Abstract
Aeromonas spp. are ubiquitous aquatic bacteria, frequently isolated from seafood. The growth and spoilage potential of an inoculated strain of Aeromonas salmonicida (SU2) in Atlantic cod (Gadus morhua) fillets were assessed as a function of various modified atmospheres (MA) (CO2 (67%) with O2 (33%) or N2 (33%), and vacuum packaging (VP)) under refrigerated storage (4 °C) for 13 days. Additionally, the general microbiological quality was assessed by quantifying total aerobic psychrotrophic count (PC), total aerobic plate count (APC), and H2S-producing bacteria. A selection of spoilage metabolites was quantified by nuclear magnetic resonance (NMR) spectroscopy. The MA containing CO2/O2 and CO2/N2 significantly inhibited the growth of the inoculated strain throughout storage (p < 0.001), whereas VP allowed for a 3-log increase of Aeromonas in 13 days. No significant effect of the inoculation with A. salmonicida on spoilage metabolite production was detected. Applying O2 instead of N2 in the CO2-enriched atmosphere resulted in a significantly lower PC for 10 days, and H2S-producing bacteria were inhibited in both MAs compared to vacuum. This study provides data that can be used as a basis to further elucidate the role of bacteria belonging to the genus Aeromonas as potential spoilage organisms in marine fish species.
1. Introduction
Aeromonas spp. are ubiquitous aquatic bacteria, highly prevalent in fish and crustaceans, and commonly recognized as spoilage organisms in various types of seafood [1]. There are currently 36 recognised species of Aeromonas [2], of which Aeromonas salmonicida is one of those most frequently associated with seafood spoilage [3]. Aeromonas spp. can normally grow in seafood under refrigeration temperatures [4,5,6] and are in several studies recognised as a major part of the spoilage microbiota of ice-stored seafood products from tropical waters such as sea bream (Sparus aurata) [7], common carp (Cyprinus carpio) [8], sea salmon (Pseudopercis semifasciata) [9], and farmed shrimps (Litopenaeus vannamei) [10]. Aeromonas media was isolated from the late spoilage of silver carp (Hypophthalmichtys molitrix) surimi preserved at 4 °C [11]. However, data on the role of Aeromonas spp. as potential spoilage organisms in marine fish species are sparse. Despite being recognised as part of Atlantic salmon (Salmo salar) [12] and Atlantic cod (Gadus morhua) [13] microbiota, there is less knowledge of the ability of Aeromonas to grow and deteriorate processed marine fish fillets by producing spoilage-associated metabolites under various packaging atmospheres.
The use of modified atmosphere (MA) packaging combined with cold storage extends the shelf life of most seafood products by inhibiting bacterial growth and oxidative reactions [14]. The effect of MA packaging and the obtained shelf-life extension depends on fish species, fat content, gas composition in the package (concentration of CO2 in the atmosphere and availability of oxygen), the ratio of gas to product volume, storage temperature, and the composition of the initial microbial community. Post-mortem quality deterioration of fish is caused by autolytic changes, chemical oxidations, and, to the largest extent, microbial activity [15]. Resulting from the metabolism of specific spoilage organisms (SSO), the production of volatile organic compounds (VOCs) is linked to the development of characteristic off-odours and off-flavours, leading to sensory rejection [16,17]. In particular, the pungent trimethylamine (TMA) is produced in MA and vacuum packaged products resulting from the reduction of trimethylamine oxide (TMAO) by bacteria capable of anaerobic respiration such as Photobacterium and Shewanella spp. [13,18,19]. Thus the application of O2 in the packaging atmosphere is used to inhibit the production of TMA in TMAO-rich fish species such as cod [14,20]. Atlantic cod is an important trade product for the seafood industry in the North Atlantic area, and the effect of various MA conditions on cod has been extensively studied [13,21,22,23]. Packaging using MA is reported to preserve quality better than vacuum packaging (VP) [19,24], and the reported shelf-life for cod under various MA conditions is in the range from 10 to 20 days at 0–3 °C [25,26]. Photobacterium phosphoreum, characterised by its efficient TMA production and high resistance to CO2, has been identified as SSO of chilled MA packaged Atlantic cod (>60% CO2) [20,27]. The application of gas mixtures with high levels of CO2 and O2 has been suggested to be beneficial for the shelf life of MA packaged cod [14,28]. However, the effect of high O2 concentrations on the fish microbiota during chilled storage is not well documented [13,29].
Compared to P. phosphoreum and Shewanella spp., the significance of Aeromonas spp. as a spoilage organism in chilled MA or vacuum packaged cod is far less studied. Inoculation studies have demonstrated that Aeromonas spp. can be associated with spoilage in vacuum packaged products such as pre-rigor filleted Atlantic salmon by the production of TMA, hypoxanthine, and H2S [30], and in cold smoked salmon by the production of TVBN [31]. Inoculation of A. salmonicida in shrimps under MA (50/50% CO2/N2) resulted in the production of off-odours described as butter, sour, sulphur, and amine [32]. Strains of A. salmonicida isolated from common carp produced off-odours characterised as cheese-like and sour, and the ability of the strain to reduce TMAO to TMA was confirmed [8].
In a recent study, Hansen et al. [13] identified Aeromonas spp. as one of the dominating bacteria after 13 days of VP in Atlantic cod fillets using next-generation sequencing (NGS). In the same study, they demonstrated that Aeromonas spp. can enumerate at a reduced rate in an atmosphere containing 60/40% CO2/N2, but not when 40% O2 was applied instead of N2. The increased popularity of cod as a conveniently packaged product calls for more knowledge about the shelf-life and quality following packaging. Moreover, no studies have specifically targeted A. salmonicida in MA or vacuum packaged Atlantic cod. The aim of the study was thus to assess the growth kinetic parameters and the spoilage potential of a strain of A. salmonicida in Atlantic cod packaged under high O2 (67% CO2 and 33% O2) and CO2/N2 (67%/33%) atmospheres stored in refrigerated temperature (4 °C) for 13 days.
2. Materials and Methods
2.1. Raw Material and Experimental Design
A total of 12 individual whole, gutted Atlantic cod (Gadus morhua) (average weight 5.0 kg), were purchased from a local seafood company and transported to the laboratory in boxes filled with wet ice after harvest. The fish were skinned and filleted in-house upon arrival, divided into standardised pieces of 75 ± 2 g, and randomly distributed into six groups. The experiment was designed to study the effect of different modified atmosphere compositions (67% CO2 balanced with either 33% O2 or N2) on the growth kinetic parameters and spoilage metabolite production following inoculation with the strain A. salmonicida SU2 in fresh cod fillets stored under refrigeration (4 °C). Vacuum packaging (inoculated and non-inoculated) was used as a control. The experimental design thus resulted in six groups; non-inoculated control samples and inoculated samples subjected to three different packaging atmospheres (Table 1). The samples were stored at 4 °C for 13 days. Samples for microbiological analysis were taken on days 0, 2, 4, 6, 8, 10, and 13 after packaging (n = 3 at each sample point, except day 0, where n = 4). Headspace gas analysis of packaging atmosphere was performed on all packages before microbiological sampling. Samples for metabolite analysis were collected on days 0, 6, and 13 after packaging and kept at −80 °C until extraction and analysis.
Table 1.
Experimental groups showing different packaging atmospheres and inoculation status. Inoculation: Aeromonas salmonicida strain SU2.
2.2. Inoculum Preparation
A volume of 0.1 mL of a frozen stock culture of A. salmonicida strain SU2 previously isolated from sushi [33] was thawed and transferred to a 250 mL baffled shake-flask containing 100 mL tryptone soy broth (TSB) (Oxoid, Oslo, Norway). The culture was grown overnight at 37 °C, and 1 mL of the overnight culture was transferred to a new shake-flask containing 100 mL TSB. The culture was again grown overnight at 8 °C to adapt to cold storage and then diluted in 0.9% NaCl to obtain an inoculum with cell concentration corresponding to approximately log 6 CFU/mL. An aliquot of 600 µL of the cold-adapted inoculum was added to the top surface of each piece of fish (Section 2.1) and distributed evenly on the surface using a sterile L-shaped spreader. The inoculated fish were allowed to dry for 30 min before packaging.
2.3. Packing and Storage Conditions
The inoculated and uninoculated pieces of cod were individually packaged in 230 mL semi-rigid crystalline polyethylene terephthalate (CPET) trays (C2125-1A, Færch Plast, Holstebro, Denmark) on top of an absorbent (Bewi, Hamarvik, Norway), using a semi-automatic tray sealing packaging machine (TL250, Webomatic, Bochum, Germany) to obtain an approximate 3:1 gas:product ratio (v:w). During the packaging process, the air was evacuated before filling the trays with the set gas mixes (Table 1) and sealed with the top film (40-µm polyethylene (PE), ethylene vinyl alcohol (EVOH), PA, and PET) (Topaz B-440 AF, Plastopil, Almere, The Netherlands). The oxygen transmission rate (OTR) was 66–78 cm3 × 25 mm × m−2 × 24 h × bar at 23 °C for the tray, and 2.5 cm3 × 40 mm × m−2 × 24 h × atm at 23 °C for the cover film. Food-grade gas (CO2, O2, or N2) were mixed in a MAP Mix 9000 gas mixer (Dansensor, Ringsted, Denmark) to obtain the correct packaging atmospheres, which was confirmed by measuring five packaging dummies (packages with gas only) using an O2 and CO2 analyser (Check-mate 9900, Dansensor). Furthermore, the headspace gas composition was measured in each package at the time of microbiological sampling. The VP samples were packaged in 20-µm polyamide (PA)/70-µm PE bags (OTR 50 cm3 × m−2 × 24 h × bar at 23 °C, Star-Pack Productive, Boissy-l’Aillerie, France) using a vacuum machine (Supermax-C, Webomatic). Air was evacuated to an end pressure of 25 mbar before sealing.
2.4. Sampling and Bacterial Quantification
A 10 g slice of cod (cut vertically through the sample) was aseptically transferred to a sterile stomacher bag and diluted 1:10 with sterile peptone water (0.85% NaCl (Merck, Oslo, Norway) and 0.1% neutralised bacterial peptone (Oxoid)) and homogenised for 60 s using a Stomacher lab blender (IUL Masticator, Barcelona, Spain). Appropriate 10-fold serial dilutions were made in peptone water. Aeromonas spp. were quantified on Starch Ampicillin Agar (SAA) (composed of (g/L) peptone (10), beef extract (Difco, Bordeaux, France) (1), NaCl (5), soluble starch (Difco) (10), phenol red (Sigma-Aldrich, Oslo, Norway) (0.025), and agar (Oxoid) (15)) supplemented with 10 mg/L Ampicillin (Sigma-Aldrich), as described in NMKL (Nordic Committee on Food Analysis) method no. 150 [34]. The SAA plates were incubated at 37 °C for 24 ± 2 h. Lyngby’s Iron agar (IA) (Oxoid) supplemented with 0.04 % L-cysteine (Sigma-Aldrich) was applied to quantify total aerobic count (APC) and H2S-producing bacteria as white and black colonies, respectively, as described in NMKL method no. 184 [35]. The IA plates were incubated at 22 °C for 72 ± 6 h. Total psychrophilic count (PC) was determined using Long & Hammer agar (LH) (composed of (g/L) proteose peptone (Oxoid) (20), gelatin (Oxoid) (40), dipotassium phosphate (K2HPO4) (Merck) (1), NaCl (10), agar (15), and ammonium ferric (III) citrate) (Sigma-Aldrich) (0.25)) prepared according to NMKL method no. 184. The LH plates were added 1% NaCl to support the growth of P. phosphoreum and incubated at 15 °C for 6 days.
2.5. Quantification of Metabolites by Nuclear Magnetic Resonance (NMR)
A selection of water-soluble metabolites (TMA: trimethylamine, IMP: inosine monophosphate, HxR: Inosine, and Hx: hypoxanthine) were analysed by nuclear magnetic resonance (NMR) according to the method described by Shumilina, et al. [36]. The metabolites were extracted from 5 g cod muscle using 7.5% trichloroacetic acid (TCA, Sigma-Aldrich), as described previously [36]. 1D 1H-NMR-spectra were acquired at 300 K using a Bruker Avance 600-MHz spectrometer equipped with a 5 mm z-gradient TXI (H/C/N) cryoprobe (Bruker, Billerica, MA, USA). The NMR analysis and subsequent spectra processing were performed at the NMR centre of the faculty of Natural Sciences at NTNU (Trondheim). Spectra were processed using the TopSpin 3.5 software (Bruker)), and Trimethylsilyl propanoic acid (TSP, Sigma-Aldrich) was used as an external standard for spectral calibration (0 ppm). The reported concentrations are based on an average integral value derived from three integrations of the same resonance signal.
2.6. Statistical Analysis
The statistical analyses were performed using the software SPSS (version 28, IBM, Armonk, NY, USA). Statistical analyses were done using log-transformed microbial growth data, and all mean values are presented as mean ± standard deviation (SD). Log-transformed bacterial counts were fitted to the primary growth model of Baranyi and Roberts [37], available at www.combase.cc (accessed on 8 July 2022) for estimation of maximum growth rates (µmax) and lag phase duration. A Pearson correlation analysis was applied to determine the linear association between bacterial counts on different growth media and the changes in headspace concentration of CO2 and O2 during storage. A General Linear Model (GLM) with storage time, packaging atmosphere, and inoculation as fixed factors were applied for main effect analysis. A one-way analysis of variance (ANOVA) with Tukey’s pairwise comparison test was used for comparing experimental groups. The alpha level was set to 5% (p < 0.05).
3. Results and Discussion
3.1. Headspace Gas Composition in Packages
The headspace gas composition was measured at each sampling point for the samples packaged in trays. There was a significant drop in the CO2 concentration between day zero (67%) and day two (39.7 ± 3.2%) (p < 0.001) due to the diffusion of CO2 from the headspace to the product [38] as the CO2 is absorbed in the aqueous phase of the fish fillet [39]. During storage, there was a slight increase in the headspace CO2 concentration, reaching an average of 45.3 ± 4.4% on day 13.
For packages with O2 as the balancing gas, the initial concentration was set to 33% and increased significantly from day zero to day two (53.3 ± 2.3%) (p < 0.001) and was stable throughout storage (p > 0.05). Furthermore, a significant correlation between the absorption of CO2 in the product and the increase in head-space O2 concentration was observed for the 13 days storage period (r = 0.97, p < 0.001). The initial concentration of N2 was also set to 33%, and like O2 packages, there was a significant increase in the headspace N2 from day zero to day two (p < 0.001) at 60.5 ± 3.0%. As a function of storage time, the N2 concentration decreased steadily to a final concentration of 51.8 ± 1.8% on day 13. The headspace O2 in these packages ranged from 0.76 ± 0.71% on day two to 0.17 ± 0.13% on day 13.
3.2. Effect of Various Modified Atmospheres on the Microbial Quality of Non-Inoculated Cod
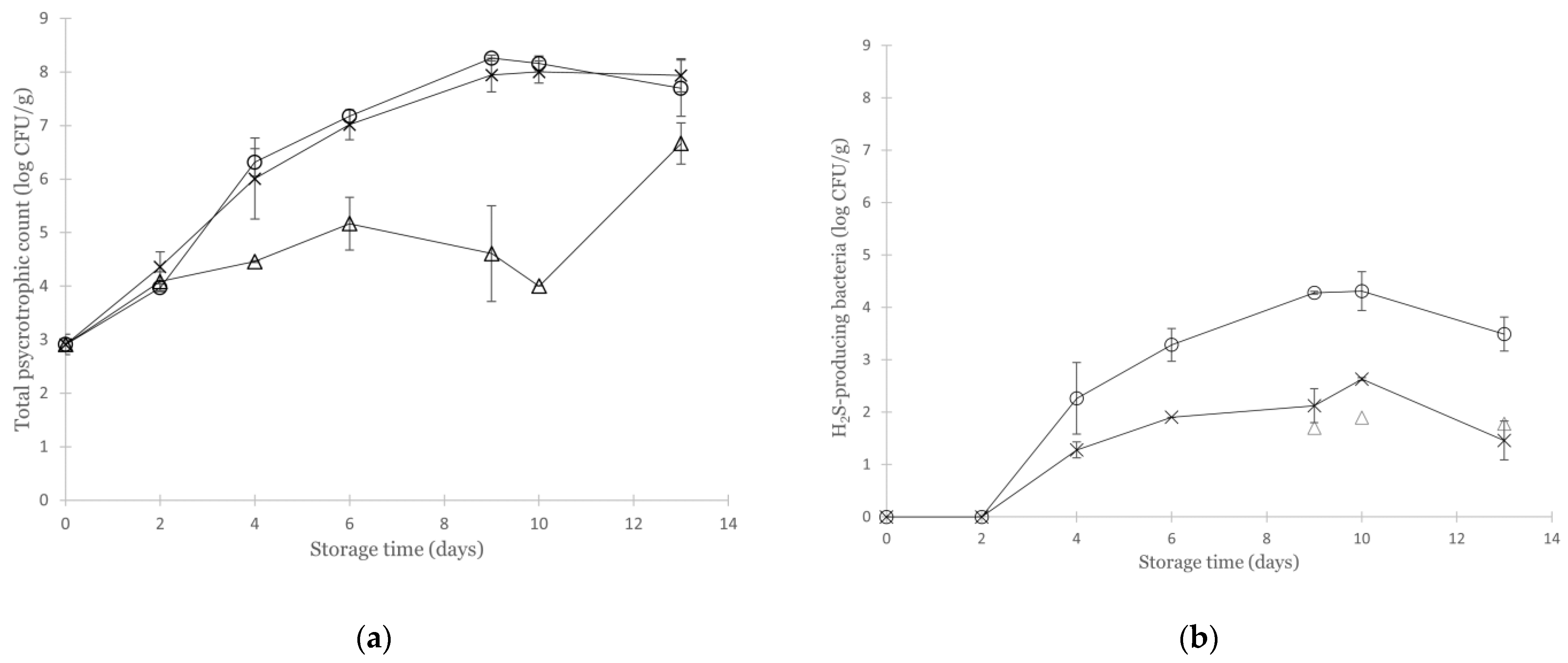
The initial PC and APC in the non-inoculated samples were 2.9 ± 0.2 log CFU/g and 2.2 ± 0.2 log CFU/g, respectively, and thus within the expected level of fresh marine fish [40,41,42]. The cod were hand filleted under strict hygiene conditions, and the initial bacterial concentrations indicated a low level of contamination during processing. For the non-inoculated groups, the PC increased to 7.7–7.9 log CFU/g on day 13 for samples packaged in a vacuum and CO2/N2. Regardless of the packaging atmosphere, there was a 1 log increase in bacterial count over the first two days. However, the CO2/O2 atmosphere was the only packaging condition able to reduce bacterial growth from this point. On day 10, a significant (4-log, p < 0.001) difference in PC was observed between the samples packaged in CO2/O2 compared to CO2/N2 and vacuum (Figure 1a). However, this difference decreased by the end of storage, and there was no significant difference in the PC for the three non-inoculated groups at the end of storage (day 13, p = 0.102). The APC quantified on IA was systematically lower than the PC quantified on LH, and the difference in plate count for these two media ranged from 2.7–5.2 log CFU/g on the last sampling day. It is previously reported that the use of LH-agar gives the best quantitative determination of the total number of marine bacteria in seafood [43], which was also supported by Kuuliala et al. [21], observing higher counts on LH than IA for cod fillets due to the dominance of Photobacterium. IA is, however, applied for detecting bacteria able to produce H2S from cysteine, not exclusively Shewanella, but also Aeromonas, members of the families Enterobacteriaceae and Vibrionaceae, and some genera of lactic acid bacteria (LAB) [35]. The non-specific detection of H2S-producing bacteria on IA calls for using multiple indicators in the quality assessment of seafood. In the present study, no H2S-producing bacteria were detected in any non-inoculated sample on days 0 and 2. For samples packaged in MA containing CO2/O2, H2S-producing bacteria were inhibited and only detected sporadically (in 1 out of 3 parallels) at the last three sampling points. The highest increase in H2S-producing bacteria was observed in VP samples (maximum concentration of 4.3 log CFU/g at day 9), whereas the MA containing CO2/N2 was able to restrain the growth of H2S-producing bacteria to a maximum concentration of 2.6 log CFU/g (Figure 1b), which agrees with others [21,26,40,41]. Furthermore, Hansen et al. [13] demonstrated that high-oxygen packaging (60/40% CO2/O2) could inhibit common spoilage bacteria such as Photobacterium, Shewanella, and Pseudomonas in cod, and at the same time allow the growth of LAB (Carnobacterium) and Acinetobacter resulting in reduced sensory quality compared to products with high levels of Photobacterium. Another concern when applying packaging in high-oxygen atmospheres is lipid oxidation [44]; however, this is most likely not a problem in cod fillets due to the low lipid content [13].
Figure 1.
(a) Total aerobic psycrotrophic count (PC) quantified on Long & Hammer agar and (b) H2S-producing bacteria quantified as black colonies on Iron agar in non-inoculated cod fillets packaged in a modified atmosphere consisting of CO2 (67%) mixed with either O2 (33%) (Δ) or N2 (33%) (X), or in vacuum (○) for 13 days at 4 °C. n = 3 for each sampling point (n = 4 at day 0), and vertical error bars represent ± 1 SD.
There is no absolute association between the microbiological load and spoilage of a fish product. A limit of log 7 CFU/g has generally been considered as maximum acceptable for fish [19]; however, sensory rejection has been found at bacterial counts between 6 to 9 log CFU/g [10,21,45,46]. In MA packaged cod, Kuuliala et al. [21] found sensory rejection to occur at PC levels of 7–7.5 log CFU/g. Accordingly, the cod packaged in an atmosphere with O2 was the only group that never exceeded the 7 log CFU/g limit during 13 days of storage (although the PC was not significantly different from the other atmospheres at this point), and none of the groups exceeded 5 log CFU/g of H2S producing bacteria. No sensory assessment was done in the present study, and we cannot conclude if the products were sensory acceptable at the end of storage.
3.3. Growth of Aeromonas Salmonicida in Cod under Various Modified Atmospheres
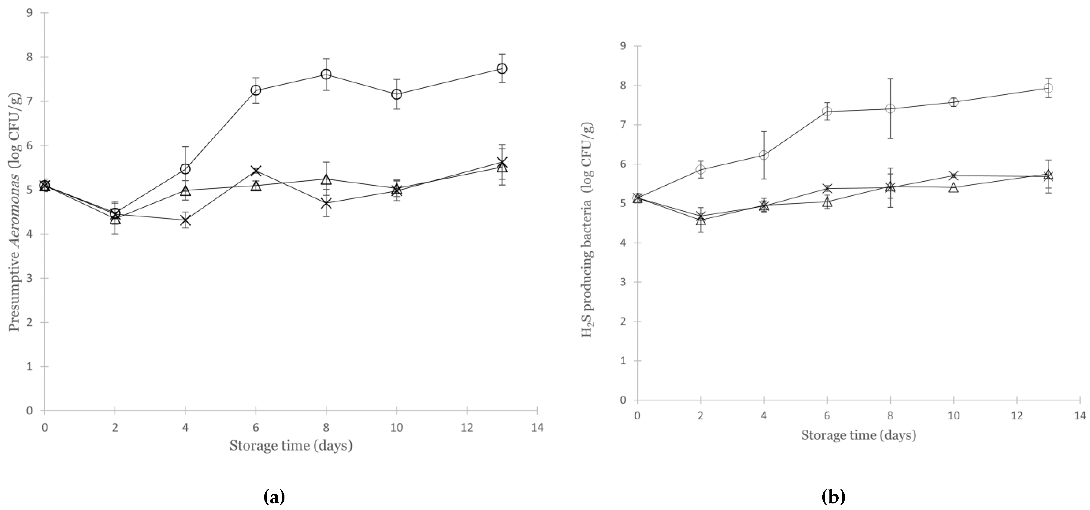
No Aeromonas spp. were detected in the non-inoculated control samples, and it is thus reasonable to assume that all Aeromonas spp. detected throughout the storage on the selective agar were the inoculated strain (A. salmonicida SU2). The initial concentration of the inoculated strain quantified on SAA averaged log 5.1 ± 0.1 CFU/g. The relatively high concentration of inoculum was applied to increase the likelihood of detection of metabolites in a naturally contaminated system, as previously described in Jakobsen et al. [30] and Lerfall et al. [42]. The combination of MA (balanced with either O2 or N2) and refrigeration (4 °C) inhibited the growth of A. salmonicida in the cod fillet during 13 days of storage (Figure 2a). There was no significant difference between the concentration of Aeromonas on days 0 and 13 for these two atmospheres (p > 0.05 for both atmospheres), and there was no significant difference in the maximum population density of Aeromonas under these two atmospheres: 5.5 ± 0.41 (O2) and 5.6 ± 0.39 (N2) log CFU/g, respectively (p > 0.05). Vacuum packaging allowed the growth of the inoculated strain, and the concentration of Aeromonas increased by almost 3 log units to 7.7 ± 0.32 log CFU/g during storage. The lag phase (3.4 ± 0.66 days), estimated by fitting the data to the primary growth model of Baranyi and Roberts [37], was longer than observed for the same strain in salmon under comparable conditions [30]. The maximum growth rate of the inoculated A. salmonicida SU strain quantified on SAA in the present study was almost two times higher in cod (µmax = 1.00 ± 0.38 log CFU/day) compared to the rate previously reported in salmon (µmax = 0.56 ± 0.04 log CFU/g/day) [30]. However, when comparing the growth curves for the inoculated strain quantified on SAA to the curve derived from IA, it was apparent that the inoculated culture was somewhat inhibited during the first two days, possibly from selective conditions in the SAA, resulting in a steeper slope from day two and onwards (Figure 2a).
Figure 2.
(a) Growth of the inoculated strain A. salmonicida SU2 (quantified on Starch Ampicillin Agar (SAA)) and (b) H2S-producing bacteria (black colonies on iron agar) in inoculated cod fillets packaged in CO2 (67%) mixed with O2 (33%) (Δ), N2 (33%) (X), or in vacuum (○) for 13 days at 4 °C. n = 3 for each sampling point (n = 4 at day 0) and vertical error bars represent ± 1 SD.
The initial concentration of H2S-producing bacteria in the inoculated samples, quantified on IA, was 5.1 ± 0.1 log CFU/g. Due to the strong correlation of bacterial counts on SAA and IA (r = 0.91, p < 0.01), it is presumed that the black colonies counted on IA were the inoculated A. salmonicida strain. Taking this into consideration, the lag phase (no lag) and growth rate representing the H2S-producing bacteria quantified on IA (µmax = 0.32 ± 0.05 log CFU/g/day) are probably more representative of the growth of A. salmonicida SU2 in the VP cod (Figure 2b). Despite being able to grow at different rates in refrigerated MA or VP seafood, Aeromonas has, to our knowledge, only once been associated with the microbiota of packaged and stored Atlantic cod [13]. Thanks to the development and increased application of NGS methods, in-depth information is being obtained about the dynamics of bacterial populations during storage and spoilage [1]. As highlighted by Parlapani et al. [7], and in the recent review by Anagnostopoulos et al. [47], the combination of culture-independent and classical microbiological methodologies must be applied to ensure the detection of bacteria that tend to escape cultivation methods, such as Aeromonas spp. which are likely to be overlooked on IA, LH, or on supplemented Pseudomonas agar (CFC) [48]. The lack of selective media for Shewanella and Photobacterium and the non-efficient selective media for Aeromonas and Pseudomonas illustrate the challenges of using only culture-dependent methods for examining the spoilage microbiota [7]. Molecular methods, in particular amplicon sequencing of the bacterial 16S rRNA gene for monitoring the most abundant and dominant microbiota of different seafood types, have revealed that Aeromonas are in fact more prevalent in shellfish and finfish from both cold and temperate water than previously reported by culture-dependent studies [47].
3.4. Spoilage Metabolite Production under Various Modified Atmospheres
Post-mortem deterioration and quality loss of seafood can be monitored by the analysis of adenosine triphosphate (ATP) degradation products as endogenous and bacterial enzymes catalyse degradation of ATP in the fish muscle through the intermediate products adenosine diphosphate (ADP), adenosine monophosphate (AMP), inosine monophosphate (IMP), Inosine (HxR), and hypoxanthine (Hx) [49]. The desired and pleasant umami taste of seafood is associated with IMP, and the further degradation of HxR and Hx by microbial enzymes is connected to the loss of freshness and the development of unpleasant sensory properties in some fish species [49,50].
In the present study, the concentration of IMP was significantly affected by storage time (GLM, p < 0.001) but not by packaging atmosphere (GLM, p = 0.734) or inoculation (GLM, p = 0.877) due to only sporadic detection during storage, which indicates that conversion of IMP to HxR had already occurred (Table 2). Overall, a significant effect of storage time and packaging atmosphere on the concentration of HxR was observed (GLM, p < 0.001 for both factors), but no effect following inoculation with the Aeromonas strain (GLM, p = 0.837). Regardless of inoculation, the conversion of HxR to Hx was significantly faster for samples packaged in CO2/N2 and vacuum compared to packaging in CO2/O2 (p < 0.05) (Table 2). Accordingly, samples depleted of HxR showed a significant increase in the Hx concentration (p < 0.001). A significant effect of storage time and packaging atmosphere was observed for Hx (GLM, p < 0.001 for both factors). In contrast, there was no significant difference in the Hx concentration in inoculated versus non-inoculated samples (GLM, p = 0.821). The concentration of Hx increased as a function of storage time for all groups (p < 0.05), and at the end of storage, the Hx concentration was significantly lower in the CO2/O2 samples compared to packaging in CO2/N2 and vacuum (p < 0.05) (Table 2). Applying an atmosphere containing 67/33% CO2/O2 was also shown to reduce the production of spoilage metabolites such as hypoxanthine (Hx) and biogenic amines in saithe (Pollachius virens) [41]. On day 13, a maximum concentration of 0.60 mmol/100 g of fish muscle of Hx was reached in the inoculated vacuum packaged samples, which was significantly higher than the other groups (p < 0.05). There was no difference in the PC level in the inoculated and non-inoculated samples at that time point (p = 0.146), whereas the APC level was significantly higher in the inoculated versus non-inoculated samples (p < 0.001). Consequently, a potential inoculum effect for the Hx concentration towards the end of storage could not be confirmed.
Table 2.
Average concentrations (mmol/100 g) of inosine monophosphate (IMP), inosine (HxR), and hypoxanthine (Hx) in cod filets with and without inoculation with A. salmonicida strain SU2 packaged in CO2 (67%) mixed with either O2 (33%), N2 (33%) or packaged in a vacuum. p-values for main effect analysis of storage time (PD), packaging atmosphere (PA), inoculation status (PI), and the GLM model (PM) are shown in the table.
The concentration of TMA was affected by atmosphere and storage time in the same way as Hx. As seen for the ATP degradation metabolites, storage time and packaging atmosphere had a significant effect on the concentration of TMA (GLM, p < 0.001 for both factors), whereas inoculation with Aeromonas did not contribute to any differences in the TMA concentration (p = 0.352). No TMA was detected in any sample at day 0, but the concentration of TMA increased during storage for all groups except samples with O2 in the atmosphere (Table 3). Using O2 in the packaging atmosphere is shown to inhibit the formation of TMA as well as the growth of the TMA-producing bacteria in Atlantic cod [27].
Table 3.
Average concentration (mmol/100 g) of trimethylamine (TMA) in cod filets with and without inoculation with A. salmonicida strain SU2 packaged in CO2 (67%) mixed with either O2 (33%), N2 (33%), or packaged in a vacuum. p-values for main effect analysis of storage time (PD), packaging atmosphere (PA), inoculation status (PI), and the GLM model (PM) are shown in the table.
Comparable to the studies by Lerfall et al. [42] and Hansen et al. [13], a higher TMA concentration was quantified in the samples packaged in CO2/N2 and vacuum atmospheres compared to the packages containing CO2/O2 (p < 0.001) at the end of storage. The highest concentrations of TMA were measured in non-inoculated N2 samples (5.61 ± 0.36 mmol/100 g) and in VP samples (5.18 ± 0.50 mmol/100 g and 5.30 ± 0.17 mmol/100 g for non-inoculated and inoculated samples, respectively) after 13 days storage. Thus, it is advisable to include O2 in the packaging atmosphere of cod to prevent the reduction of TMAO to TMA owing to anaerobic bacterial respiration, which can follow the industrial processing of single vacuum packaged fillets. In the present study, a high concentration of O2 was chosen to inhibit the production of TMA. Other studies have indicated that lower concentrations (5–10%) of O2 in the packaging atmosphere can reduce the production of TMA [51,52]. Accordingly, Lerfall et al. [42] demonstrated a faster production of TMA in packages completely depleted of O2, supporting the importance of oxygen in the atmosphere of TMAO-containing fish species. At the same time, a sufficiently high concentration of CO2 is needed to inhibit the growth of other spoilage organisms, e.g., H2S-producing bacteria such as Shewanella spp. [21,41].
In a previous study, we demonstrated the ability of A. salmonicida to grow in inoculated salmon packaged in MA containing 60/40% CO2/N2 and in a vacuum [30]. In the mentioned study, inoculation of A. salmonicida led to a significantly higher concentration of TMA in the VP salmon, whereas the CO2-enriched atmosphere reduced the formation of TMA. However, no effect of inoculation with the same strain of A. salmonicida on the formation of TMA during storage was detected in the present study, nor on the other metabolites analysed. We hypothesise that the observed difference in the spoilage potential of the same strain in two different marine fish species can be attributed to differences in the chemical and/or microbiological composition of the fish. The TMAO content is normally higher in muscle from Atlantic cod than farmed Atlantic salmon owing to different enzymatic capacity and diet [53]. Hence, the spoilage microbiota of TMAO-rich fish species such as cod is more likely to be dominated by effective TMA-producers such as P. phosphoreum [54], which can preclude the interpretation of the actual effect of the inoculated strain in the present study. In salmon, lower in TMAO, it is more likely to find genera of LAB and Brochothrix thermosphacta as SSOs [54]. The fact that growth of the inoculated Aeromonas strain was more inhibited in cod than salmon in a CO2/N2 atmosphere might also be related to the higher water content of cod compared to salmon [55], potentially resulting in a better solubility of CO2 in the cod muscle and hence an increased effect of the packaging gas.
The present study can serve as a basis for further studies on the spoilage potential of A. salmonicida or other Aeromonas spp. in packaged, chilled Atlantic cod. It demonstrates that Aeromonas can proliferate to high levels (near log 8 CFU/g) in VP cod during refrigerated storage, but we could not detect any effect of the inoculated strain on the production of ATP degradation products or TMA in a naturally contaminated system. Further studies in a more controlled model system such as surface sterilized fish or sterile cod juice might be feasible. Strain-to-strain variation in the spoilage potential of Aeromonas is previously reported [8] and might be overcome by applying a mixture of multiple strains. Moreover, a broader analysis of compounds associated with fish spoilage, including acids, alcohol, aldehydes, biogenic amines, and ketones [16,21], is required to assess the role of A. salmonicida as a spoilage organism in marine fish species.
4. Conclusions
Growth of the inoculated strain A. salmonicida in cod was inhibited by applying modified atmospheres consisting of 67% CO2 in combination with either 33% N2 or O2 during storage at 4 °C for 13 days. The combination of vacuum packaging and refrigeration allowed a 3-log increase in the concentration of Aeromonas during the storage period. The inoculated strain did not contribute to increased concentrations of Hx or TMA compared to the non-inoculated control in naturally contaminated cod. However, a broader analysis of spoilage metabolites is required to establish the role of Aeromonas spp. as a potential spoilage organism in cod. Including O2 in the packaging atmosphere inhibited the general bacterial growth more than applying N2 as a balancing gas. Moreover, vacuum packaging is not optimal for the shelf-life extension of refrigerated cod as it allows for the rapid growth of TMA- and H2S-producing bacteria.
Author Contributions
Conceptualization, J.L. and A.N.J.; formal analysis, S.H., J.L. and A.N.J.; writing—original draft preparation, S.H.; writing—review and editing, S.H., J.L. and A.N.J. All authors have read and agreed to the published version of the manuscript.
Funding
This research was funded by the Regional Research Found Mid-Norway (project no. 248954).
Institutional Review Board Statement
Not applicable.
Informed Consent Statement
Not applicable.
Data Availability Statement
All related data and methods are presented in this paper. Additional inquiries should be addressed to the corresponding author.
Acknowledgments
The authors would like to thank Elena Shumilina and Marit Liaklev for their technical assistance.
Conflicts of Interest
The authors declare no conflict of interest.
References
- Sheng, L.; Wang, L. The microbial safety of fish and fish products: Recent advances in understanding its significance, contamination sources, and control strategies. Compr. Rev. Food. Sci. Food Saf. 2021, 20, 738–786. [Google Scholar] [CrossRef] [PubMed]
- Fernández-Bravo, A.; Figueras, M.J. An Update on the Genus Aeromonas: Taxonomy, Epidemiology, and Pathogenicity. Microorganisms 2020, 8, 129. [Google Scholar] [CrossRef] [PubMed]
- Hoel, S.; Vadstein, O.; Jakobsen, A.N. The significance of mesophilic Aeromonas spp. in minimally processed ready-to-eat seafood. Microorganisms 2019, 7, 91. [Google Scholar] [CrossRef] [PubMed]
- Liu, X.; Zhang, Y.; Li, D.; Luo, Y. Characterization of the microbiota in lightly salted bighead carp (Aristichthys nobilis) fillets stored at 4 °C. Food Microbiol. 2017, 62, 106–111. [Google Scholar] [CrossRef]
- Hoel, S.; Vadstein, O.; Jakobsen, A.N. Growth of mesophilic Aeromonas salmonicida in an experimental model of nigiri sushi during cold storage. Int. J. Food Microbiol. 2018, 285, 1–6. [Google Scholar] [CrossRef]
- Park, S.Y.; Ha, S.-D. Effect of temperature on the growth kinetics and predictive growth model of Aeromonas hydrophila on squid (Sepioteuthis sepioidea). Food Sci. Biotechnol. 2014, 23, 307–312. [Google Scholar] [CrossRef]
- Parlapani, F.F.; Meziti, A.; Kormas, K.A.; Boziaris, I.S. Indigenous and spoilage microbiota of farmed sea bream stored in ice identified by phenotypic and 16S rRNA gene analysis. Food Microbiol. 2013, 33, 85–89. [Google Scholar] [CrossRef]
- Beaz-Hidalgo, R.; Agüeria, D.; Latif-Eugenín, F.; Yeannes, M.I.; Figueras, M.J. Molecular characterization of Shewanella and Aeromonas isolates associated with spoilage of Common carp (Cyprinus carpio). FEMS Microbiol. Lett. 2015, 362, 1–8. [Google Scholar] [CrossRef]
- Hozbor, M.C.; Saiz, A.I.; Yeannes, M.I.; Fritz, R. Microbiological changes and its correlation with quality indices during aerobic iced storage of sea salmon (Pseudopercis semifasciata). LWT 2006, 39, 99–104. [Google Scholar] [CrossRef]
- Don, S.; Xavier, K.A.M.; Devi, S.T.; Nayak, B.B.; Kannuchamy, N. Identification of potential spoilage bacteria in farmed shrimp (Litopenaeus vannamei): Application of relative rate of spoilage models in shelf life-prediction. LWT 2018, 97, 295–301. [Google Scholar] [CrossRef]
- Huang, Q.; Jiao, X.; Yan, B.; Zhang, N.; Huang, J.; Zhao, J.; Zhang, H.; Chen, W.; Fan, D. Changes in physicochemical properties of silver carp (Hypophthalmichthys molitrix) surimi during chilled storage: The roles of spoilage bacteria. Food Chem. 2022, 387, 132847. [Google Scholar] [CrossRef] [PubMed]
- Lee, H.J.; Hoel, S.; Lunestad, B.T.; Lerfall, J.; Jakobsen, A.N. Aeromonas spp. isolated from ready-to-eat seafood on the Norwegian market: Prevalence, putative virulence factors and antimicrobial resistance. J. Appl. Microbiol. 2021, 130, 1380–1393. [Google Scholar] [CrossRef] [PubMed]
- Hansen, A.Å.; Langsrud, S.; Berget, I.; Gaarder, M.Ø.; Moen, B. High oxygen packaging of Atlantic cod fillets inhibits known spoilage organisms, but sensory quality is not improved due to the growth of Carnobacterium/Carnobacteriaceae. Foods 2021, 10, 1754. [Google Scholar] [CrossRef]
- Sivertsvik, M.; Jeksrud, W.K.; Rosnes, J.T. A review of modified atmosphere packaging of fish and fishery products—Significance of microbial growth, activities and safety. Int. J. Food Sci. Technol. 2002, 37, 107–127. [Google Scholar] [CrossRef]
- Olafsdóttir, G.; Martinsdóttir, E.; Oehlenschläger, J.; Dalgaard, P.; Jensen, B.; Undeland, I.; Mackie, I.M.; Henehan, G.; Nielsen, J.; Nilsen, H. Methods to evaluate fish freshness in research and industry. Trends Food Sci. Technol. 1997, 8, 258–265. [Google Scholar] [CrossRef]
- Gram, L.; Dalgaard, P. Fish spoilage bacteria—problems and solutions. Curr. Opin. Biotechnol. 2002, 13, 262–266. [Google Scholar] [CrossRef]
- Vogel Birte, F.; Venkateswaran, K.; Satomi, M.; Gram, L. Identification of Shewanella baltica as the most important H2S-producing species during iced storage of Danish marine fish. Appl. Env. Microbiol. 2005, 71, 6689–6697. [Google Scholar] [CrossRef]
- Sørensen, J.S.; Bøknæs, N.; Mejlholm, O.; Dalgaard, P. Superchilling in combination with modified atmosphere packaging resulted in long shelf-life and limited microbial growth in Atlantic cod (Gadus morhua L.) from capture-based-aquaculture in Greenland. Food Microbiol. 2020, 88, 103405. [Google Scholar] [CrossRef]
- Dalgaard, P.; Gram, L.; Huss, H.H. Spoilage and shelf-life of cod fillets packed in vacuum or modified atmospheres. Int. J. Food Microbiol. 1993, 19, 283–294. [Google Scholar] [CrossRef]
- Dalgaard, P.; Mejlholm, O.; Christiansen, T.J.; Huss, H.H. Importance of Photobacterium phosphoreum in relation to spoilage of modified atmosphere-packed fish products. Lett. Appl. Micorbiol. 1997, 24, 373–378. [Google Scholar] [CrossRef]
- Kuuliala, L.; Al Hage, Y.; Ioannidis, A.G.; Sader, M.; Kerckhof, F.M.; Vanderroost, M.; Boon, N.; De Baets, B.; De Meulenaer, B.; Ragaert, P.; et al. Microbiological, chemical and sensory spoilage analysis of raw Atlantic cod (Gadus morhua) stored under modified atmospheres. Food Microbiol. 2018, 70, 232–244. [Google Scholar] [CrossRef]
- Wang, T.; Sveinsdóttir, K.; Magnússon, H.; Martinsdóttir, E. Combined application of modified atmosphere packaging and superchilled storage to extend the shelf life of fresh cod (Gadus morhua) loins. J. Food Sci. 2008, 73, S11–S19. [Google Scholar] [CrossRef] [PubMed]
- Hovda, M.B.; Lunestad, B.T.; Sivertsvik, M.; Rosnes, J.T. Characterisation of the bacterial flora of modified atmosphere packaged farmed Atlantic cod (Gadus morhua) by PCR-DGGE of conserved 16S rRNA gene regions. Int. J. Food Microbiol. 2007, 117, 68–75. [Google Scholar] [CrossRef] [PubMed]
- Hansen, A.Å.; Mørkøre, T.; Rudi, K.; Rødbotten, M.; Bjerke, F.; Eie, T. Quality changes of prerigor filleted Atlantic salmon (Salmo salar L.) packaged in modified atmosphere using CO2 emitter, traditional MAP, and vacuum. J. Food Sci. 2009, 74, M242–M249. [Google Scholar] [CrossRef] [PubMed]
- Hansen, A.Å.; Moen, B.; Rødbotten, M.; Berget, I.; Pettersen, M.K. Effect of vacuum or modified atmosphere packaging (MAP) in combination with a CO2 emitter on quality parameters of cod loins (Gadus morhua). Food Pack Shelf Life 2016, 9, 29–37. [Google Scholar] [CrossRef]
- Sivertsvik, M. The optimized modified atmosphere for packaging of pre-rigor filleted farmed cod (Gadus morhua) is 63mL/100mL oxygen and 37mL/100mL carbon dioxide. LWT 2007, 40, 430–438. [Google Scholar] [CrossRef]
- Debevere, J.; Boskou, G. Effect of modified atmosphere packaging on the TVB/TMA-producing microflora of cod fillets. Int. J. Food Microbiol. 1996, 31, 221–229. [Google Scholar] [CrossRef]
- Hansen, A.Å.; Mørkøre, T.; Rudi, K.; Olsen, E.; Eie, T. Quality Changes during Refrigerated Storage of MA-Packaged Pre-rigor Fillets of Farmed Atlantic Cod (Gadus morhua L.) Using Traditional MAP, CO2 Emitter, and Vacuum. J. Food Sci. 2007, 72, 423–430. [Google Scholar] [CrossRef]
- Hansen, A.Å.; Rødbotten, M.; Lea, P.; Rotabakk, B.T.; Birkeland, S.; Pettersen, M.K. Effect of Transport Packaging and Repackaging into Modified Atmosphere on Shelf Life and Quality of Thawed Atlantic Cod Loins. Pack Technol. Sci. 2015, 28, 925–938. [Google Scholar] [CrossRef]
- Jakobsen, A.N.; Shumilina, E.; Lied, H.; Hoel, S. Growth and spoilage metabolites production of a mesophilic Aeromonas salmonicida strain in Atlantic salmon (Salmo salar L.) during cold storage in modified atmosphere. J. Appl. Microbiol. 2020, 129, 935–946. [Google Scholar] [CrossRef]
- Stohr, V.; Joffraud, J.J.; Cardinal, M.; Leroi, F. Spoilage potential and sensory profile associated with bacteria isolated from cold-smoked salmon. Food Res. Int. 2001, 34, 797–806. [Google Scholar] [CrossRef]
- Macé, S.; Cardinal, M.; Jaffrès, E.; Cornet, J.; Lalanne, V.; Chevalier, F.; Sérot, T.; Pilet, M.-F.; Dousset, X.; Joffraud, J.-J. Evaluation of the spoilage potential of bacteria isolated from spoiled cooked whole tropical shrimp (Penaeus vannamei) stored under modified atmosphere packaging. Food Microbiol. 2014, 40, 9–17. [Google Scholar] [CrossRef] [PubMed]
- Hoel, S.; Mehli, L.; Bruheim, T.; Vadstein, O.; Jakobsen, A.N. Assessment of microbiological quality of retail fresh sushi from selected sources in Norway. J. Food Protect 2015, 78, 977–982. [Google Scholar] [CrossRef] [PubMed]
- Nordic Committee on Food Analysis. No. 150, Mesophilic Aeromonas Species. Quantification in Foods and Feeds. NMKL. 2004. Available online: https://www.nmkl.org/product/mesophilic-aeromonas-species-determination-in-foods-and-feeds/ (accessed on 1 July 2022).
- Nordic Committee on Food Analysis. No. 184, Aerobic Count and Specific Spoilage Organisms in Fish and Fish Products. NMKL. 2006. Available online: https://www.nmkl.org/product/aerobic-count-and-specific-spoilage-organisms-in-fish-and-fish-products/ (accessed on 1 July 2022).
- Shumilina, E.; Ciampa, A.; Capozzi, F.; Rustad, T.; Dikiy, A. NMR approach for monitoring post-mortem changes in Atlantic salmon fillets stored at 0 and 4 degrees C. Food Chem. 2015, 184, 12–22. [Google Scholar] [CrossRef] [PubMed]
- Baranyi, J.; Roberts, T.A. A dynamic approach to predicting bacterial growth in food. Int. J. Food Microbiol. 1994, 23, 277–294. [Google Scholar] [CrossRef]
- Sivertsvik, M.; Rosnes, J.T.; Jeksrud, W.K. Solubility and absorption rate of carbon dioxide into non-respiring foods. Part 2: Raw fish fillets. J. Food Eng. 2004, 63, 451–458. [Google Scholar] [CrossRef]
- Abel, N.; Rotabakk, B.T.; Lerfall, J. Effect of salt on CO2 solubility in salmon (Salmo salar L.) stored in modified atmosphere. J. Food Eng. 2020, 278, 109946. [Google Scholar] [CrossRef]
- Rotabakk, B.T.; Birkeland, S.; Lekang, O.I.; Sivertsvik, M. Enhancement of modified atmosphere packaged farmed Atlantic halibut (Hippoglossus hippoglossus) fillet quality by soluble gas stabilization. Food Sci. Technol. Int. 2008, 14, 179–186. [Google Scholar] [CrossRef]
- Lerfall, J.; Bjørge Thomassen, G.M.; Jakobsen, A.N. Quality of fresh saithe (Pollachius virens) in modified atmosphere packages as affected by the gas composition. Food Pack Shelf Life 2018, 18, 147–156. [Google Scholar] [CrossRef]
- Lerfall, J.; Shumilina, E.; Jakobsen, A.N. The significance of Shewanella sp. strain HSO12, Photobacterium phosphoreum strain HS254 and packaging gas composition in quality deterioration of fresh saithe fillets. LWT 2022, 154, 112636. [Google Scholar] [CrossRef]
- Broekaert, K.; Heyndrickx, M.; Herman, L.; Devlieghere, F.; Vlaemynck, G. Seafood quality analysis: Molecular identification of dominant microbiota after ice storage on several general growth media. Food Microbiol. 2011, 28, 1162–1169. [Google Scholar] [CrossRef] [PubMed]
- Kim, Y.H.; Huff-Lonergan, E.; Sebranek, J.G.; Lonergan, S.M. High-oxygen modified atmosphere packaging system induces lipid and myoglobin oxidation and protein polymerization. Meat Sci. 2010, 85, 759–767. [Google Scholar] [CrossRef] [PubMed]
- Parlapani, F.F.; Mallouchos, A.; Haroutounian, S.A.; Boziaris, I.S. Microbiological spoilage and investigation of volatile profile during storage of sea bream fillets under various conditions. Int. J. Food Microbiol. 2014, 189, 153–163. [Google Scholar] [CrossRef]
- Parlapani, F.F.; Verdos, G.I.; Haroutounian, S.A.; Boziaris, I.S. The dynamics of Pseudomonas and volatilome during the spoilage of gutted sea bream stored at 2 °C. Food Contr. 2015, 55, 257–265. [Google Scholar] [CrossRef]
- Anagnostopoulos, D.A.; Parlapani, F.F.; Boziaris, I.S. The evolution of knowledge on seafood spoilage microbiota from the 20th to the 21st century: Have we finished or just begun? Trends Food Sci. Technol. 2022, 120, 236–247. [Google Scholar] [CrossRef]
- Tryfinopoulou, P.; Drosinos, E.H.; Nychas, G.J.E. Performance of Pseudomonas CFC-selective medium in the fish storage ecosystems. J. Microbiol. Methods 2001, 47, 243–247. [Google Scholar] [CrossRef]
- Hong, H.; Regenstein, J.M.; Luo, Y. The importance of ATP-related compounds for the freshness and flavor of post-mortem fish and shellfish muscle: A review. Crit. Rev. Food Sci. Nutr. 2017, 57, 1787–1798. [Google Scholar] [CrossRef]
- Howgate, P. A review of the kinetics of degradation of inosine monophosphate in some species of fish during chilled storage. Int. J. Food Sci. Technol. 2006, 41, 341–353. [Google Scholar] [CrossRef]
- Kimbuathong, N.; Leelaphiwat, P.; Harnkarnsujarit, N. Inhibition of melanosis and microbial growth in Pacific white shrimp (Litopenaeus vannamei) using high CO2 modified atmosphere packaging. Food Chem. 2020, 312, 126114. [Google Scholar] [CrossRef]
- Boskou, G.; Debevere, J. Reduction of trimethylamine oxide by Shewanella spp. under modified atmospheres in vitro. Food Microbiol. 1997, 14, 543–553. [Google Scholar] [CrossRef] [Green Version]
- Hagen, I.V.; Helland, A.; Bratlie, M.; Midttun, Ø.; McCann, A.; Sveier, H.; Rosenlund, G.; Mellgren, G.; Ueland, P.M.; Gudbrandsen, O.A. TMAO, creatine and 1-methylhistidine in serum and urine are potential biomarkers of cod and salmon intake: A randomised clinical trial in adults with overweight or obesity. Eur. J. Nutr. 2020, 59, 2249–2259. [Google Scholar] [CrossRef] [PubMed]
- Ryder, J.; Karunasagar, I.; Ababouch, L. (Eds.) Assessment and Management of Seafood Safety and QUALITY: Current Practices and Emerging Issues; FAO: Rome, Italy, 2014; p. 432. [Google Scholar]
- Van Ruth, S.M.; Brouwer, E.; Koot, A.; Wijtten, M. Seafood and water management. Foods 2014, 3, 622–631. [Google Scholar] [CrossRef] [PubMed] [Green Version]
Publisher’s Note: MDPI stays neutral with regard to jurisdictional claims in published maps and institutional affiliations. |
© 2022 by the authors. Licensee MDPI, Basel, Switzerland. This article is an open access article distributed under the terms and conditions of the Creative Commons Attribution (CC BY) license (https://creativecommons.org/licenses/by/4.0/).

