 598.16; 476.66, 564.89, 604.77) | (24.53, 25.48, 27.04; 23.62, 25.48, 27.86) | (69.58, 72.63, 77.86; 67.37, 72.63, 79.27) | (1941.59, 2083.55, 2230.80; 1596.49, 2083.55, 2509.07) | (69.83, 71.66, 77.10; 65.08, 71.66, 78.11) |
| 10 | (574.50, 628.67, 662.99; 542.58, 628.67, 719.88) | (2371.66, 2549.52, 2668.76; 1949.18, 2549.52, 3005.13) | (12, 13, 14; 10, 13, 17) | (0.79, 0.85, 0.86; 0.69, 0.85, 0.98) | (441.54, 465.40, 490.24; 380.07, 465.40, 482.78) | (22.52, 23.01, 24.45; 20.92, 23.01, 25.08) | (68.63, 70.42, 75.87; 66.62, 70.42, 76.46) | (1738.65, 1927.18, 2015.39; 1481.74, 1927.18, 2369.82) | (60.00, 62.80, 66.39; 56.54, 62.80, 68.01) |
| 11 | (569.53, 600.00, 653.86; 501.15, 600.00, 681.74) | (2724.16, 3000.00, 3268.96; 2387.06, 3000.00, 3562.28) | (9, 10, 12; 8, 10, 12) | (0.66, 0.70, 0.70; 0.61, 0.70, 0.79) | (450.22, 500.00, 533.76; 403.11, 500.00, 553.83) | (21.41, 22.00, 23.10; 20.13, 22.00, 24.01) | (52.36, 55.00, 58.10; 51.84, 55.00, 60.01) | (2174.85, 2267.70, 2430.50; 1761.32, 2267.70, 2647.20) | (53.32, 55.00, 58.79; 50.25, 55.00, 60.20) |
| 12 | (626.33, 695.40, 761.94; 582.26, 695.40, 773.26) | (3429.60, 3498.19, 3642.89; 2792.99, 3498.19, 4254.95) | (9, 10, 14; 9, 10, 14) | (0.81, 0.86, 0.87; 0.74, 0.86, 0.98) | (625.01, 682.91, 721.83; 568.23, 682.91, 717.05) | (32.73, 34.22, 36.10; 30.88, 34.22, 37.52) | (66.49, 69.85, 74.06; 66.03, 69.85, 75.65) | (2508.58, 2644.28, 2664.42; 2105.10, 2644.28, 3236.97) | (64.76, 66.16, 69.78; 59.99, 66.16, 72.68) |
| 13 | (489.61, 537.85, 563.82; 468.40, 537.85, 606.46) | (2905.11, 3194.80, 3202.58; 2475.80, 3194.80, 3857.93) | (10, 11, 11; 9, 11, 14) | (0.69, 0.75, 0.83; 0.66, 0.75, 0.85) | (646.03, 711.48, 753.86; 587.85, 711.48, 725.33) | (40.52, 42.57, 45.17; 40.37, 42.57, 46.79) | (43.94, 46.02, 49.62; 41.68, 46.02, 49.86) | (2270.61, 2414.95, 2576.03; 1906.36, 2414.95, 2991.60) | (51.95, 53.04, 55.74; 48.71, 53.04, 57.91) |
| 14 | (619.81, 667.42, 682.44; 560.31, 667.42, 745.27) | (3023.26, 3251.42, 3327.00; 2578.78, 3251.42, 3814.43) | (11, 13, 14; 11, 13, 17) | (0.74, 0.78, 0.78; 0.68, 0.78, 0.89) | (424.64, 455.07, 484.48; 377.44, 455.07, 468.90) | (44.26, 45.74, 48.07; 42.84, 45.74, 50.19) | (57.14, 59.30, 63.16; 54.47, 59.30, 64.49) | (2454.10, 2457.75, 2560.44; 1959.66, 2457.75, 2916.49) | (51.25, 52.91, 57.07; 48.84, 52.91, 57.79) |
| 15 | (584.09, 620.65, 669.94; 524.75, 620.65, 682.95) | (3106.04, 3272.78, 3305.69; 2616.32, 3272.78, 3786.76) | (7, 8, 9; 5, 8, 11) | (0.61, 0.66, 0.67; 0.55, 0.66, 0.76) | (515.16, 558.04, 587.29; 448.07, 558.04, 608.51) | (43.96, 45.48, 48.20; 42.21, 45.48, 49.34) | (42.87, 44.54, 46.93; 40.87, 44.54, 48.45) | (2308.19, 2473.90, 2568.66; 1973.03, 2473.90, 2907.73) | (51.07, 52.63, 55.33; 48.39, 52.63, 57.60) |
| 16 | (675.42, 715.00, 755.17; 584.31, 715.00, 820.17) | (3040.49, 3082.08, 3223.19; 2384.56, 3082.08, 3743.65) | (10, 10, 12; 7, 10, 13) | (0.61, 0.68, 0.70; 0.57, 0.68, 0.77) | (599.37, 640.22, 674.42; 529.00, 640.22, 703.61) | (36.89, 38.17, 40.08; 36.03, 38.17, 41.76) | (48.37, 49.61, 53.38; 45.77, 49.61, 54.25) | (2291.89, 2329.74, 2562.50; 1751.21, 2329.74, 2761.33) | (61.46, 63.78, 67.99; 58.54, 63.78, 69.42) |
| 17 | (519.58, 552.63, 601.98; 464.77, 552.63, 627.10) | (3304.11, 3362.11, 3499.96; 2666.83, 3362.11, 3886.99) | (7, 8, 10; 6, 8, 11) | (0.64, 0.68, 0.73; 0.58, 0.68, 0.77) | (540.40, 587.22, 634.01; 485.41, 587.22, 608.90) | (38.37, 40.11, 43.22; 37.91, 40.11, 44.04) | (54.96, 57.81, 61.27; 54.84, 57.81, 62.62) | (2381.45, 2541.42, 2543.63; 2023.55, 2541.42, 2947.02) | (65.33, 68.74, 74.06; 63.57, 68.74, 75.52) |
| 18 | (448.26, 483.38, 526.73; 409.50, 483.38, 538.69) | (3001.62, 3291.89, 3361.45; 2469.12, 3291.89, 3828.16) | (8, 10, 11; 7, 10, 12) | (0.83, 0.91, 0.97; 0.80, 0.91, 1.03) | (502.41, 545.39, 586.45; 450.24, 545.39, 599.05) | (41.81, 43.80, 46.46; 40.19, 43.80, 47.77) | (48.21, 50.60, 54.64; 47.14, 50.60, 54.93) | (2259.91, 2488.34, 2492.17; 1930.02, 2488.34, 3044.45) | (67.94, 69.98, 74.29; 65.62, 69.98, 76.81) |
| 19 | (512.26, 561.05, 570.85; 480.81, 561.05, 621.17) | (3197.18, 3502.87, 3603.31; 2700.58, 3502.87, 4190.83) | (6, 8, 11; 6, 8, 11) | (0.99, 1.10, 1.12; 0.96, 1.10, 1.23) | (576.72, 618.05, 662.02; 515.98, 618.05, 671.15) | (43.04, 44.55, 48.03; 41.76, 44.55, 48.44) | (48.93, 50.19, 53.61; 45.25, 50.19, 54.99) | (2536.21, 2647.82, 2830.49; 2091.24, 2647.82, 3077.78) | (77.87, 80.47, 85.86; 72.91, 80.47, 88.18) |
| 20 | (459.60, 502.84, 521.89; 423.45, 502.84, 560.36) | (3372.92, 3395.09, 3553.36; 2638.94, 3395.09, 4142.53) | (11, 12, 12; 10, 12, 16) | (0.99, 1.04, 1.07; 0.90, 1.04, 1.18) | (661.05, 717.57, 764.42; 577.65, 717.57, 777.55) | (47.76, 49.80, 52.49; 45.40, 49.80, 53.95) | (60.64, 62.98, 67.10; 58.77, 62.98, 69.26) | (2379.52, 2566.35, 2757.87; 2005.02, 2566.35, 3206.49) | (74.14, 77.69, 82.84; 72.34, 77.69, 84.74) |
| 21 | (456.63, 490.97, 534.06; 429.86, 490.97, 553.12) | (3318.97, 3490.68, 3760.02; 2623.95, 3490.68, 4290.91) | (8, 10, 11; 8, 10, 13) | (1.01, 1.12, 1.23; 0.97, 1.12, 1.27) | (610.55, 676.59, 730.03; 574.13, 676.59, 703.65) | (50.82, 52.22, 56.21; 47.08, 52.22, 56.70) | (58.86, 60.70, 63.85; 54.74, 60.70, 66.40) | (2616.62, 2638.60, 2872.60; 2011.18, 2638.60, 3113.83) | (72.07, 74.47, 79.52; 68.47, 74.47, 81.47) |
| 22 | (498.11, 548.59, 575.50; 476.54, 548.59, 626.35) | (3468.80, 3602.55, 3901.66; 2865.83, 3602.55, 4226.72) | (11, 12, 14; 9, 12, 15) | (0.86, 0.92, 0.99; 0.78, 0.92, 1.03) | (722.10, 784.30, 828.60; 631.01, 784.30, 863.05) | (43.71, 44.87, 47.32; 41.29, 44.87, 49.33) | (52.47, 54.48, 57.34; 50.78, 54.48, 59.58) | (2546.37, 2723.16, 2970.79; 2147.81, 2723.16, 3154.55) | (83.53, 85.79, 91.62; 81.46, 85.79, 93.31) |
| 23 | (522.26, 575.15, 596.38; 489.47, 575.15, 643.49) | (3639.29, 3851.95, 3945.23; 3009.00, 3851.95, 4806.20) | (9, 9, 11; 8, 9, 12) | (0.94, 1.00, 1.02; 0.87, 1.00, 1.14) | (712.27, 783.82, 837.70; 632.28, 783.82, 873.32) | (51.35, 52.75, 56.11; 49.78, 52.75, 56.98) | (58.42, 60.68, 64.63; 55.22, 60.68, 65.74) | (2672.70, 2911.69, 3044.14; 2286.25, 2911.69, 3606.41) | (66.59, 69.48, 74.17; 64.81, 69.48, 75.54) |
| 24 | (488.30, 533.26, 541.90; 464.54, 533.26, 607.57) | (3198.99, 3473.19, 3804.26; 2765.64, 3473.19, 4314.16) | (9, 10, 11; 9, 10, 12) | (0.89, 0.96, 0.97; 0.78, 0.96, 1.11) | (749.55, 816.57, 873.43; 670.14, 816.57, 862.17) | (45.46, 46.74, 49.68; 42.32, 46.74, 51.06) | (51.78, 54.09, 56.92; 50.96, 54.09, 59.25) | (2572.92, 2625.39, 2692.99; 2010.35, 2625.39, 3129.63) | (69.21, 72.69, 76.90; 67.01, 72.69, 79.10) |
| 25 | (540.88, 592.52, 644.48; 492.17, 592.52, 659.93) | (5063.60, 5446.62, 5585.51; 4127.39, 5446.62, 6392.35) | (12, 12, 13; 11, 12, 15) | (1.04, 1.13, 1.26; 0.96, 1.13, 1.28) | (923.17, 979.25, 1057.51; 804.86, 979.25, 1042.43) | (47.16, 49.54, 52.27; 45.43, 49.54, 54.41) | (71.13, 73.49, 78.26; 68.05, 73.49, 79.91) | (3859.89, 4117.10, 4119.80; 3225.97, 4117.10, 4977.09) | (90.94, 93.51, 98.24; 87.54, 93.51, 101.01) |
| 26 | (505.07, 560.40, 605.02; 487.82, 560.40, 616.68) | (4511.81, 4824.96, 5113.90; 3636.56, 4824.96, 5572.80) | (8, 9, 9; 6, 9, 11) | (0.88, 0.94, 0.94; 0.81, 0.94, 1.06) | (1009.21, 1078.89, 1135.93; 912.97, 1078.89, 1085.66) | (61.09, 62.51, 67.35; 58.07, 62.51, 67.82) | (78.41, 81.28, 86.43; 76.40, 81.28, 89.19) | (3574.15, 3647.19, 3963.75; 2815.71, 3647.19, 4383.99) | (108.77, 111.93, 118.09; 102.05, 111.93, 121.25) |
| 27 | (468.40, 497.07, 514.37; 429.51, 497.07, 570.78) | (4171.52, 4207.95, 4359.60; 3323.04, 4207.95, 5209.21) | (11, 12, 12; 11, 12, 15) | (1.05, 1.12, 1.22; 0.97, 1.12, 1.26) | (712.08, 769.74, 829.39; 647.19, 769.74, 785.59) | (66.38, 68.10, 72.91; 64.36, 68.10, 74.46) | (77.12, 79.68, 85.47; 73.60, 79.68, 87.60) | (2934.89, 3180.79, 3428.98; 2472.76, 3180.79, 3671.67) | (110.68, 113.99, 120.91; 106.45, 113.99, 124.81) |
| 28 | (476.52, 520.81, 553.40; 424.58, 520.81, 574.09) | (4361.31, 4743.83, 4768.99; 3761.15, 4743.83, 5681.57) | (10, 11, 11; 9, 11, 15) | (0.96, 1.03, 1.12; 0.88, 1.03, 1.17) | (995.86, 1052.40, 1129.03; 848.24, 1052.40, 1204.17) | (54.20, 57.03, 61.06; 52.92, 57.03, 62.21) | (61.62, 64.48, 67.75; 60.72, 64.48, 70.60) | (3511.57, 3585.86, 3612.39; 2798.33, 3585.86, 4294.37) | (108.32, 111.16, 117.92; 100.81, 111.16, 122.12) |
References
- Zhou, J.; Zhu, J.; Wang, H. Strategic cooperation with capital-constrained supplier and downstream competition in complex product systems. Comput. Ind. Eng. 2020, 139, 106139. [Google Scholar] [CrossRef]
- Du, B.; Tan, T.; Guo, J.; Li, Y.; Guo, S. Energy-cost-aware resource-constrained project scheduling for complex product system with activity splitting and recombining. Expert Syst. Appl. 2021, 173, 114754. [Google Scholar] [CrossRef]
- Wang, X.; Orelaja, O.A.; Ibrahim, D.S.; Ogbonna, S.M. Evaluation of noise risk level and its consequences on technical operators of tobacco processing equipment in a cigarette producing company in Nigeria. Sci. Afr. 2020, 8, e00344. [Google Scholar] [CrossRef]
- Ding, T.; Wu, H.; Jia, J.; Wei, Y.; Liang, L. Regional assessment of water-energy nexus in China’s industrial sector: An interactive meta-frontier DEA approach. J. Clean. Prod. 2020, 244, 118797. [Google Scholar] [CrossRef]
- Wang, M.; Huang, Y.; Li, D. Assessing the performance of industrial water resource utilization systems in China based on a two-stage DEA approach with game cross efficiency. J. Clean. Prod. 2021, 312, 127722. [Google Scholar] [CrossRef]
- Guo, K.; Cao, Y.; Wang, Z.; Li, Z. Urban and industrial environmental pollution control in China: An analysis of capital input, efficiency and influencing factors. J. Environ. Manag. 2022, 316, 115198. [Google Scholar] [CrossRef]
- Wang, Q.; Tang, J.; Choi, G. A two-stage eco-efficiency evaluation of China’s industrial sectors: A dynamic network data envelopment analysis (DNDEA) approach. Process Saf. Environ. Prot. 2021, 148, 879–892. [Google Scholar] [CrossRef]
- Zhang, X.; Ming, X.; Liu, Z.; Qu, Y.; Yin, D. General reference model and overall frameworks for green manufacturing. J. Clean. Prod. 2019, 237, 117757. [Google Scholar] [CrossRef]
- Hole, G.; Hole, A.S. Recycling as the way to greener production: A mini review. J. Clean. Prod. 2019, 212, 910–915. [Google Scholar] [CrossRef]
- Nandy, S.; Fortunato, E.; Martins, R. Green economy and waste management: An inevitable plan for materials science. Prog. Nat. Sci. Mater. Int. 2022, 32, 1–9. [Google Scholar] [CrossRef]
- Zhang, L.; Du, X.; Chiu, Y.-H.; Pang, Q.; Wang, X.; Yu, Q. Measuring industrial operational efficiency and factor analysis: A dynamic series-parallel recycling DEA model. Sci. Total Environ. 2022, 851 Pt 1, 158084. [Google Scholar] [CrossRef]
- Zhang, L.; Zhuang, Y.; Chiu, Y.-H.; Pang, Q.; Chen, Z.; Shi, Z. Measuring urban integrated water use efficiency and spatial migration path in China: A dynamic two-stage recycling model within the directional distance function. J. Environ. Manag. 2021, 298, 113379. [Google Scholar] [CrossRef]
- Chu, J.; Wu, J.; Chu, C.; Liu, M. A new DEA common-weight multi-criteria decision-making approach for technology selection. Int. J. Prod. Res. 2020, 58, 3686–3700. [Google Scholar] [CrossRef]
- Sun, J.; Li, G.; Wang, Z. Technology heterogeneity and efficiency of China’s circular economic systems: A game meta-frontier DEA approach. Resour. Conserv. Recycl. 2019, 146, 337–347. [Google Scholar] [CrossRef]
- Ding, L.-L.; Lei, L.; Wang, L.; Zhang, L.-F. Assessing industrial circular economy performance and its dynamic evolution: An extended Malmquist index based on cooperative game network DEA. Sci. Total Environ. 2020, 731, 139001. [Google Scholar] [CrossRef]
- Kao, C. Efficiency decomposition for parallel production systems. J. Oper. Res. Soc. 2017, 63, 64–71. [Google Scholar] [CrossRef]
- Zhou, X.; Xu, Z.; Chai, J.; Yao, L.; Wang, S.; Lev, B. Efficiency evaluation for banking systems under uncertainty: A multi-period three-stage DEA model. Omega 2019, 85, 68–82. [Google Scholar] [CrossRef]
- Leng, J.; Zhang, H.; Yan, D.; Liu, Q.; Chen, X.; Zhang, D. Digital twin-driven manufacturing cyber-physical system for parallel controlling of smart workshop. J. Ambient. Intell. Humaniz. Comput. 2019, 10, 1155–1166. [Google Scholar] [CrossRef]
- Lu, Y.; Xu, X.; Wang, L. Smart manufacturing process and system automation—A critical review of the standards and envisioned scenarios. J. Manuf. Syst. 2020, 56, 312–325. [Google Scholar] [CrossRef]
- Zhang, K.; Wan, M.; Qu, T.; Jiang, H.; Li, P.; Chen, Z.; Xiang, J.; He, X.; Li, C.; Huang, G.Q. Production service system enabled by cloud-based smart resource hierarchy for a highly dynamic synchronized production process. Adv. Eng. Inform. 2019, 42, 100995. [Google Scholar] [CrossRef]
- Liu, Z.; Wang, L.; Li, X.; Pang, S. A multi-attribute personalized recommendation method for manufacturing service composition with combining collaborative filtering and genetic algorithm. J. Manuf. Syst. 2021, 58, 348–364. [Google Scholar] [CrossRef]
- Guo, S.; Gao, Y.; Guo, J.; Yang, Z.; Du, B.; Li, Y. A multi-stage group decision making for strategic supplier selection based on prospect theory with interval-valued q-rung orthopair fuzzy linguistic sets. J. Intell. Fuzzy Syst. 2021, 40, 9855–9871. [Google Scholar] [CrossRef]
- Xu, M.; Liu, S.; Xu, Z.; Zhou, W. DEA Evaluation Method Based on Interval Intuitionistic Bayesian Network and Its Application in Enterprise Logistics. IEEE Access 2019, 7, 98277–98289. [Google Scholar] [CrossRef]
- Arya, A.; Yadav, S.P. Development of intuitionistic fuzzy data envelopment analysis models and intuitionistic fuzzy input–output targets. Soft Comput. 2018, 23, 8975–8993. [Google Scholar] [CrossRef]
- Deng, X.; Fang, W. A novel mean-variance-maverick DEA prospect cross-efficiency approach for fuzzy portfolio selection. J. Intell. Fuzzy Syst. 2019, 37, 8113–8130. [Google Scholar] [CrossRef]
- Tavassoli, M.; Saen, R.F.; Zanjirani, D.M. Assessing sustainability of suppliers: A novel stochastic-fuzzy DEA model. Sustain. Prod. Consum. 2020, 21, 78–91. [Google Scholar] [CrossRef]
- Aparicio, J.; Kapelko, M.; Ortiz, L. Enhancing the measurement of firm inefficiency accounting for corporate social responsibility: A dynamic data envelopment analysis fuzzy approach. Eur. J. Oper. Res. 2022. [CrossRef]
- Singh, N.; Pant, M. Efficiency assessment of Indian paper mills through fuzzy DEA. Mater. Manuf. Processes 2020, 35, 725–736. [Google Scholar] [CrossRef]
- Farrell, M.J. The Measurement of Productive Efficiency. J. R. Stat. Society. Ser. A (Gen.) 1957, 120, 253–290. [Google Scholar] [CrossRef]
- Charnes, A.; Cooper, W.W.; Rhodes, E. Measuring the efficiency of decision-making units. Eur. J. Oper. Res. 1978, 2, 429–444. [Google Scholar] [CrossRef]
- Lee, H.S.; Choi, Y. Environmental performance evaluation of the Korean manufacturing industry based on sequential DEA. Sustainability 2019, 11, 874. [Google Scholar] [CrossRef]
- Ostovan, S.; Mozaffari, M.R.; Jamshidi, A.; Gerami, J. Evaluation of Two-Stage Networks Based on Average Efficiency Using DEA and DEA-R with Fuzzy Data. Int. J. Fuzzy Syst. 2020, 22, 1665–1678. [Google Scholar] [CrossRef]
- Guo, C.; Shureshjani, R.A.; Foroughi, A.A.; Zhu, J. Decomposition weights and overall efficiency in two-stage additive network DEA. Eur. J. Oper. Res. 2017, 257, 896–906. [Google Scholar] [CrossRef]
- Broekel, T.; Rogge, N.; Brenner, T. The innovation efficiency of German regions—A shared-input DEA approach. Rev. Reg. Res. 2018, 38, 77–109. [Google Scholar] [CrossRef]
- Fukuyama, H.; Matousek, R.; Tzeremes, N.G. A Nerlovian cost inefficiency two-stage DEA model for modeling banks’ production process: Evidence from the Turkish banking system. Omega 2020, 95, 102198. [Google Scholar] [CrossRef]
- Shamohammadi, M.; Oh, D.-H. Measuring the efficiency changes of private universities of Korea: A two-stage network data envelopment analysis. Technol. Forecast. Soc. Chang. 2019, 148, 119730. [Google Scholar] [CrossRef]
- Ameri, Z.; Sana, S.S.; Sheikh, R. Self-assessment of parallel network systems with intuitionistic fuzzy data: A case study. Soft Comput. 2019, 23, 12821–12832. [Google Scholar] [CrossRef]
- Chen, X.; Liu, X.; Gong, Z.; Xie, J. Three-stage super-efficiency DEA models based on the cooperative game and its application on the R&D green innovation of the Chinese high-tech industry. Comput. Ind. Eng. 2021, 156, 107234. [Google Scholar]
- Shuai, S.; Fan, Z. Modeling the role of environmental regulations in regional green economy efficiency of China: Empirical evidence from super efficiency DEA-Tobit model. J. Environ. Manag. 2020, 261, 110227. [Google Scholar] [CrossRef]
- Zhou, X.; Xu, Z.; Yao, L.; Tu, Y.; Lev, B.; Pedrycz, W. A novel Data Envelopment Analysis model for evaluating industrial production and environmental management system. J. Clean. Prod. 2018, 170, 773–788. [Google Scholar] [CrossRef]
- Ahmadvand, S.; Pishvaee, M.S. An efficient method for kidney allocation problem: A credibility-based fuzzy common weights data envelopment analysis approach. Health Care Manag. Sci. 2018, 21, 587–603. [Google Scholar] [CrossRef] [PubMed]
- Arya, A.; Yadav, S.P. Performance Efficiency of Public Health Sector Using Intuitionistic Fuzzy DEA. Int. J. Uncertain. Fuzziness Knowl. Based Syst. 2020, 28, 289–315. [Google Scholar] [CrossRef]
- Chien, L.; Chi, S. An integrated data envelopment approach for evaluating the meat companies efficiency. Agric. Econ. 2019, 65, 470–480. [Google Scholar] [CrossRef]
- Soltani, M.R.; Edalatpanah, S.A.; Sobhani, F.M.; Najafi, S.E. A Novel Two-Stage DEA Model in Fuzzy Environment: Application to Industrial Workshops Performance Measurement. Int. J. Comput. Intell. Syst. 2020, 13, 1134–1152. [Google Scholar] [CrossRef]
- Singh, S. Intuitionistic fuzzy DEA/AR and its application to flexible manufacturing systems. RAIRO-Oper. Res. 2018, 52, 241–257. [Google Scholar] [CrossRef]
- Arya, A.; Singh, S. Development of two-stage parallel-series system with fuzzy data: A fuzzy DEA approach. Soft Comput. 2020, 25, 3225–3245. [Google Scholar] [CrossRef]
- Davoudabadi, R.; Mousavi, S.M.; Mohagheghi, V. A new decision model based on DEA and simulation to evaluate renewable energy projects under interval-valued intuitionistic fuzzy uncertainty. Renew. Energy 2021, 164, 1588–1601. [Google Scholar] [CrossRef]
- Wang, Q.; Zhang, F. Does increasing investment in research and development promote economic growth decoupling from carbon emission growth? An empirical analysis of BRICS countries. J. Clean. Prod. 2020, 252, 119853. [Google Scholar] [CrossRef]
- Murrell, J.; Kehoe, D.; Aysola, M.; Jing, D.; Punreddy, S.; Verma, A.; Mann, K.; Lawson, T.; Rook, M. Single use expansion and harvest of adult stem cells supports large scale manufacturing. Cytotherapy 2014, 16, S73. [Google Scholar] [CrossRef]
- Willmann, J.; Stocker, D.; Dörsam, E. Characteristics and evaluation criteria of substrate-based manufacturing. Is roll-to-roll the best solution for printed electronics? Org. Electron. 2014, 15, 1631–1640. [Google Scholar] [CrossRef]
- Amaral, M.C.D.; Zonatti, W.F.; Silva, K.L.D.; Karam Junior, D.; Amato Neto, J.; Baruque-Ramos, J. Industrial textile recycling and reuse in Brazil: Case study and considerations concerning the circular economy. Gestão Produção 2018, 25, 431–443. [Google Scholar] [CrossRef]
- Ali, A.K.; Wang, Y.; Alvarado, J.L. Facilitating industrial symbiosis to achieve circular economy using value-added by design: A case study in transforming the automobile industry sheet metal waste-flow into Voronoi facade systems. J. Clean. Prod. 2019, 234, 1033–1044. [Google Scholar] [CrossRef]
- Paulillo, A.; Striolo, A.; Lettieri, P. Data on the environmental impacts of the Hellisheiethi geothermal plant and on the carbon intensity of geothermal energy and other energy technologies. Data Brief 2019, 27, 104771. [Google Scholar] [CrossRef]
- Wen, Y. Combined material recycling study with aesthetic of entropy and place making. Sci. World J. 2015, 2015, 208342. [Google Scholar] [CrossRef]
- Feng, Y.; Zhang, Z.; Tian, G.; Fathollahi-Fard, A.M.; Hao, N.; Li, Z.; Wang, W.; Tan, J. A Novel Hybrid Fuzzy Grey TOPSIS Method: Supplier Evaluation of a Collaborative Manufacturing Enterprise. Appl. Sci. 2019, 9, 3770. [Google Scholar] [CrossRef]
- Rani, P.; Mishra, A.R.; Mardani, A.; Cavallaro, F.; Alrasheedi, M.; Alrashidi, A. A novel approach to extended fuzzy TOPSIS based on new divergence measures for renewable energy sources selection. J. Clean. Prod. 2020, 257, 120352. [Google Scholar] [CrossRef]
- Arya, A.; Yadav, S.P. Development of intuitionistic fuzzy super-efficiency slack based measure with an application to health sector. Comput. Ind. Eng. 2018, 115, 368–380. [Google Scholar] [CrossRef]
Publisher’s Note: MDPI stays neutral with regard to jurisdictional claims in published maps and institutional affiliations. |
© 2022 by the authors. Licensee MDPI, Basel, Switzerland. This article is an open access article distributed under the terms and conditions of the Creative Commons Attribution (CC BY) license (https://creativecommons.org/licenses/by/4.0/).









