Abstract
Enzymatic biodiesel production is a potential eco-friendly alternative to the conventional chemical route which requires extensive study to reduce the costs associated with the application of commercial enzymes. Thus, this study aimed to develop a bioprocess using residues from macauba (Acrocomia aculeata) as raw material for lipase production in solid-state fermentation (SSF) by Yarrowia lipolytica. Then, the product obtained was used as a biocatalyst for the conversion (hydrolysis/esterification) of macauba acidic oil to biodiesel esters. Firstly, different SSF parameters (inoculum concentration, initial moisture content, and carbon and nitrogen levels) were investigated in a factorial design approach, using the cake from macauba fruit. Afterwards, moisture and urea concentration were shown to be statistically significant variables for lipase production. Lipase productnivities were 12.6 ± 0.6 U g−1 h−1 (at 24 h) for macauba fruit cake and 11.6 ± 1 U g−1 h−1 (at 20 h) for macauba pulp and peel cake. The solid enzymatic preparation (biocatalyst) showed optimized values at pH 6–7 at 37 °C, remaining stable (>70% retention) for 90 days at room temperature. Finally, enzymatic hydrolysis of the acidic oil from macauba reached 96% conversion (72 h) to fatty acids, and esterification of fatty acids reached 72% (biodiesel yield of 67%). The bioprocess described is a promising alternative for an integral and self-sufficient valorization of the macauba products.
1. Introduction
Lipases are ubiquitous enzymes considered leading biocatalysts with proven industrial potential for the multi-billion-dollar underexploited lipid bioindustry [1]. Defined as triacylglycerol acyl hydrolases (E.C. 3.1.1.3), lipases can catalyze the hydrolysis of ester bonds in long-chain triglycerides, releasing fatty acids and glycerol. They can also catalyze the reverse reactions—esterification and transesterification—often in nearly anhydrous organic solvents. In addition to hydrolysis, lipases can catalyze a wide range of reactions, including interesterification, alcoholysis, acidolysis, and aminolysis [2,3]. For all these reasons, lipases can be applied in several industries, such as pharmaceutical, fine chemical, food, textile, paper, and energy [4,5]. Despite being naturally produced by plants and animals, microbial lipases attract special attention due to their multifaceted properties, such as stability at moderate temperatures and pH, and in organic solvents, as well as their selectivity and broad substrate specificity [6]. Microorganisms offer a great variety of catalytic activities, the potential for high yields, easy genetic manipulation, a regular supply due to the absence of seasonal fluctuations, and the rapid growth rate of microorganisms [7]. Among all the potential applications of lipases, biodiesel production has attracted considerable attention due to the rising worldwide demand for renewable energy and its advantages over chemical catalysts [5].
Although the high production costs often restrict their use as biocatalysts [6], lipases can be easily induced by the type of carbon source, allowing lipolytic microorganisms to grow and secrete lipases on low-cost culture media, especially residues from agroindustry [7]. Yarrowia lipolytica is an example of an oleaginous microorganism with the capacity to degrade hydrophobic substrates very efficiently for lipase production. This yeast is capable of producing important metabolites and presents an intense secretory activity, which justifies efforts to use it on an industrial scale [8]. Y. lipolytica LIP2 (YlLIP2), the main extracellular lipase, is one of the most important as it has high hydrolysis, transesterification, and esterification activities, making it suitable for biodiesel production [9,10]. An interesting type of biocatalyst has recently been used for biodiesel production, the solid enzymatic preparation (SEP) enriched with lipases, obtained directly by solid-state fermentation (SSF). In SSF, microbial cells are spontaneously immobilized on particles of the solid fermentation medium, and lipases are secreted and remain adhered to the fermented matrix, which can be further used for biocatalysis. This system can significantly reduce the process cost. Since it is obtained by solid-state fermentation, it offers the opportunity to use agro-industrial residues (e.g., cakes and brans from vegetable oils), which are inexpensive and plentiful in countries like Brazil, as substrates for cell growth and nutrition [11,12]. Moreover, the absence of downstream processes such as extraction, purification, and enzyme immobilization also contributes to cost reduction [13].
Oilseed cakes are by-products from vegetable oil refining industries, and they have been applied in several biotechnological processes due to their residual nutrients that can serve as both carbon and nitrogen sources [14]. The macauba palm (Acrocomia aculeata) is known for its potential to generate different products and co-products with high productivity, and its chemical composition has great features for biodiesel production [15]. This species bears massive bunches of oleaginous fruits with smooth epicarp (peel) and fibrous yellow or white mesocarp (pulp), which together account for approximately 58% of the fruit, involving the nut (endocarp and kernel), which represents around 42% of the fruit [16]. The macauba palm presents high productivity with the potential to produce 4000 t/ha of oil and increase the commercial competitiveness of biodiesel since it is an alternative vegetable non-edible oil crop [11]. During the processing of macauba fruits for oil extraction, several residues are generated in large amounts: it is estimated that from every 1000 palms/ha are generated 1159 kg of oil and 11,055 kg of cake from pulp, and 428 kg of oil and 812 kg of cake from the kernel [17].
The integrated processes have great potential for the biorefinery concept development, which consists of full energy supply chain utilization. The use of low-cost culture media to obtain high-value lipases, combined with its use as biocatalysts in enzymatic biodiesel synthesis, can make the process economically viable. Therefore, the main objective of the present study was to develop and optimize an SSF process for lipase production by Yarrowia lipolytica using macauba by-products. We also evaluated the use of SEP as a biocatalyst in different reactions: in the hydrolysis of macauba acidic oil and esterification reactions.
2. Methods
2.1. Microorganism
Yarrowia lipolytica IMUFRJ50682 (isolated from Guanabara Bay, Rio de Janeiro, Brazil) [8] was cultured on YPDA medium (m/v: 1% yeast extract, 2% peptone, 2% glucose, and 3% agar) and propagated on YPD growth media (m/v: 1% yeast extract, 2% peptone, and 2% glucose) for 72 h in a rotary shaker (160 rpm, 28 °C). Cells from this seed culture were used to inoculate SSF media.
2.2. Solid-State Fermentation (SSF)
2.2.1. SSF Experiments
Two by-products (purchased from COOPERRIACHÃO Cooperative, Montes Claros, Minas Gerais State, Brazil) from macauba oil processing were used as raw materials for lipase production through SSF. Cakes from the cold pressing of the entire fruit (comprising kernel cake, pulp, and peel) and of the pulp and the peel were stored at 5 °C and used without any chemical treatment. The cakes were subjected to a particle size separation using sieves with a size opening of 1.18 mm. Fermentations were carried out in lab-scale tray-type bioreactors (cylindric with flat plastic bottoms; 6.5 × 9 cm), containing 10 g of cake (from entire fruit or pulp and peel) forming a 1 cm deep layer. The system was sterilized at 121 °C for 20 min. The moisture and inoculum were adjusted according to the conditions described in the experimental designs. The bioreactors were incubated in fermentation chambers with temperature and moisture control, set to 28 °C and 99% water saturation, respectively.
2.2.2. Optimization of Lipase Production in SFF Experiments
To optimize the lipase production of Y. lipolytica in SSF using macauba fruit cake, a fractional factorial design (FFD) 26−2 (Table 1) with 3 central points was performed. Thereafter, a central Composite Rotatable Design (CCRD) was used to optimize the reaction conditions using both macauba cakes, aiming to maximize lipase production [18]. Statistical analyses were performed using STATISTICA 7.0 software (Statsoft, Inc., Tibco, CA, USA) to calculate the main effects of the variables and their interactions and perform the variance analysis (ANOVA). At optimized conditions from CCRD, SEP was obtained after 20 h of fermentation, being subsequently lyophilization, and stored at 4 °C for further application and characterization.
Table 1.
Independent variables at different levels in the fractional factorial design.
2.2.3. Compositional Characterization of SFF Medium
The contents of C, N, H, and S of the oilseed cakes were determined in triplicate, using a flash EA112 (Thermo Finnigan, ThermoFischer Scientfic, Sidney, Australia) elemental analyzer. Ash contents of oilseed cakes were determined by weighing the residual mass after incubation at 575 °C for 5 h. For the determination of lipid contents, the samples of oilseed cakes were initially dried and then packed into Whatman filter paper. The lipids were then extracted with hexane (Vetec) under reflux for 4 h. The flasks with the extracted lipids were incubated overnight at 65 °C and finally weighed. Total carbohydrate, hemicellulose, cellulose, lignin, and protein contents were determined according to Cunniff [19,20,21]. All compositional analyses were performed in triplicate.
2.3. Analytical Assays
2.3.1. Quantification of Biomass Growth
Biomass quantification of yeast growth was determined indirectly by measuring the content of α-1,4-N-acetilglycosamine, as described by Aidoo et al. [22].
2.3.2. Enzyme Extraction
For lipase characterization, 5 mL of phosphate buffer (50 mM, pH 7) was added to the SSF medium (10 g), followed by agitation in an orbital shaker at 35 °C and 200 rpm for 20 min. The solid–liquid separation was achieved with pressing followed by centrifugation at 3000 rpm for 5 min. The supernatant was used for the quantification of enzyme activity.
2.3.3. Quantification of Enzyme Activity
Lipase activity was measured using a spectrophotometric method using p-nitrophenyl laurate (p-NPL) as a substrate. The p-NPL was dissolved in dimethyl sulfoxide (DMSO) and potassium phosphate buffer (50 mM, pH 7) to a final concentration of 0.504 mM [23]. The activity was determined by the addition of 0.1 mL of crude enzyme extract to a 1.9 mL of substrate solution. The hydrolysis reaction was carried out at 37 °C, and the absorbance increase was measured for up to 100 s at 410 nm. One unit of lipase activity was defined as the enzyme amount that releases 1 µmol of p-NPL per minute at pH 7 and 37 °C. Enzyme activity was expressed as units per gram of initial dry solid medium.
The lipase activity of the SEP was determined using a titrimetric method. The enzyme extract (1 mL) was added to an emulsion (19 mL) of 5% (m/v) olive oil and 5% (m/v) gum arabic in phosphate buffer (100 mM, pH 7.0) and incubated for 20 min, 200 rpm at 37 °C. The reaction was interrupted by adding an acetone–ethanol mixture (1:1 v/v), which also promotes the extraction of the free fatty acids (FFAs). These were titrated in a pH-stat (Mettler Toledo) using 0.04 M NaOH up to a final pH of 11 [24]. One lipase unit was defined as the enzyme amount that releases 1 µmole of fatty acids per minute, under the assay conditions. Enzyme activity was expressed as units per gram of initial dry solid medium.
2.3.4. Acidity Determination
The acidity, i.e., the percentage of FFAs (wt %) in the oil, was analyzed by titration with NaOH 0.04 mol L−1 using a Mettler DG 20 auto titrator. The acidity was established according to Equation (1).
where M is the NaOH concentration, V is the volume of NaOH (mL), mm is the molecular mass of the predominant fatty acid (g), and m is the sample mass (g).
The conversion (%) of FFAs to esters was calculated considering the acidity at time zero (A0) and time t (At), according to Equation (2).
2.4. Characterization of SEP
The effect of pH on SEP activity was studied using different buffers: sodium acetate (50 mM, pH 5), sodium phosphate (50 mM, pH 6–8), and sodium carbonate (50 mM, pH 9). The effect of temperature was evaluated using phosphate buffer (50 mM, pH 7) at different temperatures: 27, 32, 37, 42, and 47 °C. Lipase activity was determined according to the titrimetric method [25]. For evaluation of the stability after long-term storage, SEP was divided into small fractions of 4 g and kept at two different temperatures, ambient (25 °C) and 4 °C, for up to 330 days. All samples were analyzed in triplicate.
2.5. Enzymatic Hydrolysis of the Acidic Oil from Macauba Pulp
The hydrolysis of macauba acidic oil (≈10% of acidity) was carried out in 50 mL thermostated reactors provided with magnetic stirring. Oil and buffer were added (ratio 1:1 v/v) to the system with SEP (10% m/v) to an enzyme loading of 10 U per gram of macauba oil. Two buffers were evaluated in the oil hydrolysis at 37 °C, pH 7: Buffer I was potassium phosphate 50 mM (KH2PO4; K2HPO4), while buffer II was a complex mineral solution (KH2PO4; Na2HPO4⋅7H2O; MgSO4⋅7H2O; CaCl2⋅2H2O; FeCl3⋅6H2O; ZnSO4⋅7H2O; MnSO4⋅H2O). For analysis, an aliquot of 500 µL was centrifuged at 3000 rpm for 5 min to remove particles. After centrifugation, 100 µL was added to 40 mL of acetone/ethanol solution (1:1). FFAs were titrated with 0.04 N NaOH solution until pH 11 in an automatic titrator (916 Ti-Touch–Metrohm), as described by Sousa et al. [26].
2.6. Enzymatic Esterification Reactions
Initial reactions were carried out in closed 50 mL cylindrical flat-bottomed glass batch reactors magnetically stirred and thermostated at 37 °C for 72 h. The medium was composed of oleic acid or hydrolyzed macauba oil and ethanol, with a molar ratio of 2:1 (alcohol:acid) and 5 U g−1 enzyme load. Ethanol was added stepwise in 7 equal aliquots (at 0, 1, 4, 8, 24, 28, and 48 h reaction). To evaluate ethanol and methanol as acyl-acceptors, reactions were carried out in closed 50 mL batch reactors magnetically stirred and thermostated at 37 °C for 72 h. The medium was composed of oleic acid and methanol or ethanol, with a molar ratio of 1:1 (alcohol:acid) and 15 U g−1 enzyme load. Alcohol was added as previously described. For optimization studies, reactions were carried out in closed 50 mL batch reactors magnetically stirred and thermostated for 72 h. The medium was composed of hydrolyzed macauba oil and ethanol, which was added stepwise as previously described. The parameters evaluated were enzyme load, molar ratio, and temperature. In all experiments, the conversion of FFAs to ethyl/methyl esters was monitored at fixed intervals by acidity determination.
2.7. Esters Yield Determination
The fatty acid ethyl/methyl ester content was determined on a GC-2010 (Shimadzu Co., Kyoto, Japan) equipped with a flame ionization detector (FID) and an Omegawax capillary column (30 m × 0.25 mm × 0.25 µL). The oven program was 200 °C for 5 min, then heated at 20 °C min−1 to 260 °C and kept constant at 260 °C for 6 min. The detector and injector were set at 250 °C and 260 °C, respectively. Helium was used as carrier gas at a 2 mL min−1 flow rate. Samples of 20 µL were diluted in 480 μL of an internal standard solution of methyl heptadecanoate (9 mg mL−1) in heptane, and 1 μL was injected with a split ratio of 1:20. The ester content was quantified using the peak area of the internal standard. The analyses were performed in duplicate, and the data are supplied as mean value and standard deviation.
3. Results
3.1. Characterization of Macauba Cakes
Knowing the chemical composition of the raw material is important when it comes to the SSF process. The nutritional requirements for enzyme production can be partially or completely fulfilled depending on the by-product used for microbial growth. It is possible to observe that the chemical composition of macauba cakes presents some differences, mostly in the lipid content (Table 2). Macauba fruit cake showed a lipid amount almost three times higher than macauba pulp and peel cake, which may be significant for lipase production. It is already known that lipids are good inducers of lipase expression, so a higher residual oil content in the cake can result in better productivity [9]. Likewise, the contents of crude protein and carbohydrates are important to be evaluated for lipase production. As Table 2 shows, the values are similar for both cakes, the pulp and peel cake being slightly poorer when compared with the fruit cake. This result was expected, since the macauba fruit cake contains residues from the kernel, which adds more nutritional value to the cake, including lipids.
Table 2.
Chemical composition of macauba cakes used in solid-state fermentation for lipase production.
Nitrogen and carbon are necessary elements for microorganism growth and as a consequence for the biosynthesis of enzymes. Lipases from fungi are also positively influenced by a high nitrogen concentration in the medium [7]. The C/N ratio is a factor usually calculated to assess the importance of nitrogen sources in lipase activity, so the percentage weight of the chemical elements was estimated (Table 3). The calculated C/N ratios of macauba fruit cake and pulp and peel cake are 39.4 and 43.0, respectively. These values can be considered high when compared to other raw materials used in SSF, such as cakes from castor seed (4.9), babassu (13.8), sunflower (9.8), and canola (8.4) [26]. A way to overcome the high C/N ratio is by adding a nitrogen source (organic or inorganic) to the medium. Many reports have shown that nitrogen supplementation is essential to modify the C/N ratio and increase lipase production in SSF [27,28,29].
Table 3.
The elementary composition of macauba cakes used in solid-state fermentation for lipase production.
3.2. Lipase Production via Solid-State Fermentation of Macauba Fruit Cake
A 26−2 FFD was employed to determine which factors were critical for lipase production by Y. lipolytica IMUFRJ 50682. The highest lipase activity was obtained at the central point condition (221 U g−1), after 24 h of fermentation (Table S1). Protease activity was also measured to evaluate its possible influence on lipase activity. The protease activity was low in all cases (<1.5 U g−1) and, therefore, the impact of proteases on the lipases produced by Y. lipolytica at 24 h of fermentation can be considered not relevant. Statistical analysis of the variables’ effects and interaction between them was performed at a 10% significance level (p < 0.1), considering the inherent variability in bioprocesses that involve enzymes and microorganisms. Among all studied effects, only moisture and urea concentration were found to be statistically significant (Figure 1). The interaction between them also presented a p-value of less than 0.1, indicating that, in addition to the relevance of individual factors on lipase activity, their interaction was also statistically significant. It is clear that the effect of these two variables not only positively impacted the lipase activity, but also led to absolute values higher than other effects.
Figure 1.
Pareto diagram illustrating the significant variables of fractional design.
Moisture content has been reported as a key factor for microbial growth and, consequently, for enzyme production in SSF, since it allows oxygen transfer to the culture medium and substrate diffusion of hydrolyzed substrates [30,31,32]. Regarding the significant effect of urea among the tested nitrogen sources, our result was similar to that observed by Rodriguez et al. [33]. They found that the SSF using sugarcane bagasse supplemented with urea increased six-fold the enzyme activity when compared with the medium supplemented with yeast extract. Imandi et al. [34] studied statistically the influence of ten different nitrogen sources on lipase production by the strain Y. lipolytica NCIM 3589 in SSF with palm kernel cake. Among the nitrogen sources, four were statistically significant for lipase production, and the highest positive effect was obtained with urea.
To optimize lipase production by Y. lipolytica from macauba fruit cake, a CCRD was performed considering urea and moisture as the independent variables and in triplicate on the central point. Table 4 presents all the trials of this experimental design and the yield values for lipase activity. Fermentations were carried out for 24 h. As in the factorial design experiments, protease activity was quantified, observing no more than 1.64 U g−1, which was considered irrelevant for lipase activity. Variance analyses (ANOVA) were performed to determine the significance and quality of the quadratic model adjustment (Tables S2 and S3). According to the calculated F value (20.9), the models are statistically significant at a level of 93%, which fits the experimental data adequately. The analysis of CCRD corroborates the relevance of moisture and urea contents on lipase production (Table S4). The data were analyzed and a regression model with real values was obtained (Equation (3)). The model indicates that the lipase production was positively influenced by the linear components of the two independent variables (expressed as x and y) and by the interaction effect between them.
where Z = Lipase activity (U g−1), x = Moisture content (%).
Z = −4303.89 + 171.39x − 1.65x2
Table 4.
Matrix of the CCRD (real values in parenthesis) for lipase production from macauba fruit cake.
The response surface graph was generated (Figures S1–S4) and clearly shows that the maximum point of lipase activity was located within the ranges of the two variables investigated, thus corroborating the validity of this optimization. The response surface indicates that the lipase activity reaches a maximum value (212.7 U g−1) when the moisture and urea contents are 52% and 1.5%, respectively. At the predicted condition, the C/N was estimated to be 26.5, whereas, in the assay condition, it was 23.5. Comparing the CCRD results for macauba cakes, it is possible to observe that the models predicted similar urea concentration to obtain the maximum values of lipase activity. The predicted moisture, however, was different and indicated the necessity of a lower content for macauba fruit cake.
There are few studies in the literature reporting lipase production by Yarrowia lipolytica in SSF. Among them, Imandi et al. [34,35] investigated lipase production by Y. lipolytica NCIM 3589 using palm kernel cake and niger oilseed cake. According to the authors, lipase activity reached 18.6 and 26.4 U g−1 (based on the colorimetric method with p-nitrophenyl palmitate), respectively, after 96 h in similar conditions of moisture (60% with palm kernel cake and 70% with niger oilseed cake) and urea (1.5%). Farias et al. [36] studied lipase production by Y. lipolytica IMUFRJ 50682 using soybean cake and cottonseed cake as raw materials. The soybean cake, supplemented with its sludge, favored lipase production after 14 h of fermentation when compared with fermentation with cottonseed after 28 h (139 and 102 U g−1, respectively). Lopes et al. [37], using the same strain of Y. lipolytica, studied the effect of nitrogen supplementation on lipase production in SSF with residue from the olive oil industry. They reported maximum productivity of 7.8 U g−1 h−1 after 24 h of fermentation, lower than the yields achieved in the present study was 12.6 U g−1 h−1 for macauba fruit cake after 24 h and 11.6 U g−1 h−1 for macauba pulp and peel cake after 20 h of fermentation. Recent studies with the strain Y. lipolytica IMUFRJ 50682 include the production of lipases by SSF with potential for PET depolymerization and for the synthesis of esters with commercial value in the food industry [38,39].
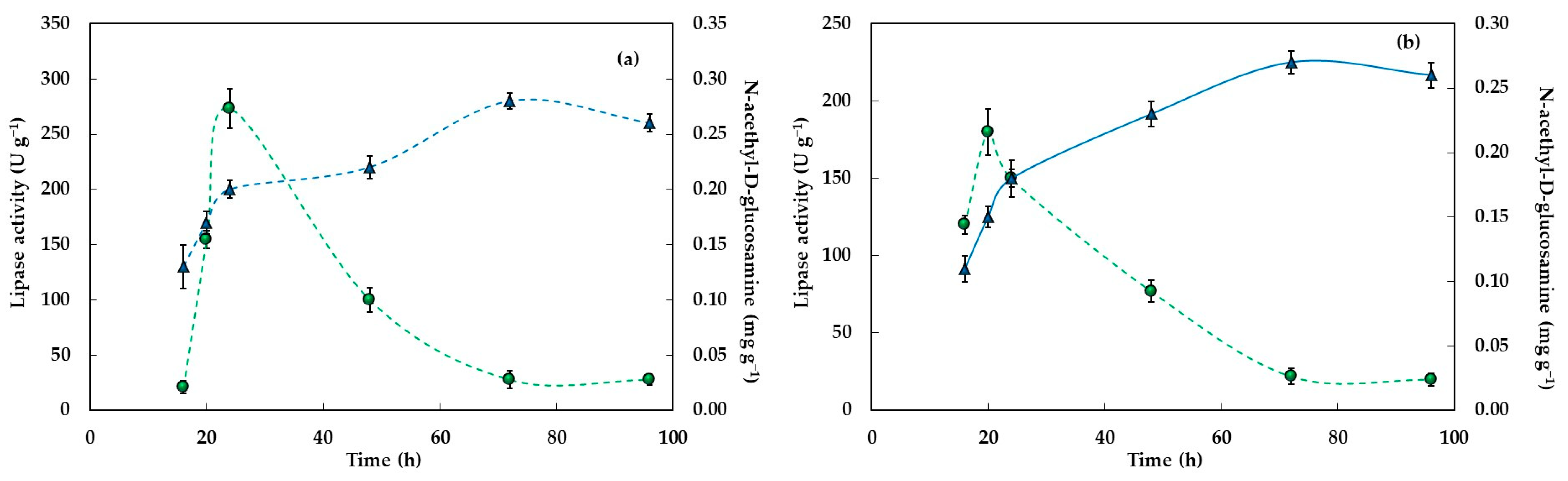
The biomass growth of Y. lipolytica was monitored in SSF for macauba cakes, using the best condition determined in CCRD studies. The glucosamine method is based on the indirect measurement of chitin, a monomer found on the cellular wall of fungi and yeast [22]. Both macauba fruit cake and macauba pulp and peel cake were suitable for yeast growth. The content of N-acetyl-D-glucosamine reached similar levels, approximately 0.27 and 0.26 (mg g−1 of cake) for macauba fruit cake and macauba pulp and peel cake, respectively, as shown in Figure 2. From the results here presented, macauba pulp and peel cake was chosen for further enzymatic studies due to the possibility of achieving the maximum lipase production in a shorter time (20 h), which led to a good productivity of 11.6 U g−1 h−1.
Figure 2.
Lipase production (open triangle) and biomass production (square) in SSF using macauba fruit cake (a) and macauba pulp and peel cake (b) within 96 h.
3.3. Characterization of SEP from Macauba Pulp and Peel Cake
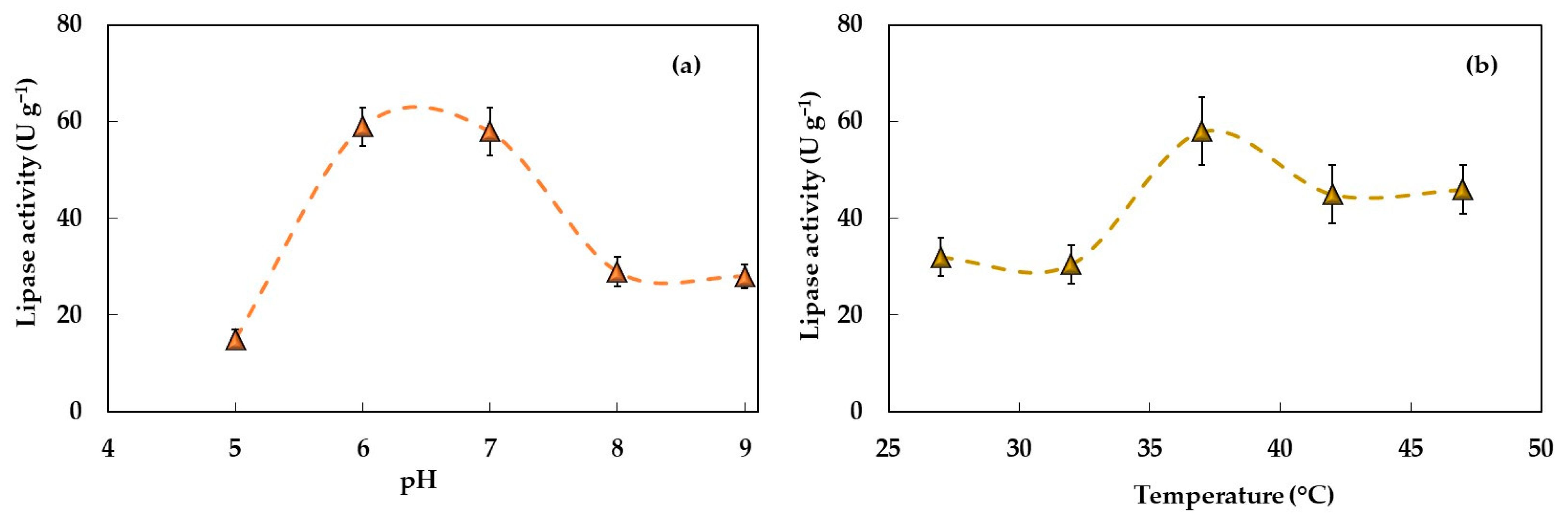
The macauba pulp and peel cake, enriched in enzymes after 20 h of process, was named solid enzymatic preparation (SEP) after being freeze-dried [40]. SEP was characterized according to critical variables for its application. Figure 3a,b show the lipase activity of SEP at different pH and temperature values, respectively. It can be seen that slightly acidic lipases govern the SEP activity, as seen by other authors under different production conditions. The pH ranged from 5 to 9, and lipase activity was detected in all these pH values. However, lipase activity was higher in pH 6 and 7 (Figure 3a). A previous study demonstrated that the optimum pH for Y. lipolytica IMUFRJ 50682 to hydrolyze p-nitrophenyl laurate was 7 at 37 °C [41]. Fickers et al. [9] studied the optimum pH for Lip2 lipase production and concluded that it depends on the substrate used in enzyme production.
Figure 3.
Effect of pH (a) and temperature (b) on lipase activity of Y. lipolytica in SSF.
The best temperature for lipase activity was 37 °C (Figure 3b), corroborating other studies in the literature [40,41,42]. Yu et al. [43] reported that the maximum lipase activity of Lip2 was achieved in temperatures between 37 °C and 42 °C. However, there are also some studies reporting lower temperatures in acidic pH values. Kebabci et al. [44] studied the optimum temperature and pH for lipase production in submerged fermentation using three different strains of Y. lipolytica, and for all strains, the best temperature was 30 °C, with pH ranging from 4.4 to 4.6. Since the biocatalyst must support long-term storage for economic and operational feasibility, this parameter was evaluated. The lipase activity of SEP was monitored for 330 days at 4 °C and ambient temperature (±25 °C), as shown in Figure 4. At ambient temperature, the lipolytic activity remained stable over 90 days, decreasing after 150 days of storage. At 4 °C, the enzyme activity had a sharp drop between 60 and 90 days and continued to decrease until the last day slightly. Thus, the stability was better at ambient temperature, in which lipolytic activity retained 70% of initial activity. This storage condition is relevant to the economic viability of the process since it will prevent energy costs.
Figure 4.
Analysis of SEP lipolytic activity when subjected to 4 °C and ambient temperature for 330 days.
3.4. Application of SEP in the Conversion of the Acidic Macauba Pulp Oil
Initially, SEP was applied in the hydrolysis of acidic macauba pulp oil. At this stage, reactions at three different conditions were performed, two buffered (pH 7) and one unbuffered at 37 °C, based on the optimal conditions found previously (Figure 3a,b). According to Figure 5, buffers I and II led to the same conversion profile, which yielded 100% after 72 h. This shows that the simpler and lower-cost buffer (buffer I) can be used in this reaction. The yield achieved in the unbuffered reaction was significantly lower, corroborating the role of pH on enzyme activity. Meng et al. [45] investigated the hydrolysis of soybean oil using 100 U of free lipase of Yarrowia lipolytica CGMCC 2707, obtaining 86% conversion after 48 h of reaction. A 10-times-lower enzyme loading (10 U) was used in the present work, and an almost complete conversion was achieved. A possible strategy to improve enzyme activity and increase the conversion rate is by adding free lipase, thus avoiding mass transfer problems. Free and immobilized lipases of Thermomyces lanuginosus were applied in the hydrolysis reaction of soybean oil, reaching 100% conversion after 10 h [46]. At the end of the hydrolysis reaction with buffer I, the free fatty acids (FFAs) profile was determined by GC. Oleic acid (C18:1) was the major FFA, with a content of 58%, followed by 18% palmitic (C16:0), 18% linoleic (C18:2), 7% palmitoleic (C16:1), 1% stearic (C18:0), and 1% linolenic (C18:3).
Figure 5.
SEP lipolytic activity analysis when subjected to 4 °C and room temperature for 330 days.
3.5. Application of SEP in Esterification Reactions for Biodiesel Synthesis
The FFAs from macauba oil hydrolysis were used in synthesis reactions with ethanol to evaluate the esterification potential of the SEP. A reaction with oleic acid was carried out as a control, using SEP as a biocatalyst. The ethanol was added stepwise with seven equal aliquots; this strategy favors the synthesis avoiding enzyme inhibition [47]. After 72 h, the SEP catalyzed conversions of 40% and 50% were obtained in the reactions with FFAs from macauba oil and oleic acid, respectively (Figure S5). Although the conversion rates were lower than the conversions already reported in the literature [48,49,50], no optimization was performed at this stage. According to Meng et al. [43], the change in the molar ratio from 1:1 to 1:2 (acid:alcohol) may deactivate the enzyme, decreasing the conversion by up to 50%. The authors achieved 82% conversion after 3 h in reactions using a molar ratio of 1:1 and an enzyme load of 18 U g−1 FFA. Thus, a set of experiments was carried out using a higher enzyme load (15 U g−1) in reactions with oleic acid, methanol, and ethanol. The molar ratio tested was 1:1 and alcohols were added stepwise in 7 aliquots. The esterification profile for both alcohols was similar (Figure S6), with a maximum conversion rate of 48 h. However, reactions using ethanol achieved 43% conversion, while reactions using methanol achieved only 30% conversion.
Methanolysis is the most common reaction to produce biodiesel, due to its economic feasibility [35]; however, some drawbacks are expected when it comes to enzymatic catalysis. Comparing ethanol and methanol as acyl-acceptors, methanol is more polar, and lipases are easily inactivated by their presence [49]. Short-chain alcohols interact with water molecules necessary to keep the native structure of the enzyme [48,49]. It is possible to observe that the change in the molar ratio from 1:2 to 1:1 limited the conversion with ethanol, even applying a high enzyme load. To optimize the esterification reactions using SEP, a new CCRD was carried out to evaluate the influence of three parameters, enzyme load, molar ratio, and temperature on the synthesis of ethyl esters using the hydrolyzed macauba acidic oil. The stepwise feeding strategy of ethanol was applied as described previously. Although central points had a low experimental error, with a coefficient of variation of 5%, the coefficient of determination R2 indicated a lack of fit (0.57); thus, the variability in the response could not be explained by the model. Nevertheless, from the results of 17 assays, it was possible to choose the best esterification condition, which reached a yield of 49% in ethyl esters. The optimal conditions were 15 U g−1 enzyme load and a 1:3 molar ratio (acid:ethanol) at 29 °C.
Since water can interfere as a competitive inhibitor in the mechanism of reactions catalyzed by lipases [11], a strategy for reducing the water content was evaluated. Two successive esterifications in the optimal condition were carried out so the remaining fatty acids from one reaction could be converted into ethyl esters in the following reaction. Between reactions, the liquid phase went through a distillation process to withdraw the water content (Figure S7). After a 48 h reaction, conversion reached 53% (yield of 49% in ethyl esters), confirming the previous study, with a water content of 1.6% (v/v). Samples were collected during distillation to confirm water removal, and at the end of the process, the water content in the liquid phase dropped to 0.05% (v/v). The second esterification started with 0.05% water content, and after 48 h, the yield in ethyl esters reached 67%, with a conversion of 72%. The strategy for water removal was successful since it led to an increase of 36.7% in ester yield without any other improvement. Thus, in our study, process simplicity and low costs were important factors for the decision-making on the best strategy for biodiesel production.
4. Conclusions
In this work, the yeast Yarrowia lipolytica IMUFRJ 50682 successfully produced lipase through a simple solid-state fermentation process using macauba fruit cake as raw material and an agro-industrial by-product. The solid enzymatic preparation (SEP) produced was able to catalyze both hydrolytic and synthetic reactions. Its lipolytic activity remained stable over 90 days at room temperature, which is a relevant characteristic for the economic viability of the process. The acidic macauba oil was hydrolyzed to fatty acids with a 100% conversion after 72 h, using only a 10 U enzyme load. Then, the fatty acids released from the acidic oil were converted to ethyl esters, reaching a yield of 67% in 48 h with 15 U enzyme loads. The optimized usage of biomass to produce several products of commercial interest in a sustainable and economical way is one of the main concepts of biorefinery. In this study, it was possible to demonstrate a potential integrated bioprocess in which the residual biomass from the extraction of macauba oil was used to produce lipases easily and cheaply by SSF. Then these biocatalysts can be applied to hydrolyze macauba oil, releasing fatty acids that are further esterified by the same enzymes to produce biodiesel esters.
5. Patents
PETROBRAS has patent applications in this field.
Supplementary Materials
The following supporting information can be downloaded at: https://www.mdpi.com/article/10.3390/fermentation9120992/s1, Table S1. 26-2 Fractional factorial design matrix (real values in parenthesis) of all SSF tests with macauba fruit cake and respective lipase activity results after 24 h; Table S2. Variance analysis for lipase activity obtained from macauba fruit cake. R2 = 0.93; F (0.10; 5; 4) = 4.05; Table S3. Variance analysis for lipase production from macauba pulp and peel cake. R2 = 0.86; F (0.1; 5; 4) = 4.05; Table S4. Matrix of the CCRD (real values in parenthesis) for the synthesis of ethyl esters using FFAs from macauba acidic oil. *Results after 48 h reaction; Figure S1. Pareto diagram of the effects of independent variables on lipase production in SSF using macauba fruit cake (24 h); Figure S2. Response surface of lipase production as a function of moisture and urea contents using macauba fruit cake; Figure S3. Pareto diagram of the effects on lipase activity in SSF using macauba pulp and peel cake (20 h); Figure S4. Response surface of lipase production as a function of moisture and urea contents using macauba pulp and peel cake; Figure S5. Enzymatic esterification of FFAs over 72 h of reaction at 37 °C, 5 U/g enzyme load, 1:2 (alcohol:acid) molar ratio. Stepwise addition of ethanol at times 0, 1, 4, 10, 24, 28, and 48 h; Figure S6. Enzymatic esterification of oleic acid over 72 h of reaction at 37 °C, 15 U/g enzyme load, molar ratio 1:1. Stepwise addition of methanol and ethanol at times 0, 1, 4, 10, 24, 28, and 48 h; Figure S7. Esterification reactions of macauba acidic oil with ethanol as acyl-acceptor. After 48 h reaction, the water was withdrawn by distillation and esterification reaction continued for 48 h. Reaction conditions: 15 U/g enzyme load and 1:3 molar ratio (acid:alcohol) at 29 °C.
Author Contributions
Conceptualization: M.A.F. and J.C.S.S. Formal analysis and investigation: F.S.B., A.C. and B.D.R. Writing (original draft preparation and editing): F.S.B. and J.C.S.S. Supervision: V.R.d.O.L., A.M.C. and M.A.Z.C. All authors have read and agreed to the published version of the manuscript.
Funding
This work was financed by national funds through the National Council for Scientific and Technological Development (CNPq-Finance Code: 304293/2017-2); Coordination of Improvement of Higher-Level Personnel (CAPES); and the Foundation for Research Support and Technological Innovation of the State of Rio de Janeiro (FAPERJ-Finance Code: E-26/201.105/2022 and E-26/211.385/2021); PETROBRAS for the funding. Buarque, F.S. acknowledge the scholarship grant from FAPERJ-Finance Code: E-26/204.344/2021.
Institutional Review Board Statement
Not applicable.
Informed Consent Statement
Not applicable.
Data Availability Statement
Data are contained within the article and Supplementary Materials.
Conflicts of Interest
The authors declare no conflict of interest.
References
- Treichel, H.; de Oliveira, D.; Mazutti, M.A.; Di Luccio, M.; Oliveira, J.V. A Review on Microbial Lipases Production. Food Bioprocess Technol. 2010, 3, 182–196. [Google Scholar] [CrossRef]
- Melani, N.B.; Tambourgi, E.B.; Silveira, E. Lipases: From Production to Applications. Sep. Purif. Rev. 2020, 49, 143–158. [Google Scholar] [CrossRef]
- Buarque, F.S.; Carniel, A.; Ribeiro, B.D.; Coelho, M.A.Z. Selective enzymes separation from the fermentation broth of Yarrowia lipolytica using aqueous two-phase system based on quaternary ammonium compounds. Sep. Purif. Technol. 2023, 324, 124539. [Google Scholar] [CrossRef]
- Tofani, G.; Petri, A.; Piccolo, O. Preparation of enantiomerically pure N-heterocyclic amino alcohols by enzymatic kinetic resolution. Tetrahedron Asymmetry 2015, 26, 638–643. [Google Scholar] [CrossRef]
- Kumar, A.; Verma, V.; Dubey, V.K.; Srivastava, A.; Garg, S.K.; Singh, V.P.; Arora, P.K. Industrial applications of fungal lipases: A review. Front. Microbiol. 2023, 14, 1142536. [Google Scholar] [CrossRef]
- Santos, A.G.; Buarque, F.S.; Ribeiro, B.D.; Coelho, M.A.Z. Extractive fermentation for the production and partitioning of lipase and citric acid by Yarrowia lipolytica. Process Biochem. 2022, 122, 374–385. [Google Scholar] [CrossRef]
- Hasan, F.; Shah, A.A.; Hameed, A. Industrial applications of microbial lipases. Enzym. Microb. Technol. 2006, 29, 235–251. [Google Scholar] [CrossRef]
- Snellman, E.A.; Sullivan, E.R.; Colwell, R.R. Purification and properties of the extracellular lipase, LipA, of Acinetobacter sp. RAG-1. Eur. J. Biochem. 2002, 269, 5771–5779. [Google Scholar] [CrossRef]
- Tacin, M.V.; Massi, F.P.; Fungaro, M.H.P.; Teixeira, M.F.S.; de Paula, A.V.; de Carvalho Santos-Ebinuma, V. Biotechnological valorization of oils from agro-industrial wastes to produce lipase using Aspergillus sp. from Amazon. Biocatal. Agric. Biotechnol. 2019, 17, 369–378. [Google Scholar] [CrossRef]
- Hagler, A.N.; Mendonqa-Hagler, L.C. Yeasts from Marine and Estuarine Waters with Different Levels of Pollution in the State of Rio de Janeiro, Brazil. 1981. Available online: https://journals.asm.org/journal/aem (accessed on 30 May 2023).
- Fickers, P.; Marty, A.; Nicaud, J.M. The lipases from Yarrowia lipolytica: Genetics, production, regulation, biochemical characterization and biotechnological applications. Biotechnol. Adv. 2011, 29, 632–644. [Google Scholar] [CrossRef]
- Leite, P.; Sousa, D.; Fernandes, H.; Ferreira, M.; Costa, A.R.; Filipe, D.; Salgado, J.M. Recent advances in production of lignocellulolytic enzymes by solid-state fermentation of agro-industrial wastes. Cur. Opin. Green Sust. Chem. 2023, 27, 100407. [Google Scholar] [CrossRef]
- Aguieiras, E.C.G.; de Barros, D.S.N.; Fernandez-Lafuente, R.; Freire, D.M.G. Production of lipases in cottonseed meal and application of the fermented solid as biocatalyst in esterification and transesterification reactions. Renew. Energy 2019, 130, 574–581. [Google Scholar] [CrossRef]
- Botton, V.; Piovan, L.; Meier, H.F.; Mitchell, D.A.; Cordova, J.; Krieger, N. Optimization of biodiesel synthesis by esterification using a fermented solid produced by Rhizopus microsporus on sugarcane bagasse. Bioprocess Biosyst. Eng. 2018, 41, 573–583. [Google Scholar] [CrossRef] [PubMed]
- Gutarra, M.L.E.; Godoy, M.G.; Maugeri, F.; Rodrigues, M.I.; Freire, D.M.G.; Castilho, L.R.; Isabel, M.; Freire, D.M.G.; Castilho, L.R. Production of an acidic and thermostable lipase of the mesophilic fungus Penicillium simplicissimum by solid-state fermentation. Bioresour. Technol. 2009, 100, 5249–5254. [Google Scholar] [CrossRef]
- Sant’Ana, C.T.; Verediano, T.A.; Grancieri, M.; Toledo, R.C.L.; Tako, E.; Costa, N.M.B.; Barros, F.A.R. Macauba (Acrocomia aculeata) Pulp Oil Prevents Adipogenesis, Inflammation and Oxidative Stress in Mice Fed a High-Fat Diet. Nutrients 2023, 15, 1252. [Google Scholar] [CrossRef]
- Souza, G.K.; Scheufele, F.B.; Pasa, T.L.B.; Arroyo, P.A.; Pereira, N.C. Synthesis of ethyl esters from crude macauba oil (Acrocomia aculeata) for biodiesel production. Fuel 2016, 165, 360–366. [Google Scholar] [CrossRef]
- Del Río, J.C.; Evaristo, A.B.; Marques, G.; Martín-Ramos, P.; Martín-gil, J.; Gutiérrez, A. Chemical composition and thermal behavior of the pulp and kernel oils from macauba palm (Acrocomia aculeata) fruit. Ind. Crops Prod. 2016, 84, 294–304. [Google Scholar] [CrossRef]
- Ciconini, G.; Favaro, S.P.; Roscoe, R.; Miranda, C.H.B.; Tapeti, C.F.; Miyahira, M.A.M.; Bearari, L.; Galvani, F.; Borsato, A.V.; Colnago, L.A.; et al. Biometry and oil contents of Acrocomia aculeata fruits from the Cerrados and Pantanal biomes in Mato Grosso do Sul, Brazil. Ind. Crop Prod. 2013, 45, 208–214. [Google Scholar] [CrossRef]
- Cunniff, P.; Washington, D. Official methods of analysis of AOAC international. J. AOAC Int. 1997, 80, 127–128. [Google Scholar] [CrossRef]
- Instituto Adolfo Lutz. Métodos Químicos e Físicos Para Análise de Alimentos, 4th ed.; Instituto Adolfo Lutz: São Paulo, Brazil, 2005. [Google Scholar]
- Mendez, M.H.M.; Derivi, S.C.N.; Rodrigues, M.C.R.; Fernandes, M.L.; Machado, R.L.D. Metodo da fibra detergente neutro modificado para amostras ricas em amido. Ciência e Tecnol. Aliment. 1985, 5, 123–131. [Google Scholar]
- Van Soest, P.J. Use of Detergents in the Analysis of Fibrous Feeds I Preparation of Fiber Residues of Low Nitrogen Content. J. Assoc. Off. Agric. Chem. 1963, 46, 825–835. [Google Scholar]
- Aidoo, K.E.; Hendry, R.; Wood, B.J.B. Estimation of Fungal Growth in a Solid State Fermentation System. Appl. Microbiol. Biotechnol. 1981, 12, 6–9. [Google Scholar] [CrossRef]
- Freire, D.M.; Teles, E.M.; Bon, E.P. Lipase production by Penicillium restrictum in a bench-scale fermenter. In: Biotechnology for Fuels and Chemicals. App. Biochem. Biotechnol. 1997, 63–65, 409–421. [Google Scholar] [CrossRef]
- Pereira-Meireles, F.V.; Rocha-Leão, M.H.M.; Sant’Anna, G.L.J. A Stable Lipase from Candida lipolytica: Cultivation Conditions and Crude Enzyme Characteristics. Appl. Biochem. Biotechnol. 1997, 63, 73–85. [Google Scholar]
- Sousa, J.S.; Cavalcanti-Oliveira, E.; Aranda, D.A.G.A.; Freire, D.M.G. Enzymatic Application of lipase from the physic nut (Jatropha curcas L.) to a new hybrid (enzyme/chemical) hydroesterification process for biodiesel production. J. Mol. Catal. B Enzym. 2010, 65, 133–137. [Google Scholar] [CrossRef]
- Oliveira, F.; Salgado, J.M.; Abrunhosa, L.; Pérez-Rodríguez, N.; Domínguez, J.M.; Venâncio, A.; Belo, I. Optimization of lipase production by solid-state fermentation of olive pomace: From flask to laboratory-scale packed-bed bioreactor. Bioprocess Biosyst. Eng. 2017, 40, 1123–1132. [Google Scholar] [CrossRef]
- Singh, A.K.; Mukhopadhyay, M. Overview of fungal lipase: A review. Appl. Biochem. Biotechnol. 2012, 166, 486–520. [Google Scholar] [CrossRef]
- Edwinoliver, N.G.; Thirunavukarasu, K.; Naidu, R.B.; Gowthaman, M.K.; Kambe, T.N.; Kamini, N.R. Scale up of a novel tri-substrate fermentation for enhanced production of Aspergillus niger lipase for tallow hydrolysis. Bioresour. Technol. 2010, 101, 6791–6796. [Google Scholar] [CrossRef]
- Pandey, A. Solid-state fermentation. Biochem. Eng. J. 2003, 13, 81–84. [Google Scholar] [CrossRef]
- Thomas, L.; Larroche, C.; Pandey, A. Current developments in solid-state fermentation. Biochem. Eng. J. 2013, 81, 146–161. [Google Scholar] [CrossRef]
- Rodrigues, R.C.; Ayub, M.A.Z. Effects of the combined use of Thermomyces lanuginosus and rhizomucor miehei lipases for the transesterification and hydrolysis of soybean oil. Process Biochem. 2011, 46, 682–688. [Google Scholar] [CrossRef]
- Imandi, S.B.; Karanam, S.K.; Garapati, H.R. Optimization of Process Parameters for the Productionof Lipase in Solid State Fermentation by Yarrowia Lipolytica from Niger Seed Oil Cake (Guizotia abyssinica). J. Microb. Biochem. Technol. 2010, 2, 28–33. [Google Scholar] [CrossRef]
- Imandi, S.B.; Karanam, S.K.; Garapati, H.R. Optimization of media constituents for the production of lipase in solid state fermentation by Yarrowia lipolytica from palm Kernal cake (Elaeis guineensis). Adv. Biosci. Biotechnol. 2010, 1, 115–121. [Google Scholar] [CrossRef][Green Version]
- Farias, M.A.; Valoni, E.A.; Castro, A.M.; Coelho, M.A.Z. Lipase Production by Yarrowia lipolytica in Solid State Fermentation Using Different Agro Industrial Residues. Chem. Eng. Trans. 2014, 38, 301–306. [Google Scholar] [CrossRef]
- Lopes, V.R.O.; Farias, M.A.; Belo, I.M.P.; Coelho, M.A.Z. Nitrogen sources on TPOMW valorization through solid state fermentation performed by Yarrowia lipolytica. Braz. J. Chem. Eng. 2016, 33, 261–270. [Google Scholar] [CrossRef]
- Sales, J.C.S.; de Castro, A.M.; Ribeiro, B.D.; Coelho, M.A.Z. Supplementation of watermelon peels as an enhancer of lipase and esterase production by Yarrowia lipolytica in solid-state fermentation and their potential use as biocatalysts in poly (ethylene terephthalate) (PET) depolymerization reactions. Biocatal. Biotransform. 2020, 38, 457–468. [Google Scholar] [CrossRef]
- Souza, C.E.C.; Ribeiro, B.D.; Coelho, M.A.Z. Characterization and Application of Yarrowia lipolytica Lipase Obtained by Solid-State Fermentation in the Synthesis of Different Esters Used in the Food Industry. Appl. Biochem. Biotechnol. 2019, 189, 933–959. [Google Scholar] [CrossRef]
- Andrade, A.C.; Marinho, J.F.U.; Souza, A.C.; Tavares, T.; Dias, D.R.; Schwan, R.F.; Bastos, S.C. Prebiotic potential of pulp and kernel cake from Jerivá (Syagrus romanzoffiana) and Macaúba palm fruits (Acrocomia aculeata). Food Res. Intern. 2020, 136, 109595. [Google Scholar] [CrossRef]
- Destain, J.; Roblain, D.; Thonart, P. Improvement of lipase production from Yarrowia lipolytica. Biotechnol. Lett. 1997, 19, 105–107. [Google Scholar] [CrossRef]
- Kempka, A.P.; Lipke, N.L.; Da Luz Fontoura Pinheiro, T.; Menoncin, S.; Treichel, H.; Freire, D.M.G.; Di Luccio, M.; De Oliveira, D. Response surface method to optimize the production and characterization of lipase from Penicillium verrucosum in solid-state fermentation. Bioprocess Biosyst. Eng. 2008, 31, 119–125. [Google Scholar] [CrossRef]
- Yu, M.; Qin, S.; Tan, T. Purification and characterization of the extracellular lipase Lip2 from Yarrowia lipolytica. Process Biochem. 2007, 42, 384–391. [Google Scholar] [CrossRef]
- Kebabci, Ö.; Cİhangİr, N.; Kebabci, O.; Cihangir, N. Comparison of three Yarrowia lipolytica strains for lipase production: NBRC 1658, IFO 1195, and a local strain. Turk. J. Biol. 2012, 36, 15–24. [Google Scholar] [CrossRef]
- Meng, Y.; Wang, G.; Yang, N.; Zhou, Z.; Li, Y.; Liang, X.; Chen, J.; Li, Y.; Li, J. Two-step synthesis of fatty acid ethyl ester from soybean oil catalyzed by Yarrowia lipolytica lipase. Biotechnol. Biofuels 2011, 4, 9. [Google Scholar] [CrossRef]
- Rodriguez, J.; Mateos, J.C.; Nungaray, J.; González, V.; Bhagnagar, T.; Roussos, S.; Cordova, J.; Baratti, J. Improving lipase production by nutrient source modification using Rhizopus homothallicus cultured in solid state fermentation. Process Biochem. 2006, 41, 2264–2269. [Google Scholar] [CrossRef]
- Luiza, M.; Fernandes, M.; Bolzani, E.; Meira, J.A.; Ramos, L.P.; Mitchell, D.A.; Krieger, N. Esterification and transesterification reactions catalysed by addition of fermented solids to organic reaction media. J. Mol. Catal. B Enzym. 2007, 44, 8–13. [Google Scholar] [CrossRef]
- Talukder, M.M.R.; Wu, J.C.; Fen, N.M.; Melissa, Y.L.S. Two-step lipase catalysis for production of biodiesel. Biochem. Eng. J. 2010, 49, 207–212. [Google Scholar] [CrossRef]
- Aguieiras, E.C.G.; Cavalcanti-Oliveira, E.D.; de Castro, A.M.; Langone, M.A.; Freire, D.M.G. Biodiesel production from Acrocomia aculeata acid oil by (enzyme/enzyme) hydroesterification process: Use of vegetable lipase and fermented solid as low-cost biocatalysts. Fuel 2014, 135, 315–321. [Google Scholar] [CrossRef]
- Dalmau, E.; Montesinos, J.; Lotti, M.; Casas, C. Effect of different carbon sources on lipase production by Candida rugosa. Enzym. Microb. Technol. 2000, 26, 657–663. [Google Scholar] [CrossRef]
Disclaimer/Publisher’s Note: The statements, opinions and data contained in all publications are solely those of the individual author(s) and contributor(s) and not of MDPI and/or the editor(s). MDPI and/or the editor(s) disclaim responsibility for any injury to people or property resulting from any ideas, methods, instructions or products referred to in the content. |
© 2023 by the authors. Licensee MDPI, Basel, Switzerland. This article is an open access article distributed under the terms and conditions of the Creative Commons Attribution (CC BY) license (https://creativecommons.org/licenses/by/4.0/).




