Oil Yield and Bioactive Compounds of Moringa oleifera Trees Grown Under Saline Conditions
Abstract
1. Introduction
2. Materials and Methods
2.1. Experimental Conditions and Design
2.2. Plant Material
2.3. Applications of Irrigation
2.4. Seaweed Treatments
2.5. Measurements
2.5.1. Fixed Seed Oil Content
2.5.2. GC/MS Analysis of Fixed Oil
2.5.3. Free Proline and Soluble Proteins Content
2.5.4. Total Phenolic Content (mg GAE g−1 DW)
2.5.5. The Content of Total Flavonoids (mg RE g−1 DW)
2.5.6. IC50 (µg mL−1) Values for Antioxidant Activity
2.6. Statistical Analysis
3. Results
3.1. Oil Parameters
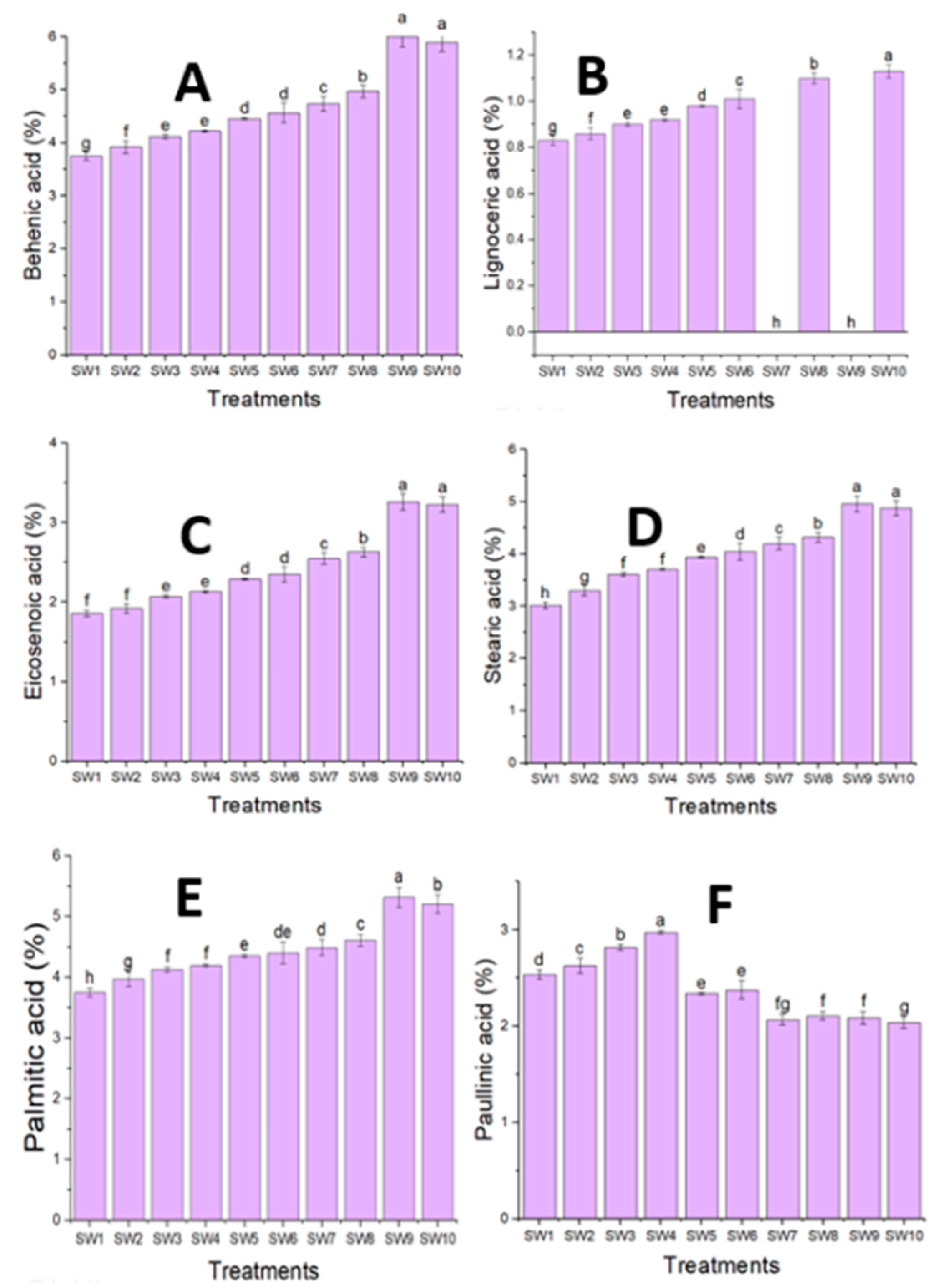
3.2. Fixed Oil Analysis of Seeds
3.3. Protein and Proline Contents
3.4. Bioactive Compound: Total Phenolic and Flavonoids Contents and Antioxidant Activity
4. Discussion
4.1. Effects of Salinity
4.2. Effects of Seaweed Extract
5. Conclusions
Author Contributions
Funding
Data Availability Statement
Conflicts of Interest
References
- Ramachandran, C.; Peter, K.V.; Gopalakrishnan, P.K. Drumstick (Moringa oleifera): A Multipurpose Indian Vegetable. Econ. Bot. 1980, 34, 276–283. [Google Scholar] [CrossRef]
- Morton, J.F. The Horseradish Tree, Moringa Pterygosperma (Moringaceae)—A Boon to Arid Lands? Econ. Bot. 1991, 45, 318–333. [Google Scholar] [CrossRef]
- Rockwood, J.L.; Anderson, B.G.; Casamatta, D.A. Potential Uses of Moringa oleifera and an Examination of Antibiotic Efficacy Conferred by M. oleifera Seed and Leaf Extracts Using Crude Extraction Techniques Available to Underserved Indigenous Populations. Int. J. Phytother. Res. 2013, 3, 61–71. [Google Scholar]
- Warra, A.A. A Review of Moringa oleifera Lam. Seed Oil Prospects in Personal Care Formulations. Res. Rev. J. Pharm. Nanotechnol 2014, 2, 31–34. [Google Scholar]
- Nadeem, M.; Imran, M. Promising Features of Moringa oleifera Oil: Recent Updates and Perspectives. Lipids Health Dis. 2016, 15, 212. [Google Scholar] [CrossRef] [PubMed]
- Aiyelaagbe, I.O.O. Nigerian Horticulture: Facing the Challenges of Human Health and Agricultural Productivity. In Proceedings of the Keynote Address Presented at the 29th Annual National Conference of Horticultural Society of Nigeria, Makurdi, Nigeria, 24–29 July 2011; pp. 24–29. [Google Scholar]
- Fuglie, L.J. The Miracle Tree: Moringa oleifera, Natural Nutrition for the Tropics; Church World Service: Dakar, Senegal, 1999. [Google Scholar]
- Singh, J.; Thakur, J.K. Photosynthesis and Abiotic Stress in Plants. In Biotic and Abiotic Stress Tolerance in Plants; Springer: Berlin/Heidelberg, Germany, 2018; pp. 27–46. [Google Scholar]
- Flowers, T.J.; Gaur, P.M.; Gowda, C.L.L.; Krishnamurthy, L.; Samineni, S.; Siddique, K.H.M.; Turner, N.C.; Vadez, V.; Varshney, R.K.; Colmer, T.D. Salt Sensitivity in Chickpea. Plant Cell Environ. 2010, 33, 490–509. [Google Scholar] [CrossRef]
- Youssef, A.M. Salt Tolerance Mechanisms in Some Halophytes from Saudi Arabia and Egypt. Res. J. Agric. Biol. Sci. 2009, 5, 191–206. [Google Scholar]
- Dos Santos, T.B.; Ribas, A.F.; de Souza, S.G.H.; Budzinski, I.G.F.; Domingues, D.S. Physiological Responses to Drought, Salinity, and Heat Stress in Plants: A Review. Stresses 2022, 2, 113–135. [Google Scholar] [CrossRef]
- Liang, W.; Ma, X.; Wan, P.; Liu, L. Plant Salt-Tolerance Mechanism: A Review. Biochem. Biophys. Res. Commun. 2018, 495, 286–291. [Google Scholar] [CrossRef] [PubMed]
- Bacha, H.; Tekaya, M.; Drine, S.; Guasmi, F.; Touil, L.; Enneb, H.; Triki, T.; Cheour, F.; Ferchichi, A. Impact of Salt Stress on Morpho-Physiological and Biochemical Parameters of Solanum lycopersicum Cv. Microtom leaves. S. Afr. J. Bot. 2017, 108, 364–369. [Google Scholar] [CrossRef]
- Munné-Bosch, S. The Role of α-Tocopherol in Plant Stress Tolerance. J. Plant Physiol. 2005, 162, 743–748. [Google Scholar] [CrossRef] [PubMed]
- Rai, G.K.; Rai, N.P.; Rathaur, S.; Kumar, S.; Singh, M. Expression of Rd29A: AtDREB1A/CBF3 in Tomato Alleviates Drought-Induced Oxidative Stress by Regulating Key Enzymatic and Non-Enzymatic Antioxidants. Plant Physiol. Biochem. 2013, 69, 90–100. [Google Scholar] [CrossRef]
- Talbi, S.; Romero-Puertas, M.C.; Hernández, A.; Terrón, L.; Ferchichi, A.; Sandalio, L.M. Drought Tolerance in a Saharian Plant Oudneya Africana: Role of Antioxidant Defences. Environ. Exp. Bot. 2015, 111, 114–126. [Google Scholar] [CrossRef]
- Puniran-Hartley, N.; Hartley, J.; Shabala, L.; Shabala, S. Salinity-Induced Accumulation of Organic Osmolytes in Barley and Wheat Leaves Correlates with Increased Oxidative Stress Tolerance: In Planta Evidence for Cross-Tolerance. Plant Physiol. Biochem. 2014, 83, 32–39. [Google Scholar] [CrossRef] [PubMed]
- De Vasconcelos, A.C.F.; Chaves, L.H.G. Biostimulants and Their Role in Improving Plant Growth under Abiotic Stresses. In Biostimulants in Plant Science; IntechOpen Limited: London, UK, 2019; pp. 3–16. [Google Scholar]
- Ali, O.; Ramsubhag, A.; Jayaraman, J. Biostimulant Properties of Seaweed Extracts in Plants: Implications towards Sustainable Crop Production. Plants 2021, 10, 531. [Google Scholar] [CrossRef]
- Mukherjee, A.; Patel, J.S. Seaweed Extract: Biostimulator of Plant Defense and Plant Productivity. Int. J. Environ. Sci. Technol. 2020, 17, 553–558. [Google Scholar] [CrossRef]
- Drira, M.; Mohamed, J.B.; Hlima, H.B.; Hentati, F.; Michaud, P.; Abdelkafi, S.; Fendri, I. Improvement of Arabidopsis Thaliana Salt Tolerance Using a Polysaccharidic Extract from the Brown Algae Padina Pavonica. Algal Res. 2021, 56, 102324. [Google Scholar] [CrossRef]
- Bayomy, H.M.; Alamri, E.S. Biochemical Assessments of Six Species of Edible Coastal Algae Collected from Tabuk Region in Saudi Arabia. Molecules 2024, 29, 639. [Google Scholar] [CrossRef] [PubMed]
- Zou, P.; Lu, X.; Zhao, H.; Yuan, Y.; Meng, L.; Zhang, C.; Li, Y. Polysaccharides Derived from the Brown Algae Lessonia Nigrescens Enhance Salt Stress Tolerance to Wheat Seedlings by Enhancing the Antioxidant System and Modulating Intracellular Ion Concentration. Front. Plant Sci. 2019, 10, 48. [Google Scholar] [CrossRef]
- Atteya, A.K.G.; Amer, H.M. Influence of Seaweed Extract and Amino Acids on Growth, Productivity and Chemical Constituents of Hibiscus sabdariffa L. Plants. Biosci. Res. 2018, 15, 772–791. [Google Scholar]
- Layek, J.; Das, A.; Idapuganti, R.G.; Sarkar, D.; Ghosh, A.; Zodape, S.T.; Lal, R.; Yadav, G.S.; Panwar, A.S.; Ngachan, S. Seaweed Extract as Organic Bio-Stimulant Improves Productivity and Quality of Rice in Eastern Himalayas. J. Appl. Phycol. 2018, 30, 547–558. [Google Scholar] [CrossRef]
- Sharma, L.; Banerjee, M.; Malik, G.C.; Gopalakrishnan, V.A.K.; Zodape, S.T.; Ghosh, A. Sustainable Agro-Technology for Enhancement of Rice Production in the Red and Lateritic Soils Using Seaweed Based Biostimulants. J. Clean. Prod. 2017, 149, 968–975. [Google Scholar] [CrossRef]
- Franzoni, G.; Cocetta, G.; Prinsi, B.; Ferrante, A.; Espen, L. Biostimulants on Crops: Their Impact under Abiotic Stress Conditions. Horticulturae 2022, 8, 189. [Google Scholar] [CrossRef]
- Carillo, P.; Ciarmiello, L.F.; Woodrow, P.; Corrado, G.; Chiaiese, P.; Rouphael, Y. Enhancing Sustainability by Improving Plant Salt Tolerance through Macro-and Micro-Algal Biostimulants. Biology 2020, 9, 253. [Google Scholar] [CrossRef]
- Bose, J.; Rodrigo-Moreno, A.; Shabala, S. ROS Homeostasis in Halophytes in the Context of Salinity Stress Tolerance. J. Exp. Bot. 2014, 65, 1241–1257. [Google Scholar] [CrossRef]
- Khan, Z.; Gul, H.; Rauf, M.; Arif, M.; Hamayun, M.; Ud-Din, A.; Sajid, Z.A.; Khilji, S.A.; Rehman, A.; Tabassum, A. Sargassum Wightii Aqueous Extract Improved Salt Stress Tolerance in Abelmoschus Esculentus by Mediating Metabolic and Ionic Rebalance. Front. Mar. Sci. 2022, 9, 853272. [Google Scholar] [CrossRef]
- Cottenie, A.; Verloo, M.; Kiekens, L.; Velghe, G.; Camerlynck, R. Chemical Analysis of Plants and Soils; RUG. Laboratory of Analytical and Agrochemistry: Gent, Belgium, 1982. [Google Scholar]
- Jackson, M.L. Soil Chemical Analysis; Prantice Hall Pvt. Ltd.: New Delhi, India, 1973; Volume 498. [Google Scholar]
- Yasmeen, A.; Basra, S.; Ahmed, M.; Wahid, A.; Nouman, W.; Rehman, H.U.R. Exploring the Potential of Moringa oleifera Leaf Extract (MLE) as a Seed Priming Agent in Improving Wheat Performance. Turk. J. Bot. 2013, 37, 512–520. [Google Scholar] [CrossRef]
- AOAC. AOAC Official Methods of Analysis, 16th ed.; Association of Official Analytical Chemists: Washington, DC, USA, 2005. [Google Scholar]
- Bharathi, S.; Dinesh Kumar, S.; Sekar, S.; Santhanam, P.; Divya, M.; Krishnaveni, N.; Pragnya, M.; Dhanalakshmi, B. Experimental Evaluation of Seaweeds Liquid Extracts as an Alternative Culture Medium on the Growth and Proximate Composition of Picochlorum Maculatum. Proc. Natl. Acad. Sci. India Sect. B-Biol. Sci. 2021, 91, 205–215. [Google Scholar] [CrossRef]
- Horwitz, W. Official Methods of Analysis; Association of Official Analytical Chemists: Washington, DC, USA, 1975; Volume 222. [Google Scholar]
- Bates, L.S.; Waldren, R.P.A.; Teare, I.D. Rapid Determination of Free Proline for Water-Stress Studies. Plant Soil 1973, 39, 205–207. [Google Scholar] [CrossRef]
- Bradford, M.M. A Rapid and Sensitive Method for the Quantitation of Microgram Quantities of Protein Utilizing the Principle of Protein-Dye Binding. Anal. Biochem. 1976, 72, 248–254. [Google Scholar] [CrossRef]
- Singleton, V.L.; Rossi, J.A. Colorimetry of Total Phenolics with Phosphomolybdic-Phosphotungstic Acid Reagents. Am. J. Enol. Vitic. 1965, 16, 144–158. [Google Scholar] [CrossRef]
- Kim, D.-O.; Chun, O.K.; Kim, Y.J.; Moon, H.-Y.; Lee, C.Y. Quantification of Polyphenolics and Their Antioxidant Capacity in Fresh Plums. J. Agric. Food Chem. 2003, 51, 6509–6515. [Google Scholar] [CrossRef]
- Brand-Williams, W.; Cuvelier, M.E.; Berset, C. Use of a Free Radical Method to Evaluate Antioxidant Activity. LWT-Food Sci. Technol. 1995, 28, 25–30. [Google Scholar] [CrossRef]
- Atteya, A.K.G.; Albalawi, A.N.; Bayomy, H.M.; Alamri, E.S.; Genaidy, E.A.E. Maximizing Leaves, Inflorescences, and Chemical Composition Production of Moringa Oleifera Trees under Calcareous Soil Conditions. Plants 2022, 11, 234. [Google Scholar] [CrossRef] [PubMed]
- Yeo, A.R.; Yeo, M.E.; Flowers, S.A.; Flowers, T.J. Screening of Rice (Oryza sativa L.) Genotypes for Physiological Characters Contributing to Salinity Resistance, and Their Relationship to Overall Performance; Springer: Berlin/Heidelberg, Germany, 1990; Volume 79. [Google Scholar]
- Akter, M.; Oue, H. Effect of Saline Irrigation on Accumulation of Na+, K+, Ca2+, and Mg2+ Ions in Rice Plants. Agriculture 2018, 8, 164. [Google Scholar] [CrossRef]
- Al-Hattab, Z.N.; Al-Ajeel, S.A.; El-Kaaby, E.A. Effect of Salinity Stress on Capsicum Annuum Callus Growth, Regeneration and Callus Content of Capsaicin, Phenylalanine, Proline and Ascorbic Acid. J. Life Sci. 2015, 9, 304–310. [Google Scholar]
- Debez, A.; Chaibi, W.; Bouzid, S. Effect of NaCl and Growth Regulators on Germination of Atriplex halimus L. Cah. Agric. 2001, 10, 135–138. [Google Scholar]
- Alzahrani, S.M.; Alaraidh, I.A.; Migdadi, H.; Alghamdi, S.; Khan, M.A.; Ahmad, P. Physiological, Biochemical, and Antioxidant Properties of Two Genotypes of Vicia Faba Grown under Salinity Stress. Pak. J. Bot. 2019, 51, 786–798. [Google Scholar] [CrossRef]
- ÇELİK, Ö.; Atak, C. The Effect of Salt Stress on Antioxidative Enzymes and Proline Content of Two Turkish Tobacco Varieties. Turk. J. Biol. 2012, 36, 339–356. [Google Scholar] [CrossRef]
- Meriem, B.F.; Kaouther, Z.; Chérif, H.; Tijani, M.; André, B. Effect of Priming on Growth, Biochemical Parameters and Mineral Composition of Different Cultivars of Coriander (Coriandrum sativum L.) under Salt Stress. J. Stress Physiol. Biochem. 2014, 10, 84–109. [Google Scholar]
- Sharif, P.; Seyedsalehi, M.; Paladino, O.; Van Damme, P.; Sillanpää, M.; Sharifi, A.A. Effect of Drought and Salinity Stresses on Morphological and Physiological Characteristics of Canola. Int. J. Environ. Sci. Technol. 2018, 15, 1859–1866. [Google Scholar] [CrossRef]
- Menezes, R.V.; de Azevedo, A.D.; de Oliveira Ribeiro, M.; Cova, A.M.W. Growth and Contents of Organic and Inorganic Solutes in Amaranth under Salt Stress. Pesqui. Agropecu. Trop. 2017, 47, 22–30. [Google Scholar] [CrossRef]
- Abogadallah, G.M.; Serag, M.M.; Quick, W.P. Fine and Coarse Regulation of Reactive Oxygen Species in the Salt Tolerant Mutants of Barnyard Grass and Their Wild-type Parents under Salt Stress. Physiol. Plant 2010, 138, 60–73. [Google Scholar] [CrossRef] [PubMed]
- Hsu, S.-Y.; Kao, C.H. Differential Effect of Sorbitol and Polyethylene Glycol on Antioxidant Enzymes in Rice Leaves. Plant Growth Regul. 2003, 39, 83–90. [Google Scholar] [CrossRef]
- Hernández-Herrera, R.M.; Santacruz-Ruvalcaba, F.; Ruiz-López, M.A.; Norrie, J.; Hernández-Carmona, G. Effect of Liquid Seaweed Extracts on Growth of Tomato Seedlings (Solanum lycopersicum L.). J. Appl. Phycol. 2014, 26, 619–628. [Google Scholar] [CrossRef]
- Mittova, V.; Guy, M.; Tal, M.; Volokita, M. Salinity Up-regulates the Antioxidative System in Root Mitochondria and Peroxisomes of the Wild Salt-tolerant Tomato Species Lycopersicon pennellii. J. Exp. Bot. 2004, 55, 1105–1113. [Google Scholar] [CrossRef]
- Crouch, I.J.; Van Staden, J. Commercial Seaweed Products as Biostimulants in Horticulture. J. Home Consumer Horticult. 1994, 1, 19–73. [Google Scholar] [CrossRef]
- Gharib, F.; Zeid, I.M.; Salem, O.; Ahmed, E.Z. Effects of Sargassum Latifolium Extract on Growth, Oil Content and Enzymatic Activities of Rosemary Plants under Salinity Stress. Life Sci. J. 2014, 11, 933–945. [Google Scholar]
- Minhas, P.S.; Ramos, T.B.; Ben-Gal, A.; Pereira, L.S. Coping with Salinity in Irrigated Agriculture: Crop Evapotranspiration and Water Management Issues. Agric. Water Manag. 2020, 227, 105832. [Google Scholar] [CrossRef]
- Bonomelli, C.; Celis, V.; Lombardi, G.; Mártiz, J. Salt Stress Effects on Avocado (Persea americana Mill.) Plants with and without Seaweed Extract (Ascophyllum nodosum) Application. Agronomy 2018, 8, 64. [Google Scholar] [CrossRef]
- Hernández-Herrera, R.M.; Santacruz-Ruvalcaba, F.; Briceño-Domínguez, D.R.; Filippo-Herrera, D.; Andrea, D.; Hernández-Carmona, G. Seaweed as Potential Plant Growth Stimulants for Agriculture in Mexico. Hidrobiológica 2018, 28, 129–140. [Google Scholar] [CrossRef]
- Sohn, S.-I.; Rathinapriya, P.; Balaji, S.; Jaya Balan, D.; Swetha, T.K.; Durgadevi, R.; Alagulakshmi, S.; Singaraj, P.; Pandian, S. Phytosterols in Seaweeds: An Overview on Biosynthesis to Biomedical Applications. Int. J. Mol. Sci. 2021, 22, 12691. [Google Scholar] [CrossRef] [PubMed]
- Chanthini, K.M.-P.; Pavithra, G.-S.; Senthil-Nathan, S.; Malafaia, G. An In-Depth Review on the Mechanistic Insights of Marine Macroalgal Compounds in Enhancing Plant Tolerance to Stress Induced by Saline Soil Conditions. Toxin. Rev. 2024, 43, 651–669. [Google Scholar] [CrossRef]
- Bayomy, H.M.; Alamri, E.S.; Alharbi, B.M.; Foudah, S.H.; Genaidy, E.A.; Atteya, A.K. Response of Moringa oleifera Trees to Salinity Stress Conditions in Tabuk Region, Kingdom of Saudi Arabia. Saudi J. Biol. Sci. 2023, 30, 103810. [Google Scholar] [CrossRef] [PubMed]
- Golestani Araghi, S.; Assad, M.T. Evaluation of Four Screening Techniques for Drought Resistance and Their Relationship to Yield Reduction Ratio in Wheat. Euphytica 1998, 103, 293–299. [Google Scholar] [CrossRef]
- Chanthini, K.M.-P.; Senthil-Nathan, S.; Pavithra, G.-S.; Malarvizhi, P.; Murugan, P.; Deva-Andrews, A.; Janaki, M.; Sivanesh, H.; Ramasubramanian, R.; Stanley-Raja, V. Aqueous Seaweed Extract Alleviates Salinity-Induced Toxicities in Rice Plants (Oryza sativa L.) by Modulating Their Physiology and Biochemistry. Agriculture 2022, 12, 2049. [Google Scholar] [CrossRef]
- Osman, H.E.; Salem, O. Effect of Seaweed Extracts as Foliar Spray on Sunflower Yield and Oil Content. Egypt. J. Phycol. 2011, 12, 57–70. [Google Scholar] [CrossRef]
- Irving, D.W.; Shannon, M.C.; Breda, V.A.; Mackey, B.E. Salinity Effects on Yield and Oil Quality of High-Linoleate and High-Oleate Cultivars of Safflower. J. Agric. Food Chem. 1988, 36, 37–42. [Google Scholar] [CrossRef]
- Smirnoff, N. Tansley Review No. 52. The Role of Active Oxygen in the Response of Plants to Water Deficit and Desiccation. New Phytol. 1993, 125, 27–58. [Google Scholar] [CrossRef] [PubMed]
- Yeilaghi, H.; Arzani, A.; Ghaderian, M.; Fotovat, R.; Feizi, M.; Pourdad, S.S. Effect of Salinity on Seed Oil Content and Fatty Acid Composition of Safflower (Carthamus tinctorius L.) Genotypes. Food Chem. 2012, 130, 618–625. [Google Scholar] [CrossRef]
- Azachi, M.; Sadka, A.; Fisher, M.; Goldshlag, P.; Gokhman, I.; Zamir, A. Salt Induction of Fatty Acid Elongase and Membrane Lipid Modifications in the Extreme Halotolerant Alga Dunaliella Salina. Plant Physiol. 2002, 129, 1320–1329. [Google Scholar] [CrossRef] [PubMed]
- Hajlaoui, H.; Denden, M.; El Ayeb, N. Changes in Fatty Acids Composition, Hydrogen Peroxide Generation and Lipid Peroxidation of Salt-Stressed Corn (Zea mays L.) Roots. Acta Physiol. Plant 2009, 31, 787–796. [Google Scholar] [CrossRef]
- Upchurch, R.G. Fatty Acid Unsaturation, Mobilization, and Regulation in the Response of Plants to Stress. Biotechnol. Lett. 2008, 30, 967–977. [Google Scholar] [CrossRef] [PubMed]
- Zhao, F.-G.; Qin, P. Protective Effects of Exogenous Fatty Acids on Root Tonoplast Function against Salt Stress in Barley Seedlings. Environ. Exp. Bot. 2005, 53, 215–223. [Google Scholar] [CrossRef]
- Konova, I.V.; Sergeeva, Y.E.; Galanina, L.A.; Kochkina, G.A.; Ivanushkina, N.E.; Ozerskaya, S.M. Lipid Synthesis by Geomyces Pannorum under the Impact of Stress Factors. Microbiology 2009, 78, 42–47. [Google Scholar] [CrossRef]
- Elansary, H.O.; Skalicka-Woźniak, K.; King, I.W. Enhancing Stress Growth Traits as Well as Phytochemical and Antioxidant Contents of Spiraea and Pittosporum under Seaweed Extract Treatments. Plant Physiol. Biochem. 2016, 105, 310–320. [Google Scholar] [CrossRef]
- Isah, T. Stress and Defense Responses in Plant Secondary Metabolites Production. Biol. Res. 2019, 52, 39. [Google Scholar] [CrossRef]
- Zhang, L.; Becker, D.F. Connecting Proline Metabolism and Signaling Pathways in Plant Senescence. Front Plant Sci. 2015, 6, 552. [Google Scholar] [CrossRef] [PubMed]
- Mansour, M.M.F.; Ali, E.F. Evaluation of Proline Functions in Saline Conditions. Phytochemistry 2017, 140, 52–68. [Google Scholar] [CrossRef]
- Acosta-Motos, J.R.; Ortuño, M.F.; Bernal-Vicente, A.; Diaz-Vivancos, P.; Sanchez-Blanco, M.J.; Hernandez, J.A. Plant Responses to Salt Stress: Adaptive Mechanisms. Agronomy 2017, 7, 18. [Google Scholar] [CrossRef]
- Jaarsma, R.; de Vries, R.S.M.; de Boer, A.H. Effect of Salt Stress on Growth, Na+ Accumulation and Proline Metabolism in Potato (Solanum tuberosum) Cultivars. PLoS ONE 2013, 8, e60183. [Google Scholar] [CrossRef]
- Sarabi, B.; Bolandnazar, S.; Ghaderi, N.; Ghashghaie, J. Genotypic Differences in Physiological and Biochemical Responses to Salinity Stress in Melon (Cucumis melo L.) Plants: Prospects for Selection of Salt Tolerant Landraces. Plant Physiol. Biochem. 2017, 119, 294–311. [Google Scholar] [CrossRef]
- De la Torre-González, A.; Montesinos-Pereira, D.; Blasco, B.; Ruiz, J.M. Influence of the Proline Metabolism and Glycine Betaine on Tolerance to Salt Stress in Tomato (Solanum lycopersicum L.) Commercial Genotypes. J. Plant Physiol. 2018, 231, 329–336. [Google Scholar] [CrossRef] [PubMed]






| Characteristic | |||||||
|---|---|---|---|---|---|---|---|
| O.M. | 1.25 | Clay | 27% | Soluble ions | |||
| Sand | 37% | ||||||
| pH | 7.9 | Silt | 36% | HCO3− | 2.33 mg kg−1 | Ca2+ | 6.00 mg kg−1 |
| EC * | 2.24 mS cm−1 | Soil typs | Loam | K+ | 0.30 mg kg−1 | Na+ | 4.38 mg kg−1 |
| Parameters | pH | EC | Ca2+ | Mg2+ | Na+ | K+ | HCO3− | Cl− | SO4−2 |
|---|---|---|---|---|---|---|---|---|---|
| Values | 7.6 | 0.45 dS m−1 | 0.56 mmol L−1 | 0.27 mmol L−1 | 2.53 mmol L−1 | 0.22 mmol L−1 | 0.04 mmol L−1 | 2.87 mmol L−1 | 0.62 mmol L−1 |
| Treatments | Number of Repetitions Treatment −1 | Salinity | Seaweed (%) | |
|---|---|---|---|---|
| EC (dS m−1) | (mmol L−1 NaCl) | |||
| SW1 | N = 9 | Tap water | Tap water | 0 |
| SW2 | N = 9 | 20 | ||
| SW3 | N = 9 | 1.71 | 18.75 | 0 |
| SW4 | N = 9 | 20 | ||
| SW5 | N = 9 | 3.57 | 39.06 | 0 |
| SW6 | N = 9 | 20 | ||
| SW7 | N = 9 | 4.99 | 54.69 | 0 |
| SW8 | N = 9 | 20 | ||
| SW9 | N = 9 | 6.42 | 70.31 | 0 |
| SW10 | N = 9 | 20 | ||
| Parameters | Amino Acids | Lipid | Zn | K | Mg | Ca | Fe |
|---|---|---|---|---|---|---|---|
| Values | 8.9% | 5.6% | 3 ppm | 13 ppm | 46 ppm | 43 ppm | 2 ppm |
| Salinity (mmol L−1 NaCl) and Seaweed (%) Combination Treatments | Fixed Oil Percentage (%) | Fixed Oil Content (ml Plant−1) | ||
|---|---|---|---|---|
| Season 2021–2022 | Season 2022–2023 | Season 2021–2022 | Season 2022–2023 | |
| SW1 * | 19.37 ± 23.77 g | 19.70 ± 0.91 i | 3.20 ± 1.36 c | 3.27 ± 1.13 c |
| SW2 | 20.09 ± 23.12 fg | 20.44 ± 0.85 h | 9.06 ± 3.77 b | 9.25 ± 3.16 b |
| SW3 | 20.74 ± 21.09 f | 21.10 ± 0.86 g | 3.88 ± 1.59 c | 3.96 ± 1.29 c |
| SW4 | 22.44 ± 21.03 e | 22.83 ± 0.95 f | 11.67 ± 4.86 a | 11.92 ± 4.07 a |
| SW5 | 23.21 ± 20.46 e | 23.61 ± 0.96 e | 0.87 ± 0.36 de | 0.89 ± 0.29 d |
| SW6 | 25.48 ± 18.88 d | 25.91 ± 1.08 d | 2.47 ± 1.03 cd | 2.52 ± 0.86 c |
| SW7 | 25.10 ± 17.54 d | 25.28 ± 1.28 d | 0.38 ± 0.16 e | 0.39 ± 0.14 d |
| SW8 | 29.10 ± 17.45 c | 29.60 ± 1.23 c | 0.40 ± 0.17 e | 0.40 ± 0.14 d |
| SW9 | 31.66 ± 17.40 b | 32.21 ± 1.28 b | 0.31 ± 0.13 e | 0.32 ± 0.11 d |
| SW10 | 34.30 ± 16.49 a | 34.88 ± 1.46 a | 0.41 ± 0.17 e | 0.41 ± 0.14 d |
| Salinity (mmol L−1 NaCl) and Seaweed (%) Combination Treatments | Protein Content (mg g−1 FW) | Proline Content (µmol g−1 FW) | ||
|---|---|---|---|---|
| Season 2021–2022 | Season 2022–2023 | Season 2021–2022 | Season 2022–2023 | |
| SW1 * | 20.73 ± 1.20 c | 21.09 ± 0.97 c | 5.08 ± 0.29 i | 5.17 ± 0.24 j |
| SW2 | 22.73 ± 1.23 b | 23.12 ± 0.97 b | 6.19 ± 0.34 i | 6.30 ± 0.27 i |
| SW3 | 20.68 ± 1.07 c | 21.03 ± 0.85 c | 11.70 ± 0.61 h | 11.90 ± 0.48 h |
| SW4 | 23.37 ± 1.26 a | 23.77 ± 0.99 a | 13.67 ± 0.74 g | 13.90 ± 0.58 g |
| SW5 | 18.56 ± 0.96 e | 18.88 ± 0.77 e | 17.55 ± 0.90 f | 17.85 ± 0.73 f |
| SW6 | 20.12 ± 1.08 d | 20.46 ± 0.86 d | 22.77 ± 1.23 e | 23.16 ± 0.97 e |
| SW7 | 17.10 ± 0.92 f | 17.40 ± 0.73 f | 26.02 ± 1.40 d | 26.46 ± 1.11 d |
| SW8 | 17.25 ± 0.93 f | 17.54 ± 0.73 f | 29.60 ± 1.60 c | 30.11 ± 1.26 c |
| SW9 | 16.21 ± 0.85 g | 16.49 ± 0.66 g | 31.04 ± 1.62 b | 31.57 ± 1.26 b |
| SW10 | 17.15 ± 0.93 f | 17.45 ± 0.73 f | 32.84 ± 1.77 a | 33.40 ± 1.40 a |
| Salinity (mmol L−1 NaCl) and Seaweed (%) Combination Treatments | Total Phenols (mg GAE g−1 DW) | Flavonoids (mg RE g−1 DW) | ||
|---|---|---|---|---|
| Season 2021–2022 | Season 2022–2023 | Season 2021–2022 | Season 2022–2023 | |
| SW1 * | 24.93 ± 1.45 h | 25.35 ± 2.34 h | 15.34 ± 0.89 h | 15.60 ± 0.72 h |
| SW2 | 25.97 ± 1.40 g | 26.42 ± 2.21 g | 16.19 ± 0.87 g | 16.47 ± 0.69 g |
| SW3 | 26.33 ± 1.36 g | 26.78 ± 2.17 g | 16.38 ± 0.84 g | 16.66 ± 0.68 g |
| SW4 | 28.32 ± 1.53 f | 28.81 ± 2.40 f | 18.19 ± 0.98 f | 18.50 ± 0.78 f |
| SW5 | 30.50 ± 1.57 e | 31.02 ± 2.52 e | 18.61 ± 0.96 f | 18.93 ± 0.77 f |
| SW6 | 32.01 ± 1.73 d | 32.55 ± 2.72 d | 20.13 ± 1.08 e | 20.47 ± 0.86 e |
| SW7 | 34.06 ± 1.84 c | 34.65 ± 2.89 c | 20.98 ± 1.14 d | 21.34 ± 0.89 d |
| SW8 | 37.23 ± 2.01 b | 37.86 ± 3.16 b | 23.50 ± 1.27 c | 23.90 ± 1.00 c |
| SW9 | 37.68 ± 1.96 b | 38.32 ± 3.05 b | 24.93 ± 1.30 b | 25.35 ± 1.01 b |
| SW10 | 39.35 ± 2.12 a | 40.01 ± 3.34 a | 27.10 ± 1.46 a | 27.56 ± 1.15 a |
| Salinity (mmol L−1 NaCl) and Seaweed (%) Combination Treatments | Antioxidant Activities (IC50) * (µg mL−1) | |
|---|---|---|
| Season 2021–2022 | Season 2022–2023 | |
| SW1 * | 51.25 ± 2.98 a | 52.12 ± 2.40 a |
| SW2 | 51.92 ± 2.80 a | 52.80 ± 2.21 a |
| SW3 | 47.55 ± 2.45 b | 48.37 ± 1.97 b |
| SW4 | 46.67 ± 2.52 b | 47.46 ± 1.98 b |
| SW5 | 41.82 ± 2.15 c | 42.53 ± 1.73 c |
| SW6 | 39.46 ± 2.13 d | 40.13 ± 1.67 d |
| SW7 | 36.16 ± 1.95 e | 36.77 ± 1.54 e |
| SW8 | 33.47 ±1.80 f | 34.03 ± 1.42 f |
| SW9 | 31.18 ± 1.63 g | 31.71 ± 1.26 g |
| SW10 | 32.00 ± 1.73 g | 32.54 ± 1.36 g |
Disclaimer/Publisher’s Note: The statements, opinions and data contained in all publications are solely those of the individual author(s) and contributor(s) and not of MDPI and/or the editor(s). MDPI and/or the editor(s) disclaim responsibility for any injury to people or property resulting from any ideas, methods, instructions or products referred to in the content. |
© 2025 by the authors. Licensee MDPI, Basel, Switzerland. This article is an open access article distributed under the terms and conditions of the Creative Commons Attribution (CC BY) license (https://creativecommons.org/licenses/by/4.0/).
Share and Cite
Bayomy, H.M.; Alamri, E.S.; Alharbi, B.M.; Almasoudi, S.E.; Ozaybi, N.A.; Mohammed, G.M.; Genaidy, E.A.; Atteya, A.K.G. Oil Yield and Bioactive Compounds of Moringa oleifera Trees Grown Under Saline Conditions. Plants 2025, 14, 509. https://doi.org/10.3390/plants14040509
Bayomy HM, Alamri ES, Alharbi BM, Almasoudi SE, Ozaybi NA, Mohammed GM, Genaidy EA, Atteya AKG. Oil Yield and Bioactive Compounds of Moringa oleifera Trees Grown Under Saline Conditions. Plants. 2025; 14(4):509. https://doi.org/10.3390/plants14040509
Chicago/Turabian StyleBayomy, Hala M., Eman S. Alamri, Basmah M. Alharbi, Seham E. Almasoudi, Nawal A. Ozaybi, Ghena M. Mohammed, Esmail A. Genaidy, and Amira K. G. Atteya. 2025. "Oil Yield and Bioactive Compounds of Moringa oleifera Trees Grown Under Saline Conditions" Plants 14, no. 4: 509. https://doi.org/10.3390/plants14040509
APA StyleBayomy, H. M., Alamri, E. S., Alharbi, B. M., Almasoudi, S. E., Ozaybi, N. A., Mohammed, G. M., Genaidy, E. A., & Atteya, A. K. G. (2025). Oil Yield and Bioactive Compounds of Moringa oleifera Trees Grown Under Saline Conditions. Plants, 14(4), 509. https://doi.org/10.3390/plants14040509

