Abstract
Hay and straw are commonly used materials in agriculture. They are organic materials and, therefore, flammable. This article examines the behaviour of hay and straw when exposed to radiant heat. The objective of this study is to experimentally determine the ignition temperature of hay and straw under the influence of radiant heat. This research investigates the effects of sample type (hay and straw) and sample quantity on the thermal degradation process, temperature increase within the samples, and ignition temperature of the samples as a function of time. The ignition temperature of hay was determined to be higher (407 °C) compared to straw (380 °C).
1. Introduction
Biomass, as a renewable energy source, is used as fuel [1,2,3,4,5], as a progressive natural insulation material in construction [6,7,8], and as animal feed and bedding in agriculture [9,10]. Hay and straw, which belong to the biomass group, are primarily utilized in agriculture [11,12]. For a cow weighing about 500 kg (see Figure 1), more than 3 tons of hay will be required during the stay in the stable (from October to April) [13]. Hay and straw are natural materials that are also used as natural thermal insulators [14,15,16]. However, it is necessary to acknowledge that these materials are flammable and not resistant to heat [17].
Figure 1.
Demonstration of hay (a) as feed for cows [13] and (b) as wending material [18].
Their basis is dried animal feed, which has a precise technological processing sequence, followed by packaging and storage [17]. The essence of the processing lies in drying and is based on the given moisture content (Table 1). The temperature increase is a consequence of the raw material processing by bacteria (fermentation) or the occurrence of decay. They both pose a fire hazard [19].
Table 1.
Group of solid fuels according to Decree 258/2007 Coll [20].
The availability of water is a critical factor for microorganisms to function [21]; the lack of available water on solid substrates is a significant source of microbial stress [22,23]. Microorganisms need water for motility and transportation of nutrients to cells and waste products away from cells [21,24]. Native microbial activity in hay and other agricultural residues has been studied extensively in the context of self-heating to the point of spontaneous combustion.
Many of these studies have noted the importance of available moisture. For example, in hay, little or no microbial activity is expected below 25% to 30% on a wet basis (w.b.) [25,26,27]. Higher moisture contents should be conducive to more microbial activity because more bacteria would be able to thrive. In hay that was allowed to self-heat, the maximum temperature of a bale increased with increasing initial moisture content [27]. The increased ability to self-heat hay was attributed to higher levels of microbial activity.
Straw and hay are dominantly used as fodder [28,29]. Significant attention is paid to the research of safe storage of the mentioned materials [30,31,32,33,34] and their transport to livestock [35,36].
Some studies are devoted to the energy use of straw [37,38]. Considerable attention is paid to their economic demands [39] in the case of choosing the method of their use [40]. The straw and hay, as crop residues, represent a continuously increasing share of the farmer’s income. Agricultural land produces large volumes of these residues, but collecting them requires high costs of labour as well as high transport costs [41].
Sometimes, the process results in straw and hay being presented together. For example, Piekarczy et al. [42] present the results of the elemental composition of the ash produced during the combustion of straw and hay. Test samples of ash were characterized by alkaline pH (10.2) and a substantial overall potassium content K (155.7 g∙kg−1), calcium Ca (124.0 g∙kg−1), phosphorus P (15.1 g∙kg−1), and magnesium Mg (7.3 g∙kg−1). In addition, the presence of essential micronutrients for plants was found in them (Fe > Mn > Zn > Cu) and small natural content of heavy metals (Cr > Pb > Ni > Cd > Hg), which is not a contraindication for the agricultural use of ash from the plant biomass. Lisowski et al. [43] determined the characteristics of shredded biomass from hay, straw, and their mix in the ratio 1:1 using a sieve separator with oscillatory motion in the horizontal plane. All biomass particle size distributions belonged to the “very poorly sorted” category and were “very fine skewed” and “leptokurtic”. These results report that the particle size has an influence on the mechanical properties of the pellets of straw from wheat, barley, and corn. [43].
Therefore, most hay and straw research activities are focused on hygienic safety [18,44,45].
Hay and straw are used as bedding (Figure 1b). One of the crucial factors in maintaining a healthy dairy herd is having sanitary animal bedding. With bedding being one of the primary sources of exposure to environmental mastitis pathogens, the management of this material is important in maintaining herd health and the economic vitality of the farm [46]. Solan et al. [47] comment that straw is a popular bedding material for a large variety of livestock (e.g., cattle, horses, poultry) because it is quite absorbent, cheap, warm, and easy to maintain. But also, Solan et al. [47] write that straw has been shown to support the growth of moulds and their spores. These spores can then be released into the air as dust, which can affect livestock and farmers.
Smith et al. (2017) [46] describe basic bedding materials used in New England. There are conventional dairy farmers who use manure solids (MNS; composed or digested) and hay as primary bedding materials, respectively, sawdust, sand, and hay. Straw, wood shavings, wood chips, and woody bedding were also used, but less so than primary bedding materials.
Hay is green forage preserved through natural drying or supplemental drying. In addition to fresh green forage—grass—hay is the most natural and suitable feed for all types of livestock [11,48]. Hay represents the dried stems of plants preserved through drying and partial fermentation. Hay serves as a long-term supply of high-quality dry bulk feed if appropriately stored according to regulations [12]. Hay is most commonly used for feed, and poorer quality hay may be used for bedding purposes. Hay is one of the more expensive beddings. It is quite absorbent and, once soiled, begins to decompose quickly, producing an odour [49]. It is a dried form of plant food, with water content ranging from 10–12% [50]. Once dried, the water content in hay decreases to 9–10% [11,12]. It is stored in haylofts, which typically have a slatted floor with tunnels where heated ventilators blow air to expedite the drying process. Grass hay for ruminant feed can be stored outdoors if protected, and outdoor storage may provide additional flexibility in the transportation and supply of grass hay bedding [51].
Straw is the dried stalk of cereal crops obtained after the threshing. Straw typically consists of dried stalks of a single cereal crop. In Slovakia, barley, oat, wheat, and rye straw are commonly used [17]. Straw is most frequently used as bedding for livestock [9], as a substrate for mushroom cultivation [19], or as an insulating material [52,53]. All these types of straw have a tendency to self-ignite thermally and microbiologically [18]. The literature [50] states that straw is a flammable material that is easily ignited by sparks and hot surfaces. Straw as a weeding material is a soft, dry by-product of small grains and is commonly used. It is easy to handle, carbonaceous for a compost pile, and readily available in most areas [49].
Statistical data on fire incidents obtained from the Fire Technology and Expertise Institute of the Ministry of Interior of the Slovak Republic confirm the occurrence of fires in agriculture [54]. Although the number of fires shows a declining trend, agricultural fires maintain a relevant percentage share (5–11%) of the total annual fire incidents in the Slovak Republic [16].
The risk of fire in agricultural crops was considered when developing the Slovak standard [20]. Solid flammable substances (Table 1) include fodder, hay, straw, and other dry, mowed stem plants, solid fuels, extracted woody biomass, and woody biomass processed into various product assortments (timber, wood chips, sawdust, cellulose-based pellets, and briquettes) (§2 of Decree 258/2007 Coll.) [20].
The fact that straw and hay are flammable materials is an important but not a priority consideration. The flammability of the mentioned materials is starting to be observed to a greater extent, especially thanks to the increase in the number of natural fires [16]. Natural fires are related to the increase in the temperature of the environment in the summer season, as well as the consequence of climate change [55]. The causes of fires in haylofts and warehouses can be hot surfaces and mechanisms present, e.g., combine harvesters [56,57].
The potential ignition of hay and straw is dependent on external conditions. The critical parameter is the ignition temperature at which ignition occurs, depending on the duration of the heat source’s activity. Hot surfaces are part of the technological elements used in agriculture. Their surface temperature can exceed the minimum ignition temperature and pose a risk of fire ignition.
The aim of the article is to experimentally determine the ignition temperature of hay and straw due to radiant heat. The influence of the sample type (hay and straw) and the selected sample mass (1, 2, and 3 g) on the course of the thermal degradation, temperature increase inside the sample, and ignition temperature over time were observed. Significant differences in thermal degradation and ignition temperature based on the type of fuel (hay and straw) were sought.
2. Materials and Methods
2.1. Experimental Samples
For the purposes of the experiment, samples of hay and straw obtained from an agricultural farm were used (Table 2) [20].
Table 2.
Characteristics of samples.
The samples were stored in bales and used for the operation of the cattle barn.
2.2. Experimental Methods
The methodology consisted of two steps:
1. Monitoring the thermal degradation of samples based on gradual heating of the sample by radiant heat and tracking degradation points with identification of temperature and time during the degradation processes;
2. Determination of the minimum ignition temperature using isothermal testing using a hot-plate according to EN 50281-2-1:1998 [58].
In both cases, measurements were repeated 3 times for 1, 2 and 3 g weight of samples.
2.2.1. Methodology for Monitoring the Thermal Degradation of Hay and Straw
The experiment was carried out using a technical device called a hot-plate (Figure 2). Samples of hay and straw were subjected to gradual heating. The temperature of the heated plate and its increase over time were determined following the methodology described by Marková et al. [16]. The obtained temperature–time curve [16] also served as the basis for measuring the ignition temperature according to EN 50281-2-1:1998 [58].
Figure 2.
(a) Hot-plate device; (b) Scheme of the apparatus for determining the ignition temperatures of settled dust EN 50281-2-1:1998 [58]. Legend: 1—heated plate; 2—frame; 3—heating element; 4—base of the heating element; 5—outlet for connecting the heating element to the power source and control; 6—ring for creating the layer of dust; 7—thermocouple in the plate for regulation; 8—thermocouple in the plate for temperature recording; 9—thermocouple for temperature recording in the layer of dust; 10—height adjustment of the thermocouple using screws; 11—spring.
2.2.2. Determination of the Minimum Ignition Temperature by Isothermal Heating Using a Hot-Plate according to EN 50281-2-1:1998 [58]
The minimum ignition temperature of the organic layer was determined by isothermal heating of the sample placed on an electrically heated metal plate (Figure 2a,b). The minimum ignition temperature is defined as the lowest temperature of the heated plate’s surface at which at least one of the following phenomena can be observed during the test:
- Glowing, smouldering, or flaming combustion;
- The temperature–time curve recorded by the thermocouple, which is placed at the centre of the sample layer, continuously rises in comparison to the temperature of the isothermally heated plate;
- The temperature measured in the sample layer is 250 °C higher than the temperature of the heated plate.
The experiment verified the occurrence of the first two phenomena described earlier. The minimum ignition temperature was determined for all samples (Figure 2 and Table 3).
Table 3.
Description of the behavior of hay and straw samples when exposed to radiant heat.
A detailed description of individual steps of the experiment is provided by Balog et al. [59].
One thermal thermocouple measures the actual temperature of the heated metal plate, and second thermal thermocouple measures the temperature of tested sample, which is located 5 mm above the plate. The experimental results were obtained using installed thermocouples, which measured the following:
The weight (1, 2, and 3 g) and hence the thickness of the sample in the testing device hot-plate were gradually increased. The results identify changes in the sample by determining the temperature inside the sample, the temperature of the plate that caused the change, and the chronological sequence of events (Table 3).
3. Results and Discussion
The conducted experiments provide interesting results. A description of the behaviour of the hay and straw layers during their thermal exposure to a radiant heat source is presented in Table 3.
The moment of ignition is recorded as Tignition and Thot in Table 4. The temperature values inside the samples are recorded as Thay and Tstraw. The data are supplemented with photographic documentation. The sample weight was continuously increased by 1 g. The change in sample weight did not affect the course of the experiments, confirming the findings presented by Marková et al. [10,16]. Based on the repeated experiments, specific stages of the sample’s behaviour during its thermal degradation were identified. These stages include the development of odour, smoking, carbonization of the bottom layer touching the hot-plate, carbonization of the sample edges, and ignition (Table 3, Table 4 and Table 5). The course of thermal degradation of straw was more pronounced in the identified stages compared to hay (Table 3).
Table 4.
Experimentally determined temperatures of hay and straw degradation processes as a function of time.
The course of thermal degradation of hay and straw is significantly comparable. Differences arise in the thermal time evaluation of their degradation (Table 3 and Table 4). The comparison is based on the generated temperature–time curves, i.e., the dependence of experimentally determined temperature (Thay and Tstraw) (Table 4) on time (Figure 3).
Figure 3.
Temperature increases inside the samples of hay (Thay) and straw (Tstraw) as a function of time. Legend: black color—points of straw thermal degradation processes, red color—points of hay thermal degradation processes.
The ignition temperatures of hay and straw determined by two different procedures are significantly comparable (Table 4).
Experts are still debating which of the materials (hay or straw) poses a higher risk of fire ignition [60]. The results show an overall delayed process of thermal degradation for hay compared to straw at higher temperatures. The first phase of degradation (labelled as 1 hay and 1 straw in Figure 3) is characterized by odour. The odour of burning hay and straw starts at temperatures above 60 °C, but with a 30 s delay for straw (Figure 3). The findings are consistent with the measures implemented in practice [17,60] and with regulation 258/2007 Coll [20]. References [17,60] present a temperature of 65 °C as the beginning of the dangerous thermal zone. The unpleasant odour intensified with increasing temperature in both types of samples.
Smoke production was recorded at a temperature of 100 °C inside the samples. The smoke had a white colour. In terms of time, straw started smoking earlier, at 450 s. Hay started smoking at 505 s. As the surface and sample temperature increased, the smoking intensified (Figure 3).
In the straw sample, carbonization of the bottom layer of straw stems occurred at a temperature of 169.4 °C (Table 4) at 800 s on average. The carbonization process of the bottom layer of the hay sample occurred at an average temperature of 150.2 °C at 780 s (14 min) at a hot-plate temperature of 330.2 °C. The carbonization process occurred in the edges of the straw sample at an average temperature of 175.6 °C at 960 s (16 min) with the hot-plate temperature ranging from 360–400 °C. The fourth process begins earlier in straw (400–410 s) at a temperature of 179.4 °C and a hot-plate temperature of 400–430 °C (Figure 4).
Figure 4.
Samples after ignition: (a) 2 g of hay sample, measurement at 1020 s; (b) 2 g of straw sample, measurement at 1050 s.
With the gradual increase in surface and sample temperature, the smoke intensified until the ignition point was reached, resulting in ignition in the tested straw sample. Subsequently, the smoke intensity decreased until it completely disappeared, leaving only glowing charred residues and stems of the tested samples (Figure 5), positioned 10 mm above the hot surface (Figure 4 and Table 2).
Figure 5.
Box plots—graphical dependencies (a) of species (straw and hay) and weight on the minimum ignition temperature and (b) of species on the time course of the thermal degradation.
Throughout the entire degradation process, the critical temperatures of hay and straw were comparable, with hay showing degradation at an earlier stage and at lower temperatures compared to straw. Subsequent events occurred earlier in straw and at lower temperatures than in hay. The risk of fire cannot be considered higher for hay or straw in terms of the time-related development of thermal degradation or temperatures of thermal degradation in partial processes (Figure 3, Table 4).
The literature [48] states a critical temperature of 80 °C at which the spontaneous combustion process of hay and straw occurs. Several authors [3,7] report a higher risk of fire for hay compared to straw. The authors of [17] attribute this to the increase in the internal temperature of the hay bale, which does not decrease but, on the contrary, creates an ideal environment for the proliferation of thermophilic bacteria. Consequently, the temperature of the hay bale rises up to 77 °C (reported as the temperature of spontaneous combustion) [17].
The determined experimental results of ignition temperatures are higher for straw. Flachbart and Svetlík [61] also present higher ignition temperature values for straw (Table 5). The ignition temperatures of hay and straw samples (Table 2) show differences in values.
Table 5.
Mutual comparison Ignition temperatures of hay and straw.
Table 5.
Mutual comparison Ignition temperatures of hay and straw.
| Ignition Temperature | Hay | Straw |
|---|---|---|
| Experimentally determined temperature (°C) | 406.6 ± 5.1 | 385.33 ± 13.2 |
| Temperature experimentally determined according to EN 50281-2-1:1998 [58] (°C) | 407 | 380 |
| Temperature according to [19] (°C) | 310 | 330 |
| Temperature according to [61] (°C) | 230 | 310 |
The search for a significant effect was performed using the statistical program Qplot. Produced histograms (box plots) did not confirm a significant influence of weight and sample type on the minimum ignition temperature of hay and straw (Figure 5a), as well as on the time-related development of thermal degradation of the samples (Figure 5b).
Box plots (Figure 5) show faster straw degradation at lower temperatures than hay.
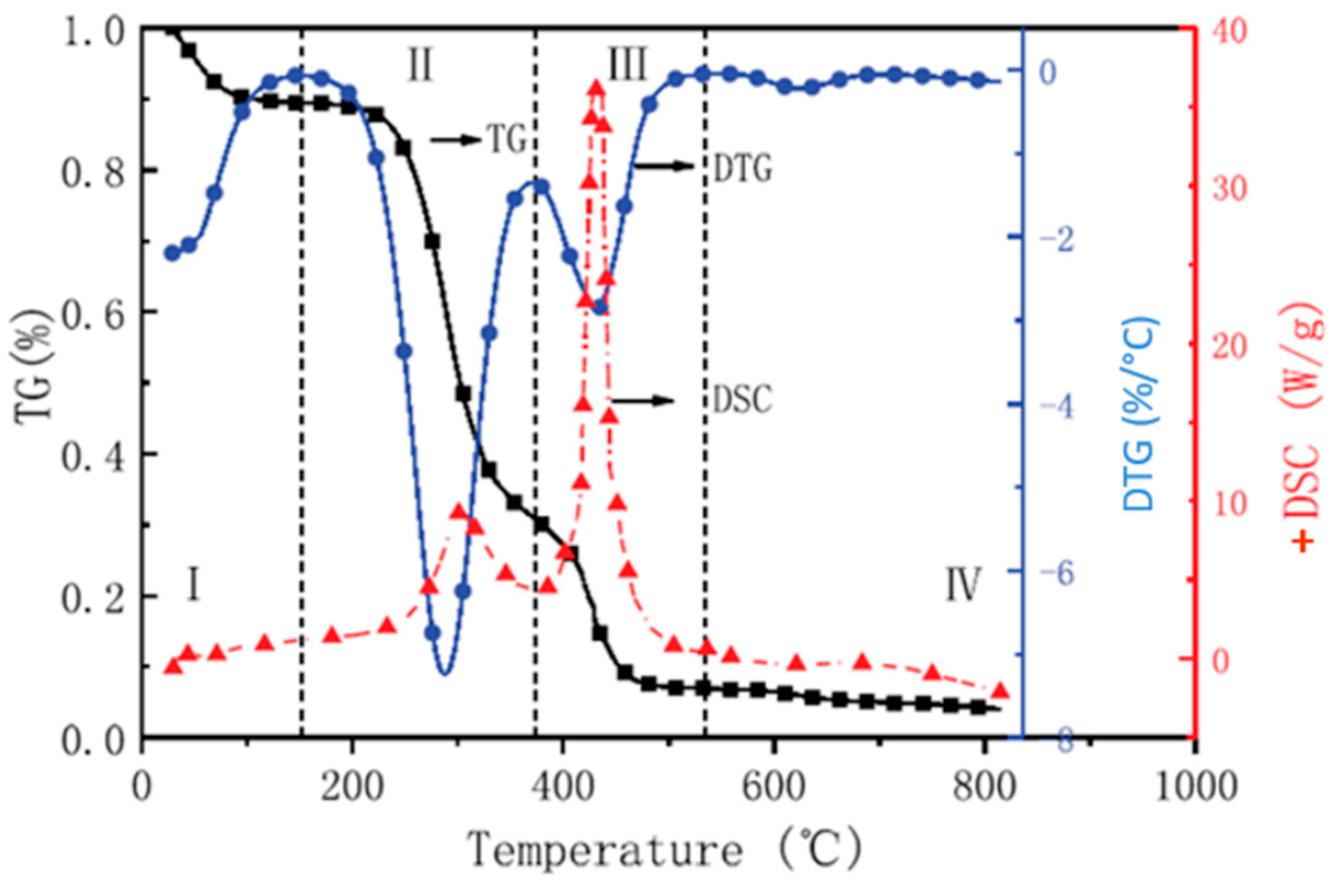
The thermal degradation of hay can be compared with the research of Xie et al. [62]. The TGA-DTG-DSC curves of rape straw under air and CO2 atmosphere and a heating rate of 10 °C·min−1 (Figure 6) identify comparable temperatures of thermal degradation of the hay with our experimental results.
Figure 6.
TGA-DTA-DSC curves of rape straw under a heating rate of 10 °C·min−1 [62].
The DTG curve identifies the temperatures at which the thermal degradation of the sample is maximal. Thermal degradation of hay is two-stage. The first stage of hay degradation is at a temperature of 290 °C, and the second is at 470 °C. But the DSC curve, which shows identical thermal degradation stages (and temperatures) as TG/DTG curves, identifies the maximum heat release rate in the second stage. It is possible to assume that hay can ignite in the second stage (470 °C).
4. Conclusions
Based on the obtained experimental results, the following conclusions can be made:
- The minimum ignition temperature of hay according to EN 50281-2-1:1998 [58] is 407 °C;
- During exposure to radiant heat, the critical temperatures of hay and straw were comparable, except for the initial phase, where hay degradation started earlier at a lower temperature and in a shorter time interval compared to straw;
- It is not possible to unequivocally determine which of the mentioned materials poses a greater risk of fire;
- The significant effect of weight and sample type on the minimum ignition temperature of hay and straw, as well as on the time-related development of thermal degradation of the samples, was not confirmed.
Existing studies on this research topic have primarily focused on investigating the impact of different forms of bedding materials on the living conditions of livestock. Hay and straw are standard bedding materials, but there are also alternative forms (manure, peat, sand) that are used in agriculture practice. In this article, we analyzed the fire-technical properties of hay and straw as an alternative form of bedding. We are aware of some limitations of this study. First, this study was conducted on a small number of samples obtained from an agricultural farm. Second, we only used one initiation source (radiant heat). The innovation of this contribution is the original experimental data and comparison of the thermal degradation of hay and straw.
Author Contributions
Conceptualization, I.M. and I.T.; methodology, Z.G.; software, I.M.; validation, I.T., I.M. and Z.G.; formal analysis, J.J.; investigation, Z.G. and I.M.; resources, I.T., J.J. and I.M.; data curation, I.M. and J.J.; writing—original draft preparation, I.M.; writing—review and editing, J.J. and I.T.; project administration, J.J.; funding acquisition, I.M. All authors have read and agreed to the published version of the manuscript.
Funding
This article was supported by an Institute Grant of the University of Žilina No. 12716.
Data Availability Statement
Not applicable for studies not involving humans or animals.
Acknowledgments
This article was supported by an Institute Grant of the University of Žilina No 12716.
Conflicts of Interest
The authors declare no conflict of interest.
References
- Čajová, K.N.; Holubčík, M.; Trnka, J.; Čaja, A. Analysis of Ash Melting Temperatures of Agricultural Pellets Detected during Different Conditions. Fire 2023, 6, 88. [Google Scholar] [CrossRef]
- Štulajter, M.; Lieskovský, M.; Messingerová, V. Energy properties of pellets, briquettes and charcoal produced in Slovakia. Acta Fac. For. 2015, 57, 133–144. (In Slovak) [Google Scholar]
- Martiník, L.; Drastichová, V.; Horák, J.; Jankovská, Z.; Krpec, K.; Kubesa, P.; Hopan, F.; Kaličáková, Z. Combustion of waste biomass in small facilities. Chem. Listy 2014, 108, 156–162. (In Czech) [Google Scholar]
- Mullerová, J.; Hloch, S.; Valíček, J. Reducing Emissions from the Incineration of Biomass in the Boiler. Chem. Listy 2010, 104, 9. [Google Scholar]
- Baláš, M.; Lisý, M.; Lisá, H.; Vavříková, P.; Milcháček, P.; Elbl, P. Spalné Teplo a Složení Biopaliv a Bioodpadů. Energie z Biomasy XX. Vysoké Učení Technické, Fakulta Strojního Inženýrství, Lednice, 17–19 September 2019. Available online: https://eu.fme.vutbr.cz/file/Sbornik-EnBio/2019/Sborn%C3%ADk_Enbio_2019.pdf (accessed on 4 August 2023). (In Czech).
- Daňková, D.D.; Hejhálek, J. Tepelné Izolácie—Prehľad, Materiály, Druhy, Spôsoby Použitia. Available online: https://www.istavebnictvo.sk/clanky/tepelne-izolace-prehled-materialy-druhy-zpusoby-po (accessed on 4 December 2009). (In Slovak).
- Tobias, R.; Writer, R. Building with Straw Bales: A Comprehensive Guide. Available online: https://www.buildwithrise.com/stories/how-to-build-a-home-using-straw-bale (accessed on 10 July 2021).
- Cascone, S.; Rapisarda, R.; Cascone, D. Physical Properties of Straw Bales as a Construction. Material: A Review. Sustainability 2019, 11, 3388. [Google Scholar] [CrossRef]
- Giertlová, Z. Rettung von Großvieh bei Brandereignissen landwirtschaftlicher Gebäude in Holzbauweise. TV3: Brandschutztechnische Maßnahmen: Zwischenbericht, Berichtzeitraum 1.4.2021–30.6.2022, Förderkennzeichen 2220HV008C; Final Report; Bearbeitung Präventionsingenieure e.V.: Planegg, Germany, 2023. [Google Scholar]
- Marková, I.; Giertlová, Z.; Hutár, M. Stanovenie teploty vznietenia sena pre účely posudzovania rizík v stredných a malých poľnohospodárskych podnikoch. Krízový Manažment 2022, 21, 50–56. (In Slovak) [Google Scholar] [CrossRef]
- Kováč, M.; Čupka, V.; Kacerovský, O. Výživa a Kŕmenie Hospodárskych Zvierat (Nutrition and Feeding of Farm Animals), 1st ed.; Príroda: Bratislava, Slovakia, 1989; 536p. (In Slovak) [Google Scholar]
- Sraková, E.; Suchý, P.; Herzig, I.; Suchý, P.; Tvrzník, P. Výživa a Dietetika. I. Diel—Všeobecná Výživa (Nutrition and Dietetics. Part I—General Nutrition), 1st ed.; VFU: Brno, Czech Republic, 2008; pp. 75–76. (In Czech) [Google Scholar]
- Zarechny, M.V. Koľko Sena Potrebuje Krava na Rok, Deň a Zimu (How Much Hay Does a Cow Need for a Year, Day and Winter). Available online: https://garden.desigusxpro.com/sk/krs/soderzhani/skolko-sena-na-zimu-nuzhno.html (accessed on 10 July 2023). (In Slovak).
- Gaspercova, S.; Osvaldova, L.M.; Kadlicova, P. Additional thermal insulation materials and their reaction on fire. J. Fire Prot. Saf. Secur. 2017, 44, 51–56. [Google Scholar]
- Osvaldova, L.M.; Janigova, I.; Rychly, J. Non-Isothermal Thermogravimetry of Selected Tropical Woods and Their Degradation under Fire Using Cone Calorimetry. Polymers 2021, 13, 708. [Google Scholar] [CrossRef]
- Marková, I.; Mitrenga, P.; Makovická Osvaldová, L.; Hybská, H. Determination of the ignition temperature of hay for the purposes of fire risk assessment on farms—Slovak case study. BioResources 2022, 17, 6926–6940. [Google Scholar] [CrossRef]
- BORGA. Skladovanie Sena a Slamy Alebo ako Predísť Požiarom. Available online: https://www.montovane-haly-borga.sk/skladovanie-sena-a-slamy-alebo-ako-predist-poziarom (accessed on 30 May 2022). (In Slovak).
- Shipton, P. Effective Bedding Management. Incorporating Results from a Farmer Survey on Bedding Management, Mastitis and On-Farm Bacterial Analysis. Report. Available online: https://www.kingshay.com/wp-content/uploads/BeddingReport-020911-785.pdf (accessed on 9 February 2011).
- Preventing Fires in Baled Hay and Straw. Farm and Ranch Extension in Safety and Health (FReSH) Community of Practice 2012. Available online: http://www.extension.org/pages/66577/preventing-fires-in-baled-hay-and-straw4 (accessed on 15 August 2018).
- 258-2007; Requirements for Fire SAFETY in Storage, Storage and Handling of Solid Combustible Substances. The Ministry of the Interior of the Slovak Republic: Bratislava, Slovakia, 2007.
- Madigan, M.T.; Martinko, J.M.; Parker, J. Brock-Biology of Microorganisms; Prentice Hall: Upper Saddle River, NJ, USA, 2000. [Google Scholar]
- Griffin, D.M. Water and microbial stress. In Advances in Microbial Ecology; Alexander, M., Ed.; Plenum Press: New York, NY, USA, 1981; pp. 91–136. [Google Scholar]
- Richard, T.L.; Hamelers, H.V.M.; Veeken, A.; Silva, T. Moisture relationships in composting processes. Compost. Sci. Util. 2002, 10, 286–302. [Google Scholar] [CrossRef]
- Gervais, P.; Marechal, P.A.; Molin, P. Water relations of solid-state fermentation. J. Sci. Ind. Res. 1996, 55, 343–357. [Google Scholar]
- Bowes, P.C. Self-Heating: Evaluating and Controlling the Hazards; Elsevier Science: Amsterdam, The Netherlands, 1984. [Google Scholar]
- Festenstein, G.N.; Lacey, J.; Skinner, F.A.; Jenkins, P.A.; Pepys, J. Self-heating of hay and grain in Dewar flasks and the development of farmer’s lung antigens. J. Gen. Microbiol. 1965, 41, 380–407. [Google Scholar] [CrossRef] [PubMed]
- Rothbaum, H.P. Spontaneous combustion of hay. J. Appl. Chem. 1963, 13, 291–302. [Google Scholar] [CrossRef]
- Jagaba, A.H.; Kutty, S.R.M.; Baloo, L.; Hayder, G.; Birniwa, A.H.; Taha, A.T.B.; Mnzool, M.; Lawal, I.M. Waste Derived Biocomposite for Simultaneous Biosorption of Organic Matter and Nutrients from Green Straw Biorefinery Effluent in Continuous Mode Activated Sludge Systems. Processes 2022, 10, 2262. [Google Scholar] [CrossRef]
- Zhou, X.; Pan, H.; Xie, S.; Li, G.; Du, Z.; Wang, X.; Luo, Y. Highly Selective Production of Valuable Aromatic Hydrocarbons/Phenols from Forestry and Agricultural Residues Using Ni/ZSM-5 Catalyst. Processes 2022, 10, 1970. [Google Scholar] [CrossRef]
- Brown, P.R.; Henry, S. Impacts of House Mice on Sustainable Fodder Storage in Australia. Agronomy 2022, 12, 254. [Google Scholar] [CrossRef]
- Du, S.; You, S.; Jiang, X.; Li, Y.; Jia, Y. Longitudinal Investigation of the Native Grass Hay from Storage to Market Reveals Mycotoxin-Associated Fungi. Microorganisms 2022, 10, 1154. [Google Scholar] [CrossRef]
- Liu, M.; Sun, L.; Wang, Z.; Ge, G.; Jia, Y.; Du, S. Effects of Alfalfa Hay to Oat Hay Ratios on Chemical Composition, Fermentation Characteristics, and Fungal Communities during Aerobic Exposure of Fermented Total Mixed Ration. Fermentation 2023, 9, 480. [Google Scholar] [CrossRef]
- Boltianskyi, B.; Sklyar, R.; Boltyanska, N.; Boltianska, L.; Dereza, S.; Grigorenko, S.; Syrotyuk, S.; Jakubowski, T. TheProcess of Operation of a Mobile Straw Spreading Unit with a Rotating Finger Body-Experimental Research. Processes 2021, 9, 1144. [Google Scholar] [CrossRef]
- Winans, K.; Whalen, J.K.; Cogliastro, A.; Rivest, D.; Ribaudo, L. Soil Carbon Stocks in Two Hybrid Poplar-Hay Crop Systems in Southern Quebec, Canada. Forests 2014, 5, 1952–1966. [Google Scholar] [CrossRef]
- Cheng, H.; Gong, Y.; Zhao, N.; Zhang, L.; Lv, D.; Ren, D. Simulation and Experimental Validation on the Effect of Twin-Screw Pulping Technology upon Straw Pulping Performance Based on Tavares Mathematical Model. Processes 2022, 10, 2336. [Google Scholar] [CrossRef]
- Rajabnia, H.; Orozovic, O.; Williams, K.C.; Lavrinec, A.; Ilic, D.; Jones, M.G.; Klinzing, G. Optimizing Pressure Prediction Models for Pneumatic Conveying of Biomass: A Comprehensive Approach to Minimize Trial Tests and Enhance Accuracy. Processes 2023, 11, 1698. [Google Scholar] [CrossRef]
- Zhou, A.; Ma, L. Thermogravimetric Analysis on Co-Gasification Characteristics of Sludge and Straw under CO2 Atmosphere. Processes 2023, 11, 1402. [Google Scholar] [CrossRef]
- Li, D.; Zhao, N.; Feng, Y.; Xie, Z. Thermogravimetric Analysis of coal semi-charco-firing with straw in O2/CO2 mixtures. Processes 2021, 9, 1421. [Google Scholar] [CrossRef]
- Hybu Cig Cymru Alternative Bedding Materials for Beef and Sheep Housing Systems in Wales. Project in 2010. Available online: https://meatpromotion.wales/images/resources/HCC_Alternative_Bedding_Materials.pdf (accessed on 30 August 2023).
- Diarra, S.; Lameta, S.; Amosa, F.; Anand, S. Alternative Bedding Materials for Poultry: Availability, Efficacy, and Major Constraints. Front. Vet. Sci. 2021, 8, 669504. [Google Scholar] [CrossRef]
- Nona, K.D.; Lenaerts, B.; Kayacan, E.; Saeys, W. Bulk compression characteristics of straw and hay. Biosyst. Eng. 2014, 118, 194–202. [Google Scholar] [CrossRef]
- Piekarczyk, M.; Kotwica, K.; Jaskulski, D. The elemental composition of ash from straw and hay in the context of their agricultural utilization. Acta Sci. Polonorum. Agric. 2011, 10, 97–104. [Google Scholar]
- Lisowski, A.; Kostrubiec, M.; Dąbrowska-Salwin, M.; Świętochowski, A. The Characteristics of Shredded Straw and Hay Biomass—Part 1—Whole Mixture. Waste Biomass Valorization 2018, 9, 853–859. [Google Scholar] [CrossRef]
- Glatter, M.; Bochnia, M.; Wensch-Dorendorf, M.; Greef, J.M.; Zeyner, A. Feed Intake Parameters of Horses Fed Soaked or Steamed Hay and Hygienic Quality of Hay Stored following Treatment. Animals 2021, 11, 2729. [Google Scholar] [CrossRef]
- Wang, H.; Zhao, R.; Zhao, D.; Liu, S.; Fu, J.; Zhang, Y.; Dai, N.; Song, D.; Ding, H. Microbial-Mediated Emissions of Green house Gas from Farm Land Soils: A Review. Processes 2022, 10, 2361. [Google Scholar] [CrossRef]
- Smith, M.; Simms, C.L.; Aber, A.J. Case Study: Animal bedding cost and somatic cell count across New England dairy farms: Relationship with bedding material, housing type, herd size, and management system. Prof. Anim. Sci. 2017, 33, 616–626. [Google Scholar] [CrossRef]
- Solan, P.J.; Valdramidis, V.; Androny, C.; Tiwari, B.; O’Donnel, C.; Owens, G.; Scannell, A.G.M.; Curran, T.P. Production of Medicated Bedding Straw: Challenges and Perspectives. In Proceedings of the American Society of Agricultural and Biological Engineers (ASABE) Annual International Meeting, Louisville, KY, USA, 7–10 August 2011. [Google Scholar] [CrossRef]
- Ďudák, J. Stavby a Objekty na Uskladnenie Objemových Krmív (Buildings and Objects for Bulk Feed Storage). Available online: http://www.agroparadenstvo.sk/stroje-zber-urody?article=2450 (accessed on 20 January 2022). (In Slovak).
- BDLE Pub. 08-5. Bedding Options for Livestock and Equine. Available online: https://ag.umass.edu/sites/ag.umass.edu/files/fact-sheets/pdf/Bedding%2008-05.pdf (accessed on 5 May 2008).
- Tables of Flammable and Dangerous Substances, 1st ed.; Svaz PO ČSSR: Prague, Czech Republic, 1980. (In Czech)
- Purswell, J.L.; Davis, J.D.; Chesser, G.D.; Lowe, J.W. Evaluation of field-stored switchgrass hay as bedding material for broilers. J. Appl. Poult. Res. 2020, 29, 284–287. [Google Scholar] [CrossRef]
- Kadlicová, P.; Makovická Osvaldová, L.; Gašpercová, S. Ekologické dopady zatepľovacích systémov (Environmental impact of thermal isulation materials). Acta Univ. Matthiae Belii Ser. Environ. Manažérstvo 2016, 18, 2. (In Slovak) [Google Scholar]
- Makovická Osvaldová, L.; Gašpercová, S.; Petho, M. Natural Fiber Thermal Insulation Materials from Fire Prevention Point of View. In Proceedings of the International Symposium on Material, Energy and Environment Engineering, Bratislava, Slovakia, 5 May 2015. [Google Scholar] [CrossRef]
- Statistical Office of the Slovak Republic 2022. STATdat. Štatistika Stavu Hospodárskych Zvierat za Jednotlivé Roky 2011–2020. Available online: http://statdat.statistics.sk/cognosext/cgi-bin/cognos.cgi?b_action=cognosViewer&ui.action=run&ui.object=storeID(%22iF60EC5BD94894A19A9737BA5A8E4F162%22)&ui.name=Stavy%20hospod%c3%a1rskych%20zvierat%20k%2031.12.%20%5bpl2016rs%5d&run.outputFormat=&run.prompt=true&cv.header=false&ui.backURL=%2fcognosext%2fcps4%2fportlets%2fcommon%2fclose.html (accessed on 18 May 2022).
- Marková, I.; Monoši, M. Expressions of climatic change in Slovak Republic. Ann. Univ. Paedagog. Cracoviensis Stud. Nat. 2020, 5, 145–156. [Google Scholar] [CrossRef]
- Val-Aguasca, J.P.; Videgain-Marco, M.; Martín-Ramos, P.; Vidal-Cortés, M.; Boné-Garasa, A.; García-Ramos, F.J. Fire Risks Associated with Combine Harvesters: Analysis of Machinery Critical Points. Agronomy 2019, 9, 877. [Google Scholar] [CrossRef]
- Fire Hazard in Wet Bales. Available online: https://extension.sdstate.edu/fire-hazard-wet-bales (accessed on 18 May 2020).
- EN 50281-2-1; Electrical Apparatus for Use in the Presence of Combustible Dust—Part 2-1: Test Methods—Methods for Determining the Minimum Ignition Temperatures of Dust. BSI: Brussels, Belgium, 1998.
- Balog, K.; Martinka, J.; Chrebet, T.; Hrušovský, I.; Hirle, S. Zápalnosť materiálov a forenzný prístup pri zisťovaní príčin požiarov (Flammability of materials and forensic approach in fire investigation). In Proceedings of the XXIII. International Scientific Conference ExFoS—Expert Forensic Science, Brno, Czech Republic, 2 May 2014; pp. 20–36. (In Slovak). [Google Scholar]
- Hay and Straw Barn Fires a Real Danger. Available online: https://agcrops.osu.edu/newsletter/corn-newsletter/2019-21/hay-and-straw-barn-fires-real-danger (accessed on 19 May 2022).
- Flachbart, J.; Svetlík, J. Waste Materials—Sources of Fire. Fire Risk Management in the Natural Environment; Collection of Scientific Papers; Fire Engineering and Expertise Institute of the Ministry of the Interior of the Slovak Republic: Bratislava, Slovakia, 2018; pp. 101–108. (In Slovak) [Google Scholar]
- Xie, T.; Wei, R.; Wang, Z.; Wang, J. Comparative analysis of thermal oxidative decomposition and fire characteristics for different straw powders via thermogravimetry and cone calorimetry. Process Saf. Environ. Prot. 2020, 134, 121–130. [Google Scholar] [CrossRef]
Disclaimer/Publisher’s Note: The statements, opinions and data contained in all publications are solely those of the individual author(s) and contributor(s) and not of MDPI and/or the editor(s). MDPI and/or the editor(s) disclaim responsibility for any injury to people or property resulting from any ideas, methods, instructions or products referred to in the content. |
© 2023 by the authors. Licensee MDPI, Basel, Switzerland. This article is an open access article distributed under the terms and conditions of the Creative Commons Attribution (CC BY) license (https://creativecommons.org/licenses/by/4.0/).















