Abstract
Black spot needle blight is a serious conifer disease of Pinus sylvestris var. mongolica occurring in Northeast China, which is usually caused by the plant pathogenic fungus Pestalotiopsis neglecta. From the diseased pine needles collected in Honghuaerji, the P. neglecta strain YJ-3 was isolated and identified as the phytopathogen, and its culture characteristics were studied. Then, we generated a highly contiguous 48.36-Mbp genome assembly (N50 = 6.62 Mbp) of the P. neglecta strain YJ-3 by combining the PacBio RS II Single Molecule Real Time (SMRT) and Illumina HiSeq X Ten sequencing platforms. The results showed that a total of 13,667 protein-coding genes were predicted and annotated using multiple bioinformatics databases. The genome assembly and annotation resource reported here will be useful for the study of fungal infection mechanisms and pathogen–host interaction.
1. Introduction
Pinus sylvestris var. mongolica Litv. (Pinales: Pinaceae), a variety of European P. sylvestris L., is one of the excellent trees for soil and water conservation in Northeast China [1]. In recent years, coniferous diseases of P. sylvestris var. mongolica occurred frequently in the Honghua’erji area, Inner Mongolia. In addition to the common blight caused by Sphaeropsis sapinea, black spot needle blight is also a serious conifer disease there, which can affect growth and production [2]. This disease first appeared on the upper part of the needles, and the needles then became withered and gradually showed light black spots, although they remained green. As the disease progressed, the needles eventually died and turned gray with many dark black spots. It was reported that there are two dominant pathogens causing black spot blight of P. sylvestris var. mongolica in China: Pestalotiopsis neglecta and Heterotruncatella spartii [2,3]. However, P. neglecta has not been found in the Honghua’erji area before.
Pestalotiopsis Steyaert is an appendage-bearing conidial anamorphic form (coelomycetes) in the family Amphisphaeriaceae that includes more than 225 species [4,5,6,7,8]. The genus has received much attention from the scientific community, because recent reports confirmed that Pestalotiopsis spp. are not only common phytopathogens that cause a variety of diseases, but are also endophytes that possess diverse metabolic capabilities, including the production of potentially valuable secondary metabolites [9,10]. As a plant pathogen, Pestalotiopsis is known mostly from the tropics, where it causes leaf blights in many plant species [11,12,13]. Species may also cause rot of fruit and other postharvest diseases [12,14,15]. Besides black spot blight of P. sylvestris var. mongolica, P. neglecta can also cause chlorotic spot in maize (Zea mays), shoot blight in Cryptomeria japonica, and canker disease in blueberries (Vaccinium corymbosum) [8,16,17].
In addition to conventional culture characteristics research, high-throughput whole-genome sequencing is an effective method to understand the relevant characteristics of strains more comprehensively at the gene level. Until now, some strains of Pestalotiopsis spp. (such as P. fici) have been whole-genome sequenced [18], while the genome assembly of a pathogenic Pestalotiopsis sp. has not yet been released. The culture characteristics and genome assembly of the pathogenic fungus Pestalotiopsis neglecta strain YJ-3 obtained in this study will provide support for the systematic analysis of the pathogenicity mechanism and interaction mechanism with the host at the molecular level.
2. Materials and Methods
2.1. Isolation and Identification of P. neglecta
Black needle blight symptom conifers were collected from P. sylvestris var. mongolica forest in the Honghua’erji Forest Farm in August 2020. Infected needles were surface sterilized with 75% ethanol and rinsed in sterile deionized water, after which they were plated on potato dextrose agar (PDA) and incubated at 25 °C for 48 h. Mycelia were then subcultured on new PDA plates for isolation and purification. Mycelial colonies were observed after 7 days, and conidia were examined under a light microscope. Fungal genomic DNA was extracted from mycelia on PDA plates using a DNA extraction kit (Sangon). Species names for this isolate were determined using the primer pair ITS1 (5′-TCCGTAGGTGAACCTGCGG-3′) and ITS4 (5′-TCCTCCGCTTATTGATATGC-3′) [19]. The ITS sequence is deposited in NCBI GenBank with accession number OQ691957.
Healthy young pine needles were collected for Koch’s postulates verification [3]. The sporulated P. neglecta mycelial plugs (3 mm in diameter) were excised from a 12-day-old PDA plate and placed on wounded pine needles to initiate infection. Empty plugs from sterile PDA plates were used as controls. Infected pine needles were placed in Petri dishes (150 mm in diameter) with moisture filter paper and incubated at 25 °C with a 12 h photoperiod. Symptom development was observed daily.
2.2. Culture Characteristics of P. neglecta
2.2.1. Screening of Optimal Medium
Potato dextrose agar (PDA) medium, Czapek–Dox agar medium (CDA) (sodium nitrate 3 g, dipotassium hydrogen phosphate 1 g, magnesium sulfate 0.5 g, potassium chloride 0.5 g, ferrous sulfate 0.01 g, sucrose 30 g, agar 20 g, and distilled water to complete 1000 mL) [20,21], Sabouraud dextrose agar medium (SDA) [22] and yeast extract peptone sugar agar medium (YEPSA) were used to study the effect of different media on mycelial growth of strain YJ-3. The mycelial plug (5 mm in diameter) was taken from the edge of the activated strain colony and inoculated in the center of the above-mentioned medium plate, respectively. The colony diameter in each plate was measured after culturing for 7 d at 25 °C under the natural light conditions.
2.2.2. Screening of Carbon and Nitrogen Sources
PDA medium was used as the basic medium. The 30 g glucose was replaced with 30 g mannitol, glycerol, sucrose, maltose, soluble starch or lactose to test these compounds as carbon sources. The 3 g yeast extract, peptone, tryptone, ammonium nitrate or ammonium sulfate were added to determine growth on different nitrogen sources. A 7-day-old mycelial plug (in 5 mm diameter) was transferred to the center of each sole carbon source medium and sole nitrogen source medium. Colony growth was determined by measuring the colony diameters after incubation for 5 d at 25 °C under the natural light conditions [23].
2.2.3. Temperature and pH Tests
Strain YJ-3 was used to evaluate the effects of temperature and pH on colony growth on PDA plates. Temperatures were tested at 20, 22, 24, 25, 26 and 28 °C.
To clarify the effect of pH on radial mycelial growth, PDA media were adjusted with 0.1 M NaOH and 0.1 M HCl to obtain pH values from 5.0 to 12.0 at a pH 1.0 interval (i.e., 5.0, 6.0, 7.0, 8.0, 9.0, 10.0, 11.0, and 12.0). A 5 mm-diameter mycelial plug was placed in the center of a 90 mm petri dish with PDA medium and incubated at 25 °C in the dark, with three replicates for each treatment [24].
The effects of pH and temperature on mycelial growth were determined by measuring the colony diameters after 5 d of incubation. Data were analyzed in IBM SPSS Statistics (V22.0, IBM Corp., Armonk, NY, USA) to select the model that best fit the individual data points, and SPSS was used to confirm the selected model. The optimal temperature and pH value of the regression curves were calculated based on the regression equations generated by IBM SPSS Statistics.
2.3. Whole-Genome Sequencing and Assembly
2.3.1. DNA Extraction
Genomic DNA was extracted using the Omega Fungal DNA Kit D3390-02 according to the manufacturer’s protocol. Purified genomic DNA was quantified by TBS-380 fluorometer (Turner BioSystems Inc., Sunnyvale, CA, USA). High quality DNA (OD260/280 = 1.8~2.0, >15 μg) was used to further construct the library.
2.3.2. Genome Sequencing and Assembly
The extracted genomic DNA was sequenced using a combination of the PacBio RS II Single Molecule Real Time (SMRT) and the Illumina HiSeq X Ten sequencing platforms (Shanghai Majorbio Bio-Pharm Technology Co., Ltd., Shanghai, China). The Illumina data were used to assess genome size, heterozygosity, duplication and presence of contamination to aid in the selection of subsequent assembly strategies.
For Illumina sequencing, at least 5 μg genomic DNA samples were used in sequencing library construction. The DNA samples were sheared into 400–500 bp fragments using a Covaris M220 Focused Acoustic Shearer following the manufacturer’s protocol. Illumina sequencing libraries were then prepared from these fragments using the NEXTflex™ Rapid DNA-Seq Kit. Briefly speaking, 5’ prime ends were first end-repaired and phosphorylated. Next, the 3’ ends were A-tailed and ligated to sequencing adapters. The third step was to enrich the adapter-ligated products using PCR. The prepared libraries were then used for paired-end Illumina sequencing (2 × 150 bp) on an Illumina HiSeq X Ten platform.
For Pacific Biosciences sequencing, an aliquot of 8 μg DNA was spun in a Covaris g-TUBE (Covaris, Woburn, MA, USA) at 6000 r/min for 60 s using an Eppendorf 5424 centrifuge (Eppendorf, Westbury, NY, USA). DNA fragments were purified, end-repaired and ligated with SMRTbell sequencing adapters according to the manufacturer’s recommendations (Pacific Biosciences, Menlo Park, CA, USA). The resulting sequencing library was then purified three times using 0.45 × volumes of Agencourt AMPure XP beads (Beckman Coulter Genomics, Danvers, MA, USA). Finally, a ~10kb insert library was prepared and sequenced on one SMRT cell using standard methods.
The complete genome sequence was assembled using both the PacBio reads (>80×) and Illumina reads (>100×). The original image data were transferred into sequence data via base calling, which is defined as raw data or raw reads. A statistic of quality information was applied for quality trimming, by which the low-quality data can be removed to form clean data (FastqTotalHighQualityBase.jar): (1) The adapter sequence was removed from the reads; (2) The bases containing non-A, -G, -C, and -T at the 5′ end were cut and removed; (3) The read ends with lower sequencing quality (sequencing quality value of less than Q20) were trimmed; (4) The reads containing up to 10% N were removed; (5) Small fragments with length of less than 25 bp were discarded after removing the adapter and quality trimming.
The clean reads were then assembled into a contig using SOAPdenovo v2.04, canu v1.7 and Flye v2.8.3 [25]. The last circular step was checked and finished manually, generating a complete genome with seamless chromosomes and plasmids. Finally, the error correction of the PacBio assembly results was performed using the Illumina reads with Pilon v1.23 [26].
2.3.3. Gene Prediction and Functional Annotation
The data generated from PacBio and Illumina platform were used for bioinformatics analysis. All of the analyses were performed using the free online platform of Majorbio Cloud Platform (cloud.majorbio.com, accessed on 26 March 2023) from Shanghai Majorbio Bio-pharm Technology Co., Ltd. The detailed procedures are as follows.
Genomic structural analysis was performed by promoter prediction and genome mapping to comprehensively grasp the genome of the P. neglecta strain YJ-3. MAKER v2.31.9 [27], tRNA-scan-SE v1.3.1 [28] and Barrnap v0.4.2 were used for CDS, tRNA and rRNA prediction, respectively. For functional annotation, BLASTP was used to search against the SWISS-PROT and nonredundant (NR) protein databases of NCBI. The protein homology search in Diamond v0.8.35 was used to assign the gene ontology (GO) terms, Kyoto Encyclopedia of Genes and Genomes (KEGG) pathways and eukaryotic cluster information to a certain protein [29]. For protein annotation, the eggNOG database [30] was searched using HMMER v3.1b2 [31]. Secreted proteins were predicted using SignalP v4.1 [32], and Carbohydrate-Active Enzymes were detected using the CAZymes Analysis Toolkit v6.0 [33]. The Pathogen–Host Interaction database v4.4 [34] was used to predict potential pathogenically active proteins.
2.4. Data Availability
This Whole Genome Shotgun project was deposited at DDBJ/ENA/GenBank under the accession JAQJCZ000000000 (BioProject PRJNA925307; BioSample SAMN32787139). The version described in this paper is version JAQJCZ010000000.
3. Results
3.1. Isolation and Identification of P. neglecta
Piuns sylvestris var. mongolica needles infected with black spot needle blight are often found in summer (Figure 1A). To determine the pathogen causing this infection, diseased needles were collected on the Honghuaerji Forest Farm and cultured in the PDA medium. The amplified ITS sequence (OQ691957) was aligned by NCBI BLASTn, which showed that the strain YJ-3 was identified as P. neglecta. The fungal colony was round with smooth edges. It was white aerial hypha in the early stage, and then slowly turned into light yellow (Figure 1B). Black pycnidia were irregularly distributed in mature colonies after 10 d. Microscopic observation showed that the conidia were five-celled clavate spindles. The color of the middle three cells was generally grayish brown to dark brown, and the fourth cell was slightly lighter in color and slightly constricted at the septum (Figure 1C). We sprayed the spore suspension of the isolated YJ-3 on the healthy needles, and after 15 d, we observed the protruding black spots on the needles (Figure 1D). These results showed that isolated P. neglecta YJ-3 was the pathogen causing black spot needle blight of P. sylvestris var. mongolica.
Figure 1.
Pestalotiopsis neglecta YJ-3 causing black spot needle blight on Pinus sylvestris var. mongolica. (A) Infected diseased pine trees; (B) Colony surface on PDA medium; (C) Conidia; (D) Disease symptoms. Scale bars = 10 μm.
3.2. Culture Characteristics of P. neglecta YJ-3
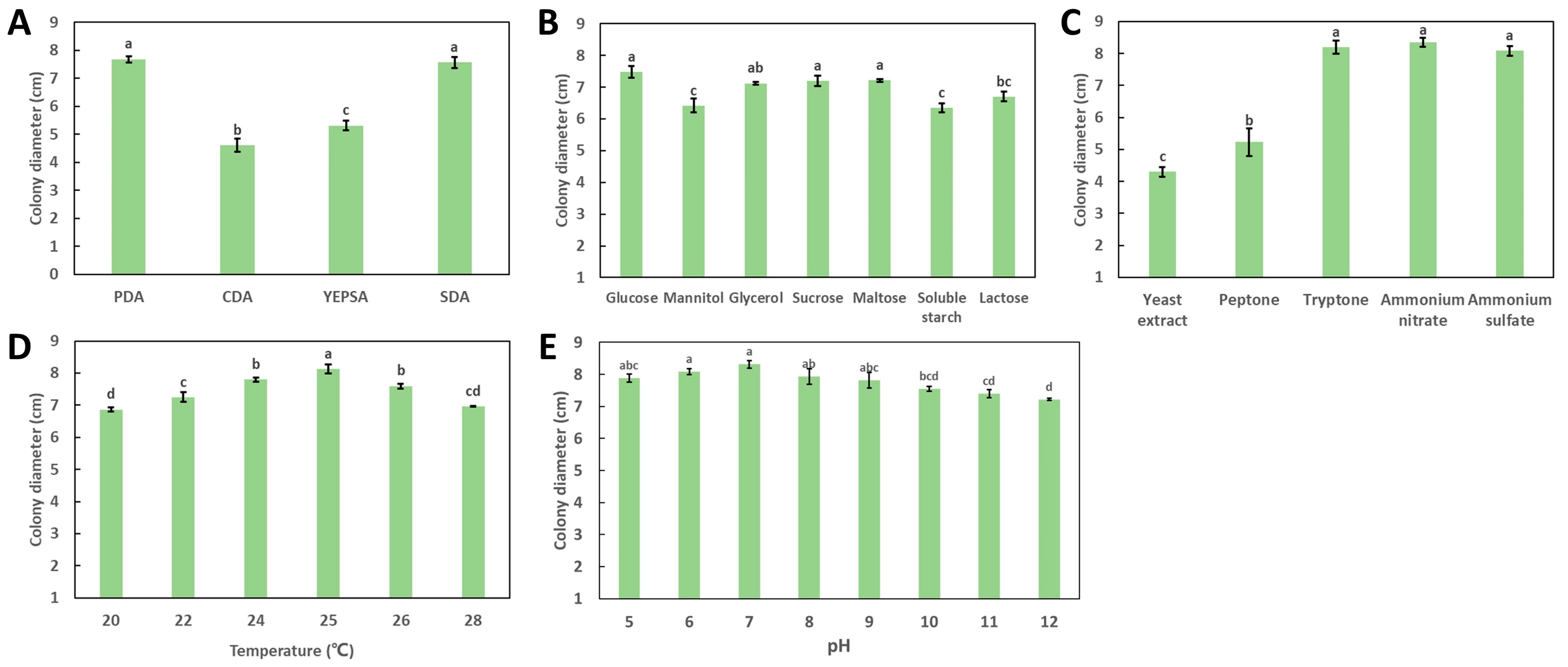
The effects of different medium, carbon sources and nitrogen sources on the growth of P. neglecta YJ-3 reached a significant level (Figure 2). Different media significantly affected the growth of the strain. The growth rates of the strain YJ-3 on PDA and SDA were significantly higher than those of others (p < 0.05), and the growth rates were relatively slower on YEPSA and CDA (Figure 2A). The colony diameter of the strain YJ-3 in the medium with glucose, maltose and sucrose as the carbon source were significantly larger than those of other carbon sources (Figure 2B), and the growth in the medium with tryptone, ammonium nitrate and ammonium sulfate as the nitrogen source were significantly better than that in other treatments, indicating that the growth of the strain YJ-3 might require higher nitrogen content (Figure 2C). Thus, PDA and SDA are the most suitable media, glucose and maltose are the most suitable carbon sources, and tryptone, ammonium nitrate and ammonium sulfate are the most suitable nitrogen sources for the growth of P. neglecta YJ-3.
Figure 2.
Culture characteristics of the P. neglecta strain YJ-3. (A–C): The effects of different mediums (A), carbon sources (B) and nitrogen sources (C) on mycelial growth of the P. neglecta strain YJ-3. (D,E): The effects of different temperatures (D) and pH (E) on mycelial growth of the P. neglecta strain YJ-3. Letters (a, b, c, d) represent statistically significant differences between different conditions (p < 0.05).
The effect of different culture temperature and pH on the growth of strain YJ-3 is shown in Figure 2D,E. The mycelia of PYJ-3 grew normally between 20 and 28 °C. After 7 days of culture, the diameter of the colony growing at 25 °C was the largest, reaching 8.13 ± 0.15 cm. As shown in Figure 2E, YJ-3 did not have strict requirements on the pH of the culture medium. The mycelia grew well within the range of pH 5 to 12, of which pH 5 to 9 were more suitable for mycelia growth, and especially at pH 7, the colony diameter reached the largest size, up to 8.32 ± 0.12 cm.
3.3. Genome Sequencing and Assembly
After filtering the low-quality and short reads, the final assembled genome of P. neglecta YJ-3 was 48.36 Mb and consisted of eight scaffolds in total, with the longest scaffold length of 8.96 Mb, an average length of 6.04 Mbp, and an N50 length of 6.62 Mbp (Table 1).
Table 1.
Genome characteristics of the P. neglecta strain YJ-3.
The genome completeness was assessed with BUSCO (benchmarking universal single-copy ortholog genes) v3.0 using the Ascomycota dataset, resulting in a coverage rate of 98.6%. The overall G + C content assembly was 51.73%. The results showed that repetitive sequences represented 0.06% of the genome (Table 1). However, the actual repeat content is expected to be larger as small contigs shorter than 1 kb (we filtered them out) may contain many repetitive sequences.
3.4. Gene Prediction and Functional Annotation
In the present study, it was predicted that the P. neglecta strain YJ-3 has 13,667 genes found in the genome, accounting for 54.74 % of the total genome length, and the average length of each gene is 1936.62 bp.
Promoters are regulatory elements that regulate gene expression and determine the intensity and timing of gene expression. The insertion or deletion of the promoter can change the expression mode of the gene and realize the research on the regulation of the growth and metabolism of the cell. PromPredict software was used to predict and analyze the promoter sequence of the gene, and the promoters of 8334 genes were identified (Table 1).
Moreover, 13,667 protein-coding genes were annotated using several databases. Among them, 12,764 (94.32%) genes were annotated in the NCBI nr database, followed by the eggNOG database (11,396, 83.39%), the Go database annotations (9180, 67.17%), the Swiss–Prot database (9020, 66.00%), and the KEGG database (4112, 30.09%). In addition, for non-coding RNAs, the P. neglecta strain YJ-3 had 238 tRNAs and 46 rRNAs.
The NCBI nr database is a non-redundant protein database. In this study, 12,764 genes were annotated in NCBI nr and the information of the 58 genes whose sequence identity was 100% is listed in Table S1.
The eggNOG database was used to annotate the function of the P. neglecta YJ-3 protein. The cluster analysis results of 3185 genes annotated are shown in Figure 3. There were 5806 genes that did not have clear functions, which may be related to the lack of genomic research of P. neglecta and lack of reference genes. The most annotated genes with clear functional classification were carbohydrate transport and metabolism (917 genes). The genes related to amino acid transport and metabolism, lipid transport and metabolism, nucleotide transport and metabolism were 535, 337 and 131, respectively. In addition, there were 530 genes related to the biosynthesis, transport and catabolism of secondary metabolites, and 110 genes related to cell wall/membrane/envelope biogenesis.
Figure 3.
The eggNOG functional classification diagram.
The GO database classifies gene functions into molecular functions, cell components and biological processes, with a gene annotated multiple times through the GO item. The results of the P. neglecta YJ-3 genome annotated by the GO database are shown in Figure 4, and there were 7279 genes annotated for molecular function, 4957 genes annotated for cell component and 3467 genes annotated for biological process.
Figure 4.
GO annotation of the P. neglecta strain YJ-3 genome.
Furthermore, KEGG database is a large knowledge base for the systematic analysis of gene function, as well as connection of genomic information and functional information. The results showed that a total of 4112 genes were annotated, divided into 6 major categories and 46 sub-categories, as shown in Figure 5.
Figure 5.
KEGG classification of the P. neglecta strain YJ-3 genome.
3.5. Carbohydrate-Active Enzymes (CAZymes)
Carbohydrate-active enzymes (CAZymes) play important roles in the breakdown of complex carbohydrates and for phytopathogenic fungi, and some kinds of CAZymes are responsible for the acquisition of nutrients from plants as well as works in the process of infection and colonization [35,36]. As shown in Figure 6A, a total of 798 putative CAZyme genes were identified in the P. neglecta strain YJ-3, including 327 glycoside hydrolases (GHs), 73 glycosyl transferases (GTs), 224 auxiliary activities (AAs), 142 carbohydrate esterases (CEs), 26 polysaccharide lyases (PLs), and 5 carbohydrate-binding modules (CBMs).
Figure 6.
Predicted carbohydrate active enzymes (A), pathogenically active proteins (B) and antibiotic-resistance genes (C) of Pestalotiopsis neglecta strain YJ-3.
3.6. Pathogenic System Analysis
Secondary metabolites, especially fungal toxins, are believed to be involved in the pathogenicity of many phytopathogenic fungal species and can be described as potential virulence factors [37,38]. Diamond software version 0.8.35 was used to compare the putative proteins with the database of functional virus factors (DFVF) to analyze the virulence-related genes in the P. neglecta strain YJ-3. The results showed that 1439 genes were identified as fungal virulence factors in total (Table 1).
The Pathogen–Host Interaction database [34] was used to predict potential pathogenically active proteins. Shown in Figure 6B, 2036 genes were predicted to play roles in pathogen–host interactions, including 149 genes that were identified as increased pathogenicity (hypervirulence). Fifty-eight genes with a single description of increased pathogenicity (hypervirulence) are listed in Table 2, which might be the key pathogenic genes of the P. neglecta strain YJ-3.
Table 2.
Fifty-eight increased virulence (hypervirulence) genes in the P. neglecta strain YJ-3 genome.
Moreover, antibiotic resistance genes were annotated through the Comprehensive Antibiotic Resistance Database (CARD), which is constructed in the form of Antibiotic Resistance Ontology (ARO) as a taxonomic unit, aiming to associate antibiotic modules and their targets, resistance mechanisms, gene mutations and other information. In the present study, a total of 175 genes were annotated in the CARD database (Figure 6C), with the top three drug class tetracycline antibiotics (75 genes), fluoroquinolone antibiotics (28 genes) and penam (25 genes).
3.7. Cytochromes P450
Cytochromes P450 (CYP450) is a large family of proteins with ferroheme as a cofactor. They can catalyze the oxidation reaction of many substrates and participate in the metabolism of endogenous substances and exogenous substances including drugs and environmental compounds. In the genome of the P. neglecta strain YJ-3, a total of 368 CYP450 genes were annotated. Among them, 46 genes were identified as proteins from the CYP51 subfamily (Table S2).
4. Discussion
Pinus sylvestris var. mongolica is widely planted in China as a windbreak and sand fixation tree [38]. In this study, the P. neglecta strain YJ-3 causing black spot needle blight was isolated and identified from the infected needles of P. sylvestris var. mongolica, and its culture characteristics were studied. In addition, the whole genome of the P. neglecta strain YJ-3 was sequenced, assembled and annotated using a combination of PacBio RS II Single Molecule Real Time (SMRT) and the Illumina HiSeq X Ten sequencing platforms.
In our study, the genome size and GC content of the P. neglecta strain YJ-3 was 48.36 Mb and 51.73%, respectively. It was reported that the genome size of P.fici W106-1 was 52 Mb and the GC content was 48.73% [18]. The proportion of repeat sequences in the P. neglecta strain YJ-3 (0.06%) is smaller than that in the P. fici (2.97%). The lower proportion of repeat sequences may be the reason why the genome size of the P. neglecta strain YJ-3 was smaller than that of the P. fici W106-1.
Glycoside hydrolase (GH) enzymes have the potential to hydrolyze complex carbohydrates, and glycosyltransferase (GTs) are important for surface structures recognized by the host immune system [39]. The prediction of CAZymes in the P. neglecta strain YJ-3 genome contains 327 GHs genes, 73 GTs genes, and 26 polysaccharide lyases (PLs). High amounts of GTs and GHs indicate that this strain has a high potential to destroy plant cell walls during infection [40].
Pestalotiopsis neglecta strain YJ-3 has been proven to infect the needles of P. sylvestris var. mongolica and induce the occurrence of black spot needle blight [3]. Through annotation of the genome of the P. neglecta strain YJ-3, we found that this strain has 2036 genes that were predicted to play roles in pathogen–host interactions, providing convenience for understanding its infection mechanism in the future [41].
In addition, CYP is involved in many important cellular processes, such as the conversion of hydrophobic intermediates in primary and secondary metabolic pathways and the detoxification of natural and environmental pollutants [42]. Among them, given the importance and specificity of ergosterol in fungal cells, the key enzyme in its biosynthetic pathway 14 α- demethylase (CYP51) has become an ideal target for antifungal drugs [43]. In the genome of the P. neglecta strain YJ-3, a total of 368 CYP450 genes were annotated and 46 genes were identified as proteins from the CYP51 subfamily. The identification of these genes provides a research basis for the subsequent development of specific fungicides against P. neglecta.
To conclude, in the present study, a strain of P. neglecta named YJ-3 was isolated and identified from the infected needles of P. sylvestris var. mongolica with black spot needle blight, and the culture characteristics were studied. Moreover, the draft genome sequence assembly and bioinformatics analysis of the P. neglecta strain YJ-3 were provided here, which represents a useful source for future research on fungal comparative genomics studies, infection mechanisms and pathogen–host interaction.
Supplementary Materials
The following supporting information can be downloaded at: https://www.mdpi.com/article/10.3390/jof9050564/s1, Table S1: Sequence identity statistics of the P. neglecta strain YJ-3 genome annotated in NCBI nr with identify of 100%. Table S2: CYP51 genes in the P. neglecta strain YJ-3 genome.
Author Contributions
J.Y.: Conceptualization, Methodology, Investigation, Writing—original draft, Writing—review and editing, Funding acquisition; S.W., Y.Z. and Y.C.: Investigation, Writing—review and editing; H.Z.: Software, Writing—review and editing, Funding acquisition. G.Z.: Conceptualization, Writing—review and editing, Supervision, Funding acquisition. All authors have read and agreed to the published version of the manuscript.
Funding
This research was funded by Guizhou Provincial Science and Technology Projects (grant number QKHJC-ZK [2022] YB157), National Natural Science Foundation of China (grant number 32201565), Natural Science Special (Special Post) Research Fund of Guizhou University (grant number [2022]02), and Central Financial Fund for Forestry Science and Technology Promotion (grant number H[2021]TG12).
Institutional Review Board Statement
Not applicable.
Informed Consent Statement
Not applicable.
Data Availability Statement
Not applicable.
Acknowledgments
The authors thank Guizhou University and Northeast Forestry University for providing the research facilities.
Conflicts of Interest
The authors declare no conflict of interest.
References
- Halifu, S.; Deng, X.; Song, X.S.; An, Y.N.; Song, R.Q. Effects of Sphaeropsis Blight on Rhizosphere Soil Bacterial Community Structure and Soil Physicochemical Properties of Pinus sylvestris var. mongolica in Zhanggutai, China. Forests 2019, 10, 954. [Google Scholar] [CrossRef]
- Wang, S.-R.; Zhang, H.-X.; Chen, Y.-Z.; Zhang, Y.-D.; Li, D.-B.; Huang, Y.; Zhang, G.-C.; Yang, J. First Report of Black Spot Needle Blight of Pinus sylvestris var. mongolica Caused by Heterotruncatella spartii in China. Plant Dis. 2022, 106, 2256. [Google Scholar] [CrossRef] [PubMed]
- Chen, J.; Hao, X.; Liu, X.; Ma, L. First Report of Pestalotiopsis neglecta Causing Black Spot Needle Blight of Pinus sylvestris var. mongolica Litv. in China. Plant Dis. 2020, 104, 1545. [Google Scholar] [CrossRef]
- Barr, M.E. Pestalosphaeria, a new genus in the Amphisphaeriaceae. Mycologia 1975, 67, 187–194. [Google Scholar] [CrossRef]
- Barr, M.E. Prodromus to nonlichenized, pyrenomycetous members of class Hymenoascomycetes. Mycotaxon 1990, 39, 43–184. [Google Scholar]
- Kang, J.C.; Kong, R.Y.C.; Hyde, K.D. Studies on the Amphisphaeriales I. Amphisphaeriaceae (sensu stricto) and its phylogenetic relationships inferred from 5.8S rDNA and ITS2 sequences. Fungal Divers. 1998, 1, 147–157. [Google Scholar]
- Kang, J.C.; Hyde, K.D.; Kong, R.Y.C. Studies on the Amphisphaeriales. The Amphisphaeriaceae (sensu stricto). Mycol. Res. 1999, 103, 53–64. [Google Scholar] [CrossRef]
- Espinoza, J.G.; Briceno, E.X.; Keith, L.M.; Latorre, B.A. Canker and twig dieback of blueberry caused by Pestalotiopsis spp. and a Truncatella sp. in Chile. Plant Dis. 2008, 92, 1407–1414. [Google Scholar] [CrossRef]
- Zhang, D.Y.; Yu, J.D.; Ma, C.L.; Kong, L.; He, C.Z.; Li, J. Genomic Analysis of the Mycoparasite Pestalotiopsis sp. PG52. Pol. J. Microbiol. 2021, 70, 189–199. [Google Scholar] [CrossRef]
- Zheng, S.Q.; Chen, R.Q.; Wang, Z.; Liu, J.; Cai, Y.; Peng, M.H.; Zhang, T.; Li, Y.X.; Wang, B.H.; Bao, J.D.; et al. High-Quality Genome Assembly of Pseudopestalotiopsis theae, the Pathogenic Fungus Causing Tea Gray Blight. Plant Dis. 2021, 105, 3723–3726. [Google Scholar] [CrossRef]
- Hyde, K.D.; Fröhlich, J. Mycosphaerella palmicola associated with leaf spots of Cocos nucifera in Australia Iran Jaya and Papua New Guinea. Mycol. Res. 1995, 99, 704–706. [Google Scholar] [CrossRef]
- Xu, L.; Kusakari, S.; Hosomi, A.; Toyoda, H.; Ouchi, A. Postharvest disease of grape caused by Pestalotiopsis species. Annu. Phytopathol. Soc. Jpn. 1999, 65, 305–311. [Google Scholar] [CrossRef]
- Das, R.; Chutia, M.; Das, K.; Jha, D.K. Factors affecting sporulation of Pestalotiopsis disseminata causing grey blight disease of Persea bombycina Kost., the primary food plant of muga silkworm. Crop Prot. 2010, 29, 963–968. [Google Scholar] [CrossRef]
- Ullasa, B.A.; Rawal, R.D. Occurrence of a new post-harvest disease of mango due to Pestalotiopsis glandicola. Acta Hortic. ISHS 1989, 231, 540–543. [Google Scholar] [CrossRef]
- Korsten, L.; De Jager, E.S.; De Villers, E.E.; Lourens, A.; Kotze, J.M.; Wehner, F.C. Evaluation of bacterial epiphytes isolated from avocado leaf and fruit surfaces for biocontrol of avocado postharvest diseases. Plant Dis. 1995, 79, 1149. [Google Scholar] [CrossRef]
- Tagne, A.; Mathur, S.B. First report of chlorotic spot of maize caused by Pestalotiopsis neglecta. Plant Pathol. 2001, 50, 791. [Google Scholar] [CrossRef]
- Zhou, L.; Li, J.; Chen, F.; Chen, J.; Ye, J. First Report of Shoot Blight on Cryptomeria japonica Caused by Pestalotiopsis neglecta in China. Plant Dis. 2019, 103, 2140–2141. [Google Scholar] [CrossRef]
- Wang, X.N.; Zhang, X.L.; Liu, L.; Xiang, M.C.; Wang, W.Z.; Sun, X.; Che, Y.S.; Guo, L.D.; Liu, G.; Guo, L.Y.; et al. Genomic and transcriptomic analysis of the endophytic fungus Pestalotiopsis fici reveals its lifestyle and high potential for synthesis of natural products. BMC Genom. 2015, 16, 28. [Google Scholar] [CrossRef]
- Fu, F.F.; Hao, Z.D.; Wang, P.K.; Lu, Y.; Xue, L.J.; Wei, G.Y.; Tian, Y.L.; Hu, B.S.; Xu, H.B.; Shi, J.S.; et al. Genome Sequence and Comparative Analysis of Colletotrichum gloeosporioides Isolated from Liriodendron Leaves. Phytopathology 2020, 110, 1260–1269. [Google Scholar] [CrossRef]
- Czapek, F. Umtersuchung uber die sticstoffgewinnungund einweissbildung der Pfianze. Beitr. Chem. Physiol. Pathol. 1903, 1, 540. [Google Scholar]
- Dox, A.W. The Intercellular Enzymes of Penicillium and Aspergillus with Special References to Those of P. camemberti; U.S. Department of Agriculture, Bureau of Animal Industry: Atlanta, GA, USA, 1910; 70p. [Google Scholar]
- Acharya, T.; Hare, J. Sabouraud Agar and Other Fungal Growth Media. In Laboratory Protocols in Fungal Biology; Gupta, V.K., Tuohy, M., Eds.; Springer: Cham, Switzerland, 2022. [Google Scholar]
- Xu, C.N.; Zhang, H.J.; Zhou, Z.S.; Hu, T.; Wang, S.T.; Wang, Y.N.; Cao, K.Q. Identification and distribution of Botryosphaeriaceae species associated with blueberry stem blight in China. Eur. J. Plant Pathol. 2015, 143, 737–752. [Google Scholar] [CrossRef]
- Zhao, L.; Wang, Y.; He, W.; Zhang, Y. Stem blight of blueberry caused by Lasiodiplodia vaccinii sp. Nov. in China. Plant Dis. 2019, 103, 2041–2050. [Google Scholar] [CrossRef] [PubMed]
- Koren, S.; Walenz, B.P.; Berlin, K.; Miller, J.R.; Phillippy, A.M. Canu: Scalable and accurate long-read assembly via adaptive k-mer weighting and repeat separation. Genome Res. 2017, 27, 722–736. [Google Scholar] [CrossRef] [PubMed]
- Walker, B.J.; Abeel, T.; Shea, T.; Priest, M.; Abouelliel, A.; Sakthikumar, S.; Cuomo, C.A.; Zeng, Q.; Wortman, J.; Young, S.K.; et al. Pilon: An Integrated Tool for Comprehensive Microbial Variant Detection and Genome Assembly Improvement. PLoS ONE 2014, 9, e112963. [Google Scholar] [CrossRef] [PubMed]
- Cantarel, B.L.; Korf, I.; Robb, S.M.; Parra, G.; Ross, E.; Moore, B.; Holt, C.; Alvarado, A.S.; Yandell, M. MAKER: An easy-to-use annotation pipeline designed for emerging model organism genomes. Genome Res. 2008, 18, 188–196. [Google Scholar] [CrossRef]
- Todd, M.L.; Sean, R.E. tRNAscan-SE: A Program for Improved Detection of Transfer RNA Genes in Genomic Sequence. Nucleic Acids Res. 1997, 25, 955–964. [Google Scholar]
- Grigoriev, I.V.; Nikitin, R.; Haridas, S.; Kuo, A.; Ohm, R.; Otillar, R.; Riley, R.; Salamov, A.; Zhao, X.; Korzeniewski, F. MycoCosm portal: Gearing up for 1000 fungal genomes. Nucleic Acids Res. 2013, 42, D699–D704. [Google Scholar] [CrossRef]
- Muller, J.; Szklarczyk, D.; Julien, P.; Letunic, I.; Roth, A.; Kuhn, M.; Powell, S.; von Mering, C.; Doerks, T.; Jensen, L.J. eggNOG v2. 0: Extending the evolutionary genealogy of genes with enhanced nonsupervised orthologous groups, species and functional annotations. Nucleic Acids Res. 2010, 38 (Suppl. 1), D190–D195. [Google Scholar] [CrossRef]
- Finn, R.D.; Clements, J.; Eddy, S.R. HMMER web server: Interactive sequence similarity searching. Nucleic Acids Res. 2011, 39 (Suppl. 2), W29–W37. [Google Scholar] [CrossRef]
- Bendtsen, J.D.; Nielsen, H.; von Heijne, G.; Brunak, S. Improved prediction of signal peptides: SignalP 3.0. J. Mol. Biol. 2004, 340, 783–795. [Google Scholar] [CrossRef]
- Park, B.H.; Karpinets, T.V.; Syed, M.H.; Leuze, M.R.; Uberbacher, E.C. CAZymes Analysis Toolkit (CAT): Web service for searching and analyzing carbohydrate-active enzymes in a newly sequenced organism using CAZy database. Glycobiology 2010, 20, 1574–1584. [Google Scholar] [CrossRef]
- Urban, M.; Cuzick, A.; Seager, J.; Wood, V.; Rutherford, K.; Venkatesh, S.Y.; De Silva, N.; Martinez, M.C.; Pedro, H.; Yates, A.D.; et al. PHI-base: The pathogen-host interactions database. Nucleic Acids Res. 2019, 48, D613–D620. [Google Scholar] [CrossRef]
- Rafiei, V.; Velez, H.; Tzelepis, G. The Role of Glycoside Hydrolases in Phytopathogenic Fungi and Oomycetes Virulence. Int. J. Mol. Sci. 2021, 22, 9359. [Google Scholar] [CrossRef]
- Kubicek, C.P.; Starr, T.L.; Glass, N.L. Plant cell wall-degrading enzymes and their secretion in plant-pathogenic fungi. Annu. Rev. Phytopathol. 2014, 52, 427–451. [Google Scholar] [CrossRef]
- Chandrasekaran, M.; Thangavelu, B.; Chun, S.C.; Sathiyabama, M. Proteases from phytopathogenic fungi and their importance in phytopathogenicity. J. Gen. Plant Pathol. 2016, 82, 233–239. [Google Scholar] [CrossRef]
- Liu, J.; Wei, Y.; Yin, Y.; Zhu, K.; Liu, Y.; Ding, H.; Lei, J.; Zhu, W.; Zhou, Y. Effects of Mixed Decomposition of Pinus sylvestris var. mongolica and Morus alba Litter on Microbial Diversity. Microorganisms 2022, 10, 1117. [Google Scholar] [CrossRef]
- Liu, D.-M.; Huang, Y.-Y.; Liang, M.-H. Analysis of the probiotic characteristics and adaptability of Lactiplantibacillus plantarum DMDL 9010 to gastrointestinal environment by complete genome sequencing and corresponding phenotypes. LWT 2022, 158, 113129. [Google Scholar] [CrossRef]
- Bradley, E.L.; Ökmen, B.; Doehlemann, G.; Henrissat, B.; Bradshaw, R.E.; Mesarich, C.H. Secreted Glycoside Hydrolase Proteins as Effectors and Invasion Patterns of Plant-Associated Fungi and Oomycetes. Front. Plant Sci. 2022, 13, 853106. [Google Scholar] [CrossRef]
- Agrawal, Y.; Khatri, I.; Subramanian, S.; Shenoy, B.D. Genome sequence, comparative analysis, and evolutionary insights into chitinases of entomopathogenic fungus Hirsutella thompsonii. Genome Biol. Evol. 2015, 7, 916–930. [Google Scholar] [CrossRef]
- Crešnar, B.; Petrič, S. Cytochrome P450 enzymes in the fungal kingdom. Biochim. Biophys. Acta 2011, 1814, 29–35. [Google Scholar] [CrossRef]
- Mair, W.J.; Deng, W.; Mullins, J.G.; West, S.; Wang, P.; Besharat, N.; Ellwood, S.R.; Oliver, R.P.; Lopez-Ruiz, F.J. Demethylase inhibitor fungicide resistance in Pyrenophora teres f. sp. Teres associated with target site modification and inducible overexpression of CYP51. Front. Microbiol. 2016, 7, 1279. [Google Scholar] [CrossRef] [PubMed]
Disclaimer/Publisher’s Note: The statements, opinions and data contained in all publications are solely those of the individual author(s) and contributor(s) and not of MDPI and/or the editor(s). MDPI and/or the editor(s) disclaim responsibility for any injury to people or property resulting from any ideas, methods, instructions or products referred to in the content. |
© 2023 by the authors. Licensee MDPI, Basel, Switzerland. This article is an open access article distributed under the terms and conditions of the Creative Commons Attribution (CC BY) license (https://creativecommons.org/licenses/by/4.0/).





